Sign in to use this feature.

Years

Between: -

Subjects

remove_circle_outline
remove_circle_outline
remove_circle_outline
remove_circle_outline
remove_circle_outline
remove_circle_outline
remove_circle_outline
remove_circle_outline
remove_circle_outline

Journals

Article Types

Countries / Regions

Search Results (24)

Search Parameters:
Keywords = golf putting

Order results
Result details
Results per page
Select all
Export citation of selected articles as:
12 pages, 216 KB  
Article
Amino Acid Biostimulants Enhance Drought and Heat Stress Tolerance of Creeping Bentgrass (Agrostis Stolonifera L.)
by Xunzhong Zhang, Mike Goatley, Maude Focke, Graham Sherman, Berit Smith, Taylor Motsinger, Catherine Roué and Jay Goos
Horticulturae 2025, 11(7), 853; https://doi.org/10.3390/horticulturae11070853 - 19 Jul 2025
Viewed by 1553
Abstract
Creeping bentgrass (Agrostis stolonifera L.) is an important cool-season turfgrass species widely used for golf course putting greens; however, it experiences a summer stress-induced quality decline in the U.S. transition zone and other regions with similar climates. The objective of this study [...] Read more.
Creeping bentgrass (Agrostis stolonifera L.) is an important cool-season turfgrass species widely used for golf course putting greens; however, it experiences a summer stress-induced quality decline in the U.S. transition zone and other regions with similar climates. The objective of this study was to determine the effects of five amino acid biostimulants on creeping bentgrass drought and heat stress tolerance. The five biostimulants, including Superbia, Amino Pro V, Siapton, Benvireo, and Surety, at the rate of 0.22 g of N m−2, were applied biweekly to foliage, and the treatments were arranged in a randomized block design with four replications and were subjected to 56 days of heat and drought stress in growth chamber conditions. The amino acid biostimulants Superbia and Amino Pro V improved the turf quality, photochemical efficiency (PE), normalized difference vegetation index (NDVI), chlorophyll content, antioxidant enzyme superoxide dismutase activity, root growth, and viability and suppressed leaf H2O2 levels when compared to a control. Among the treatments, Superbia and Amino Pro V exhibited greater beneficial effects on turf quality and physiological fitness. The results of this study suggest that foliar application of amino acid biostimulants may improve the summer stress tolerance of cool-season turfgrass species in the U.S. transition zone and other regions with similar climates. Full article
(This article belongs to the Topic Biostimulants in Agriculture—2nd Edition)
12 pages, 1029 KB  
Article
Does tDCS Enhance Complex Motor Skill Acquisition? Evidence from a Golf-Putting Task
by Virginia Lopez-Alonso, Gabriel López-Bermúdez, Jeffrey Cayaban Pagaduan and Jose Andrés Sánchez-Molina
Sensors 2025, 25(14), 4297; https://doi.org/10.3390/s25144297 - 10 Jul 2025
Viewed by 2410
Abstract
Transcranial direct current stimulation (tDCS) modulates cortical excitability, thus inducing improvements in motor learning of simple tasks. In this study, we aimed to evaluate the effect of different tDCS conditions—anodal stimulation over the motor cortex (M1), anodal and cathodal stimulation over the prefrontal [...] Read more.
Transcranial direct current stimulation (tDCS) modulates cortical excitability, thus inducing improvements in motor learning of simple tasks. In this study, we aimed to evaluate the effect of different tDCS conditions—anodal stimulation over the motor cortex (M1), anodal and cathodal stimulation over the prefrontal cortex (PFC), and sham—on the online and offline learning of a complex accuracy task (golf-putting) in novice golfers. Methods: A total of 40 young, healthy subjects (24 men, 16 women) without previous golf experience were randomly distributed in four groups receiving sham, anodal M1, anodal PFC or cathodal PFC tDCS. All subjects participated in two consecutive sessions. In the first session, they performed 15 blocks of 10 golf-putting along with tDCS stimulation. After 24 h, they performed the same task without tDCS. Results: Repeated measures ANOVA revealed a significant improvement in performance during the two consecutive golf-putting sessions regardless of the site and the stimulation conditions. Conclusion: Our findings suggest that tDCS over M1 or PFC does not confer additional benefits in the acquisition of complex, full-body motor skills such as golf-putting. Full article
(This article belongs to the Special Issue Sensor-Based Human Motor Learning)
Show Figures

Figure 1

10 pages, 660 KB  
Article
Effect of Contextual Motivation in Sports on the Evolution of Situational Intrinsic Motivation
by Christophe Angot and Guillaume Martinent
Appl. Sci. 2025, 15(8), 4386; https://doi.org/10.3390/app15084386 - 16 Apr 2025
Cited by 1 | Viewed by 1374
Abstract
The purpose of this study was to examine the evolution of participants’ situational motivation in physical activity. From a sample of 194 individuals, the 20 most self-determined, the 20 moderately self-determined, and the 20 least self-determined in sports were selected to participate in [...] Read more.
The purpose of this study was to examine the evolution of participants’ situational motivation in physical activity. From a sample of 194 individuals, the 20 most self-determined, the 20 moderately self-determined, and the 20 least self-determined in sports were selected to participate in the research protocols. These 60 subjects performed a putting task with a golf club on a 1.50 m mat. Immediately afterward, they had to self-assess using the mouse paradigm software in order to measure their intrinsic situational motivation throughout the task. We used multilevel growth curve analyses (MGCAs) to explore the trajectories of students’ situational intrinsic motivation during the experimental task. The results revealed a significant positive linear and cubic effect of time and a significant negative quadratic effect of time on situational motivation for highly self-determined students. Our study shows that situational intrinsic motivation is dynamic, and the most self-determined subjects experience a positive evolution in their intrinsic motivation in a specific physical activity. Full article
(This article belongs to the Special Issue Human Performance in Sports and Training)
Show Figures

Figure 1

12 pages, 2498 KB  
Article
Kinematic Alterations with Changes in Putting Distance and Slope Incline in Recreational Golfers
by Shawn M. Robbins, Philippe Renaud and Ukadike Chris Ugbolue
Bioengineering 2025, 12(1), 69; https://doi.org/10.3390/bioengineering12010069 - 15 Jan 2025
Viewed by 1688
Abstract
Golfers must modify their motor patterns when the demands of a putting task change. The objective was to compare joint angles and putter kinematics during putting at two distances and inclines. Recreational golfers (n = 14) completed putts over four conditions: 3-foot [...] Read more.
Golfers must modify their motor patterns when the demands of a putting task change. The objective was to compare joint angles and putter kinematics during putting at two distances and inclines. Recreational golfers (n = 14) completed putts over four conditions: 3-foot putts on flat and incline surfaces, and 7-foot putts on flat and incline surfaces. A Vicon motion capture system measured kinematic data. Joint angles, putter angles, and spatiotemporal variables were calculated. Analysis of variance compared spatiotemporal variables, and statistical parametric mapping compared angles between putts. There were faster putter head and ball velocities during longer and incline putts. The amplitude and time of backswing increased with longer putts. Longer putts resulted in increased trunk axial rotation during backswing, downswing, and follow-through, while incline putts only resulted in greater rotation during follow-through. There were minimal differences in shoulder angle. There was greater head rotation toward the hole during all putting phases for longer putts and during follow-through for incline putts. The trunk is the primary mechanism to increase putter head amplitude, and thereby velocity, when putting from longer distances. A similar strategy could be used when putting uphill. Additional work should confirm these results in highly skilled golfers. Full article
Show Figures

Figure 1

10 pages, 286 KB  
Article
Treating Yourself in a Fairway: Examining the Contribution of Self-Compassion and Well-Being on Performance in a Putting Task
by Melanie R. Burgess, Diane E. Mack, Philip M. Wilson and Leah J. Ferguson
Sports 2024, 12(11), 300; https://doi.org/10.3390/sports12110300 - 5 Nov 2024
Cited by 2 | Viewed by 1625
Abstract
Researchers have advocated for greater insight regarding the contributions of psychological resources to sports performance. The purpose of this study was to examine the contributions of self-compassion and well-being to sports performance using a golf putting task. Male golfers (N = 87, M [...] Read more.
Researchers have advocated for greater insight regarding the contributions of psychological resources to sports performance. The purpose of this study was to examine the contributions of self-compassion and well-being to sports performance using a golf putting task. Male golfers (N = 87, Mage = 54.94; SDage = 15.37 years) completed the Self-Compassion Scale—Athlete Version and the Warwick Edinburgh Mental Well-Being Scale immediately prior to the golf putting task which consisted of 15 consecutive putts from 7 feet on an outdoor practice green. Performance was assessed immediately following the putting task. Simple linear regression analyses showed that self-compassion did not predict ‘perceived’ (β = −0.20, p = 0.06; ƒ2 = 0.04) or ‘actual’ (β = −0.17, p = 0.11; ƒ2 = 0.03) performance. Similarly, well-being did not predict ‘perceived’ (β = −0.16, p = 0.15; ƒ2 = 0.03) or ‘actual’ performance (β = −0.01, p = 0.91; ƒ2 = 0.00). Overall, the conclusions from this study offer converging evidence that self-compassion and well-being may not impact putting performance in adult male golfers. Greater insight into whether, and if so under what conditions, self-compassion and well-being matter to sports performance warrants additional scrutiny. Full article
12 pages, 3250 KB  
Article
Self-Powered Acceleration Sensor for Distance Prediction via Triboelectrification
by Zhengbing Ding, Dinh Cong Nguyen, Hakjeong Kim, Xing Wang, Kyungwho Choi, Jihae Lee and Dukhyun Choi
Sensors 2024, 24(12), 4021; https://doi.org/10.3390/s24124021 - 20 Jun 2024
Cited by 5 | Viewed by 1868
Abstract
Accurately predicting the distance an object will travel to its destination is very important in various sports. Acceleration sensors as a means of real-time monitoring are gaining increasing attention in sports. Due to the low energy output and power density of Triboelectric Nanogenerators [...] Read more.
Accurately predicting the distance an object will travel to its destination is very important in various sports. Acceleration sensors as a means of real-time monitoring are gaining increasing attention in sports. Due to the low energy output and power density of Triboelectric Nanogenerators (TENGs), recent efforts have focused on developing various acceleration sensors. However, these sensors suffer from significant drawbacks, including large size, high complexity, high power input requirements, and high cost. Here, we described a portable and cost-effective real-time refreshable strategy design comprising a series of individually addressable and controllable units based on TENGs embedded in a flexible substrate. This results in a highly sensitive, low-cost, and self-powered acceleration sensor. Putting, which accounts for nearly half of all strokes played, is obviously an important component of the golf game. The developed acceleration sensor has an accuracy controlled within 5%. The initial velocity and acceleration of the forward movement of a rolling golf ball after it is hit by a putter can be displayed, and the stopping distance is quickly calculated and predicted in about 7 s. This research demonstrates the application of the portable TENG-based acceleration sensor while paving the way for designing portable, cost-effective, scalable, and harmless ubiquitous self-powered acceleration sensors. Full article
(This article belongs to the Special Issue Advances in Nanosensors and Nanogenerators - 2nd Edition)
Show Figures

Figure 1

14 pages, 1558 KB  
Article
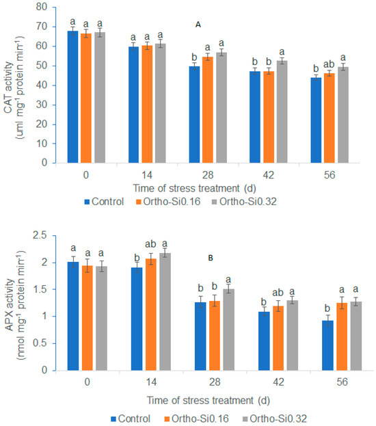
Silicon Improves Heat and Drought Stress Tolerance Associated with Antioxidant Enzyme Activity and Root Viability in Creeping Bentgrass (Agrostis stolonifera L.)
by Xunzhong Zhang, Mike Goatley, Kehua Wang, Ben Goddard, Rose Harvey, Isabel Brown and Kelly Kosiarski
Agronomy 2024, 14(6), 1176; https://doi.org/10.3390/agronomy14061176 - 30 May 2024
Cited by 6 | Viewed by 1972
Abstract
Creeping bentgrass (Agrostis stolonifera L.) is an important cool-season turfgrass species widely used for golf course putting greens; however, it experiences summer stress and quality decline in the U.S. transition zone and other regions with similar climates. Silicon (Si) may improve the [...] Read more.
Creeping bentgrass (Agrostis stolonifera L.) is an important cool-season turfgrass species widely used for golf course putting greens; however, it experiences summer stress and quality decline in the U.S. transition zone and other regions with similar climates. Silicon (Si) may improve the abiotic stress of creeping bentgrass, but the mechanism of its impact on plant drought and heat tolerance is not well understood, and a few studies have reported on the effects of Si on creeping bentgrass drought and heat tolerance. The objectives of this study were to determine the effects of Ortho-silicic acid (Ortho-Si) on antioxidant metabolism and root growth characteristics and viability in creeping bentgrass under drought and heat-stress conditions. The three treatments, including control, Ortho-Si at 0.16 mL m−2 and 0.32 mL m−2, were applied biweekly to creeping bentgrass. Foliar application of the Ortho-Si exhibited beneficial effects on turf quality, physiological fitness, and root growth in creeping bentgrass. The Ortho-Si application at 0.16 mL m−2 and 0.32 mL m−2 improved turf quality ratings by 9.5% and 11.1%, respectively, photochemical efficiency (PE) by 6.9% and 8.5%, respectively, chlorophyll content by 27.1% and 29.9%, and carotenoids content by 25.5% and 27.2%, respectively, when compared to the control at the end of the trial. The Ortho-Si treatments enhanced antioxidant enzyme activity; the highest amount, in particular, increased superoxide dismutase (SOD) activity by 32.8%, catalase (CAT) by 12.8%, and ascorbate peroxidase (APX) activity by 37.4%, as compared to the control. The Ortho-Si application reduced leaf hydrogen peroxide (H2O2) concentration relative to the control. In addition, exogenous Ortho-Si improved leaf Si concentration. The Ortho-Si application at 0.32 mL m−2 increased root biomass by 52.7% and viability by 89.3% relative to the control. Overall, Ortho-Si at 0.32 mL m−2 had greater beneficial effects than the low rate (0.16 mL m−2). Exogenous Si may improve drought and heat tolerance by protecting photosynthetic function, enhancing the activities of leaf antioxidant enzymes, and stimulating root growth, viability, and Si uptake. The results of this study suggest that foliar application of Ortho-Si at 0.32 mL m−2 may be considered to be an effective approach to improve turf quality and physiological fitness of creeping bentgrass during the summer months in the U.S. transition zone and other regions with similar climates. Full article
(This article belongs to the Section Grassland and Pasture Science)
Show Figures

Figure 1

23 pages, 366 KB  
Review
Improving Mental Skills in Precision Sports by Using Neurofeedback Training: A Narrative Review
by Stefano Corrado, Beatrice Tosti, Stefania Mancone, Tommaso Di Libero, Angelo Rodio, Alexandro Andrade and Pierluigi Diotaiuti
Sports 2024, 12(3), 70; https://doi.org/10.3390/sports12030070 - 29 Feb 2024
Cited by 27 | Viewed by 16767
Abstract
Primary objectives of neurofeedback training (NFT) are to improve concentration, stress and anxiety management, and performance optimisation. This narrative review examines the role of NFT as a tool to improve mental and cognitive skills of target shooting and archery athletes. Current research discusses [...] Read more.
Primary objectives of neurofeedback training (NFT) are to improve concentration, stress and anxiety management, and performance optimisation. This narrative review examines the role of NFT as a tool to improve mental and cognitive skills of target shooting and archery athletes. Current research discusses how neurofeedback training can act on brain waves by influencing specific EEG frequency bands in order to improve cognitive flexibility. This contribution reports studies that have applied neurofeedback protocols in precision disciplines such as archery and shooting. The results of the studies considered showed that neurofeedback can lead to faster reaction times, more sustained attention, and better emotion management, contributing significantly to athletes’ performance. Furthermore, it is emphasised that neurofeedback could be combined with other techniques such as motor imagination to maximise effectiveness in precision sports training. This review emphasises the importance of future studies that focus on the integration of neurofeedback with biofeedback in neuromodulation protocols. Current perspectives and limitations of research in this area are also indicated. Neuromodulation by means of neurofeedback represents a promising strategy to improve the overall mental and cognitive abilities of target shooting and archery athletes with an interesting potential for high-level performance. Future research should focus on integrated approaches and customised protocols to optimise the use of neurofeedback in a precision sports context. Full article
Show Figures

Figure 1

12 pages, 1404 KB  
Article
Effects of Continuous Carbohydrate Intake with Gummies during the Golf Round on Interstitial Glucose, Golf Performance, and Cognitive Performance of Competitive Golfers: A Randomized Repeated-Measures Crossover Design
by Yosuke Nagashima, Kiyohiro Ehara, Yoshitomo Ehara, Ayana Mitsume, Kie Kubo and Shigeru Mineo
Nutrients 2023, 15(14), 3245; https://doi.org/10.3390/nu15143245 - 21 Jul 2023
Cited by 6 | Viewed by 3849
Abstract
This study examined the effects of continuous carbohydrate intake during a golf round on interstitial glucose, golf performance, and the cognitive performance of competitive golfers. Eleven competitive golfers participated and played 18 holes of golf in this study. Participants were randomly assigned to [...] Read more.
This study examined the effects of continuous carbohydrate intake during a golf round on interstitial glucose, golf performance, and the cognitive performance of competitive golfers. Eleven competitive golfers participated and played 18 holes of golf in this study. Participants were randomly assigned to the group indicated to consume the test food (CHO intake) or the group required to not consume it (NOT intake). Here, gummies were used as the test food, and the amount of carbohydrates was 30 g per h. Blood glucose levels were evaluated using interstitial glucose. Golf performance was measured in five tests, including scores, 2.5 m putting test, club head speed, driving distance, and accuracy. Cognitive performance was measured in three tests, including self-perceived levels of fatigue (PLF), self-perceived levels of concentration (PLC), and self-perceived levels of relaxation (PLR). Interstitial glucose (p < 0.001) and PLF (p < 0.001) were significantly reduced in the CHO intake compared with that in the NOT intake from the sixth hole. PLC was significantly higher in the CHO intake than in the NOT intake on all 18 holes (p = 0.032). These findings suggest that continuous carbohydrate intake may be effective in reducing fatigue and maintaining the performance of competitive golfers. Full article
Show Figures

Figure 1

12 pages, 901 KB  
Article
Neuropsychological Activations and Networks While Performing Visual and Kinesthetic Motor Imagery
by Sechang Kwon, Jingu Kim and Teri Kim
Brain Sci. 2023, 13(7), 983; https://doi.org/10.3390/brainsci13070983 - 22 Jun 2023
Cited by 9 | Viewed by 4680
Abstract
This study aimed to answer the questions ‘What are the neural networks and mechanisms involved in visual and kinesthetic motor imagery?’, and ‘Is part of cognitive processing included during visual and kinesthetic motor imagery?’ by investigating the neurophysiological networks and activations during visual [...] Read more.
This study aimed to answer the questions ‘What are the neural networks and mechanisms involved in visual and kinesthetic motor imagery?’, and ‘Is part of cognitive processing included during visual and kinesthetic motor imagery?’ by investigating the neurophysiological networks and activations during visual and kinesthetic motor imagery using motor imagery tasks (golf putting). The experiment was conducted with 19 healthy adults. Functional magnetic resonance imaging (fMRI) was used to examine neural activations and networks during visual and kinesthetic motor imagery using golf putting tasks. The findings of the analysis on cerebral activation patterns based on the two distinct types of motor imagery indicate that the posterior lobe, occipital lobe, and limbic lobe exhibited activation, and the right hemisphere was activated during the process of visual motor imagery. The activation of the temporal lobe and the parietal lobe were observed during the process of kinesthetic motor imagery. This study revealed that visual motor imagery elicited stronger activation in the right frontal lobe, whereas kinesthetic motor imagery resulted in greater activation in the left frontal lobe. It seems that kinesthetic motor imagery activates the primary somatosensory cortex (BA 2), the secondary somatosensory cortex (BA 5 and 7), and the temporal lobe areas and induces human sensibility. The present investigation evinced that the neural network and the regions of the brain that are activated exhibit variability contingent on the category of motor imagery. Full article
(This article belongs to the Section Behavioral Neuroscience)
Show Figures

Figure 1

13 pages, 4721 KB  
Article
Both Sensorimotor Rhythm Neurofeedback and Self-Controlled Practice Enhance Motor Learning and Performance in Novice Golfers
by Zahra Pourbehbahani, Esmaeel Saemi, Ming-Yang Cheng and Mohammad Reza Dehghan
Behav. Sci. 2023, 13(1), 65; https://doi.org/10.3390/bs13010065 - 11 Jan 2023
Cited by 16 | Viewed by 4813
Abstract
A major concern voiced by motor behavior scientists is to find useful practice techniques that can be effective in improving motor learning and performance. Neurofeedback and self-controlled practice are among the techniques that have recently drawn attention from specialists in this area. The [...] Read more.
A major concern voiced by motor behavior scientists is to find useful practice techniques that can be effective in improving motor learning and performance. Neurofeedback and self-controlled practice are among the techniques that have recently drawn attention from specialists in this area. The present study examined the additive and individual effects of sensorimotor rhythm (SMR) neurofeedback as well as self-controlled practice on motor learning and performance in novice golfers. In this semi-empirical study, forty adults (20 females, Meanage = 26.10, SD = 5.56 years) were conveniently selected and randomly assigned to four groups: (1) neurofeedback/self-controlled practice, (2) neurofeedback/yoked practice, (3) sham/self-controlled practice, and (4) sham/yoked practice. The participants performed golf putting task in four stages, namely pretest (12 trials), intervention (one day after pretest; 6 sessions, 36 trails each), post-test (one day after intervention; 12 trials), and follow-up (two weeks after interventions; 12 trials). In addition, the participants had their EEG (SMR wave in Cz point) recorded during pretest, post-test, and follow-up. The results indicated that, although no additive effect was observed for the two practices during different stages of the experiment (p > 0.05), in acquisition and post-test stages, SMR neurofeedback and self-controlled practice independently facilitated golf putting (p ≤ 0.05). However, in the follow-up test, only the neurofeedback practice maintained its positive effects (p ≤ 0.05). The results also showed that participation in SMR neurofeedback practice can enhance the power of the SMR wave (p ≤ 0.05), regardless of the type of the self-controlled practice used. In sum, the two practice techniques seem to be independently effective in facilitating motor learning in instructional settings, particularly for golfers. Full article
Show Figures

Figure 1

10 pages, 664 KB  
Article
The Effect of Olfactory Inhalation on KPGA Golfers’ Putting Performance, Postural Stability and Heart Rate
by Hyoyeon Ahn and Jihyun Ko
Int. J. Environ. Res. Public Health 2022, 19(19), 12666; https://doi.org/10.3390/ijerph191912666 - 3 Oct 2022
Cited by 1 | Viewed by 2802
Abstract
Some athletes utilize olfactory inhalation treatments using ammonia salt and aromatic oils to attain their peak performance or for physical and psychological relaxation. However, there is still a lack of clear evidence on olfactory inhalation treatment and scent types via precise experiments, and [...] Read more.
Some athletes utilize olfactory inhalation treatments using ammonia salt and aromatic oils to attain their peak performance or for physical and psychological relaxation. However, there is still a lack of clear evidence on olfactory inhalation treatment and scent types via precise experiments, and there is no research regarding fine motor control performance in activities such as golf putting. Thus, the purpose of this study was to examine the effects of various olfactory inhalations (lavender, citrus, and ammonia) on professional golfers’ 3-meter putting performance (percentage of success), postural stability (CoP area), and heart rate (HR). In order to examine the effects of olfactory treatment on actual automated task performance, ten professional golfers were recruited for the putting task experiment. During the putting task, a biometric shirt was utilized to record the HR changes, and a force plate was used to measure changes in the CoP area. The results were as follows. First, the olfactory inhalation treatment inhibited the putting performance (no inhalation: 68.75%; lavender: 51.25%; citrus: 40.00%; ammonia: 52.50%); however, no statistically significant difference was found (p = 0.115). Second, the olfactory inhalation treatment inhibited postural stability while putting; it had a partially statistically significant lower value (address: p = 0.000; downswing: p = 0.035; total putting section: p = 0.047). Third, the olfactory inhalation treatment decreased the HR during putting; however, there was no statistically significant difference between groups (address: p = 0.838; putting: p = 0.878; total: p = 0.666). This study implies that olfactory inhalation affects putting performance, postural stability, and HR. The effect size results for the olfactory treatment in the CoP area during the putting task (address: η2 = 0.524; downswing: η2 = 0.349; total putting section: η2 = 0.298) suggest that arousal regulation through olfactory inhalation may have negative effects on dynamic postural stability in static tasks such as golf putting, showing the direction of its useful application for athletes in sports. Full article
(This article belongs to the Special Issue 2nd Edition: Advances in Kinesiology and Health)
Show Figures

Figure 1

8 pages, 1433 KB  
Article
Impact of Soil Temperature on Prizm Zoysiagrass Establishment from Sprigs
by Tyler Q. Carr, John C. Sorochan, James T. Brosnan and Brandon J. Horvath
Agronomy 2022, 12(10), 2329; https://doi.org/10.3390/agronomy12102329 - 27 Sep 2022
Cited by 4 | Viewed by 2606
Abstract
Zoysiagrasses (Zoysia spp. Willd.) are commonly used on golf course fairways and tees in addition to residential and commercial lawns due to lower input requirements relative to bermudagrass (Cynodon spp.). This has led to increased interest in using zoysiagrass for golf [...] Read more.
Zoysiagrasses (Zoysia spp. Willd.) are commonly used on golf course fairways and tees in addition to residential and commercial lawns due to lower input requirements relative to bermudagrass (Cynodon spp.). This has led to increased interest in using zoysiagrass for golf course putting greens; however, zoysiagrass establishment from sprigs is prolonged compared to bermudagrass. Research was conducted in Knoxville, TN to determine the effect of soil temperature on ‘Prizm’ zoysiagrass establishment from sprigs. The study was conducted over replicate experimental runs in separate glasshouses in 2022. Prizm zoysiagrass was exposed to high, medium, and low 5 cm soil temperature treatments, which were imposed via water bath. Over the 49-day study period, the high, medium, and low treatments averaged ~36 °C, ~32 °C, and ~28 °C, respectively. The medium and low treatments averaged 92% turfgrass coverage 49 days after planting (DAP) in run A, which was significantly greater than the high-soil-temperature treatment (70%). In run B, the medium soil temperature achieved 92% turfgrass coverage 44 DAP, which was significantly greater than the low (78%) and high (74%) treatments. Independent of other environmental variables, results from this study imply that an average daily 5 cm soil temperature of approximately 32 °C would likely result in the most rapid establishment of Prizm zoysiagrass from sprigs. Full article
Show Figures

Figure 1

13 pages, 829 KB  
Article
Effects of a Strategic Self-Talk Intervention on Attention Functions and Performance in a Golf Task under Conditions of Ego Depletion
by Evangelos Galanis, Laur Nurkse, Jelle Kooijman, Eleftherios Papagiannis, Athanasia Karathanasi, Nikos Comoutos, Yannis Theodorakis and Antonis Hatzigeorgiadis
Sustainability 2022, 14(12), 7046; https://doi.org/10.3390/su14127046 - 9 Jun 2022
Cited by 10 | Viewed by 5703
Abstract
States of reduced self-control described as ego depletion have been shown to impair sport task performance. Recently, self-talk has emerged as a successful method to counteract ego depletion effects in cognitive tasks. Extending this line of research, the present study examined the effects [...] Read more.
States of reduced self-control described as ego depletion have been shown to impair sport task performance. Recently, self-talk has emerged as a successful method to counteract ego depletion effects in cognitive tasks. Extending this line of research, the present study examined the effects of a self-talk intervention on attention functions and performance in a golf-putting task under conditions of ego depletion. Two studies were conducted; the first involved a simple putting task, whereas in the second, a divided attention factor was introduced in addition. Participants in the first experiment were 62 sport science students (30 females and 32 males, Mage = 18.58, SD = 1.03) who were randomly assigned into experimental (n = 31) and control (n = 31) groups. Participants in the second experiment were 54 sport science students (27 females and 27 males, Mage = 19.91, SD = 1.04) who were randomly assigned into experimental (n = 27) and control (n = 27) groups. Both experiments were completed in a single session that lasted approximately 60 min. All participants were tested individually. The procedures included (a) baseline performance assessment consisting of two sets of ten putts, (b) practice period, consisting of six sets of five putts, during which the experimental group was also introduced to the use of strategic self-talk, (c) an ego-depleting task, and (d) final performance assessment, which was identical to the baseline. The results showed that in both experiments, performance of the experimental group increased from baseline to final assessment (experiment 1, p < 0.001; experiment 2, p = 0.023), whereas that of the control group had no significant change (experiment 1: p = 0.241; experiment 2: p = 0.407). The findings showed that self-talk is an effective strategy for buffering the effects of ego depletion and suggest that improved attention functions are a viable mechanism for explaining the facilitating effects of self-talk on sport performance tasks. Full article
Show Figures

Figure 1

10 pages, 238 KB  
Article
Comparative Analysis of Performance Factors between Ladies Professional Golf Association and Korea Ladies Professional Golf Association Golfers
by SunHee Chung
Sports 2022, 10(5), 72; https://doi.org/10.3390/sports10050072 - 3 May 2022
Cited by 5 | Viewed by 3848
Abstract
This study aimed to analyze the performance factors of both Ladies Professional Golf Association (LPGA) and Korea Ladies Professional Golf Association (KLPGA) players and suggest which performance factors they should improve to play in world-level games. Data from 180 LPGA and KLPGA players [...] Read more.
This study aimed to analyze the performance factors of both Ladies Professional Golf Association (LPGA) and Korea Ladies Professional Golf Association (KLPGA) players and suggest which performance factors they should improve to play in world-level games. Data from 180 LPGA and KLPGA players who ranked within the top 60 in prize money rankings from 2018 to 2020 were analyzed. Then, the data from LPGA and KLPGA golfers were compared using the seemingly unrelated estimation method. As a result of analyzing 178 data, excluding two players who had missing values, this study found that among LPGA player data, putting average (PA), sand save (SS), green in regulation (GIR), and birdies (BIR) had a significant impact in 2018. Additionally, scoring average (SA) and top-10 finish (T10) had a significant impact in 2019. However, there were no factors influencing performance in 2020.From the results of analyzing 180 players who ranked within the top 60 in KLPGA prize money rankings, there were no performance factors that significantly affected their performance in 2018. However, driver distance (DD) in 2019 and DD and T10 in 2020 affected performance. In conclusion, short games were the most important factor on the LPGA Tour, and driving distance was the most important trend on the KLPGA Tour. Therefore, KLPGA golfers should train in abilities such as putting and ironshots. Full article
Back to TopTop