Sign in to use this feature.

Years

Between: -

Subjects

remove_circle_outline
remove_circle_outline
remove_circle_outline
remove_circle_outline
remove_circle_outline
remove_circle_outline
remove_circle_outline
remove_circle_outline
remove_circle_outline

Journals

remove_circle_outline
remove_circle_outline
remove_circle_outline
remove_circle_outline
remove_circle_outline
remove_circle_outline

Article Types

Countries / Regions

remove_circle_outline
remove_circle_outline
remove_circle_outline
remove_circle_outline
remove_circle_outline
remove_circle_outline

Search Results (472)

Search Parameters:
Keywords = gestation length

Order results
Result details
Results per page
Select all
Export citation of selected articles as:
15 pages, 824 KB  
Article
The Association of Human Milk Appetite-Regulating Hormones with Infant Growth and Eating Behaviors to Age Six Months
by Adrienne Bruder, Lindsay Ellsworth, Julie Sturza, Brigid Gregg, Alison L. Miller and Julie C. Lumeng
Nutrients 2026, 18(8), 1203; https://doi.org/10.3390/nu18081203 - 10 Apr 2026
Abstract
Background/Objectives: Appetite-regulating hormones are bioactive components of human milk. We tested the associations of leptin and adiponectin with infant growth and eating behaviors to age 6 months. Methods: In a cohort of 70 healthy, full-term infants and their mothers, human milk [...] Read more.
Background/Objectives: Appetite-regulating hormones are bioactive components of human milk. We tested the associations of leptin and adiponectin with infant growth and eating behaviors to age 6 months. Methods: In a cohort of 70 healthy, full-term infants and their mothers, human milk adiponectin and leptin were assayed at age 2 months (m). At infant ages 2, 4, and 6 m, infant anthropometry was obtained, mothers reported feeding frequency, duration, and breastfeeding intensity and completed the Baby Eating Behavior Questionnaire (Enjoyment of Food, Food Responsiveness, and General Appetite), and infant sucking vigor using an artificial nipple (burst duration and sucking frequency) was measured. Mothers reported demographics, gestational diabetes and pre-pregnancy body mass index (BMI), gestational age, and infant birthweight. Multivariate models evaluated predictors of leptin and adiponectin, and associations of leptin and adiponectin with infant growth and eating behaviors. Results: Human milk leptin was predicted by maternal BMI (β = 0.02) and breastfeeding intensity (β = −0.32). Regarding infant growth, infant weight-for-age and weight-for-length z-scores at 6 m were predicted by leptin (β = 0.91 and β = 1.22, respectively) and adiponectin (β = 0.01 and β = 0.01, respectively). Regarding infant eating behaviors, feeding duration at 2 m and feeding frequency at 4 m were predicted by adiponectin (β = 0.03 and β = −0.02, respectively). Conclusions: Human milk leptin and adiponectin may contribute to weight gain in early infancy, but the effect does not appear to be mediated substantially by infant eating behaviors. Further investigation into the metabolic programming of early infant weight gain is warranted. Full article
(This article belongs to the Section Pediatric Nutrition)
8 pages, 739 KB  
Case Report
Severe Short Stature and rhGH Resistance in a Child Born SGA: The Role of a Novel IGF1R Mutation, Case Report and Narrative Review
by Giovanni Luppino, Eleonora Ini’, Letteria Anna Morabito, Tiziana Abbate, Cecilia Lugarà, Tommaso Aversa, Malgorzata Wasniewska and Domenico Corica
Children 2026, 13(4), 458; https://doi.org/10.3390/children13040458 - 27 Mar 2026
Viewed by 258
Abstract
Background: Genetic causes of growth failure should be suspected in patients born small for gestational age (SGA) who fail to show postnatal catch-up growth, present with severe short stature (SS), and exhibit a poor or absent response to growth hormone (rhGH) therapy. [...] Read more.
Background: Genetic causes of growth failure should be suspected in patients born small for gestational age (SGA) who fail to show postnatal catch-up growth, present with severe short stature (SS), and exhibit a poor or absent response to growth hormone (rhGH) therapy. Mutations in the insulin-like growth factor 1 receptor (IGF1R) gene are associated with impaired growth, intrauterine growth restriction (IUGR), low birth weight and/or length, and postnatal SS. Case Description: A 9-year-old boy, born SGA for birth length, was evaluated for severe SS. Common causes of SS were excluded. At 9 years and 7 months of age, his height was 112.6 cm (−3.99 SDS), weight 18 kg (−3.79 SDS), and BMI 14.2 kg/m2 (−1.8 SDS); pubertal development was Tanner stage 1. The target height was 158 cm (−2.62 SDS). Bone age was delayed by approximately one year compared with chronological age. Serum IGF-1 levels were within the upper-normal range for age. GH therapy (0.035 mg/kg/day) was initiated due to the lack of catch-up growth in an SGA subject. After three years of treatment, the height gain was only 0.5 SDS. IGF-1 levels showed a transient treatment-related increase, followed by persistent normalization during ongoing therapy. Next-generation sequencing (NGS) analysis identified novel heterozygous paternal nonsense variant in the IGF1R gene: c.3498C>G (p.Tyr1166Ter). At 12 years of age, impaired fasting glucose and reduced glucose tolerance were detected; consequently, it was decided to discontinue rhGH therapy, also in light of the IGF1R mutation and the lack of height recovery. Conclusions: This case underlines the critical role of genetic testing in the evaluation of patients born SGA. The coexistence of SGA status and an IGF1R gene mutation may provide a clear explanation for both the poor response to rhGH therapy and the increased risk of alterations in glucose metabolism. An extensive narrative review of the literature on growth outcomes and glucose metabolism abnormalities during GH treatment in SGA patients carrying IGF1R variants was also performed. Full article
Show Figures

Graphical abstract

14 pages, 11470 KB  
Article
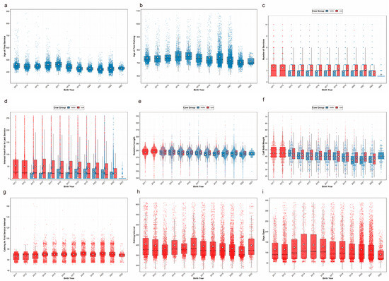
Candidate Gene Identification and Genomic Prediction for Key Reproductive Traits in Yorkshire, Landrace, and Duroc Pigs
by Wenjie Hao, Wu-Sheng Sun, Zhuoshan Li, Jingbo Zhang, Lijun Shi, Hasi Chaolu, Qi Zhang, Teerath Kumar Suthar, Lixian Wang and Shu-Min Zhang
Animals 2026, 16(7), 999; https://doi.org/10.3390/ani16070999 - 24 Mar 2026
Viewed by 262
Abstract
The study analyzed ten reproductive traits in three major commercial breeds—Yorkshire, Landrace, and Duroc—raised under uniform management. Genetic parameters were estimated using a repeatability animal model in ASReml, genome-wide association studies (GWAS) were performed with 46,358 post-QC SNPs using GCTA, and genomic prediction [...] Read more.
The study analyzed ten reproductive traits in three major commercial breeds—Yorkshire, Landrace, and Duroc—raised under uniform management. Genetic parameters were estimated using a repeatability animal model in ASReml, genome-wide association studies (GWAS) were performed with 46,358 post-QC SNPs using GCTA, and genomic prediction was evaluated with GBLUP. Heritability estimates were low to moderate, with gestation length (GL) highest (0.33–0.41). GWAS identified significant loci across breeds: in Yorkshire, 37 genome-wide significant SNPs across 17 SSCs for seven traits; in Landrace, 16 SNPs for TNB and one for NBW; and in Duroc, 31 SNPs across 12 SSCs (predominantly for TNB). Among these SNPs, CNC10042060, CNC10160995, and CNCB10003799 were consistently associated with TNB in both Yorkshire and Duroc pigs. Additionally, five SNPs, CNC10012965, CNC10042060, CNC10120451, CNCB10003799, and CNCB10007759, showed significant associations with NBW in Yorkshire and Landrace pigs. Candidate genes mapped within ±1 Mb of significant SNPs were enriched for biologically plausible pathways. Genomic prediction accuracies ranged from low to high depending on trait and breed, such as reaching 0.68 for GL in 39 Yorkshire and 0.59 in Landrace. These results delineate shared and breed-specific genetic architectures, provide actionable markers and candidate genes, and can accelerate genetic gains in commercial breeding programs. Full article
Show Figures

Figure 1

13 pages, 3948 KB  
Article
Closing/Closed Gastroschisis (CGS): Antenatal Predictors and Surgical Strategies in Cases of Unique Anatomy from a Case Series
by Dmitrii Morozov, Liza Vanyan, Mariia Morozova, Nadezhda Erokhina, Ellina Velichko, Olga Morozova, Maria Yagodkina, Vasily Shumikhin and Olga Mokrushina
Children 2026, 13(3), 408; https://doi.org/10.3390/children13030408 - 15 Mar 2026
Viewed by 264
Abstract
Background: Closing/closed gastroschisis (CGS) accounts for approximately 6% of gastroschisis cases globally. Currently, no consensus exists regarding: antenatal predictors of CGS types, optimal antenatal management (ultrasound screening frequency, indications for early delivery), or standardized surgical strategies tailored to CGS type (staging/timing of [...] Read more.
Background: Closing/closed gastroschisis (CGS) accounts for approximately 6% of gastroschisis cases globally. Currently, no consensus exists regarding: antenatal predictors of CGS types, optimal antenatal management (ultrasound screening frequency, indications for early delivery), or standardized surgical strategies tailored to CGS type (staging/timing of procedures, enterostomy necessity/level). Methods: Five neonates with CGS were enrolled and classified according to Perrone’s classification: two patients with type B (40%), one with type C (20%), one with type D (20%), one patient was classified as unclear (20%). Gender distribution—80% female (n = 4), 20% male (n = 1); gestational age—median 35 weeks (IQR 35–38); preterm birth rate—80% (n = 4); birth weight—median 2620 g (IQR 2310–3850). Results: Three patients (60%) developed antenatal intestinal obstruction signs at the third trimester, including two who postnatally demonstrated viable intestinal loops. Two patients (40%) with necrosis of eviscerated intestine demonstrated onset of antenatal intestinal obstruction signs at the second trimester. Patients with CGS type B were managed using a staged surgical approach; patients with types C and D received single-stage repair. Patient with CGS type B achieved complete clinical recovery. Three patients (60%) with CGS types C and D developed short bowel syndrome. Conclusions: The appearance of sonographic signs of intestinal obstruction in the second trimester may be a predictor for a high risk of subsequent significant vascular compromise of the eviscerated bowel, leading to more severe types of CGS (C and D). For patients with CGS type B, a staged surgical approach is advisable to maximize bowel length preservation. Full article
Show Figures

Figure 1

7 pages, 657 KB  
Case Report
Congenital Chylous Ascites in a Neonate with Isolated Aqueductal Stenosis: A Case Report and Literature Review
by Bandar M. Abuageelah, Mona H. Alfaifi, Musaab I. Alnaami, Mubarak M. Alshahrani, Salma M. Jammali, Mohamed F. Hamoda and Mohammed H. Alshehri
Reports 2026, 9(1), 86; https://doi.org/10.3390/reports9010086 - 15 Mar 2026
Viewed by 283
Abstract
Background and Clinical Significance: Ventriculoperitoneal (VP) shunting remains the standard definitive treatment for progressive neonatal obstructive hydrocephalus. Congenital chylous ascites is an uncommon neonatal condition, most often related to developmental lymphatic abnormalities. The concurrence of hydrocephalus requiring VP diversion with congenital chylous [...] Read more.
Background and Clinical Significance: Ventriculoperitoneal (VP) shunting remains the standard definitive treatment for progressive neonatal obstructive hydrocephalus. Congenital chylous ascites is an uncommon neonatal condition, most often related to developmental lymphatic abnormalities. The concurrence of hydrocephalus requiring VP diversion with congenital chylous ascites is exceptionally rare and may first become apparent during abdominal access for shunt placement. Awareness of this possibility is clinically important because milky peritoneal fluid at shunt surgery can mimic gastrointestinal injury, and persistent postoperative abdominal fluid collections may be misattributed to shunt-related complications. Case Presentation: A late-preterm female infant (36 weeks’ gestation; birth weight 2.3 kg) presented with congenital hydrocephalus. Cranial ultrasonography was consistent with isolated aqueductal stenosis. Preoperative abdominal ultrasonography demonstrated mild ascites. On 27 May 2025, a VP shunt was placed for obstructive hydrocephalus. Upon entering the peritoneal cavity, milky-white fluid was encountered, prompting concern for bowel injury; however, careful exploration showed no gastrointestinal perforation. Ascitic fluid analysis revealed markedly elevated triglycerides (2300 mg/dL), confirming chylous ascites. The VP shunt was completed without an intraoperative complication. During follow-up, the infant showed appropriate growth (weight 3.0 kg; length 50 cm), while ascites persisted, and she was referred for multidisciplinary evaluation and management. Conclusions: This case highlights an exceptionally rare association of congenital chylous ascites with isolated aqueductal stenosis, identified incidentally during VP shunt insertion. Prompt intraoperative recognition, biochemical confirmation, and coordinated follow-up are essential to distinguish congenital chylous ascites from shunt-related abdominal fluid collections and to guide appropriate multidisciplinary care. Full article
(This article belongs to the Section Surgery)
Show Figures

Figure 1

21 pages, 627 KB  
Article
Association of Gene Variants in Matrix Metalloproteinases and Their Tissue Inhibitors with Intraventricular Haemorrhage in Preterm Infants
by Dawid Szpecht, Karolina Żyto, Gabriela Ciszek, Karolina Duczmal, Zofia Kowal, Kornelia Kręciszewska, Zuzanna Słowińska, Grażyna Kurzawińska, Anna Sowińska and Agnieszka Seremak-Mrozikiewicz
Int. J. Mol. Sci. 2026, 27(6), 2596; https://doi.org/10.3390/ijms27062596 - 12 Mar 2026
Viewed by 535
Abstract
The objective of the present study is to examine the association between the presence of various forms of matrix metalloproteinase genes (MMP-1, MMP-9, TIMP-1 and TIMP-2) and their tissue inhibitors, and the incidence of intraventricular haemorrhage (IVH) in premature [...] Read more.
The objective of the present study is to examine the association between the presence of various forms of matrix metalloproteinase genes (MMP-1, MMP-9, TIMP-1 and TIMP-2) and their tissue inhibitors, and the incidence of intraventricular haemorrhage (IVH) in premature neonates. The data for this study were obtained from samples of peripheral venous blood, which were collected and stored post-delivery. The techniques employed for the purpose of genotyping were polymerase chain reaction (PCR) and restriction fragment length polymorphism (RFLP). The population that was examined comprised 100 patients with a gestational age (GA) ranging from 22 to 33 weeks and birth weight (BW) ranging from 432 to 2100 g. In the cohort of enrolled patients, 48 cases of IVH were observed. As indicated by the findings of this study, the majority of observed correlations between MMP-1, MMP-9, TIMP-1, and TIMP-2 variants and IVH did not demonstrate statistical significance, with the exception of the T allele of TIMP1 rs4898. Nevertheless, the findings of this study indicated a potential impact of these variants on the incidence of IVH. The present study suggests that further research is required to elucidate the role of MMP/TIMP polymorphisms in the aforementioned disease. Full article
(This article belongs to the Special Issue Genetic and Molecular Basis of Diseases in Preterm Infants)
Show Figures

Figure 1

16 pages, 2721 KB  
Article
Factors Influencing the Course of Hospitalization in Children with Respiratory Syncytial Virus Infection: A Retrospective Single-Center Study at the Department of Pediatrics, Wadowice Hospital, Poland
by Klaudia Kasperek, Dominik Gałuszka, Agnieszka Sumara and Anna Kurkiewicz-Piotrowska
Medicina 2026, 62(3), 455; https://doi.org/10.3390/medicina62030455 - 28 Feb 2026
Viewed by 485
Abstract
Background and Objectives: Respiratory syncytial virus (RSV) is a leading cause of hospitalization among infants and young children. The clinical course of RSV infection varies considerably depending on age and selected clinical factors. The objective of this study was to identify demographic [...] Read more.
Background and Objectives: Respiratory syncytial virus (RSV) is a leading cause of hospitalization among infants and young children. The clinical course of RSV infection varies considerably depending on age and selected clinical factors. The objective of this study was to identify demographic and clinical variables associated with the course of hospitalization in children admitted due to laboratory-confirmed RSV infection. Materials and Methods: A retrospective observational study was conducted based on the medical records of 100 immunocompetent pediatric patients hospitalized due to RSV infection in the Department of Pediatrics of Hospital in Wadowice, Poland, between December 2021 and April 2023. Inclusion criteria were age ≤ 5 years and laboratory-confirmed RSV infection. Patients with congenital heart disease, chronic lung disease (including cystic fibrosis), immunodeficiency, or other severe chronic conditions were excluded. Collected data included age, gestational age at birth, mode of delivery, vaccination status, clinical presentation, length of hospital stay, C-reactive protein (CRP) levels, seasonality of infection, and use of antibiotic therapy. Results: The median length of hospitalization was 6 days (range: 0–18). Younger age was significantly associated with longer hospital stay (p < 0.05) and higher CRP levels (p < 0.05). No significant associations were observed between hospitalization duration and mode of delivery or vaccination status. Gestational age at birth did not influence the number of clinical symptoms. The need for antibiotic therapy differed significantly according to the season of infection (p < 0.05). Conclusions: In children hospitalized with RSV infection, age and seasonality were the primary factors influencing the course of hospitalization, whereas perinatal factors such as mode of delivery and vaccination status had no significant impact. These findings underscore the importance of age-oriented clinical assessment and support efforts to optimize antimicrobial stewardship during RSV seasons. Full article
(This article belongs to the Section Pediatrics)
Show Figures

Figure 1

10 pages, 809 KB  
Article
Transumbilical Laparoscopic-Assisted (TULA) Surgery for Treating Abdominal Pathologies in Newborns: A Retrospective Single-Center Experience
by Giada Loria, Roberta Aurora Aversa, Alessandra Fichera, Agnese Bartolone, Vincenzo Di Benedetto and Maria Grazia Scuderi
Children 2026, 13(3), 338; https://doi.org/10.3390/children13030338 - 27 Feb 2026
Viewed by 344
Abstract
Background: Transumbilical laparoscopic-assisted (TULA) surgery is a minimally invasive technique that combines laparoscopic exploration with extracorporeal surgical management, offering potential advantages in neonatal abdominal surgery. However, comparative data with conventional open surgery in neonates remain limited. This study reports our single-center experience with [...] Read more.
Background: Transumbilical laparoscopic-assisted (TULA) surgery is a minimally invasive technique that combines laparoscopic exploration with extracorporeal surgical management, offering potential advantages in neonatal abdominal surgery. However, comparative data with conventional open surgery in neonates remain limited. This study reports our single-center experience with TULA and compares its outcomes with those of a matched cohort of neonates undergoing open surgery. Methods: We performed a retrospective study on neonatal patients (<28 days of life) treated at our Pediatric Surgery Unit between 2015 and 2023. Twenty-five neonates underwent TULA for various intra-abdominal malformations. Each TULA patient was matched in a 1:2 ratio with neonates treated with open surgery based on gestational age, birth weight, and underlying diagnosis, resulting in a matched cohort of 50 patients. Primary outcomes included operative and anesthesia times, conversion rate, postoperative complications, length of hospital stay, and mortality. Results: The TULA cohort included 11 males and 14 females, with a mean gestational age of 37.5 ± 1.9 weeks and a mean birth weight of 2989 ± 675 g. Indications comprised intestinal malrotation, ileal atresia, duodenal stenosis, meconium ileus, and other abdominal pathologies. Mean operative time was comparable between groups (116 ± 37 min in the TULA group vs. 137 ± 65.9 min in the open surgery group; p = 0.52). Conversion from TULA to open surgery occurred in 16% of cases. No significant differences were observed in major postoperative complications or length of hospital stay between groups (p > 0.05). No mortality was reported. Conclusions: TULA represents a safe and effective surgical option for selected neonatal abdominal pathologies, with outcomes comparable to conventional open surgery. When performed in specialized centers with appropriate patient selection and multidisciplinary expertise, TULA offers favorable safety and cosmetic results. Full article
Show Figures

Graphical abstract

10 pages, 230 KB  
Article
Reducing the Length of Hospitalization for Premature Infants Using a Quality Improvement Project
by Ilan Segal, Hanna Shaferman, Evgenia Gurevich and Shmuel Zangen
J. Clin. Med. 2026, 15(4), 1650; https://doi.org/10.3390/jcm15041650 - 22 Feb 2026
Viewed by 352
Abstract
Background/Objectives: Preterms often experience unnecessary delays in discharge. This quality improvement (QI) project aimed to reduce length of stay (LOS) in the neonatal intensive care unit (NICU). Methods: In this before-and-after intervention study on preterms (28 + 0–33 + 6 weeks gestation), we [...] Read more.
Background/Objectives: Preterms often experience unnecessary delays in discharge. This quality improvement (QI) project aimed to reduce length of stay (LOS) in the neonatal intensive care unit (NICU). Methods: In this before-and-after intervention study on preterms (28 + 0–33 + 6 weeks gestation), we compared NICU outcomes (LOS, postmenstrual age (PMA) and weight at discharge, and readmission within 7 days) from pre-intervention (2013–2015) and post-intervention (2016–2017) periods. The intervention included discharge planning, standardized checklists, parental education, and team-based coordination. Results: We analyzed 377 infants. In post-interventional group, there was a reduction in LOS and PMA at discharge (31.45 ± 19.05 vs. 26.8 ± 15.8 days, p = 0.01 and 35.93 ± 1.84 vs. 35.43 ± 1.27 weeks, p < 0.01, respectively) without significant differences in discharge weight and readmission rates. Conclusions: QI interventions were significantly associated with shorter LOS for preterms. Standardized discharge procedures may improve outcomes and resource utilization in NICUs. Full article
(This article belongs to the Special Issue Clinical Diagnosis and Management of Neonatal Diseases)
17 pages, 3245 KB  
Article
Estimation of Genetic Parameters of Reproductive Traits in Holstein Cattle from Southern China
by Wenjie Li, Shuwen Xia, Yanming Quan, Yangyang Shen, Weining Li, Kunlin Chen, Zhenjiang An, Yingying Jiang, Zengxiang Pan and Huili Wang
Animals 2026, 16(4), 604; https://doi.org/10.3390/ani16040604 - 14 Feb 2026
Viewed by 300
Abstract
Reproductive performance is a critical determinant of dairy farm productivity and profitability. This study aimed to estimate genetic parameters for key reproductive traits in Holstein cattle from southern China. Phenotypic data comprising 117,514 records from 44,861 cows across eight farms were analyzed. Genetic [...] Read more.
Reproductive performance is a critical determinant of dairy farm productivity and profitability. This study aimed to estimate genetic parameters for key reproductive traits in Holstein cattle from southern China. Phenotypic data comprising 117,514 records from 44,861 cows across eight farms were analyzed. Genetic parameters were estimated separately for heifers and multiparous cows using single-trait animal and repeatability models via the AI-REML module in DMU. Bivariate and multi-trait models were employed to estimate trait correlations within and across parity groups, respectively. The results indicate that heifers generally exhibited superior reproductive efficiency compared to multiparous cows. Heritability estimates ranged from 0.04 to 0.47 in heifers, with age at first service (AFS) being the highest (0.47 ± 0.02), while estimates for multiparous cows were consistently low (0.03–0.14). Strong genetic correlations were observed among functionally related traits, particularly in multiparous cows. For example, high positive genetic correlations were detected between Number of Services (NSc) and Interval from First to Last Service (IFLc, 0.91), NSc and Days Open (DO, 0.87), Interval from First to Last Service (IFLc) and Calving Interval (CI, 0.94), and IFLc and DO (0.96). Multi-trait analysis revealed moderate genetic correlations (0.13–0.85) for the same trait across heifers and different cow parities, with gestation length (GL) showing the strongest correlation (0.99) across all parities. The findings confirm that most reproductive traits in this population, especially in multiparous cows, exhibit low heritability and are strongly influenced by management and environment. This study thereby delivers practical guidance for the genetic improvement of low-heritability traits and for the production management of Holstein cattle in southern China. Full article
Show Figures

Figure 1

16 pages, 1396 KB  
Article
Genome Imputation for Genome-Wide Association Study of Reproductive Traits in Chinese Duroc, Landrace, and Yorkshire Pigs: Strategy and Validation
by Jieke Zhou, Yang Fu, Yingying Zhang, Weilong Tu, Ji Huang, Yaxu Liang, Bushe Li, Hejun Zhang, Yan Liu, Kejun Wang, Hongyang Wang and Yongsong Tan
Animals 2026, 16(4), 583; https://doi.org/10.3390/ani16040583 - 12 Feb 2026
Cited by 1 | Viewed by 395
Abstract
Reproductive traits are critical for improving productivity and profitability in the pig industry, and genome-wide association studies (GWASs) are a powerful tool in detecting genetic markers related to target traits. Genome imputation provides an effective approach to obtain a greater number of genetic [...] Read more.
Reproductive traits are critical for improving productivity and profitability in the pig industry, and genome-wide association studies (GWASs) are a powerful tool in detecting genetic markers related to target traits. Genome imputation provides an effective approach to obtain a greater number of genetic markers from low-density sequencing data. China’s pig industry recently introduced an imputation panel and is now seeking to determine what types of data are required to meet breeding needs. In this study, we collected and analyzed two pig sequencing datasets, including Yorkshire pig (YY), Landrace pig (LL), and Duroc pig (DD), genotyped by either an SNP chip (n = 816) or genotyping-by-targeted sequencing (n = 314), and applied an imputation strategy before validation in a third dataset (n = 2401). The aim of this study was to identify SNPs associated with reproductive traits and compare imputation results of two different types of data to evaluate whether sample size or marker density more strongly impacts imputation-enabled GWAS performance. Through a GWAS, we identified 73 significant SNPs from imputed Chip data across seven reproductive traits, 94 SNPs from imputed GBTS data across three traits, and 34 SNPs from the combined dataset across seven traits. Seven of these SNPs passed validation and were associated with number born alive, number born healthy, and gestation length. Gestation length (GL) and number born alive (NBA) are the most noteworthy traits. LOXL2 and PTPRD are high-confidence candidate genes affecting GL and NBA, respectively. In addition to LOXL2, STC1, NKX2-6, HMGCLL1, MLIP, TINAG, FAM83B, GFRAL, HCRTR2, ENTPD4, MYH8, IER5L, and U5 are associated with GL. Moreover, in addition to PTPRD, KLHL32, U6, MMS22L, and FHL5 are associated with NBA. The results of this study indicate that sample size is of greater importance than marker density in imputation strategies and provide beneficial insights into genes affecting pigs’ reproductive traits. Full article
(This article belongs to the Section Animal Genetics and Genomics)
Show Figures

Figure 1

13 pages, 793 KB  
Article
Comparative Effectiveness of Pessary Placement, Cervical Cerclage, or Expectant Management in Preventing Preterm Delivery in Twin Pregnancies
by Christina Pagkaki, Nektaria Kritsotaki, Anastasia Bothou, Vasiliki Kourti, Georgios Tsatsaris, Barbara Niesigk, Efthymios Oikonomou, Nikolaos Machairiotis, Nikolaos Tsikouras, Spyridon Michalopoulos, Anastasia Grapsa, Angeliki Gerede, Nikoletta Koutlaki, Alexander Tobias Teichmann and Panagiotis Tsikouras
J. Pers. Med. 2026, 16(2), 104; https://doi.org/10.3390/jpm16020104 - 10 Feb 2026
Viewed by 452
Abstract
Objective: The objective of this study was to evaluate the association between cervical management strategies, specifically pessary placement, cervical cerclage, or expectant management, and gestational age at delivery in twin pregnancies and to assess the prognostic value of cervical characteristics for early preterm [...] Read more.
Objective: The objective of this study was to evaluate the association between cervical management strategies, specifically pessary placement, cervical cerclage, or expectant management, and gestational age at delivery in twin pregnancies and to assess the prognostic value of cervical characteristics for early preterm birth (<33 weeks). Methods: We conducted a retrospective cohort study including 120 twin pregnancies managed at a tertiary referral center between 2019 and 2024. Pregnancies with positive vaginal or cervical microbiological cultures or abnormal cervical cytology were excluded. The management strategy was selected based on cervical characteristics and clinical judgment. Gestational age at delivery was compared across intervention groups using descriptive statistics, kernel density plots, boxplots, and Kaplan–Meier survival analysis. Multivariable Cox proportional hazards regression was performed to estimate adjusted hazard ratios (HRs) for early delivery, including intervention type and cervical parameters (length, diameter, and funneling). Results: Overall, 26 of 120 pregnancies (21.6%) resulted in delivery before 33 weeks. Pessary placement was associated with longer gestational duration compared with cerclage or expectant management. Kaplan–Meier analysis demonstrated a clear separation of survival curves by intervention group, with the pessary group maintaining pregnancy to later gestational ages (log-rank p < 0.001). In multivariable Cox regression analysis, pessary use was associated with a significantly lower hazard of early delivery compared with cerclage (HR = 0.088, 95% CI: 0.035–0.220; p < 0.001). Expectant management showed a trend toward an increased risk of early delivery (HR = 2.44; p = 0.067). Cervical length and diameter were not independently associated with early delivery after adjustment for intervention type. Funneling was associated with a lower hazard of early delivery, a finding that warrants cautious interpretation. Conclusions: In this retrospective cohort of twin pregnancies without microbiological evidence of infection, pessary placement was associated with prolonged gestation and a lower hazard of early preterm delivery compared with cerclage or expectant management. These findings support a personalized, risk-adapted approach to cervical intervention selection in twin pregnancies. Prospective, randomized studies incorporating etiologic stratification are needed to confirm these associations and guide clinical practice. Full article
Show Figures

Figure 1

13 pages, 1084 KB  
Article
Morphometric and Morphological Analysis of the Pulmonary Auscultatory Triangle in Human Fetuses: Anatomical Insights for Thoracic Surgery
by Caio Siqueira Kuhn, Marcelo Lucas de Lima Prado, Iapunira Catarina Sant’Anna Aragão, Felipe Matheus Sant’Anna Aragão, Francisco Prado Reis, Deise Maria Furtado de Mendonça and José Aderval Aragão
Anatomia 2026, 5(1), 5; https://doi.org/10.3390/anatomia5010005 - 9 Feb 2026
Viewed by 441
Abstract
Objectives: The Pulmonary Auscultatory Triangle (PAT) is a bilateral region on the back delimited by the trapezius, latissimus dorsi, and scapula. Beyond its relevance for pulmonary auscultation, PAT also represents an important anatomical window for posterior thoracic approaches. While its anatomy has been [...] Read more.
Objectives: The Pulmonary Auscultatory Triangle (PAT) is a bilateral region on the back delimited by the trapezius, latissimus dorsi, and scapula. Beyond its relevance for pulmonary auscultation, PAT also represents an important anatomical window for posterior thoracic approaches. While its anatomy has been extensively described in adults, data on its developmental morphology during fetal life remain scarce. This original morphometric study aimed to characterize the morphometry and morphology of the PAT in human fetuses and to evaluate differences according to sex, side, and gestational age. Methods: A total of 80 PATs from 40 human fetuses (20 male and 20 female) were examined. Using ImageJ software 1.54k, we measured margin lengths (inferior trapezius, medial scapular, and superior latissimus), area, and perimeter. Morphological classification was performed based on internal angles. Associations with sex, side, and gestational age were statistically assessed. Results: The mean gestational age was 28.6 weeks. PAT had a mean area of 103.2 mm2 and a mean perimeter of 49.1 mm. Mean margin lengths were 20.1 mm for the trapezius, 12.4 mm for the scapular margin, and 16.6 mm for the latissimus dorsi. Three morphologies were observed: acute (42.5%), obtuse (25.0%), and rectangular (32.5%). A significant asymmetry in shape distribution was found between sides (p = 0.034). Weak but statistically significant positive correlations with gestational age were found for perimeter and for the trapezius and latissimus dorsi margins, indicating progressive enlargement with fetal growth. Conclusions: This study provides the first detailed morphometric and morphological description of the PAT in human fetuses. The findings establish a developmental anatomical baseline for the posterior thoracic wall and highlight growth-related changes and side-related variability. Full article
Show Figures

Figure 1

16 pages, 6058 KB  
Article
Polystyrene Nanoparticles Disrupt Oxidative Phosphorylation and Impair Placental Development in Mice
by Bingyi Wang, Xinyi Xie, Nairui Fan, Qiqi Deng, Nannan Shi, Denglu Long, Weipeng Huang, Siqi Zhu, Zhi Chen, Xin Cheng, Xuesong Yang, Guang Wang and Qihao Zhang
Toxics 2026, 14(2), 158; https://doi.org/10.3390/toxics14020158 - 8 Feb 2026
Cited by 1 | Viewed by 751
Abstract
Background: Microplastics and nanoplastics, as pervasive and persistent environmental pollutants, are raising growing concerns regarding their potential risks to reproductive health, particularly pregnancy outcomes. Although the reproductive toxicity of polystyrene nanoplastics (PS-NPs) has been reported, the specific mechanisms underlying their effects on placental [...] Read more.
Background: Microplastics and nanoplastics, as pervasive and persistent environmental pollutants, are raising growing concerns regarding their potential risks to reproductive health, particularly pregnancy outcomes. Although the reproductive toxicity of polystyrene nanoplastics (PS-NPs) has been reported, the specific mechanisms underlying their effects on placental development and offspring health following gestational exposure remain unclear. Method: This study aimed to investigate the effects of gestational exposure to PS-NPs of different sizes (50 and 200 nm) and concentrations (1, 3, and 10 mg/mL) on placental function and embryonic development in ICR mice. An exposure model was established via tail vein injection, and samples were collected on embryonic Day 14.5 (E14.5). Results: the exposed groups tended towards increased embryo weight, embryo length, and embryo head circumference. Transcriptomic analysis revealed that PS-NP exposure significantly downregulated the expression of Ndufa5 (a subunit of mitochondrial respiratory chain complex I) and mt-CO1 (a core subunit of complex IV), but upregulated the expression of the genes Cldn1 (tight junction protein) and Erbb3 (receptor tyrosine kinase) in the placenta. Differentially expressed genes were enriched primarily in pathways related to oxidative phosphorylation, the tricarboxylic acid (TCA) cycle, and ErbB signalling. Conclusions: These changes collectively led to decreased mitochondrial ATP production, increased oxidative stress in the placenta, and potentially altered placental barrier function and trophoblast cell proliferation signalling. This study reveals a novel mechanism by which PS-NPs disrupt placental development and embryonic growth through impairment of placental energy metabolic homeostasis and key signalling pathways, thus providing crucial experimental evidence for assessing the reproductive and developmental toxicity of nanoplastics. Full article
(This article belongs to the Section Reproductive and Developmental Toxicity)
Show Figures

Graphical abstract

9 pages, 218 KB  
Article
Fetal Adrenal Gland Biometry and Middle Adrenal Artery Doppler in Pregnancies Presenting with Preterm Labor: A Prospective Case–Control Study
by Belgin Savran Üçok, Özgür Volkan Akbulut, Sadun Sucu, Mustafa Bağcı, İbrahim Buğra Bahadır and Kadriye Yakut Yücel
J. Clin. Med. 2026, 15(3), 1192; https://doi.org/10.3390/jcm15031192 - 3 Feb 2026
Viewed by 336
Abstract
Objective: This study aimed to compare fetal adrenal gland volume (AGV), fetal zone (FZ) depth, and middle adrenal artery pulsatility index (MAA-PI) between pregnancies presenting with preterm labor and gestational age-matched asymptomatic controls, and to evaluate size-adjusted adrenal metrics (corrected AGV [cAGV] [...] Read more.
Objective: This study aimed to compare fetal adrenal gland volume (AGV), fetal zone (FZ) depth, and middle adrenal artery pulsatility index (MAA-PI) between pregnancies presenting with preterm labor and gestational age-matched asymptomatic controls, and to evaluate size-adjusted adrenal metrics (corrected AGV [cAGV] and fetal zone–total gland depth ratio) in relation to gestational age at delivery and neonatal outcomes. Methods: This prospective analytical cross-sectional (case–control) study included 60 singleton pregnancies (30 with preterm labor and 30 asymptomatic controls) evaluated at a tertiary perinatology unit between 24 + 0 and 36 + 6 weeks’ gestation. Transvaginal cervical length and transabdominal fetal adrenal measurements (AGV, FZ depth, and MAA-PI) were obtained at enrollment. Estimated fetal weight (EFW) at the index scan was retrieved, and corrected AGV (cAGV = AGV/EFW) and fetal zone–total gland depth ratio were calculated. Outcomes were gestational age at delivery, birthweight, Apgar scores, and neonatal intensive care unit (NICU) admission. Nonparametric group comparisons and Spearman correlations were used. Results: Gestational age at ultrasound was identical between groups (median 31 + 6 weeks). Compared with controls, the preterm labor group had shorter cervical length (12.5 vs. 33.5 mm, p < 0.001), higher AGV (1.53 vs. 1.08 cm3, p < 0.001) and FZ depth (7.45 vs. 5.30 mm, p < 0.001), and lower MAA-PI (1.11 vs. 1.46, p < 0.001). EFW at the index scan did not differ between groups (p = 0.900). Corrected AGV (cAGV) was higher in the preterm labor group (0.87 (0.76–1.06) vs. 0.59 (0.51–0.70), p < 0.001), and the fetal zone–total gland depth ratio was higher (0.328 (0.312–0.346) vs. 0.263 (0.241–0.278), p < 0.001). The preterm labor group delivered earlier (33 + 0 vs. 36 + 2 weeks, p < 0.001), had lower birthweight (1875 vs. 3188 g, p < 0.001), and more frequent NICU admission (50.0% vs. 6.7%; odds ratio 14.0, 95% CI 2.82–69.56; p < 0.001). Within the preterm labor group, gestational age at delivery correlated positively with cervical length (ρ = 0.900) and MAA-PI (ρ = 0.770) and negatively with AGV (ρ = −0.770) and FZ depth (ρ = −0.733), all p < 0.001; correlations were stronger for cAGV (ρ = −0.953, p < 0.001). Conclusions: Enlarged fetal adrenal gland volume and fetal zone depth together with reduced middle adrenal artery pulsatility index are associated with preterm labor and earlier delivery. Size-adjusted adrenal metrics (cAGV and fetal zone–total gland depth ratio) remained significantly different between groups, supporting these measures as potential adjuncts for risk stratification at presentation. Full article
(This article belongs to the Section Obstetrics & Gynecology)
Back to TopTop