Estimation of Genetic Parameters of Reproductive Traits in Holstein Cattle from Southern China
Simple Summary
Abstract
1. Introduction
2. Materials and Methods
2.1. Phenotypic Data
2.2. Quality Control of Reproductive Data
2.3. Pedigree Information
2.4. Analysis of Fixed Effects
2.5. Genetic Evaluation Models
2.5.1. Single-Trait Animal Model
2.5.2. Single-Trait Repeatability Model
2.5.3. Bivariate Models
2.5.4. Multi-Trait Models
2.6. Estimation of Genetic Parameter
3. Results
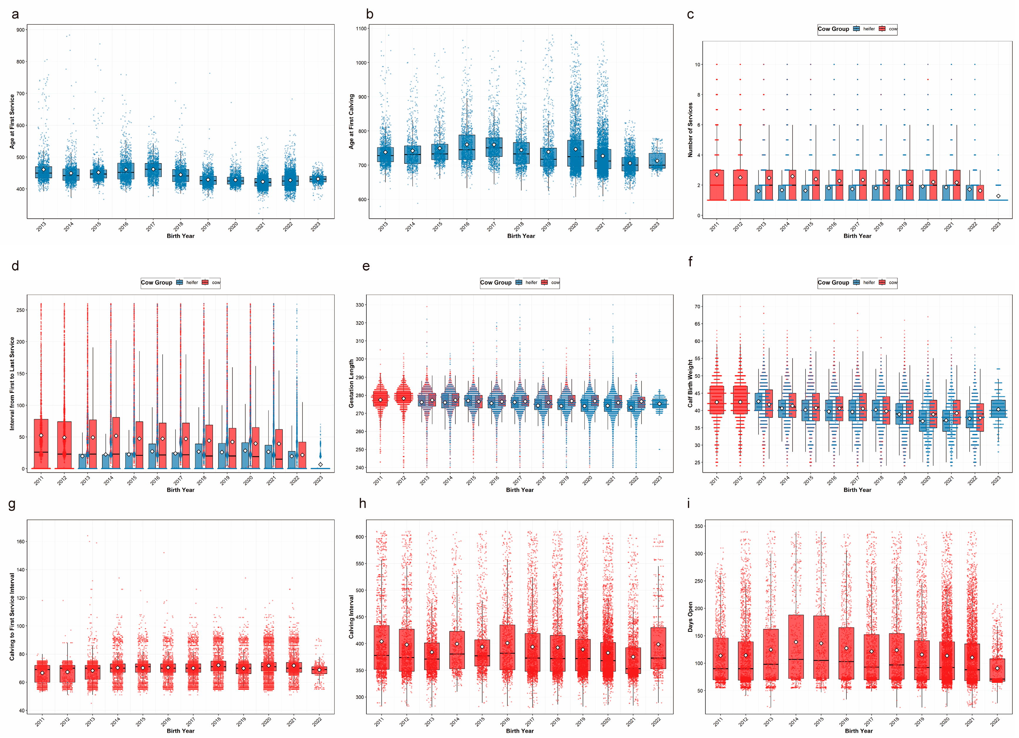
3.1. Descriptive Statistics of Reproductive Traits
3.2. Genetic Parameters and Variance Components of Reproductive Traits
3.3. Genetic and Phenotypic Correlations of Reproductive Traits
3.4. Correlation Coefficients Between Different Parity Levels for the Same Trait Based on a Multi-Trait Model
4. Discussion
4.1. Overview of Reproductive Performance in Holstein Cattle from Southern China
4.2. Heritability of Reproductive Traits
4.3. Genetic and Phenotypic Correlations of Reproductive Traits
4.4. Genetic Relationships Across Parities Provide a Basis for Early Selection
4.5. Influence of Environment and Management on Reproductive Traits and Breeding Implications
5. Conclusions
Author Contributions
Funding
Institutional Review Board Statement
Informed Consent Statement
Data Availability Statement
Conflicts of Interest
References
- Miglior, F.; Muir, B.L.; Van Doormaal, B.J. Selection indices in Holstein cattle of various countries. J. Dairy Sci. 2005, 88, 1255–1263. [Google Scholar] [CrossRef] [PubMed]
- Giordano, J.O.; Kalantari, A.S.; Fricke, P.M.; Wiltbank, M.C.; Cabrera, V.E. A daily herd Markov-chain model to study the reproductive and economic impact of reproductive programs combining timed artificial insemination and estrus detection. J. Dairy Sci. 2012, 95, 5442–5460. [Google Scholar] [CrossRef] [PubMed]
- Sitko, E.M.; Di Croce, F.A.; McNeel, A.K.; Weigel, D.J.; Giordano, J.O. Effect of reproductive management programs that prioritized artificial insemination at detected estrus or timed artificial insemination on the economic performance of primiparous Holstein cows of different genetic merit for fertility. J. Dairy Sci. 2023, 106, 6495–6514. [Google Scholar] [CrossRef]
- Hutchison, J.L.; VanRaden, P.M.; Null, D.J.; Cole, J.B.; Bickhart, D.M. Genomic evaluation of age at first calving. J. Dairy Sci. 2017, 100, 6853–6861. [Google Scholar] [CrossRef]
- Márton, J.; Bene, S.A.; Szabó, F. Heritability Estimates of Age at First Calving and Correlation Analysis in Angus Cows Bred in Hungary. Animals 2024, 14, 3715. [Google Scholar] [CrossRef] [PubMed]
- Hare, E.; Norman, H.D.; Wright, J.R. Trends in calving ages and calving intervals for dairy cattle breeds in the United States. J. Dairy Sci. 2006, 89, 365–370. [Google Scholar] [CrossRef]
- Bene, S.A.; Kőrösi, Z.J.; Bognár, L.; Polgár, J.P.; Szabó, F. Relationship Between Age at First Calving and 305-Day Milk Yield in Hungarian Holstein-Friesian Cows: Trends and Genetic Parameters. Animals 2025, 15, 3648. [Google Scholar] [CrossRef]
- Lee, J.G.; Seo, J.; Alam, M.; Song, H.; Lee, S.; Cho, J.; Dang, C.G.; Lee, J. Estimation of genetic parameters for reproductive traits in Korean dairy cattle. Anim. Biosci. 2025, 38, 33–40. [Google Scholar] [CrossRef]
- Zambrano, J.; Rincón, J.; Echeverri, J. Genetic parameters for production and reproduction traits in Colombian Holstein and Jersey cattle. Arch. Zootec. 2014, 63, 495–506. [Google Scholar]
- Hansen, L.B.; Freeman, A.E.; Berger, P.J. Association of heifer fertility with cow fertility and yield in dairy cattle. J. Dairy Sci. 1983, 66, 306–314. [Google Scholar] [CrossRef]
- Vinet, A.; Mattalia, S.; Vallée, R.; Bertrand, C.; Barbat, A.; Promp, J.; Cuyabano, B.C.D.; Boichard, D. Effect of temperature-humidity index on the evolution of trade-offs between fertility and production in dairy cattle. Genet. Sel. Evol. 2024, 56, 23. [Google Scholar] [CrossRef]
- Zeng, C.; Wang, Y.; Xia, R.; Deng, K.; Fan, Y.; Wang, F.; Zhang, G. Research progress on phenotypic identifications of reproductive traits in ruminants. Sci. Sin. 2023, 53, 981–988. [Google Scholar] [CrossRef]
- Ayele Lombebo, W.; Kang, H.; Mingxin, D.; Tesema Wondie, Z.; Mekuriaw Tarekegn, G.; Zheng, H. Genetic parameter estimates and genetic trends for reproductive traits of Holstein dairy cattle in China. J. Dairy Sci. 2025, 109, 1775–1783. [Google Scholar] [CrossRef]
- Muuttoranta, K.; Tyrisevä, A.M.; Mäntysaari, E.A.; Pösö, J.; Aamand, G.P.; Lidauer, M.H. Genetic parameters for female fertility in Nordic Holstein and Red Cattle dairy breeds. J. Dairy Sci. 2019, 102, 8184–8196. [Google Scholar] [CrossRef]
- Zhang, Q. Development and Current Status of Methods for Estimating Livestock Breeding Values and Genetic Parameters. Grass-Feed. Livest. 1990, 6, 1–4+46. [Google Scholar] [CrossRef]
- Haque, M.A.; Iqbal, A.; Alam, M.Z.; Lee, Y.M.; Ha, J.J.; Kim, J.J. Estimation of genetic correlations and genomic prediction accuracy for reproductive and carcass traits in Hanwoo cows. J. Anim. Sci. Technol. 2024, 66, 682–701. [Google Scholar] [CrossRef] [PubMed]
- Shi, R.; Brito, L.F.; Li, S.; Han, L.; Guo, G.; Wen, W.; Yan, Q.; Chen, S.; Wang, Y. Genomic prediction and validation strategies for reproductive traits in Holstein cattle across different Chinese regions and climatic conditions. J. Dairy Sci. 2024, 108, 707–725. [Google Scholar] [CrossRef]
- Wang, K.; Yang, X.; Liu, Y.; Zhang, Y.; Niu, X. Genetic Parameter Estimation of Growth and Development Traits of Simmental Cattle Taihang Group. Chin. Livest. Poult. Breed. 2024, 20, 7–16. [Google Scholar]
- Tohidi, R.; Nazari, B.M. Estimation of genetic parameters of the productive and reproductive traits in Iranian Holstein cattle using single and repeated records. Trop. Anim. Health Prod. 2023, 55, 398. [Google Scholar] [CrossRef]
- Schwarz, L.; Križanac, A.M.; Schneider, H.; Falker-Gieske, C.; Heise, J.; Liu, Z.; Bennewitz, J.; Thaller, G.; Tetens, J. Genetic and genomic analysis of reproduction traits in holstein cattle using SNP chip data and imputed sequence level genotypes. BMC Genom. 2024, 25, 880. [Google Scholar] [CrossRef] [PubMed]
- Guo, G.; Guo, X.; Wang, Y.; Zhang, X.; Zhang, S.; Li, X.; Liu, L.; Shi, W.; Usman, T.; Wang, X.; et al. Estimation of genetic parameters of fertility traits in Chinese Holstein cattle. Can. J. Anim. Sci. 2014, 94, 281–285. [Google Scholar] [CrossRef]
- Chen, Z.; Shi, R.; Luo, H.; Tian, J.; Wei, C.; Zhang, W.; Li, W.; Wen, W. Estimation of Genetic Parameters of Reproductive Traits of Holstein Heifers in Ningxia. Acta Vet. Zootech. Sin. 2021, 52, 344–351. [Google Scholar]
- Zhu, K.; Li, T.; Liu, D.; Wang, S.; Wang, S.; Wang, Q.; Pan, Y.; Zan, L.; Ma, P. Estimation of genetic parameters for fertility traits in Chinese Holstein of south China. Front. Genet. 2023, 14, 1288375. [Google Scholar] [CrossRef]
- Gao, Q.; Liu, H.; Wang, Z.; Lan, X.; An, J.; Shen, W.; Wan, F. Recent advances in feed and nutrition of beef cattle in China—A review. Anim. Biosci. 2023, 36, 529–539. [Google Scholar] [CrossRef]
- Cai, Y.; Jiao, T.; Lei, Z.; Liu, L.; Zhao, S. Maternal genetic and phylogenetic characteristics of domesticated cattle in northwestern China. PLoS ONE 2018, 13, e0209645. [Google Scholar] [CrossRef] [PubMed]
- Carvalho Filho, I.; Campos, G.S.; Lourenco, D.; Schenkel, F.S.; da Silva, D.A.; Lima Silva, T.; Souza Teixeira, C.; Fonseca, L.F.S.; Fernandes Júnior, G.A.; de Albuquerque, L.G.; et al. Genotype by environment interaction for productive and reproductive traits in beef cattle using imputed whole genome sequence. J. Appl. Genet. 2026, 67, 235–247. [Google Scholar] [CrossRef] [PubMed]
- Neto, J.B.S.; Brito, L.F.; Mota, L.F.M.; Rodrigues, G.R.D.; Baldi, F. Modeling genotype-by-environment interactions across climatic conditions reveals environment-specific genomic regions and candidate genes underlying feed efficiency traits in tropical beef cattle. Sci. Rep. 2026, 16, 643. [Google Scholar] [CrossRef] [PubMed]
- López-Gatius, F.; García-Ispierto, I.; Santolaria, P.; Yániz, J.; Nogareda, C.; López-Béjar, M. Screening for high fertility in high-producing dairy cows. Theriogenology 2006, 65, 1678–1689. [Google Scholar] [CrossRef]
- Kgari, R.D.; Muller, C.; Dzama, K.; Makgahlela, M.L. Estimation of Genetic Parameters for Heifer and Cow Fertility Traits Derived from On-Farm AI Service Records of South African Holstein Cattle. Animals 2022, 12, 2023. [Google Scholar] [CrossRef]
- Liu, A. Estimation of Genetic Parameters and Genomic Prediction for Reproductive Traits in Dairy Cows. Master’s Thesis, Agricultural University, Beijing, China, 2018. [Google Scholar]
- Meng, Y. Genetic Analysis of Milk Production and Reproductive Traits of Holstein Herds in Shuozhou Area of Shanxi Province. Master’s Thesis, Shanxi Agricultural University, Jinzhong, China, 2022. [Google Scholar]
- Madsen, P.; Jensen, J.; Labouriau, R.; Christensen, O.F.; Sahana, G. DMU-a package for analyzing multivariate mixed models in quantitative genetics and genomics. In Proceedings of the 10th World Congress on Genetics Applied to Livestock Production (WCGALP), Vancouver, BC, Canada, 17–22 August 2014. [Google Scholar]
- Andersen-Ranberg, I.M.; Klemetsdal, G.; Heringstad, B.; Steine, T. Heritabilities, genetic correlations, and genetic change for female fertility and protein yield in Norwegian Dairy Cattle. J. Dairy Sci. 2005, 88, 348–355. [Google Scholar] [CrossRef]
- Hu, H.H.; Li, F.; Mu, T.; Han, L.Y.; Feng, X.F.; Ma, Y.F.; Jiang, Y.; Xue, X.S.; Du, B.Q.; Li, R.R.; et al. Genetic analysis of longevity and their associations with fertility traits in Holstein cattle. Animal 2023, 17, 100851. [Google Scholar] [CrossRef]
- Wiltbank, M.; Lopez, H.; Sartori, R.; Sangsritavong, S.; Gümen, A. Changes in reproductive physiology of lactating dairy cows due to elevated steroid metabolism. Theriogenology 2006, 65, 17–29. [Google Scholar] [CrossRef]
- Donovan, G.A.; Bennett, F.L.; Springer, F.S. Factors associated with first service conception in artificially inseminated nulliparous Holstein heifers. Theriogenology 2003, 60, 67–75. [Google Scholar] [CrossRef]
- Masello, M.; Perez, M.M.; Granados, G.E.; Stangaferro, M.L.; Ceglowski, B.; Thomas, M.J.; Giordano, J.O. Reproductive performance of replacement dairy heifers submitted to first service with programs that favor insemination at detected estrus, timed artificial insemination, or a combination of both. J. Dairy Sci. 2019, 102, 1671–1681. [Google Scholar] [CrossRef]
- Hou, Y.; Madsen, P.; Labouriau, R.; Zhang, Y.; Lund, M.S.; Su, G. Genetic analysis of days from calving to first insemination and days open in Danish Holsteins using different models and censoring scenarios. J. Dairy Sci. 2009, 92, 1229–1239. [Google Scholar] [CrossRef]
- Boonkum, W.; Misztal, I.; Duangjinda, M.; Pattarajinda, V.; Tumwasorn, S.; Buaban, S. Short communication: Genetic effects of heat stress on days open for Thai Holstein crossbreds. J. Dairy Sci. 2011, 94, 1592–1596. [Google Scholar] [CrossRef]
- Prates, J.A.M. Heat Stress Effects on Animal Health and Performance in Monogastric Livestock: Physiological Responses, Molecular Mechanisms, and Management Interventions. Vet. Sci. 2025, 12, 429. [Google Scholar] [CrossRef] [PubMed]
- Mejia Turcios, S.E.; Rotz, C.A.; McGlone, J.; Rivera, C.R.; Mitloehner, F.M. Effects of heat stress mitigation strategies on feedlot cattle performance, environmental, and economic outcomes in a hot climate. Animal 2024, 18, 101257. [Google Scholar] [CrossRef] [PubMed]
- Pryce, J.; Veerkamp, R.; Thompson, R.; Hill, W.; Simm, G. Genetic aspects of common health disorders and measures of fertility in Holstein Friesian dairy cattle. Anim. Sci. 1997, 65, 353–360. [Google Scholar] [CrossRef]
- Veerkamp, R.; Koenen, E.; De Jong, G. Genetic correlations among body condition score, yield, and fertility in first-parity cows estimated by random regression models. J. Dairy Sci. 2001, 84, 2327–2335. [Google Scholar] [CrossRef] [PubMed]
- Zhao, J. Investigation on the Reproductive Traits of Chinese Holstein and the Association with the Milking Performances in Jiangsu Province. J. Anhui Agric. Sci. 2013, 41, 1157–1159+1259. [Google Scholar] [CrossRef]
- Norman, H.D.; Wright, J.R.; Hubbard, S.M.; Miller, R.H.; Hutchison, J.L. Reproductive status of Holstein and Jersey cows in the United States. J. Dairy Sci. 2009, 92, 3517–3528. [Google Scholar] [CrossRef]
- Raheja, K.L.; Burnside, E.B.; Schaeffer, L.R. Heifer fertility and its relationship with cow fertility and production traits in Holstein dairy cattle. J. Dairy Sci. 1989, 72, 2665–2669. [Google Scholar] [CrossRef] [PubMed]
- Matilainen, K.; Strandén, I.; Aamand, G.P.; Mäntysaari, E.A. Single step genomic evaluation for female fertility in Nordic Red dairy cattle. J. Anim. Breed. Genet. 2018, 135, 337–348. [Google Scholar] [CrossRef]
- Cienfuegos-Rivas, E.G.; Blake, R.W.; Oltenacu, P.A.; Castillo-Juarez, H. Fertility responses of Mexican Holstein cows to US sire selection. J. Dairy Sci. 2006, 89, 2755–2760. [Google Scholar] [CrossRef]
- Mulder, H.A. Methods to Optimize Livestock Breeding Programs with Genotype by Environment Interaction and Genetic Heterogeneity of Environmental Variance; Wageningen University and Research: Wageningen, The Netherlands, 2007. [Google Scholar]
- Shrestha, B.; Paudyal, S.; Kaniyamattam, K.; Grohn, Y.T. Graduate Student Literature Review: Organic dairy cattle longevity and economic implications-Contemporary perspectives. J. Dairy Sci. 2025, 108, 3734–3745. [Google Scholar] [CrossRef] [PubMed]
- Liu, A.; Lund, M.S.; Wang, Y.; Guo, G.; Dong, G.; Madsen, P.; Su, G. Variance components and correlations of female fertility traits in Chinese Holstein population. J. Anim. Sci. Biotechnol. 2017, 8, 56. [Google Scholar] [CrossRef]
- Liu, Z.; Jaitner, J.; Reinhardt, F.; Pasman, E.; Rensing, S.; Reents, R. Genetic evaluation of fertility traits of dairy cattle using a multiple-trait animal model. J. Dairy Sci. 2008, 91, 4333–4343. [Google Scholar] [CrossRef]
- de Haer, L. Estimation of Genetic Parameters of Fertility Traits, for Virgin Heifers in The Netherlands. Interbull Bull. 2013. Available online: https://journal.interbull.org/index.php/ib/article/view/1779 (accessed on 10 February 2026).
- Hayes, B.J.; Daetwyler, H.D.; Goddard, M.E. Models for genome× environment interaction: Examples in livestock. Crop Sci. 2016, 56, 2251–2259. [Google Scholar] [CrossRef]
- Silva, L.H.R.; Silva, A.L.; Marcondes, M.I.; Bittencourt, C.S.; Rodrigues, J.V.C.; Amorim, W.P.F.; Lima Netto, E.P.; Silva, T.E.; Costa, J.H.C.; Rotta, P.P. A comparative analysis of dairy production systems: Milk production tiers and their impact on dairy calf and heifer cost of production in Brazil. J. Dairy Sci. 2025, 108, 13439–13454. [Google Scholar] [CrossRef]
- Ghiasi, H.; Pakdel, A.; Nejati-Javaremi, A.; Mehrabani-Yeganeh, H.; Honarvar, M.; González-Recio, O.; Carabaño, M.J.; Alenda, R. Genetic variance components for female fertility in Iranian Holstein cows. Livest. Sci. 2011, 139, 277–280. [Google Scholar] [CrossRef]
- Eghbalsaied, S. Estimation of genetic parameters for 13 female fertility indices in Holstein dairy cows. Trop. Anim. Health Prod. 2011, 43, 811–816. [Google Scholar] [CrossRef] [PubMed]
- M’hamdi, N.; Aloulou, R.; Brar, S.; Bouallegue, M.; Hamouda, B.M. Phenotypic and genetic parameters of reproductive traits in Tunisian Holstein cows. Biotechnol. Anim. Husb. 2010, 26, 297–307. [Google Scholar] [CrossRef]
- Hu, X.; He, Z.; Zhao, C.; He, Y.; Qiu, M.; Xiang, K.; Zhang, N.; Fu, Y. Gut/rumen-mammary gland axis in mastitis: Gut/rumen microbiota-mediated “gastroenterogenic mastitis”. J. Adv. Res. 2024, 55, 159–171. [Google Scholar] [CrossRef]
- Liu, K.; Zhang, Y.; Yu, Z.; Xu, Q.; Zheng, N.; Zhao, S.; Huang, G.; Wang, J. Ruminal microbiota-host interaction and its effect on nutrient metabolism. Anim. Nutr. 2021, 7, 49–55. [Google Scholar] [CrossRef]
- Wu, J.J.; Zhu, S.; Tang, Y.F.; Gu, F.; Liu, J.X.; Sun, H.Z. Microbiota-host crosstalk in the newborn and adult rumen at single-cell resolution. BMC Biol. 2022, 20, 280. [Google Scholar] [CrossRef] [PubMed]
- Jagusiak, W.; Zarnecki, A. Genetic Evaluation for Fertility Traits in Polish Holsteins. Interbull Bull. 2006. Available online: https://journal.interbull.org/index.php/ib/article/view/1304 (accessed on 10 February 2026).
- Mostert, B.; Van der Westhuizen, R.; Theron, H. Calving interval genetic parameters and trends for dairy breeds in South Africa. South Afr. J. Anim. Sci. 2010, 40. [Google Scholar] [CrossRef]
- Grosshans, T.; Xu, Z.; Burton, L.; Johnson, D.; Macmillan, K. Performance and genetic parameters for fertility of seasonal dairy cows in New Zealand. Livest. Prod. Sci. 1997, 51, 41–51. [Google Scholar] [CrossRef]
- Zink, V.; Štípková, M.; Lassen, J. Genetic parameters for female fertility, locomotion, body condition score, and linear type traits in Czech Holstein cattle. J. Dairy Sci. 2011, 94, 5176–5182. [Google Scholar] [CrossRef]
- Fathoni, A.; Boonkum, W.; Chankitisakul, V.; Buaban, S.; Duangjinda, M. Pleiotropic Genes Affecting Milk Production, Fertility, and Health in Thai-Holstein Crossbred Dairy Cattle: A GWAS Approach. Animals 2025, 15, 1320. [Google Scholar] [CrossRef]
- Gredler, B.; Schnyder, U. New Genetic Evaluation of Fertility in Swiss Brown Swiss. Interbull Bull. 2013. Available online: https://journal.interbull.org/index.php/ib/article/view/1794 (accessed on 10 February 2026).
- Rhoads, M.L. Review: Reproductive consequences of whole-body adaptations of dairy cattle to heat stress. Animal 2023, 17, 100847. [Google Scholar] [CrossRef] [PubMed]
- West, J.W. Effects of heat-stress on production in dairy cattle. J. Dairy Sci. 2003, 86, 2131–2144. [Google Scholar] [CrossRef]
- Torres-Júnior, J.R.d.S.; Pires, M.d.F.A.; de Sá, W.F.; Ferreira, A.d.M.; Viana, J.H.M.; Camargo, L.S.A.; Ramos, A.A.; Folhadella, I.M.; Polisseni, J.; de Freitas, C.; et al. Effect of maternal heat-stress on follicular growth and oocyte competence in Bos indicus cattle. Theriogenology 2008, 69, 155–166. [Google Scholar] [CrossRef]
- Roth, Z.; Arav, A.; Bor, A.; Zeron, Y.; Braw-Tal, R.; Wolfenson, D. Improvement of quality of oocytes collected in the autumn by enhanced removal of impaired follicles from previously heat-stressed cows. Reproduction 2001, 122, 737–744. [Google Scholar] [CrossRef][Green Version]
- Zhao, W.; Luna Ramirez, R.I.; Rhoads, R.P.; Brown, L.D.; Limesand, S.W. Fetal programming under maternal heat stress: A focus on skeletal muscle growth and nutrition in livestock. J. Dev. Orig. Health Dis. 2025, 16, e28. [Google Scholar] [CrossRef]
- Roth, Z. Cooling is the predominant strategy to alleviate the effects of heat stress on dairy cows. Reprod. Domest. Anim. 2022, 57, 16–22. [Google Scholar] [CrossRef] [PubMed]
- Perano, K.M.; Usack, J.G.; Angenent, L.T.; Gebremedhin, K.G. Production and physiological responses of heat-stressed lactating dairy cattle to conductive cooling. J. Dairy Sci. 2015, 98, 5252–5261. [Google Scholar] [CrossRef] [PubMed]



| Trait Abbreviation | Full Name | Definition (Units) | Analyzed in |
|---|---|---|---|
| AFS | Age at First Service | Interval between birth date and first service date (days) | Heifers |
| AFC | Age at First Calving | Interval between birth date and first calving date (days) | Heifers |
| CR/CRc | Conception Rate at First Service | Proportion of successful pregnancies from first service (0/1) | Heifers/multiparous cows |
| NS/NSc | Number of Services | Total service attempts from first to successful service (count) | Heifers/multiparous cows |
| IFL/IFLc | Interval from First to Last Service | Period between first and successful service within parity (days) | Heifers/multiparous cows |
| GL/GLc | Gestation Length | Duration from successful service to subsequent calving (days) | Heifers/multiparous cows |
| BW/BWc | Calf Birth Weight | Newborn calf weight measured after birth (kg) | Heifers/multiparous cows |
| CTFS | Calving to First Service Interval | Period from calving to first subsequent service (days) | Multiparous cows |
| CI | Calving Interval | Interval between two consecutive calving dates (days) | Multiparous cows |
| DO | Days Open | Interval from calving to a successful subsequent service (days) | Multiparous cows |
| Non-Genetic Factors | Level Classification | |
|---|---|---|
| Heifers | Multiparous Cows | |
| Herd (H) | 8 levels (1 level per pasture) | 8 levels (same as heifers) |
| Birth Year (BY) | 2013–2023 (11 levels, 1 level per year) | 2011–2022 (12 levels, 1 level per year) |
| First Service Year (FSY) | 2014–2024 (11 levels, 1 level per year) | 2012–2024 (13 levels, 1 level per year) |
| Birth Season (BS) | 4 levels: spring (March–May), summer (June–August), fall (September–November), winter (December–February) | 4 levels (same as heifers) |
| First Service Season (FSS) | 4 levels (same classification criteria as birth season) | 4 levels (same as heifers) |
| Calving Season (CSE) | 4 levels (same as birth season classification criteria) | 4 levels (same as heifers) |
| Parity (P) | --- | 7 levels: 1–6 parities (1 level per parity), more than 6 parities (1 level) |
| Breeder (BRE) | 75 levels (1 level per breeder) | 81 levels (varies by breeder count) |
| Traits | N | Max | Min | Mean | SD | CV% |
|---|---|---|---|---|---|---|
| AFS | 18,953 | 889 | 323 | 439.00 | 36.96 | 8.40 |
| AFC | 21,237 | 1080 | 559 | 735.80 | 62.43 | 8.48 |
| CR/CRc | 33,558/66,933 | 1 | 0 | 0.64/0.68 | 0.08/0.07 | 12.50/10.29 |
| NS/NSc | 28,953/68,119 | 10 | 1 | 1.79/2.40 | 0.28/0.83 | 15.64/34.58 |
| IFL/IFLc | 28,197/64,089 | 260 | 0 | 26.20/48.18 | 6.67/14.62 | 25.46/30.34 |
| GL/GLc | 26,943/42,469 | 330 | 240 | 274.80/276.50 | 6.79/6.80 | 2.47/2.46 |
| BW/BWc | 25,537/46,021 | 70 | 24 | 37.85/39.25 | 5.76/6.91 | 15.22/17.61 |
| CTFS | 13,221 | 207 | 19 | 71.51 | 14.78 | 20.67 |
| CI | 33,498 | 610 | 280 | 392.10 | 33.84 | 8.63 |
| DO | 24,128 | 340 | 19 | 118.50 | 24.71 | 20.85 |
| VC | σ2a | σ2e | h2 | SE | |
|---|---|---|---|---|---|
| Traits | |||||
| AFS | 345.84 | 389.15 | 0.47 | 0.02 | |
| CR | 0.01 | 0.11 | 0.08 | 0.01 | |
| NS | 0.22 | 1.32 | 0.14 | 0.01 | |
| IFL | 77.19 | 1733.67 | 0.04 | 0.01 | |
| GL | 9.16 | 38.82 | 0.19 | 0.03 | |
| AFC | 344.77 | 2565.70 | 0.12 | 0.02 | |
| BW | 9.16 | 38.82 | 0.19 | 0.03 | |
| VC | σ2a | σ2pe | σ2e | h2 | SE | re | |
|---|---|---|---|---|---|---|---|
| Traits | |||||||
| CRc | 0.01 | 0.04 | 0.09 | 0.07 | 0.02 | 0.36 | |
| NSc | 0.05 | 0.09 | 1.38 | 0.03 | 0.01 | 0.09 | |
| IFLc | 44.74 | 176.36 | 1387.42 | 0.03 | 0.02 | 0.14 | |
| GLc | 5.66 | 1.53 | 33.51 | 0.14 | 0.03 | 0.18 | |
| CTFS | 5.82 | 0.00 | 70.51 | 0.08 | 0.02 | 0.05 | |
| CI | 51.52 | 0.00 | 652.78 | 0.07 | 0.02 | 0.07 | |
| DO | 29.04 | 0.00 | 597.61 | 0.05 | 0.02 | 0.05 | |
| BWc | 6.13 | 10.34 | 32.77 | 0.12 | 0.03 | 0.33 | |
| Traits | NS | CR | IFL | GL | BW | CTFS | CI | DO |
|---|---|---|---|---|---|---|---|---|
| N | 33,840 | 423,250 | 40,866 | 24,956 | 25,690 | 15,516 | 11,899 | 15,596 |
| ra0,a1 | 0.07 (0.12) | 0.47 (0.11) | 0.34 (0.17) | 0.99 (0.20) | 0.73 (0.08) | - | - | - |
| ra0,a2 | 0.24 (0.17) | 0.03 (0.16) | 0.15 (0.38) | 0.99 (1.34) | 0.85 (0.09) | - | - | - |
| ra0,a3 | 0.06 (0.22) | 0.08 (0.22) | 0.13 (0.34) | 0.99 (1.39) | 0.66 (0.22) | - | - | - |
| ra1,a2 | 0.61 (0.17) | 0.50 (0.13) | 0.82 (0.35) | 0.99 (1.70) | 0.81 (0.09) | −0.03 (0.12) | 0.08 (0.29) | −0.20 (0.41) |
| ra1,a3 | 0.89 (0.20) | 0.63 (0.19) | 0.56 (0.29) | 0.99 (1.46) | 0.96 (0.18) | 0.25 (0.70) | 0.35 (0.30) | 0.04 (0.80) |
| ra2,a3 | 0.89 (0.26) | 0.91 (0.22) | 0.82 (0.57) | 0.99 (2.81) | 0.81 (0.21) | 0.40 (0.89) | 0.81 (0.53) | 0.97 (1.16) |
| rp0,p1 | −0.06 (0.09) | 0.02 (0.22) | −0.11 (0.31) | 0.12 (0.07) | 0.14 (0.08) | - | - | - |
| rp0,p2 | −0.03 (0.12) | 0.15 (0.06) | −0.07 (0.04) | 0.12 (0.13) | 0.12 (0.16) | - | - | - |
| rp0,p3 | −0.08 (0.11) | 0.17 (0.13) | −0.08 (0.04) | 0.09 (0.12) | 0.12 (0.04) | - | - | - |
| rp1,p2 | −0.08 (0.11) | 0.17 (0.13) | −0.04 (0.12) | 0.17 (0.07) | 0.36 (0.21) | −0.09 (0.31) | −0.14 (0.04) | −0.16 (0.12) |
| rp1,p3 | 0.06 (0.14) | 0.28 (0.13) | −0.04 (0.09) | 0.14 (0.18) | 0.33 (0.06) | 0.26 (0.12) | 0.10 (0.03) | −0.09 (0.35) |
| rp2,p3 | 0.07 (0.22) | 0.23 (0.21) | 0.01 (0.12) | 0.19 (0.22) | 0.40 (0.21) | 0.33 (0.21) | 0.16 (0.14) | −0.30 (0.28) |
Disclaimer/Publisher’s Note: The statements, opinions and data contained in all publications are solely those of the individual author(s) and contributor(s) and not of MDPI and/or the editor(s). MDPI and/or the editor(s) disclaim responsibility for any injury to people or property resulting from any ideas, methods, instructions or products referred to in the content. |
© 2026 by the authors. Licensee MDPI, Basel, Switzerland. This article is an open access article distributed under the terms and conditions of the Creative Commons Attribution (CC BY) license.
Share and Cite
Li, W.; Xia, S.; Quan, Y.; Shen, Y.; Li, W.; Chen, K.; An, Z.; Jiang, Y.; Pan, Z.; Wang, H. Estimation of Genetic Parameters of Reproductive Traits in Holstein Cattle from Southern China. Animals 2026, 16, 604. https://doi.org/10.3390/ani16040604
Li W, Xia S, Quan Y, Shen Y, Li W, Chen K, An Z, Jiang Y, Pan Z, Wang H. Estimation of Genetic Parameters of Reproductive Traits in Holstein Cattle from Southern China. Animals. 2026; 16(4):604. https://doi.org/10.3390/ani16040604
Chicago/Turabian StyleLi, Wenjie, Shuwen Xia, Yanming Quan, Yangyang Shen, Weining Li, Kunlin Chen, Zhenjiang An, Yingying Jiang, Zengxiang Pan, and Huili Wang. 2026. "Estimation of Genetic Parameters of Reproductive Traits in Holstein Cattle from Southern China" Animals 16, no. 4: 604. https://doi.org/10.3390/ani16040604
APA StyleLi, W., Xia, S., Quan, Y., Shen, Y., Li, W., Chen, K., An, Z., Jiang, Y., Pan, Z., & Wang, H. (2026). Estimation of Genetic Parameters of Reproductive Traits in Holstein Cattle from Southern China. Animals, 16(4), 604. https://doi.org/10.3390/ani16040604

