Sign in to use this feature.

Years

Between: -

Subjects

remove_circle_outline
remove_circle_outline
remove_circle_outline
remove_circle_outline
remove_circle_outline
remove_circle_outline
remove_circle_outline
remove_circle_outline
remove_circle_outline

Journals

remove_circle_outline
remove_circle_outline
remove_circle_outline
remove_circle_outline
remove_circle_outline
remove_circle_outline
remove_circle_outline

Article Types

Countries / Regions

remove_circle_outline
remove_circle_outline
remove_circle_outline
remove_circle_outline

Search Results (1,187)

Search Parameters:
Keywords = geographical weighted regression models

Order results
Result details
Results per page
Select all
Export citation of selected articles as:
31 pages, 16651 KB  
Article
Heterogeneous Ensemble Landslide Susceptibility Assessment Method Considering Spatial Heterogeneity
by Yiran Yao and Yimin Lu
Remote Sens. 2025, 17(21), 3639; https://doi.org/10.3390/rs17213639 - 4 Nov 2025
Abstract
Landslide susceptibility mapping (LSM) is an effective means of assessing landslide risk and has been widely applied. However, current landslide susceptibility assessment studies have not fully considered the spatial heterogeneity characteristics between landslide assessment factors. The performance of a single model is limited [...] Read more.
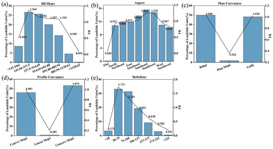
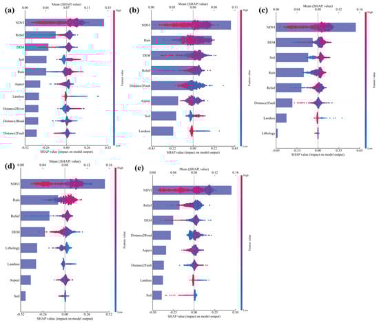
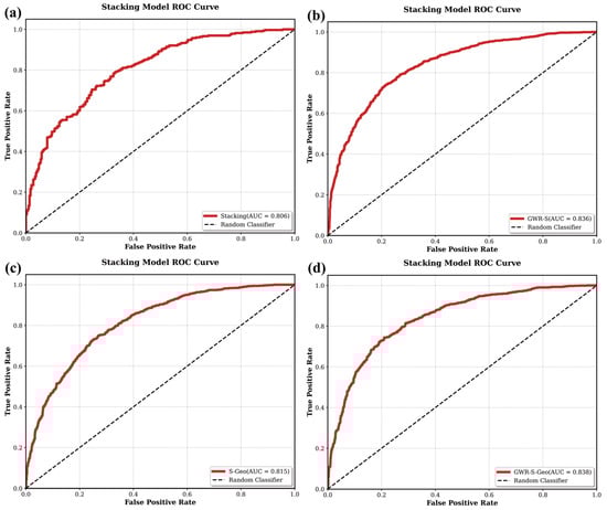
Landslide susceptibility mapping (LSM) is an effective means of assessing landslide risk and has been widely applied. However, current landslide susceptibility assessment studies have not fully considered the spatial heterogeneity characteristics between landslide assessment factors. The performance of a single model is limited by the structural characteristics of the model itself, and there is a significant limitation on the space for performance improvement. Based on these issues, this paper proposes a heterogeneous ensemble landslide susceptibility assessment method considering spatial heterogeneity. This method first combines the frequency ratio (FR), geographically weighted regression model (GWR), and clustering to partition the study area. Then, Geodetector is used to select the dominant factors for each subregion. Random forest (RF), support vector machine (SVM), and extreme gradient boosting (XGBoost) are selected as the base models, and logistic regression (LR) is selected as the metamodel. The stacking ensemble strategy is used to construct the model to complete a landslide susceptibility assessment in Fujian Province. The results show that compared with other methods, the GWR-S-Geo model considering spatial heterogeneity proposed in this study performs best in the evaluation effect, and performance is improved by 3.2% compared with the stacking ensemble model. This study provides a certain reference value for exploration of the spatial heterogeneity of landslide susceptibility, and also provides a scientific basis for the prevention and control of landslide disasters in Fujian Province. Full article
Show Figures

Figure 1

20 pages, 1144 KB  
Article
Research on the Analysis of Influential Factors of Short-Period Passenger Flow of Urban Rail Transit Based on Spatio-Temporal Heterogeneity
by Minlei Qian, Lin Cheng and Jianan Sun
Systems 2025, 13(11), 985; https://doi.org/10.3390/systems13110985 - 4 Nov 2025
Abstract
Urban Rail Transit (URT), as an important part of the modern urban transportation system, undertakes a large number of daily commuter passenger flow transportation needs. In this context, the in-depth analysis of influential factors of URT passenger flow has become an important issue [...] Read more.
Urban Rail Transit (URT), as an important part of the modern urban transportation system, undertakes a large number of daily commuter passenger flow transportation needs. In this context, the in-depth analysis of influential factors of URT passenger flow has become an important issue in transportation management and optimization. This paper selects 13 POI (Point of Interest) types and the surrounding demographic data as the independent variables, and constructs a multi-scale spatio-temporal geographically weighted regression (MGTWR) model with the daily morning peak inbound traffic of the URT station as the dependent variable. The results of the study show that the positive effect of the business and residential variables on the URT morning peak inbound passenger flow is the most significant, reflecting the fact that the increase in these variables promotes the morning peak inbound passenger flow; relatively speaking, the scenic spot variables have a negative effect on the URT morning peak inbound passenger flow, indicating that the increase in these variables inhibits the morning peak inbound passenger flow. In addition, the corporate variables have a negative effect on the morning peak inbound passenger flow, and the company variables have a negative effect on the daily peak inbound passenger flow of URT. URT morning peak inbound passenger flow is non-stationary, i.e., the degree of its influence fluctuates greatly in different spatial and temporal scales. In order to further understand these influence mechanisms, this paper conducts an in-depth analysis of the spatio-temporal characteristics of the above three types of variables, revealing the influence of their spatio-temporal heterogeneity on URT passenger flow. Full article
Show Figures

Figure 1

30 pages, 116528 KB  
Article
Multi-Scale Analysis of Influencing Factors for Temporal and Spatial Variations in PM2.5 in the Yangtze River Economic Belt
by Yufei Zhang, Yu Chen and Yongming Wei
Sustainability 2025, 17(21), 9721; https://doi.org/10.3390/su17219721 - 31 Oct 2025
Viewed by 91
Abstract
PM2.5 is the primary source of urban atmospheric pollution, as it not only damages the ecological environment but also poses a threat to human health. Taking the Yangtze River Economic Belt as the research object, this study analyzes the spatiotemporal variation characteristics [...] Read more.
PM2.5 is the primary source of urban atmospheric pollution, as it not only damages the ecological environment but also poses a threat to human health. Taking the Yangtze River Economic Belt as the research object, this study analyzes the spatiotemporal variation characteristics of PM2.5 concentrations in the region from 2005 to 2020. Furthermore, by combining the Geodetector model with Geographically and Temporally Weighted Regression (GTWR) model, the spatiotemporal heterogeneity of its influencing factors is revealed at three scales: municipal, watershed, and grid. The results show that, from 2005 to 2020, the annual average PM2.5 concentration in the Yangtze River Economic Belt exhibited an inverted U-shaped trend with 2013 as the inflection point, showing distinct spatial clustering characteristics. Overall, the spatiotemporal variation in annual average PM2.5 concentration demonstrated a significant downward trend during this period, with slower decline rates in the western region and faster rates in the central and eastern regions. Spatial differentiation of annual average PM2.5 concentrations within the region was primarily influenced by three factors: PFA, PISA, and PD. NDVI and PWA exerted their effects mainly at large scales, while MAT and SDE primarily acted at small scales. Within the region, NDVI and CVO predominantly suppressed PM2.5 concentrations, whereas MAT, PFA, PD, and SDE primarily promoted PM2.5 pollution. The spatial distribution of effects for factors within the same category is broadly consistent across the three scales, though details vary. This study overcomes previous limitations of administrative-scale research, yielding more refined results. It provides new methodologies and insights for future research while offering more precise scientific support for regional PM2.5 governance. Full article
(This article belongs to the Section Air, Climate Change and Sustainability)
Show Figures

Figure 1

24 pages, 3754 KB  
Article
Air Quality Monitoring in Two South African Townships: Modelling Spatial and Temporal Trends in O3 and CO Hotspots
by Aluwani Innocent Muneri, Benett Siyabonga Madonsela and Thabang Maphanga
Challenges 2025, 16(4), 52; https://doi.org/10.3390/challe16040052 - 31 Oct 2025
Viewed by 132
Abstract
Air quality is a key priority in environmental policy agendas worldwide, yet rapid urban growth in developing countries disproportionately affects urban air quality. In sub-Saharan Africa, the spatial and temporal dynamics of key pollutants remain underexplored. This knowledge gap limits the ability to [...] Read more.
Air quality is a key priority in environmental policy agendas worldwide, yet rapid urban growth in developing countries disproportionately affects urban air quality. In sub-Saharan Africa, the spatial and temporal dynamics of key pollutants remain underexplored. This knowledge gap limits the ability to understand how pollution hotspots emerge, how they shift over time, and how they interact with the broader planetary processes such as climate change. This study analysed the spatial distribution of ozone (O3) and carbon monoxide (CO) hotspots in Diepkloof and Klieprivier townships, Johannesburg, South Africa, using data from 2019 to 2023 obtained from air quality monitoring stations. Spatial patterns were mapped using Inverse Distance Weighting (IDW) interpolation in a Geographic Information System (GIS), and meteorological influences were assessed through multiple linear regression. Results showed distinct spatial trends: Diepkloof experienced a decrease in O3 from 23 ppb to 16 ppb, whereas Klieprivier remained stable but exhibited marked seasonal variation, peaking at 30 ppb in spring. Wind speed, wind direction, and humidity were significant predictors (p < 0.05) of both CO and O3. In Klieprivier, meteorological factors explained 54.2% of O3 variability, with temperature being the strongest predictor. These findings provide valuable insight into pollutant behaviour in urban townships and highlight the importance of integrating spatial analysis with meteorological modelling for targeted air quality management. Full article
Show Figures

Figure 1

21 pages, 7507 KB  
Article
Exploring Multi-Scale Synergies, Trade-Offs, and Driving Mechanisms of Ecosystem Services in Arid Regions: A Case Study of the Ili River Valley
by Ruyi Pan, Junjie Yan, Hongbo Ling and Qianqian Xia
Land 2025, 14(11), 2166; https://doi.org/10.3390/land14112166 - 30 Oct 2025
Viewed by 193
Abstract
Understanding the interactions among ecosystem services (ESs) and their spatiotemporal dynamics is pivotal for sustainable ecosystem management, particularly in arid regions where water scarcity imposes significant constraints. This study focuses on the Ili River Valley, a representative arid region, to investigate the evolution [...] Read more.
Understanding the interactions among ecosystem services (ESs) and their spatiotemporal dynamics is pivotal for sustainable ecosystem management, particularly in arid regions where water scarcity imposes significant constraints. This study focuses on the Ili River Valley, a representative arid region, to investigate the evolution of ESs, their trade-offs and synergies, and the underlying driving mechanisms from a water-resource-constrained perspective. We assessed five key ESs—soil retention (SR), habitat quality (HQ), water purification (WP), carbon sequestration (CS), and water yield (WY)—utilizing multi-source remote sensing and statistical data spanning 2000 to 2020. Employing the Integrated Valuation of Ecosystem Services and Tradeoffs (InVEST) model, Spearman correlation analysis, Geographically Weighted Regression (GWR), and the Geodetector method, we conducted a comprehensive analysis at both sub-watershed and 500 m grid scales. Our findings reveal that, except for SR and WP, the remaining three ESs exhibited an overall increasing trend over the two-decade period. Trade-off relationships predominantly characterize the ESs in the Ili River Valley; however, these interactions vary temporally and across spatial scales. Natural factors, including precipitation, temperature, and soil moisture, primarily drive WY, CS, and SR, whereas anthropogenic factors significantly influence HQ and WP. Moreover, the impact of these driving factors exhibits notable differences across spatial scales. The study underscores the necessity for ES management strategies tailored to specific regional characteristics, accounting for scale-dependent variations and the dual influences of natural and human factors. Such strategies are essential for formulating region-specific conservation and restoration policies, providing a scientific foundation for sustainable development in ecologically vulnerable arid regions. Full article
Show Figures

Figure 1

37 pages, 22486 KB  
Article
A National-Scale Evaluation of Eco-City Development in China: Spatial Heterogeneity, Obstacle Factors, and Relationship with Carbon Intensity
by Yuhui Wu, Deqin Fan, Yajun Cui, Shouhang Du, Wenbin Sun, Liyuan Guo and Chunhuan Liu
Land 2025, 14(11), 2146; https://doi.org/10.3390/land14112146 - 28 Oct 2025
Viewed by 255
Abstract
Under the national “dual-carbon goal” and the pressing demand for sustainable development, eco-city construction and carbon reduction have become critical issues on China’s urban development agenda, closely aligned with the United Nations Sustainable Development Goals (SDGs). However, most studies focus on regional assessments, [...] Read more.
Under the national “dual-carbon goal” and the pressing demand for sustainable development, eco-city construction and carbon reduction have become critical issues on China’s urban development agenda, closely aligned with the United Nations Sustainable Development Goals (SDGs). However, most studies focus on regional assessments, lacking national-scale evaluations and spatial heterogeneity analysis of obstacles. This study analyzes 280 Chinese cities using a multi-level evaluation system. Analytic hierarchy process (AHP) and entropy weight methods determine index weights, while the comprehensive evaluation method assesses ecological levels. The obstacle diagnosis model identifies key obstacle factors, and geographically weighted regression (GWR) analyzes spatial heterogeneity, computing carbon intensity to explore relationships with eco-cities development. The findings reveal that (1) the ecological level of Chinese cities exhibits a regional pattern of “high in the east, low in the west”; (2) the primary index-level obstacle factors include total per capita water resources, per capita green space area, college full-time faculty per 10,000 people, the proportion of tertiary industries in gross domestic product (GDP), and college students per 10,000 people; at the element level, the main obstacles are environmental bases, social services, economic potential, and innovative capacity; (3) the GWR model reveals that eastern regions should increase water resources, central regions expand green space, and western and northeastern regions enhance innovative capacity and social services to foster balanced development; and (4) carbon intensity follows a “low in the east, high in the west” pattern, with eco-cities scores significantly negatively correlated with carbon intensity (r = −0.235, p < 0.01). This study provides the first comprehensive national-scale evaluation of eco-cities development, providing reference for the construction of eco-cities. Full article
(This article belongs to the Special Issue Untangling Urban Analysis Using Geographic Data and GIS Technologies)
Show Figures

Figure 1

22 pages, 8845 KB  
Article
Two Decades of Urban Transformation and Heat Dynamics in a Desert Metropolis: Linking Land Cover, Demographics, and Surface Temperature
by Chao Fan, Md Jakirul Islam Jony Prothan, Yuanhui Zhu and Di Shi
Land 2025, 14(11), 2141; https://doi.org/10.3390/land14112141 - 28 Oct 2025
Viewed by 279
Abstract
This study presents a spatially explicit, multidecadal analysis of how land use and land cover (LULC) change and socio-demographic dynamics have influenced land surface temperature (LST) patterns in the Phoenix metropolitan area between 2001 and 2021. Using Landsat-derived summer LST, socio-demographic indicators, and [...] Read more.
This study presents a spatially explicit, multidecadal analysis of how land use and land cover (LULC) change and socio-demographic dynamics have influenced land surface temperature (LST) patterns in the Phoenix metropolitan area between 2001 and 2021. Using Landsat-derived summer LST, socio-demographic indicators, and land cover data, we quantify urban land transformation and socio-demographic changes over two decades. To account for spatial heterogeneity, we apply Multiscale Geographically Weighted Regression (MGWR), which improves upon conventional regression models by allowing for variable-specific spatial scales. Results show that the 2001–2011 period was characterized by rapid suburban expansion and widespread conversion of croplands and open space to higher-intensity development, while 2011–2021 experienced more limited infill development. Correlation analysis reveals that agricultural and open space conversions were linked to population and housing growth, whereas redevelopment of existing urban areas was often associated with socio-demographic decline. MGWR results highlight that agricultural land conversion drives localized warming, while shrub/scrub-to-developed transitions are linked to broader-scale cooling. By combining spatial sampling, area-weighted interpolation, and MGWR, this study offers a fi-ne-grained assessment of urban thermal dynamics in a fast-growing desert region. The findings provide actionable insights for planners and policymakers working toward sustainable and climate-resilient urban development in arid environments. Full article
Show Figures

Figure 1

36 pages, 27661 KB  
Article
Analysis of Land Subsidence During Rapid Urbanization in Chongqing, China: Impacts of Metro Construction, Groundwater Dynamics, and Natural–Anthropogenic Environment Interactions
by Yuanfeng Li, Yuan Yao, Yice Deng, Jiazheng Ren and Keren Dai
Remote Sens. 2025, 17(21), 3539; https://doi.org/10.3390/rs17213539 - 26 Oct 2025
Viewed by 486
Abstract
Urban land subsidence, a globally prevalent environmental problem and geohazard triggered by rapid urbanization, threatens ecological security and socioeconomic stability. Chongqing City in southwestern China, recognized as the world’s largest mountainous city, has encountered land subsidence challenges exacerbated by accelerated urban construction. This [...] Read more.
Urban land subsidence, a globally prevalent environmental problem and geohazard triggered by rapid urbanization, threatens ecological security and socioeconomic stability. Chongqing City in southwestern China, recognized as the world’s largest mountainous city, has encountered land subsidence challenges exacerbated by accelerated urban construction. This study proposes an effective method for extracting urbanization intensity by integrating Sentinel-1, Sentinel-2, and its derived synthetic aperture radar and spectral indices features, combined with texture features. The small baseline subset interferometric synthetic aperture radar technique was employed to monitor land subsidence in Chongqing between 2018 and 2024. Furthermore, the relationships among urbanization intensity, metro construction, groundwater dynamics, and land subsidence were systematically analyzed. Finally, geographical detector and multiscale geographically weighted regression models were employed to explore the interactive effects of anthropogenic, topographic, geological-tectonic, climatic, and land surface characteristic factors contributing to land subsidence. The findings reveal that (1) the method proposed in this paper can effectively extract urbanization intensity and provide an important approach to analyze the influence of urbanization on land subsidence. (2) Land subsidence along newly opened metro lines was more pronounced than along existing lines. The shorter the interval between metro construction completion and the start of operation, the greater the subsidence observed within the first 3 months of operation, which indicates that this interval influences land subsidence. (3) Overall, groundwater dynamics and land subsidence showed a clear correlation from June 2022 to June 2023, a phenomenon largely caused by the extreme summer high temperatures of 2022, triggering reduced precipitation and a notable groundwater decline. Beyond this period, however, only a weak correlation was observed between groundwater fluctuations and land subsidence trends, indicating that other factors likely dominated subsidence dynamics. (4) The anthropogenic factors have a higher relative influence on land subsidence than other drivers. In terms of q-value, the top six factors are road network density > precipitation > elevation > enhanced normalized difference impervious surface index > population density > nighttime light, while distance to fault exhibits the least explanatory power. Given Chongqing’s exemplary status as a mountainous city, this study offers a foundational reference for subsequent quantitative analyses of land subsidence and its drivers in other mountainous cities worldwide. Full article
Show Figures

Figure 1

26 pages, 5636 KB  
Article
Research on Regional Disparities and Determinants of Carbon Emission Efficiency: A Case Study of Hubei Province, China
by Ming Lei, Xu Han, Ming Yi, Juan Zhang, Wei Zhang and Mengke Huang
Sustainability 2025, 17(21), 9465; https://doi.org/10.3390/su17219465 - 24 Oct 2025
Viewed by 244
Abstract
Effective carbon emission control at the provincial level is essential for advancing the high-quality development of the national economy under the “dual carbon” targets. Although Hubei Province is endowed with abundant natural resources and significant potential for sustainable growth, it still faces considerable [...] Read more.
Effective carbon emission control at the provincial level is essential for advancing the high-quality development of the national economy under the “dual carbon” targets. Although Hubei Province is endowed with abundant natural resources and significant potential for sustainable growth, it still faces considerable challenges in industrial and energy restructuring. Therefore, improving carbon emission efficiency (CEE) is imperative. This study thoroughly analyzes the spatial and temporal characteristics of CEE in Hubei Province. Furthermore, the spatial Durbin model (SDM) and geographically and temporally weighted regression (GTWR) were applied to analyze the determinants of changes in CEE. The results indicate that significant disparities in CEE exist across Hubei Province, with the eastern region exhibiting the highest efficiency and the central region the lowest. The year 2016 represented a turning point, as Moran’s I increased from −0.0006 in 2016 to 0.5134 in 2017, indicating a shift in the spatial pattern of CEE from a weak and insignificant spatial autocorrelation to a strong positive spatial autocorrelation. In addition, the CEE in Hubei Province demonstrated a “siphon effect” and exhibited pronounced polarization. Based on these findings, region-specific policies are proposed. The eastern region should optimize its industrial structure and strengthen urban governance. The western region should leverage its clean energy advantage and enhance carbon sink capacity. The central region should advance low-carbon industrial transformation and coordinated governance to prevent core cities from transferring resources and pollution to surrounding areas. Full article
Show Figures

Figure 1

20 pages, 2269 KB  
Article
Unraveling Spatial–Temporal and Interactive Impact of Built Environment on Metro Ridership: A Case Study in Shanghai, China
by Qingwen Xue, Lingzhi Cheng, Zhichao Li, Yingying Xing, Hongwei Wang, Hongwei Li and Yichuan Peng
Sustainability 2025, 17(21), 9479; https://doi.org/10.3390/su17219479 - 24 Oct 2025
Viewed by 304
Abstract
Urban rail transit, as a green, environmentally friendly, safe, and efficient mode of transportation, plays a crucial role in urban sustainable development. However, the influencing mechanism of build environment factors on rail transit ridership still needs to be further investigated. Also, the interaction [...] Read more.
Urban rail transit, as a green, environmentally friendly, safe, and efficient mode of transportation, plays a crucial role in urban sustainable development. However, the influencing mechanism of build environment factors on rail transit ridership still needs to be further investigated. Also, the interaction effects between these factors have not been considered. This study aims to explore the relationship and impact of built environmental factors on metro ridership. The research employs the Multiscale Geographically Weighted Regression (MGWR) model to analyze the temporal and spatial effects of built environmental factors on the rail transit ridership. The GeoDetector model is utilized to investigate the interactive effects of these factors on rail transit ridership. The Shanghai Metro ridership data and built environment data are applied to validate the model. Based on data analysis results, we found that Food & Beverages and Accommodation services, respectively, have the greatest impact on metro ridership on weekdays and weekends. Furthermore, the interaction effects between other variable and Land use diversity significantly enhance rail transit ridership, validating the promoting effect of land use diversity on metro ridership. By proposing recommendations for relevant urban planning and policy formulation, we can foster the sustainable development of urban rail transit. Full article
Show Figures

Figure 1

23 pages, 5828 KB  
Article
Landslide Risk Assessment in the Xiluodu Reservoir Area Using an Integrated Certainty Factor–Logistic Regression Model
by Jing Fan, Yusufujiang Meiliya and Shunchuan Wu
Geomatics 2025, 5(4), 59; https://doi.org/10.3390/geomatics5040059 - 24 Oct 2025
Viewed by 194
Abstract
The southwestern region of China is highly susceptible to landslides due to steep terrain, fractured geology, and intense rainfall. This study focuses on the Xiluodu Reservoir area in Yunnan Province and applies Geographic Information System (GIS) techniques together with ten key spatial factors—such [...] Read more.
The southwestern region of China is highly susceptible to landslides due to steep terrain, fractured geology, and intense rainfall. This study focuses on the Xiluodu Reservoir area in Yunnan Province and applies Geographic Information System (GIS) techniques together with ten key spatial factors—such as slope, lithology, elevation, and distance to rivers—to perform a quantitative landslide risk assessment. In addition to the individual Certainty Factor (CF) and Logistic Regression (LR) models, we developed an integrated CF–LR coupled model to overcome their respective limitations: the CF model’s sensitivity to specific factor attributes but neglect of factor interactions, and the LR model’s robust weight estimation but weak representation of attribute heterogeneity. By combining these strengths, the CF–LR model achieved superior predictive performance (AUC = 0.804), successfully capturing 92.5% of historical landslide events within moderate-to-high risk zones. The results show that lithology, slope angle, and proximity to rivers and roads are dominant controls on susceptibility, with landslides concentrated on soft rock slopes of 30–40° and within 600–900 m of rivers. Compared with previous coupled approaches in similar mountainous reservoir settings, our CF–LR model provides a more balanced and interpretable framework, enhancing both classification accuracy and practical applicability. These findings demonstrate that GIS-based CF–LR integration is a novel and reliable tool for landslide susceptibility mapping, offering important technical support for disaster prevention and risk management in large reservoir regions. Full article
Show Figures

Figure 1

19 pages, 2289 KB  
Article
From “Policy-Driven” to “Park Clustering”: Evolution and Attribution of Location Selection for Pollution-Intensive Industries in the Beijing–Tianjin–Hebei Urban Agglomeration
by Huixin Zhou, Ziqing Tang, Yumeng Luo, Dingyang Zhou and Guanghui Jiang
Land 2025, 14(11), 2103; https://doi.org/10.3390/land14112103 - 22 Oct 2025
Viewed by 341
Abstract
Pollution-intensive industries (PIIs) generate substantial economic benefits while posing serious environmental challenges, making the optimization of their spatial distribution a critical issue for sustainable development. Understanding the spatiotemporal dynamics behind PII location patterns is essential for effective land-use planning and industrial policy. This [...] Read more.
Pollution-intensive industries (PIIs) generate substantial economic benefits while posing serious environmental challenges, making the optimization of their spatial distribution a critical issue for sustainable development. Understanding the spatiotemporal dynamics behind PII location patterns is essential for effective land-use planning and industrial policy. This study investigates the location patterns of newly established PIIs in the Beijing–Tianjin–Hebei urban agglomeration of China between 2007 and 2019. By integrating principal component analysis with a geographically and temporally weighted regression model, the research explores how key drivers influence PII distribution across both spatial and temporal dimensions. The results indicate that government intervention has historically been the most significant factor shaping PII distribution, although its influence has gradually declined due to increasing marketization and technological progress. PIIs are more likely to cluster in areas with moderate levels of economic development, as both very high and very low development levels tend to discourage agglomeration. Over time, improvements in infrastructure, transportation and market conditions have enabled PIIs to overcome geographical constraints. Moreover, industrial parks have emerged as a critical factor by offering cost-efficiency and resource optimization, thereby attracting new PII investment. These findings underscore the importance of accounting for spatiotemporal heterogeneity when analyzing industrial distribution. The study provides policy-relevant insights into industrial land-use planning, highlighting the need for differentiated land supply strategies and the strategic development of industrial parks. It also offers useful references for other developing countries facing similar challenges amid the ongoing restructuring of global manufacturing. Full article
Show Figures

Figure 1

23 pages, 7037 KB  
Article
Are Sport Clubs Mediating Urban Expressive Crimes?—London as the Case Study
by Rui Wang, Yijing Li, Sandeep Broca, Zakir Patel and Inderpal Sahota
ISPRS Int. J. Geo-Inf. 2025, 14(11), 409; https://doi.org/10.3390/ijgi14110409 - 22 Oct 2025
Viewed by 320
Abstract
The study is referenced by interdisciplinary theories, i.e., routine activity, and social cohesion, to investigate the impacts of sport clubs and events on London’s expressive crimes at varied geographical scales, by utilizing Geographical-temporally weighted regression model. It has identified the spatial patterns of [...] Read more.
The study is referenced by interdisciplinary theories, i.e., routine activity, and social cohesion, to investigate the impacts of sport clubs and events on London’s expressive crimes at varied geographical scales, by utilizing Geographical-temporally weighted regression model. It has identified the spatial patterns of effects from sport clubs’ onto local expressive crimes among London wards, with several boroughs standing out for their being significantly affected. The case study in the home borough of the Hotspur Football Club has further been conducted, by proving the seasonal influences of sports clubs on reducing youth violence within school terms. It was also found disproportional increases in expressive crimes on Premier League match days, especially when receiving the results of draw. The data-driven evidence has generated insights on localized policies and strategies on developing tailored sports to support local young people’s development; pinpointing the optimisation of police forces resources on stop and search practices during sports events in hot spot stadiums. The methodology and workflow had also been proved with high replicability into other UK cities. Full article
Show Figures

Figure 1

16 pages, 1803 KB  
Article
Determinants of the Price of Airbnb Accommodations Through a Weighted Spatial Regression Model: A Case of the Autonomous City of Buenos Aires
by Agustín Álvarez-Herranz, Edith Macedo-Ruíz and Eduardo Quiroga
Sustainability 2025, 17(21), 9364; https://doi.org/10.3390/su17219364 - 22 Oct 2025
Viewed by 342
Abstract
In the context of the global growth of the collaborative economy, Airbnb has established itself as one of the most influential players in the transformation of the tourist accommodation market, especially in the reconfiguration of urban tourist accommodation. This article examines empirically and [...] Read more.
In the context of the global growth of the collaborative economy, Airbnb has established itself as one of the most influential players in the transformation of the tourist accommodation market, especially in the reconfiguration of urban tourist accommodation. This article examines empirically and critically how this platform operates in Buenos Aires, the most visited city in Argentina and one of the main tourist hubs in South America. Based on a database of 17,249 active listings, the price formation of accommodations is analyzed using a comparative methodological approach between a general linear model (GLM) and a geographically weighted regression (GWR) model. While the GLM allows for capturing general patterns, the GWR reveals significant territorial differences, offering a detailed reading of the spatial behavior of prices in the city. The results show that variables such as the capacity of the accommodation, its type (full house), the host’s condition, the users’ ratings and the proximity to strategic points such as the subway or Plaza de Mayo have a significant influence on prices. In addition, it is shown that the influence of these variables varies by neighborhood, confirming that the pricing logic in Airbnb is deeply territorialized. This study not only provides novel empirical evidence for a Latin American city that has been little explored in the international literature, but also offers useful tools for hosts, urban planners and public decision makers. Its main contribution lies in showing that prices respond not only to accommodation attributes, but also to broader spatial inequalities, opening the debate on the effects of Airbnb on housing access and urban management in cities with strained real estate markets. By shedding light on these territorial asymmetries, the study offers valuable insights for public policy and urban governance and contributes directly to the achievement of Sustainable Cities and Communities (SDG 11), while also supporting Industry, Innovation and Infrastructure (SDG 9) and Reduced Inequalities (SDG 10), by providing practical knowledge that fosters more equitable and sustainable urban development. Full article
(This article belongs to the Section Development Goals towards Sustainability)
Show Figures

Figure 1

24 pages, 5191 KB  
Article
Incremental Urbanism and the Circular City: Analyzing Spatial Patterns in Permits, Land Use, and Heritage Regulations
by Shriya Rangarajan, Jennifer Minner, Yu Wang and Felix Korbinian Heisel
Sustainability 2025, 17(20), 9348; https://doi.org/10.3390/su17209348 - 21 Oct 2025
Viewed by 461
Abstract
The construction industry is a major contributor to global resource consumption and waste. This sector extracts over two billion tons of raw materials each year and contributes over 30% of all solid waste generated annually through construction and demolition debris. The movement toward [...] Read more.
The construction industry is a major contributor to global resource consumption and waste. This sector extracts over two billion tons of raw materials each year and contributes over 30% of all solid waste generated annually through construction and demolition debris. The movement toward circularity in the built environment aims to replace linear processes of extraction and disposal by promoting policies favoring building preservation and adaptive reuse, as well as the salvage and reuse of building materials. Few North American cities have implemented explicit policies that incentivize circularity to decouple urban growth from resource consumption, and there remain substantial hurdles to adoption. Nonetheless, existing regulatory and planning tools, such as zoning codes and historic preservation policies, may already influence redevelopment in ways that could align with circularity. This article examines spatial patterns in these indirect pathways through a case study of a college town in New York State, assessing how commonly used local planning tools shape urban redevelopment trajectories. Using a three-stage spatial analysis protocol, including exploratory analysis, Geographically Weighted Regressions (GWRs), and Geographic Random Forest (GRF) modeling, the study evaluates the impact of zoning regulations and historic preservation designations on patterns of demolition, reinvestment, and incremental change in the building stock. National historic districts were strongly associated with more building adaptation permits indicating reinvestment in existing buildings. Mixed-use zoning was positively correlated with new construction, while special overlay districts and low-density zoning were mostly negatively correlated with concentrations of building adaptation permits. A key contribution of this paper is a replicable protocol for urban building stock analysis and insights into how land use policies can support or hinder incremental urban change in moves toward the circular city. Further, we provide recommendations for data management strategies in small cities that could help strengthen analysis-driven policies. Full article
Show Figures

Figure 1

Back to TopTop