Sign in to use this feature.

Years

Between: -

Subjects

remove_circle_outline
remove_circle_outline
remove_circle_outline
remove_circle_outline
remove_circle_outline
remove_circle_outline
remove_circle_outline
remove_circle_outline
remove_circle_outline

Journals

Article Types

Countries / Regions

Search Results (28)

Search Parameters:
Keywords = generalized mean-variance criterion

Order results
Result details
Results per page
Select all
Export citation of selected articles as:
15 pages, 566 KB  
Article
A Refined Regression Estimator for General Inverse Adaptive Cluster Sampling
by Nipaporn Chutiman, Supawadee Wichitchan, Chawalit Boonpok, Monchaya Chiangpradit and Pannarat Guayjarernpanishk
Mathematics 2025, 13(23), 3751; https://doi.org/10.3390/math13233751 - 22 Nov 2025
Viewed by 204
Abstract
Adaptive cluster sampling (ACS) is a sampling technique commonly used for rare populations that exhibit spatial clustering. However, the initially selected sample units may not always satisfy the specified inclusion condition. To address these limitations, general inverse sampling has been incorporated into ACS, [...] Read more.
Adaptive cluster sampling (ACS) is a sampling technique commonly used for rare populations that exhibit spatial clustering. However, the initially selected sample units may not always satisfy the specified inclusion condition. To address these limitations, general inverse sampling has been incorporated into ACS, in which the initial units are sequentially selected, and a termination criterion is applied to control the number of rare elements drawn from the population. The objective of this study is to develop an estimator of the population mean that incorporates auxiliary information within the framework of general inverse adaptive cluster sampling (GI-ACS). The proposed estimator is constructed based on a regression-type estimator and analytically examined. A simulation study was conducted to validate the theoretical findings. Three scenarios were considered, representing low, moderate, and high correlations between the variable of interest and the auxiliary variable. The simulation results indicate that the proposed estimator achieves lower variance than the GI-ACS estimator that does not utilize auxiliary information across all examined correlation scenarios. Therefore, the proposed estimator is more efficient and preferable when auxiliary variables are available. Full article
(This article belongs to the Special Issue New Advances in Computational Statistics and Extreme Value Theory)
Show Figures

Figure 1

20 pages, 578 KB  
Article
Improved Median Estimation in Stratified Surveys via Nontraditional Auxiliary Measures
by Abdulaziz S. Alghamdi and Fatimah A. Almulhim
Symmetry 2025, 17(7), 1136; https://doi.org/10.3390/sym17071136 - 15 Jul 2025
Cited by 1 | Viewed by 422
Abstract
This research focuses on estimating the population median within a stratified random sampling framework by using robust statistical measures with transformation-based methodologies. An efficient estimator aims to minimize both the bias and the variance, thereby reducing the overall mean squared error (MSE, leading [...] Read more.
This research focuses on estimating the population median within a stratified random sampling framework by using robust statistical measures with transformation-based methodologies. An efficient estimator aims to minimize both the bias and the variance, thereby reducing the overall mean squared error (MSE, leading to more reliable outcomes. We introduce an improved class of proposed estimators that utilizes transformation techniques to effectively address data variability and enhance estimation accuracy. To evaluate their performance, we derive expressions for bias and mean square error (MSE) up to the first-order approximation for both existing and newly developed estimators, establishing theoretical conditions for their effectiveness. Additionally, the proposed estimators are compared with traditional methods using simulated populations generated from different probability distributions and actual datasets. The results indicate that the newly introduced estimators improve precision and efficiency in median estimation, yielding more reliable outcomes. When assessed against conventional estimators, the findings demonstrate that the new estimators outperform in terms of the percent relative efficiency criterion. Full article
(This article belongs to the Section Mathematics)
Show Figures

Figure 1

27 pages, 3412 KB  
Article
Efficient Clustering Method for Graph Images Using Two-Stage Clustering Technique
by Hyuk-Gyu Park, Kwang-Seong Shin and Jong-Chan Kim
Electronics 2025, 14(6), 1232; https://doi.org/10.3390/electronics14061232 - 20 Mar 2025
Cited by 1 | Viewed by 1062
Abstract
Graphimages, which represent data structures through nodes and edges, present significant challenges for clustering due to their intricate topological properties. Traditional clustering algorithms, such as K-means and Density-Based Spatial Clustering of Applications with Noise (DBSCAN), often struggle to effectively capture both spatial and [...] Read more.
Graphimages, which represent data structures through nodes and edges, present significant challenges for clustering due to their intricate topological properties. Traditional clustering algorithms, such as K-means and Density-Based Spatial Clustering of Applications with Noise (DBSCAN), often struggle to effectively capture both spatial and structural relationships within graph images. To overcome these limitations, we propose a novel two-stage clustering approach that integrates conventional clustering techniques with graph-based methodologies to enhance both accuracy and efficiency. In the first stage, a distance- or density-based clustering algorithm (e.g., K-means or DBSCAN) is applied to generate initial cluster formations. In the second stage, these clusters are refined using spectral clustering or community detection techniques to better preserve and exploit topological features. We evaluate our approach using a dataset of 8118 graph images derived from depth measurements taken at various angles. The experimental results demonstrate that our method surpasses single-method clustering approaches in terms of the silhouette score, Calinski-Harabasz index (CHI), and modularity. The silhouette score measures how similar an object is to its own cluster compared to other clusters, while the CHI, also known as the Variance Ratio Criterion, evaluates cluster quality based on the ratio of between-cluster dispersion to within-cluster dispersion. Modularity, a metric commonly used in graph-based clustering, assesses the strength of division of a network into communities. Furthermore, qualitative analysis through visualization confirms that the proposed two-stage clustering approach more effectively differentiates structural similarities within graph images. These findings underscore the potential of hybrid clustering techniques for various applications, including three-dimensional (3D) measurement analysis, medical imaging, and social network analysis. Full article
Show Figures

Figure 1

49 pages, 4018 KB  
Article
Structural Equation Modeling Approaches to Estimating Score Dependability Within Generalizability Theory-Based Univariate, Multivariate, and Bifactor Designs
by Walter P. Vispoel, Hyeryung Lee and Tingting Chen
Mathematics 2025, 13(6), 1001; https://doi.org/10.3390/math13061001 - 19 Mar 2025
Cited by 1 | Viewed by 929
Abstract
Generalizability theory (GT) provides an all-encompassing framework for estimating accuracy of scores and effects of multiple sources of measurement error when using measures intended for either norm- or criterion-referencing purposes. Structural equation models (SEMs) can replicate results from GT-based ANOVA procedures while extending [...] Read more.
Generalizability theory (GT) provides an all-encompassing framework for estimating accuracy of scores and effects of multiple sources of measurement error when using measures intended for either norm- or criterion-referencing purposes. Structural equation models (SEMs) can replicate results from GT-based ANOVA procedures while extending those analyses to account for scale coarseness, generate Monte Carlo-based confidence intervals for key parameters, partition universe score variance into general and group factor effects, and assess subscale score viability. We apply these techniques in R to univariate, multivariate, and bifactor designs using a novel indicator-mean approach to estimate absolute error. When representing responses to items from the shortened form of the Music Self-Perception Inventory (MUSPI-S) using 2-, 4-, and 8-point response metrics over two occasions, SEMs reproduced results from the ANOVA-based mGENOVA package for univariate and multivariate designs with score accuracy and subscale viability indices within bifactor designs comparable to those from corresponding multivariate designs. Adjusting for scale coarseness improved the accuracy of scores across all response metrics, with dichotomous observed scores least approximating truly continuous scales. Although general-factor effects were dominant, subscale viability was supported in all cases, with transient measurement error leading to the greatest reductions in score accuracy. Key implications are discussed. Full article
(This article belongs to the Section E: Applied Mathematics)
Show Figures

Figure 1

18 pages, 5898 KB  
Technical Note
Spatial Regionalization of the Arctic Ocean Based on Ocean Physical Property
by Joo-Eun Yoon, Jinku Park and Hyun-Cheol Kim
Remote Sens. 2025, 17(6), 1065; https://doi.org/10.3390/rs17061065 - 18 Mar 2025
Viewed by 1249
Abstract
The Arctic Ocean has a uniquely complex system associated with tightly coupled ocean–ice–atmosphere–land interactions. The Arctic Ocean is considered to be highly susceptible to global climate change, with the potential for dramatic environmental impacts at both regional and global scales, and its spatial [...] Read more.
The Arctic Ocean has a uniquely complex system associated with tightly coupled ocean–ice–atmosphere–land interactions. The Arctic Ocean is considered to be highly susceptible to global climate change, with the potential for dramatic environmental impacts at both regional and global scales, and its spatial differences particularly have been exacerbated. A comprehensive understanding of Arctic Ocean environmental responses to climate change thus requires classifying the Arctic Ocean into subregions that describe spatial homogeneity of the clusters and heterogeneity between clusters based on ocean physical properties and implementing the regional-scale analysis. In this study, utilizing the long-term optimum interpolation sea surface temperature (SST) datasets for the period 1982–2023, which is one of the essential indicators of physical processes, we applied the K-means clustering algorithm to generate subregions of the Arctic Ocean, reflecting distinct physical characteristics. Using the variance ratio criterion, the optimal number of subregions for spatial clustering was 12. Employing methods such as information mapping and pairwise multi-comparison analysis, we found that the 12 subregions of the Arctic Ocean well represent spatial heterogeneity and homogeneity of physical properties, including sea ice concentration, surface ocean currents, SST, and sea surface salinity. Spatial patterns in SST changes also matched well with the boundaries of clustered subregions. The newly identified physical subregions of the Arctic Ocean will contribute to a more comprehensive understanding of the Arctic Ocean’s environmental response to accelerating climate change. Full article
(This article belongs to the Section Ocean Remote Sensing)
Show Figures

Figure 1

30 pages, 6762 KB  
Article
Linking Meteorological Variables and Particulate Matter PM2.5 in the Aburrá Valley, Colombia
by Juan C. Parra, Miriam Gómez, Hernán D. Salas, Blanca A. Botero, Juan G. Piñeros, Jaime Tavera and María P. Velásquez
Sustainability 2024, 16(23), 10250; https://doi.org/10.3390/su162310250 - 23 Nov 2024
Cited by 3 | Viewed by 3411
Abstract
Environmental pollution indicated by the presence of PM2.5 particulate matter varies based on prevailing atmospheric conditions described by certain meteorological variables. Consequently, it is important to understand atmospheric behavior in areas such as the Aburrá Valley, which experiences recurrent pollution events [...] Read more.
Environmental pollution indicated by the presence of PM2.5 particulate matter varies based on prevailing atmospheric conditions described by certain meteorological variables. Consequently, it is important to understand atmospheric behavior in areas such as the Aburrá Valley, which experiences recurrent pollution events twice a year. This study examines the behavior of specific meteorological variables and PM2.5 particulate matter in the Aburrá Valley. By using statistical analysis tools such as correlation coefficients, principal component analysis (PCA), and multiple linear regression models, the research identifies relationships between PM2.5 and daily cycles of temperature, rainfall, radiation, and wind speed and direction. Datasets were analyzed considering periods before and after the COVID-19 lockdown (pre-pandemic and pandemic, respectively), and specific pollution events were also analyzed. Furthermore, this work considers the relationships between PM2.5 and meteorological variables, contrasting the pre-pandemic and pandemic periods. This study characterizes diurnal cycles of meteorological variables and their relationship with PM2.5. There are consistent patterns among temperature, atmospheric boundary layer (ABL) height, and solar radiation, whereas precipitation and relative humidity show the opposite behavior. PM2.5 exhibits similar relative frequency functions during both daytime and nighttime, regardless of rainfall. An inverse relationship is noted between PM2.5 levels and ABL height at different times of the day. Moreover, the PCA results show that the first principal component explains around 60% of the total variance in the hydrometeorological data. The second PC explains 10%, and the rest of the variance is distributed among the other three to eight PCs. In this sense, there is no significant difference between the two PCAs with hydrometeorological data from a pre-pandemic period and a COVID-19 pandemic period. Multiple regression analysis indicates a significant and consistent dependence of PM2.5 on temperature and solar radiation across both analyzed periods. The application of Generalized Additive Models (GAMs) to our dataset yielded promising results, reflecting the complex relationship between meteorological variables and PM2.5 concentrations. The metrics obtained from the GAM were as follows: Mean Squared Error (MSE) of 98.04, Root Mean Squared Error (RMSE) of 9.90, R-squared (R2) of 0.24, Akaike Information Criterion (AIC) of 110,051.34, and Bayesian Information Criterion (BIC) of 110,140.63. In comparison, the linear regression model exhibited slightly higher MSE (100.49), RMSE (10.02), and lower R-squared (0.22), with AIC and BIC values of 110,407.45 and 110,460.67, respectively. Although the improvement in performance metrics from GAM over the linear model is not conclusive, they indicate a better fit for the complexity of atmospheric dynamics influencing PM2.5 levels. These findings underscore the intricate interplay of meteorological factors and particulate matter concentration, reinforcing the necessity for advanced modeling techniques in environmental studies. This work presents new insights that enhance the diagnosis, understanding, and modeling of environmental pollution, thereby supporting informed decision-making and strengthening management efforts. Full article
(This article belongs to the Special Issue Air Pollution Management and Environment Research)
Show Figures

Figure 1

13 pages, 299 KB  
Brief Report
Psychometric Evaluation of the School Climate and School Identification Measure—Student on Chilean Students: A Bifactor Model Approach
by José Luis Gálvez-Nieto, Ítalo Trizano-Hermosilla and Karina Polanco-Levicán
Children 2024, 11(1), 87; https://doi.org/10.3390/children11010087 - 11 Jan 2024
Cited by 2 | Viewed by 1965
Abstract
School climate is a relevant construct for understanding social relations at school. The SCASIM-St has been widely defined as a multidimensional construct; however, new factor structures have not been explored through evidence that allows for interpreting school climate scores from an approach that [...] Read more.
School climate is a relevant construct for understanding social relations at school. The SCASIM-St has been widely defined as a multidimensional construct; however, new factor structures have not been explored through evidence that allows for interpreting school climate scores from an approach that respects the multidimensionality of the scale and, at the same time, allows for identifying the degree of essential unidimensionality in the data. Consequently, the objective was to analyze the psychometric properties of the SCASIM-St from a bifactor model approach, evaluating the influence of a general school climate factor versus five specific factors. The study involved 1860 students of both sexes (42% males and 58% females), with an average age of 16.63 years (SD = 0.664), from 17 secondary schools in Chile. The results obtained by a confirmatory factor analysis provided evidence that the best model was the bifactor model for the 38 items, with one general factor and five specific factors. The Explained Common Variance (ECV) values and reliability levels by hierarchical omega accounted for a strong general school climate factor with high levels of reliability. Evidence of external criterion validity, assessed through the attitude toward authority scale (AIA-A), showed a theoretically expected and significant relationship between the factors of both instruments. This study confirmed the psychometric robustness of the SCASIM-St scale by means of a bifactor model, allowing for a new, essentially unidimensional interpretation of the scale scores and providing an instrument to measure school climate in Chile. Full article
(This article belongs to the Section Global Pediatric Health)
12 pages, 1212 KB  
Article
Distinctive Geometrical Traits of Proximal Femur Fractures—Original Article and Review of Literature
by Christos Vlachos, Margarita Michaela Ampadiotaki, Eftychios Papagrigorakis, Athanasios Galanis, Dimitrios Zachariou, Michail Vavourakis, George Rodis, Elias Vasiliadis, Vasileios A. Kontogeorgakos, Spiros Pneumaticos and John Vlamis
Medicina 2023, 59(12), 2131; https://doi.org/10.3390/medicina59122131 - 7 Dec 2023
Cited by 1 | Viewed by 2418
Abstract
Background and Objectives: The incidence of proximal femoral fractures is escalating rapidly, generating a significant challenge for healthcare systems globally and, carrying serious social and economic implications. The primarily object of this study was to discover potential distinguishing factors between fractures occurring in [...] Read more.
Background and Objectives: The incidence of proximal femoral fractures is escalating rapidly, generating a significant challenge for healthcare systems globally and, carrying serious social and economic implications. The primarily object of this study was to discover potential distinguishing factors between fractures occurring in the femoral neck and trochanteric region. Materials and Methods: We performed a prospective cohort study of the radiographic images of 70 people over 65 years of age who were admitted to the orthopedic department with hip fracture and who fulfilled our eligibility criteria. Neck Length (NL), Offset Lenth (OL), Hip Axis Length (HAL), Neck Shaft Angle (NSA), Wiberg Angle (WA), Acetabular Angle (AA), Femoral Neck Diameter (FND), Femoral Head Diameter (FHD), Femoral Shaft Diameter (FSD), Femoral Canal Diameter (FCD) and Tonnis classification were recorded. For the comparison of the categorical variables, Pearson’s χ2 criterion was used, while Student’s t-test was applied for the comparison of means of quantitative variables across fracture types. Results: There were no statistically significant variances observed while comparing the selected geometric parameters of the proximal femur with the type of fracture. This finding was reaffirmed in relation to age, gender, and Tonnis classification. However, a moderate correlation was noted, revealing comparatively reduced values of HAL, FHD, and FND in women as opposed to men. Conclusions: The inability of our research to establish the differentiative geometric factors between femoral neck and trochanteric fractures underscores the need for further investigations, which would take into consideration the intrinsic characteristics of the proximal femur. Full article
(This article belongs to the Section Orthopedics)
Show Figures

Figure 1

24 pages, 848 KB  
Article
An Optimal Shaped Sensor Array Derivation
by Marco Dibiase and Luca De Marchi
Micromachines 2023, 14(6), 1154; https://doi.org/10.3390/mi14061154 - 30 May 2023
Cited by 3 | Viewed by 2013
Abstract
In Structural Health Monitoring (SHM) applications, the Direction of Arrival (DoA) estimation of Guided Waves (GW) on sensor arrays is often used as a fundamental means to locate Acoustic Sources (AS) generated by damages growth or undesired impacts in thin-wall structures (e.g., plates [...] Read more.
In Structural Health Monitoring (SHM) applications, the Direction of Arrival (DoA) estimation of Guided Waves (GW) on sensor arrays is often used as a fundamental means to locate Acoustic Sources (AS) generated by damages growth or undesired impacts in thin-wall structures (e.g., plates or shells). In this paper, we consider the problem of designing the arrangement and shape of piezo-sensors in planar clusters in order to optimize the DoA estimation performance in noise-affected measurements. We assume that: (i) the wave propagation velocity is unknown, (ii) the DoA is estimated via the time delays of wavefronts between sensors, and (iii) the maximum value of the time delays is limited. The optimality criterion is derived basing on the Theory of Measurements. The sensor array design is so that the DoA variance is minimized in an average sense by exploiting the Calculus of Variations. In this way, considering a three-sensor cluster and a monitored angles sector of 90°, the optimal time delays–DoA relations are derived. A suitable re-shaping procedure is used to impose such relations and, at the same time, to induce the same spatial filtering effect between sensors so that the sensor acquired signals are equal except for a time-shift. In order to achieve the last aim, the sensors shape is realized by exploiting a technique called Error Diffusion, which is able to emulate piezo-load functions with continuously modulated values. In this way, the Shaped Sensors Optimal Cluster (SS-OC) is derived. A numerical assessment via Green’s functions simulations shows improved performance in DoA estimation by means of the SS-OC when compared to clusters realized with conventional piezo-disk transducers. Full article
(This article belongs to the Special Issue MEMS in Italy 2023)
Show Figures

Figure 1

21 pages, 8936 KB  
Article
Estimation of the Peak over Threshold-Based Design Rainfall and Its Spatial Variability in the Upper Vistula River Basin, Poland
by Katarzyna Kołodziejczyk and Agnieszka Rutkowska
Water 2023, 15(7), 1316; https://doi.org/10.3390/w15071316 - 27 Mar 2023
Cited by 5 | Viewed by 3138
Abstract
The proper assessment of design rainfalls with long return periods is very important because they are inputs for many flood studies. In this paper, estimations are performed on daily design rainfall totals from 16 meteorological stations located in the area of the Upper [...] Read more.
The proper assessment of design rainfalls with long return periods is very important because they are inputs for many flood studies. In this paper, estimations are performed on daily design rainfall totals from 16 meteorological stations located in the area of the Upper Vistula River Basin (UVB), Poland. The study material consists of a historical series of daily rainfall totals from the period of 1960–2021. The peak over threshold (POT) method is used, and the rainfall depth over threshold is assumed to follow the generalized Pareto distribution (GPD) with parameters estimated from Hill statistics. Alternatively, the competitive method based on annual maxima (AM) is applied. The theoretical distribution of AM is assumed to follow a theoretical distribution function selected by using the Akaike information criterion (AIC) from a family of seven candidate distributions, the parameters of which are estimated by using the maximum likelihood method. The two methods are compared by using the root mean square error (RMSE) and the mean deviation error (MDE) criteria. It is found that the POT-based method with GPD and Hill estimators outperform the AM-based method when considering the highest rainfall events. The confidence intervals of the design rainfalls, derived by using the Monte Carlo simulation method, reflects their large spatial diversity across the UVB. It is shown that the station’s altitude strongly correlates with the threshold, variance, and design rainfall depth of the GPD. This proves the advantage of the GPD with Hill estimates, namely that it can accurately reflect the spatial properties of rainfall and its variability in the UVB. Results can be applied in water-management applications related to floods. Full article
(This article belongs to the Special Issue Statistical Analysis in Hydrology: Methods and Applications)
Show Figures

Figure 1

17 pages, 1475 KB  
Article
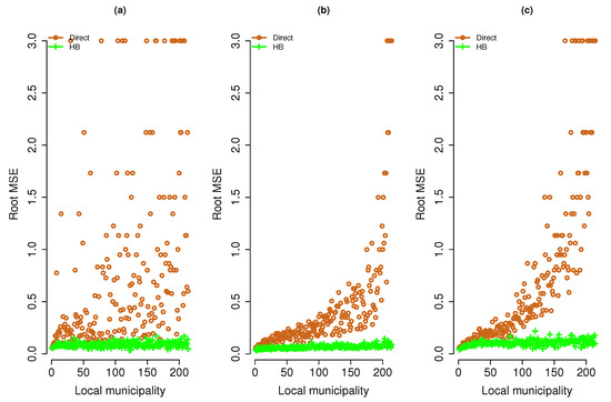
Mapping Disaggregate-Level Agricultural Households in South Africa Using a Hierarchical Bayes Small Area Estimation Approach
by Yegnanew A. Shiferaw
Agriculture 2023, 13(3), 631; https://doi.org/10.3390/agriculture13030631 - 7 Mar 2023
Cited by 6 | Viewed by 3039
Abstract
The first important step toward ending hunger is sustainable agriculture, which is a vital component of the 2030 Agenda. In this study, auxiliary variables from the 2011 Population Census are combined with data from the 2016 Community Survey to develop and apply a [...] Read more.
The first important step toward ending hunger is sustainable agriculture, which is a vital component of the 2030 Agenda. In this study, auxiliary variables from the 2011 Population Census are combined with data from the 2016 Community Survey to develop and apply a hierarchical Bayes (HB) small area estimation approach for estimating the local-level households engaged in agriculture. A generalized variance function was used to reduce extreme proportions and noisy survey variances. The deviance information criterion (DIC) preferred the mixed logistic model with known sampling variance over the other two models (Fay-Herriot model and mixed log-normal model). For almost all local municipalities in South Africa, the proposed HB estimates outperform survey-based estimates in terms of root mean squared error (MSE) and coefficient of variation (CV). Indeed, information on local-level agricultural households can help governments evaluate programs that support agricultural households. Full article
(This article belongs to the Section Agricultural Economics, Policies and Rural Management)
Show Figures

Figure 1

16 pages, 1331 KB  
Article
Genetic Parameters of Growth Traits and Quantitative Genetic Metrics for Selection and Conservation of Mecheri Sheep of Tamil Nadu
by Balakrishnan Balasundaram, Aranganoor Kannan Thiruvenkadan, Nagarajan Murali, Jaganadhan Muralidharan, Doraiswamy Cauveri and Sunday Olusola Peters
Animals 2023, 13(3), 454; https://doi.org/10.3390/ani13030454 - 28 Jan 2023
Cited by 10 | Viewed by 3163
Abstract
Determining the genetic and non-genetic sources of variation in a breed is vital for the formulation of strategies for its conservation and improvement. The present study was aimed at estimating the (co)variance components and genetic parameters of Mecheri sheep by fitting six different [...] Read more.
Determining the genetic and non-genetic sources of variation in a breed is vital for the formulation of strategies for its conservation and improvement. The present study was aimed at estimating the (co)variance components and genetic parameters of Mecheri sheep by fitting six different animal models in the restricted maximum likelihood method, with a preliminary investigation on the performance of animals for non-genetic sources of variation. A total of 2616 lambs were studied, and varying levels of significance were found for the effects of period, season, parity of dam, and birth type on different body-weight traits. Direct heritability estimates derived from the best animal model for body weight at birth, three months, six months, nine months, and twelve months were 0.21, 0.24, 0.10, 0.15, and 0.09, respectively, and the maternal heritability of the corresponding traits was 0.12, 0.05, 0.04, 0.04, and 0.04, respectively. The genetic correlations between the body-weight traits were all positive and moderate-to-strong, except for the correlation between birth weight and the other body-weight traits. The significance of non-genetic factors studied in this work demanded a correction to improve the accuracy of the direct selection of lambs for body-weight traits. The estimated genetic parameters identified the weaning weight as a selection criterion for the improvement in body weight of Mecheri lambs at different ages. Inbred individuals accounted for approximately 13% of the total population in the Mecheri sheep population studied. There were 877 founders in the population, and the actual effective population size was 128.48. The population’s mean generation interval was 3.26. The mean inbreeding values ranged from 0.005 to 0.010 across generations. The population’s average relatedness ranged from 0.001 to 0.014 across generations. Individual inbreeding was found to be 0.45 per cent for the entire population and 3.4 per cent for the inbred population. Full article
(This article belongs to the Special Issue Conservation and Management of Genetic Resources in Animal Breeding)
Show Figures

Figure 1

17 pages, 361 KB  
Article
Generalization of Two-Sided Length Biased Inverse Gaussian Distributions and Applications
by Teerawat Simmachan and Wikanda Phaphan
Symmetry 2022, 14(10), 1965; https://doi.org/10.3390/sym14101965 - 20 Sep 2022
Cited by 4 | Viewed by 2274
Abstract
The notion of length-biased distribution can be used to develop adequate models. Length-biased distribution was known as a special case of weighted distribution. In this work, a new class of length-biased distribution, namely the two-sided length-biased inverse Gaussian distribution (TS-LBIG), was introduced. The [...] Read more.
The notion of length-biased distribution can be used to develop adequate models. Length-biased distribution was known as a special case of weighted distribution. In this work, a new class of length-biased distribution, namely the two-sided length-biased inverse Gaussian distribution (TS-LBIG), was introduced. The physical phenomenon of this scenario was described in a case of cracks developing from two sides. Since the probability density function of the original TS-LBIG distribution cannot be written in a closed-form expression, its generalization form was further introduced. Important properties such as the moment-generating function and survival function cannot be provided. We offered a different approach to solving this problem. Some distributional properties were investigated. The parameters were estimated by the method of the moment. Monte Carlo simulation studies were carried out to appraise the performance of the suggested estimators using bias, variance, and mean square error. An application of a real dataset was presented for illustration. The results showed that the suggested estimators performed better than the original study. The proposed distribution provided a more appropriate model than other candidate distributions for fitting based on Akaike information criterion. Full article
(This article belongs to the Special Issue Symmetry in Computational Statistics)
Show Figures

Figure 1

12 pages, 345 KB  
Article
Focused Information Criterion for Restricted Mean Survival Times: Non-Parametric or Parametric Estimators
by Szilárd Nemes, Andreas Gustavsson and Alexandra Jauhiainen
Entropy 2022, 24(5), 713; https://doi.org/10.3390/e24050713 - 16 May 2022
Cited by 2 | Viewed by 2621
Abstract
Restricted Mean Survival Time (RMST), the average time without an event of interest until a specific time point, is a model-free, easy to interpret statistic. The heavy reliance on non-parametric or semi-parametric methods in the survival analysis has [...] Read more.
Restricted Mean Survival Time (RMST), the average time without an event of interest until a specific time point, is a model-free, easy to interpret statistic. The heavy reliance on non-parametric or semi-parametric methods in the survival analysis has drawn criticism, due to the loss of efficacy compared to parametric methods. This assumes that the parametric family used is the true one, otherwise the gain in efficacy might be lost to interpretability problems due to bias. The Focused Information Criterion (FIC) considers the trade-off between bias and variance and offers an objective framework for the selection of the optimal non-parametric or parametric estimator for scalar statistics. Herein, we present the FIC framework for the selection of the RMST estimator with the best bias-variance trade-off. The aim is not to identify the true underling distribution that generated the data, but to identify families of distributions that best approximate this process. Through simulation studies and theoretical reasoning, we highlight the effect of censoring on the performance of FIC. Applicability is illustrated with a real life example. Censoring has a non-linear effect on FICs performance that can be traced back to the asymptotic relative efficiency of the estimators. FICs performance is sample size dependent; however, with censoring percentages common in practical applications FIC selects the true model at a nominal probability (0.843) even with small or moderate sample sizes. Full article
(This article belongs to the Special Issue Applications of Information Theory in Statistics)
Show Figures

Figure 1

12 pages, 344 KB  
Article
Adaptation and Validation of the Lithuanian-Language Version of the Olympic Value Scale (OVS)
by Saulius Sukys, Daiva Majauskiene, Diana Karanauskiene and Ilona Tilindiene
Int. J. Environ. Res. Public Health 2022, 19(7), 4360; https://doi.org/10.3390/ijerph19074360 - 5 Apr 2022
Viewed by 2270
Abstract
Background: The Olympic Games is one of the biggest sports events which should express and promote Olympic ideals. Aiming to generate more insights on the expression of Olympic Values, the Olympic Value Scale (OVS) was developed to assess how people perceive values in [...] Read more.
Background: The Olympic Games is one of the biggest sports events which should express and promote Olympic ideals. Aiming to generate more insights on the expression of Olympic Values, the Olympic Value Scale (OVS) was developed to assess how people perceive values in relation to the Olympic Games. The aim of the present study was to examine the validity and reliability of the Lithuanian version of OVS (LT-OVS). Methods: The scale construct validity and reliability was tested using a sample of 365 university students (mean age 22.02, SD = 6.58; 49.9% male). After the evaluation of the scale structure, convergent and discriminant validity as well as reliability of the scale were evaluated by assessing composite reliability and average variance extracted (AVE), examining the square root of the AVE. For further validity analysis, associations between the LT-OVS factors and other variables were examined. Results: The original OVS captures three dimensions, which are appreciation of diversity, friendly relations with others, and achievement in competition. Exploratory and confirmatory factor analyses confirmed the original three-factor structure of the OVS. The internal consistency values for all three subscales of the LT-OVS were 0.80 and higher. Convergent and discriminant validity criterions were met. Relations between the LT-OVS dimensions and attitudes towards fair play and Olympic Games were also revealed and discussed. Conclusions: This study makes a contribution by confirming the validity of the LT-OVS and encouraging future adaptation of it into other cultures and research on Olympic Values. Full article
(This article belongs to the Special Issue New Advances in Physical Activity and Sport)
Back to TopTop