Sign in to use this feature.

Years

Between: -

Subjects

remove_circle_outline
remove_circle_outline
remove_circle_outline
remove_circle_outline
remove_circle_outline
remove_circle_outline
remove_circle_outline
remove_circle_outline
remove_circle_outline

Journals

Article Types

Countries / Regions

Search Results (26)

Search Parameters:
Keywords = gain ratio of arrival

Order results
Result details
Results per page
Select all
Export citation of selected articles as:
20 pages, 528 KB  
Article
Analysis of Outage Probability and Average Bit Error Rate of Parallel-UAV-Based Free-Space Optical Communications
by Sheng-Hong Lin, Jin-Yuan Wang and Xinyi Hua
Entropy 2025, 27(6), 650; https://doi.org/10.3390/e27060650 - 18 Jun 2025
Viewed by 553
Abstract
Recently, free-space optical (FSO) communication systems utilizing unmanned aerial vehicle (UAV) relays have garnered significant attention. Integrating UAV relays into FSO communication and employing cooperative diversity techniques not only fulfill the need for long-distance transmission but also enable flexible adjustments of relay positions [...] Read more.
Recently, free-space optical (FSO) communication systems utilizing unmanned aerial vehicle (UAV) relays have garnered significant attention. Integrating UAV relays into FSO communication and employing cooperative diversity techniques not only fulfill the need for long-distance transmission but also enable flexible adjustments of relay positions based on the actual environment. This paper investigates the performance of a parallel-UAV-relay-based FSO communication system. In the considered system, the channel fadings include atmospheric loss, atmospheric turbulence, pointing errors, and angle-of-arrival fluctuation. Using the established channel model, we derive a tractable expression for the probability density function of the total channel gain. Then, we derive closed-form expressions of the system outage probability (OP) and average bit error rate (ABER). Moreover, we also derive the asymptotic OP and ABER for a high-optical-intensity regime. Our numerical results validate the accuracy of the derived theoretical expressions. Additionally, the effects of the number of relay nodes, the field of view, the direction deviation, the signal-to-noise ratio threshold, the atmospheric turbulence intensity, the transmit power, and the transmission distance on the system’s performance are also discussed. Full article
(This article belongs to the Special Issue Wireless Communications: Signal Processing Perspectives, 2nd Edition)
Show Figures

Figure 1

18 pages, 2766 KB  
Article
Joint Sparse Estimation Method for Array Calibration Based on Fast Iterative Shrinkage-Thresholding Algorithm
by Boxuan Gu, Xuesong Liu, Fei Wang, Xiang Gao and Fan Zhou
Electronics 2025, 14(11), 2165; https://doi.org/10.3390/electronics14112165 - 26 May 2025
Viewed by 535
Abstract
Existing array calibration methods rely on the geometric characteristics of the array or signal matrix, which limits their flexibility and robustness. This study addresses this challenge by proposing a novel joint sparse estimation method for array gain and phase calibration. By leveraging the [...] Read more.
Existing array calibration methods rely on the geometric characteristics of the array or signal matrix, which limits their flexibility and robustness. This study addresses this challenge by proposing a novel joint sparse estimation method for array gain and phase calibration. By leveraging the sparsity of calibration signals and the dictionary mismatch model, the proposed method, based on the fast iterative shrinkage-thresholding algorithm (FISTA), jointly estimates the discrete on-grid azimuths and continuous off-grid offsets of the direction of arrival (DOA) of calibration signals. The method employs a spatial domain filtering technique based on the maximum a posteriori probability to mitigate the bias induced by phase errors in the calibration signal estimation, enhancing calibration accuracy. Furthermore, the iterative estimation framework was optimized to extend the applicability of the method from linear to uniform planar arrays. The results demonstrated that the root mean squared error (RMSE) of the beam pattern for various array types decreased by one to two orders of magnitude after calibration. Compared with existing state-of-the-art methods, the proposed approach exhibited stable performance and superior estimation accuracy under conventional signal-to-noise ratio conditions. Moreover, the proposed method maintained high stability and lower RMSE as the gain and phase error values increased. Full article
Show Figures

Figure 1

30 pages, 20750 KB  
Article
A Proposal for Alternative Navigation Routes Following the Development of Offshore Wind Farms in the Waters of the Republic of Korea
by Sung-Wook Ohn and Ho Namgung
J. Mar. Sci. Eng. 2025, 13(5), 980; https://doi.org/10.3390/jmse13050980 - 19 May 2025
Viewed by 1747
Abstract
In the future, electricity generation through eco-friendly renewable energy will accelerate. Surrounded by sea on three sides, the Republic of Korea is gaining attention for offshore wind power as a future industry, leveraging advantages of its maritime environment. However, maritime navigation remains active [...] Read more.
In the future, electricity generation through eco-friendly renewable energy will accelerate. Surrounded by sea on three sides, the Republic of Korea is gaining attention for offshore wind power as a future industry, leveraging advantages of its maritime environment. However, maritime navigation remains active in waters, with maritime transportation being crucial, as it accounts for over 95% of the country’s cargo volume. Therefore, ensuring the safety of vessel operations is vital when constructing offshore wind farms. This study proposed alternative routes to ensure the safety of vessels and secure existing routes in the waters of the southwestern sea, where intensive development of OWFs is expected. The routes were determined based on the Permanent International Association of Navigation Congresses (PIANC) Guidelines and Maritime Traffic Safety Act’s implementation guidelines. Clearance between a maritime route and OWF was set to the rule of 6 L + 0.3 NM + 500 m for safety. The route width was calculated while considering vessel maneuverability, environmental factors, seabed conditions, the depth-to-draft ratio, and two-way traffic. The alternative routes were categorized into four types—maritime highways, maritime provincial routes, approach routes for departure/arrival, and recommended routes based on vessel positions, engine status, and route function. By considering traffic flow and applying international and domestic standards, these routes will ensure safe, efficient, and orderly vessel operations. Full article
(This article belongs to the Special Issue Maritime Traffic Engineering)
Show Figures

Figure 1

16 pages, 621 KB  
Article
Optimal Period of Calcium Propionate Supplementation in Arrival High-Risk Bull Calves: Growth Performance, Body Fat Reserves, and Serum Metabolites
by Daniel Rodríguez-Cordero, Octavio Carrillo-Muro, Pedro Hernández-Briano, Paola Isaira Correa-Aguado, Alejandro Rivera-Villegas, Alberto Barreras, Rosalba Lazalde-Cruz, Richard A. Zinn and Alejandro Plascencia
Animals 2025, 15(8), 1170; https://doi.org/10.3390/ani15081170 - 18 Apr 2025
Viewed by 628
Abstract
Fifty high-risk bull calves were used in a completely randomized design (ten calves/treatment) to evaluate the optimal period of calcium propionate (CaPr) supplementation following arrival into the feedlot. The variables evaluated were the growth performance, dietary energetics, body fat reserves, serum metabolites, and [...] Read more.
Fifty high-risk bull calves were used in a completely randomized design (ten calves/treatment) to evaluate the optimal period of calcium propionate (CaPr) supplementation following arrival into the feedlot. The variables evaluated were the growth performance, dietary energetics, body fat reserves, serum metabolites, and economic return at day 56 of arrival. Calves, which were weighed at the moment of reception (156.2 ± 1.57 kg off-truck body weight, BW), were received with a 50:50 forage-to-concentrate ratio diet and clean water. At 12 h from reception, they were housed in individual pens during a 56 d feeding period and assigned to treatments consisting of a daily supplementation of a commercial product (Propical® Dresen Química, SAPI de CV., Mexico City, Mexico) that provided 19 g CaPr/calf for 0, 14, 28, 42, or 56 d following arrival into the feedlot. Compared with the other treatments, the calves receiving CaPr during the initial 42 d had a greater average daily weight gain (p ≤ 0.035) without affecting the dry matter intake (p ≥ 0.24). Thus, the gain efficiency (p ≤ 0.050) and dietary energy utilization were improved (p ≤ 0.046). Rib fat thickness (p ≥ 0.090) and Longissimus lumborum muscle area (p ≥ 0.112) were not affected by the CaPr supplementation, whereas calves showed the greatest values (p ≤ 0.038) to the rump back fat thickness at 42 and 56 days of CaPr supplementation. With the exception of the total albumin (being maximal at day 56 (p ≤ 0.024)) and total cholesterol (which, compared to the controls, was maximal at 28 and 42 d; p = 0.030), the serum metabolic profiles were not affected by the treatments. Using the profit estimated for the control group as a baseline, supplementing CaPr for 42 d yielded a greater net income (USD 34.84 more/calf). CaPr supplementation for more or less than 42 d showed a very similar profit (~USD 6.80/calf). Because the cost of gain was very similar for these treatments and the controls (USD 1.42 vs. 1.46/kg), the positive difference in profit was mediated mainly by an increase in income selling (+USD 13.02/calf) for the CaPr calves. Based on the performance, serum metabolites, and profit, it is concluded that the optimal duration of supplemental CaPr is 42 d. Offering 19 g CaPr during this period enhanced the growth performance, dietary energy, and economic returns. Full article
(This article belongs to the Special Issue Nutrients and Feed Additives in Ruminants)
Show Figures

Figure 1

18 pages, 5855 KB  
Article
Scalability Analysis of LoRa and Sigfox in Congested Environment and Calculation of Optimum Number of Nodes
by Mandeep Malik, Ashwin Kothari and Rashmi Pandhare
Sensors 2024, 24(20), 6673; https://doi.org/10.3390/s24206673 - 17 Oct 2024
Cited by 5 | Viewed by 2653
Abstract
Low-power wide area network (LPWAN) technologies as part of IoT are gaining a lot of attention as they provide affordable communication over large areas. LoRa and Sigfox as part of LPWAN have emerged as highly effective and promising non-3GPP unlicensed band IoT technologies [...] Read more.
Low-power wide area network (LPWAN) technologies as part of IoT are gaining a lot of attention as they provide affordable communication over large areas. LoRa and Sigfox as part of LPWAN have emerged as highly effective and promising non-3GPP unlicensed band IoT technologies while challenging the supremacy of cellular technologies for machine-to-machine-(M2M)-based use cases. This paper presents the design goals of LoRa and Sigfox while throwing light on their suitability in congested environments. A practical traffic generator of both LoRa and Sigfox is introduced and further interpolated for understanding simultaneous operation of 100 to 10,000 such nodes in close vicinity while establishing deep understanding on effects of collision, re-transmissions, and link behaviour. Previous work in this field have overlooked simultaneous deployment, collision issues, effects of re-transmission, and propagation profile while arriving at a number of successful receptions. This work uses packet error rate (PER) and delivery ratio, which are correct metrics to calculate successful transmissions. The obtained results show that a maximum of 100 LoRa and 200 Sigfox nodes can be deployed in a fixed transmission use case over an area of up to 1 km. As part of the future scope, solutions have been suggested to increase the effectiveness of LoRa and Sigfox networks. Full article
Show Figures

Figure 1

24 pages, 4569 KB  
Article
Spatial Spectrum Estimation of Weak Scattering Wave Signal in Range-Doppler Domain
by Hang Xu, Hong Ma, Li Wang, Jiang Jin, Hua Zhang and Xiaodong Liu
Remote Sens. 2024, 16(12), 2186; https://doi.org/10.3390/rs16122186 - 16 Jun 2024
Cited by 1 | Viewed by 1297
Abstract
How to enhance the desired signal with low signal-to-noise ratio (SNR) is a difficult problem in the estimation process of the direction-of-arrival (DOA) of the target scattering wave signal. In this paper, the feasibility of spatial spectrum estimation in the Range-Doppler (RD) domain [...] Read more.
How to enhance the desired signal with low signal-to-noise ratio (SNR) is a difficult problem in the estimation process of the direction-of-arrival (DOA) of the target scattering wave signal. In this paper, the feasibility of spatial spectrum estimation in the Range-Doppler (RD) domain is analyzed in principle, and the SNR gain expression of weak scattering wave signal is derived when constructing multi-snapshots virtual array data. On this basis, the mutual eigenvector singular value decomposition (MESVD) method based on RD domain mode excitation is proposed, which can robustly and effectively estimate the direction of the coherent weak signals. Simulation experiments verify that the RD domain spectral estimation method has the ability to simultaneously obtain the direction of multiple weak target scattering waves, and the direction-finding accuracy can reach the Cramer–Rao bound (CRB) of conventional spectral estimation method. The results of Monte Carlo experiments show that the root-mean-square-error (RMSE) of azimuth estimation of RD domain spatial spectrum estimation method is 5.76° lower than that of a conventional multiple signal classification (MUSIC) method. In addition, the practicability of the proposed method is demonstrated by comparing the DOA estimation results of a set of real data with Automatic Dependent Surveillance-Broadcast (ADS-B) data. Full article
(This article belongs to the Topic Radar Signal and Data Processing with Applications)
Show Figures

Graphical abstract

25 pages, 18829 KB  
Article
Enhanced Underwater Single Vector-Acoustic DOA Estimation via Linear Matched Stochastic Resonance Preprocessing
by Haitao Dong, Jian Suo, Zhigang Zhu, Haiyan Wang and Hongbing Ji
Remote Sens. 2024, 16(10), 1802; https://doi.org/10.3390/rs16101802 - 18 May 2024
Cited by 1 | Viewed by 1996
Abstract
Underwater acoustic vector sensors (UAVSs) are increasingly utilized for remote passive sonar detection, but the accuracy of direction-of-arrival (DOA) estimation remains a challenging problem, particularly under low signal-to-noise ratio (SNR) conditions and complex background noise. In this paper, a comprehensive theoretical analysis is [...] Read more.
Underwater acoustic vector sensors (UAVSs) are increasingly utilized for remote passive sonar detection, but the accuracy of direction-of-arrival (DOA) estimation remains a challenging problem, particularly under low signal-to-noise ratio (SNR) conditions and complex background noise. In this paper, a comprehensive theoretical analysis is conducted on UAVS signal preprocessing subjected to gain-phase uncertainties for average acoustic intensity measurement (AAIM) and complex acoustic intensity measurement (CAIM)-based vector DOA estimation, aiming to explain the theoretical restrictions of intensity-based vector acoustic preprocessing approaches. On this basis, a generalized vector acoustic preprocessing optimization model is established in which the principle can be described as “maximizing the denoising performance under the constraints of an equivalent amplitude-gain response and phase-bias response”. A novel vector acoustic preprocessing method named linear matched stochastic resonance (LMSR) is proposed within the framework of matched stochastic resonance theory, which can naturally guarantee the linear gain-phase restrictions, as well achieving effective denoising performance. Numerical analyses demonstrate the superior vector DOA estimation performance of our proposed LMSR-AAIM and LMSR-CAIM methods in comparison to classical intensity-based AAIM and CAIM methods, especially under low-SNR conditions and non-Gaussian impulsive noise circumstances. Experimental verification conducted in the South China Sea further verifies its the effectiveness for practical application. This work can lay a solid foundation to break through the challenges of underwater remote vector acoustic DOA estimation under low-SNR conditions and complex ocean ambient noise and can provide important guidance for future research work. Full article
Show Figures

Figure 1

20 pages, 26514 KB  
Article
Improved Underwater Single-Vector Acoustic DOA Estimation via Vector Convolution Preprocessing
by Haitao Dong, Jian Suo, Zhigang Zhu and Siyuan Li
Electronics 2024, 13(9), 1796; https://doi.org/10.3390/electronics13091796 - 6 May 2024
Cited by 8 | Viewed by 1996
Abstract
Remote passive sonar detection with underwater acoustic vector sensor (UAVS) has attracted increasing attention due to its merit in measuring the full sound field information. However, the accurate estimation of the direction-of-arrival (DOA) remains a challenging problem, especially under low signal-to-noise ratio (SNR) [...] Read more.
Remote passive sonar detection with underwater acoustic vector sensor (UAVS) has attracted increasing attention due to its merit in measuring the full sound field information. However, the accurate estimation of the direction-of-arrival (DOA) remains a challenging problem, especially under low signal-to-noise ratio (SNR) conditions. In this paper, a novel convolution (COV)-based single-vector acoustic preprocessing method is proposed on the basis of the single-vector acoustic preprocessing model. In view of the theoretical analysis of the classical single-vector acoustic DOA estimation method, the principle of preprocessing can be described as “to achieve an improved denoising performance in the constraint of equivalent amplitude gain and phase response.” This can be naturally guaranteed by our proposed COV method. In addition, the upper bound with matched filtering (MF) preprocessing is provided in the consideration of the optimal linear signal processing for weak signal detection under Gaussian noise. Numerical analyses demonstrate the effectiveness of our proposed preprocessing method with both vector array signal processing-based and intensity-based methods. Experimental verification conducted in South China Sea further verifies the effectiveness of our approach for practical applications. This work can lay a solid foundation in improving underwater remote vector acoustic DOA estimation under low SNR, and can provide important guidance for future research work. Full article
(This article belongs to the Special Issue Recent Advances in Signal Processing and Applications)
Show Figures

Figure 1

19 pages, 6139 KB  
Article
A Novel Method to Identify the Spaceborne SAR Operating Mode Based on Sidelobe Reconnaissance and Machine Learning
by Runfa Ma, Guodong Jin, Chen Song, Yong Li, Yu Wang and Daiyin Zhu
Remote Sens. 2024, 16(7), 1234; https://doi.org/10.3390/rs16071234 - 31 Mar 2024
Cited by 2 | Viewed by 1815
Abstract
Operating mode identification is an important prerequisite for precise deceptive jamming technology against synthetic aperture radar (SAR). In order to solve the problems of traditional spaceborne SAR operating mode identification, such as low identification accuracy, poor timeliness, and limitation to main lobe reconnaissance, [...] Read more.
Operating mode identification is an important prerequisite for precise deceptive jamming technology against synthetic aperture radar (SAR). In order to solve the problems of traditional spaceborne SAR operating mode identification, such as low identification accuracy, poor timeliness, and limitation to main lobe reconnaissance, an efficient identification method based on sidelobe reconnaissance and machine learning is proposed in this paper. It can identify four classical SAR operating modes, including stripmap, scan, spotlight and ground moving target indication (GMTI). Firstly, the signal models of different operating modes are presented from the perspective of sidelobe reconnaissance. By setting the parameters differently, such as the SAR trajectory height, antenna length, transmit/receive gain and loss, signal–noise ratio, and so on, the feature samples based on multiple parameters can be obtained, respectively. Then, based on the generated database of feature samples, the initialized neural network can be pre-trained. As a result, in practice, with the intercepted sidelobe signal and the pre-trained network, we can precisely infer the SAR operating mode before the arrival of the main lobe beam footprint. Finally, the effect of SNR and the jammer’s position on the identification accuracy is experimentally detailed in the simulation. The simulation results show that the identification accuracy can reach above 91%. Full article
Show Figures

Figure 1

18 pages, 680 KB  
Article
Effect of Dietary Calcium Propionate Inclusion Level and Duration in High-Risk Newly Received Stocker Calves: Growth Performance, Body Fat Reserves, and Health
by Daniel Rodriguez-Cordero, Octavio Carrillo-Muro, Pedro Hernandez-Briano, Alejandro Rivera-Villegas and Alfredo Estrada-Angulo
Agriculture 2023, 13(11), 2062; https://doi.org/10.3390/agriculture13112062 - 27 Oct 2023
Cited by 6 | Viewed by 2926
Abstract
This study utilized fifty bull calves of the Continental × British crossbreed, with an average body weight of 147.0 ± 1.67 kg (BW), in a completely randomized design. The objective was to examine the impact of varying levels and duration of calcium propionate [...] Read more.
This study utilized fifty bull calves of the Continental × British crossbreed, with an average body weight of 147.0 ± 1.67 kg (BW), in a completely randomized design. The objective was to examine the impact of varying levels and duration of calcium propionate (CaPr) supplementation on the growth performance, body fat reserves, serum metabolites, and hemogram of high-risk newly received stocker calves. These calves were individually housed and fed a received diet for 56 d. The calves received the following treatments: (1) no CaPr (CTL), (2) 20 g CaPr/calf/d, (3) 40 g CaPr/calf/d, (4) 60 g CaPr/calf/d, and (5) 80 g CaPr/calf/d at 14, 28, 42, and 56 d after their arrival. Supplementing with 20 g CaPr from 28 to 56 d after arrival increased average daily gain (ADG) and BW (p < 0.05), and DMI was not affected (p > 0.05). This was reflected at 28 d with increases (p < 0.05) in the ADG/DMI ratio and longissimus muscle area (LMA), and at 56 d in back fat thickness (BFT) and fat thickness at the rump (FTR). Also, with 20 g, blood urea nitrogen decreased (p < 0.05), and increases were observed in the activity of gamma glutamyltransferase, monocytes (quadratic trend, p < 0.07), and granulocytes % (quadratic effect, p < 0.03). However, as the level of CaPr increased during the first 14 d after arrival, daily water intake, creatinine, total cholesterol, mean corpuscular hemoglobin concentration (linear effect, p < 0.05), globulin, calcium, and mean corpuscular volume (linear trend, p = 0.08) increased, while alkaline phosphatase (linear trend, p = 0.07) and lymphocytes (linear effect, p = 0.05) decreased. Finally, the different levels of CaPr supplementation did not produce any significant effects or differences (p > 0.05) in the remaining serum metabolites and hemogram (p > 0.05). Ultimately, the inclusion of 20 g CaPr/calf/d in the diet for 28 d in newly received stocker calves increased ADG, ADG/DMI ratio, and LMA. If extended to 42 or 56 d, the increases in ADG persisted, but there was also a rise in body fat reserves (BFT and FTR) at the expense of a reduction in the ADG/DMI ratio. Furthermore, the different supplementation levels did not impact the reference range for most serum metabolites or the health of stocker calves. Full article
(This article belongs to the Special Issue Animal Nutrition and Productions: Series II)
Show Figures

Figure 1

10 pages, 3706 KB  
Article
Multi-Objective Message Routing in Electric and Flying Vehicles Using a Genetics Algorithm
by Muhammad Alolaiwy and Mohamed Zohdy
Sensors 2023, 23(3), 1100; https://doi.org/10.3390/s23031100 - 18 Jan 2023
Cited by 6 | Viewed by 2156
Abstract
With progressive technological advancements, the time for electric vehicles (EVs) and unmanned aerial vehicles (UAVs) has finally arrived for the masses. However, intelligent transportation systems need to develop appropriate protocols that enable swift predictive communication among these battery-powered devices. In this paper, we [...] Read more.
With progressive technological advancements, the time for electric vehicles (EVs) and unmanned aerial vehicles (UAVs) has finally arrived for the masses. However, intelligent transportation systems need to develop appropriate protocols that enable swift predictive communication among these battery-powered devices. In this paper, we highlight the challenges in message routing in a unified paradigm of electric and flying vehicles (EnFVs). We innovate over the existing routing scheme by considering multi-objective EnFVs message routing using a novel modified genetics algorithm. The proposed scheme identifies all possible solutions, outlines the Pareto-front, and considers the optimal solution for the best route. Moreover, the reliability, data rate, and residual energy of vehicles are considered to achieve high communication gains. An exhaustive evaluation of the proposed and three existing schemes using a New York City real geographical trace shows that the proposed scheme outperforms existing solutions and achieves a 90%+ packet delivery ratio, longer connectivity time, shortest average hop distance, and efficient energy consumption. Full article
(This article belongs to the Special Issue Edge Computing and Networked Sensing in 6G Network)
Show Figures

Figure 1

17 pages, 481 KB  
Article
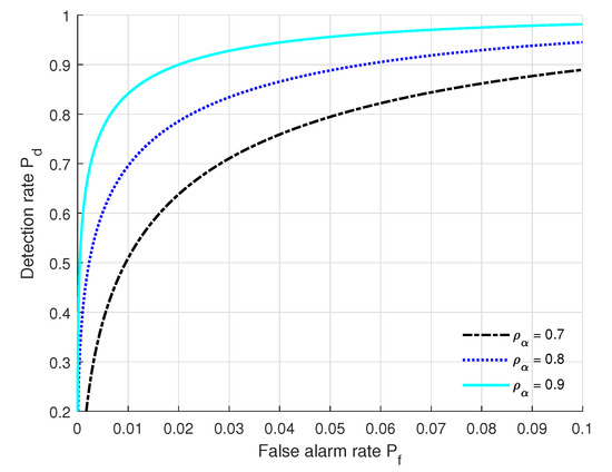
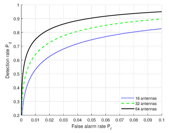
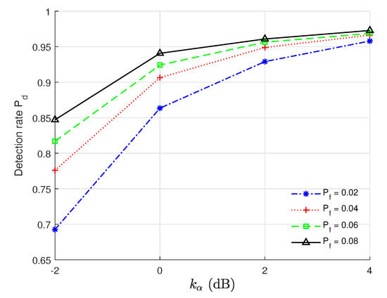
Utilizing Multi-Dimensional MmWave MIMO Channel Features for Location Verification
by Pinchang Zhang, Yangyang Liu and Ji He
Sensors 2022, 22(23), 9202; https://doi.org/10.3390/s22239202 - 26 Nov 2022
Cited by 1 | Viewed by 1754
Abstract
In this paper, we address the problem of authenticating transmitters in millimeter-wave (mmWave) multiple-input multiple-output (MIMO) communication systems, and propose a location verification scheme based on multi-dimensional mmWave MIMO channel features. In particular, we first examine the mmWave MIMO channel features in terms [...] Read more.
In this paper, we address the problem of authenticating transmitters in millimeter-wave (mmWave) multiple-input multiple-output (MIMO) communication systems, and propose a location verification scheme based on multi-dimensional mmWave MIMO channel features. In particular, we first examine the mmWave MIMO channel features in terms of azimuth angle of arrival (AAoA), elevation angle of arrival (EAoA), and path gain, and then extract these fine-grained channel features through the maximum-likelihood (ML) estimation method. Based on the extracted feature parameters, authentication validation is cast in the framework of hypothesis testing theory. We also derive the analytical expressions for the typical false alarm and detection rates by using the likelihood ratio test and thus the statistical performance is analytically established. Finally, extensive numerical results are provided to demonstrate the performance of the proposed authentication scheme. Full article
(This article belongs to the Section Sensor Networks)
Show Figures

Figure 1

18 pages, 11508 KB  
Article
Transforming Linear to Circular Polarization on Horn Antennas by Using Multiple-Layer Frequency Selective Surfaces
by Adelaida Heiman and Razvan D. Tamas
Sensors 2022, 22(20), 7838; https://doi.org/10.3390/s22207838 - 15 Oct 2022
Cited by 4 | Viewed by 4449
Abstract
This article presents a technique for transforming the polarization of a pyramidal horn antenna by adding multiple layers of frequency-selective surfaces in front of the aperture, in order to rotate the direction of the electric field. Thus, two orthogonal components with the same [...] Read more.
This article presents a technique for transforming the polarization of a pyramidal horn antenna by adding multiple layers of frequency-selective surfaces in front of the aperture, in order to rotate the direction of the electric field. Thus, two orthogonal components with the same magnitude, phase-shifted by 90°, are generated. Each frequency-selective surface consists of skewed λ/2 dipoles. Compared to other similar structures, our antenna system combines the field radiated from the horn aperture with the field scattered by parallel frequency-selective surface structures spaced on the same principle as that for designing a Yagi-Uda antenna array. The proposed horn antenna with multiple frequency-selective surfaces can be used as a feed element for a parabolic reflector antenna for maritime satellite communication systems in the X-band or in the lower part of the Ku band, or as part of a sensor for finding the direction of arrival of a wave, in order to orientate an antenna system. The concept was successfully validated on the basis of simulation and measurements. The proposed technique provides a close to unit axial ratio together with a 3 dB increase in gain compared to the conventional horn antenna, at low manufacturing costs. Full article
(This article belongs to the Special Issue Antennas for Integrated Sensors Systems)
Show Figures

Figure 1

22 pages, 11596 KB  
Article
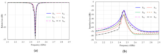
New Compact Antenna Array for MIMO Internet of Things Applications
by Wazie M. Abdulkawi, Mohammed A. Alqaisei, Abdel-Fattah A. Sheta and Ibrahim Elshafiey
Micromachines 2022, 13(9), 1481; https://doi.org/10.3390/mi13091481 - 6 Sep 2022
Cited by 23 | Viewed by 3248
Abstract
A communication system is proposed for the Internet of Things (IoT) applications in desert areas with extended coverage of regional area network requirements. The system implements a developed six-element array that operates at a 2.45 GHz frequency band and is optimized to reduce [...] Read more.
A communication system is proposed for the Internet of Things (IoT) applications in desert areas with extended coverage of regional area network requirements. The system implements a developed six-element array that operates at a 2.45 GHz frequency band and is optimized to reduce the size and limit element coupling to less than −20 dB. Analysis of the proposed system involves a multiple-input multiple-output (MIMO) operation to obtain the diversity gain and spectral efficiency. In addition, the radiation efficiency of the proposed antenna is greater than 65% in the operation bandwidth (more than 30 MHz) with a peak of 73% at 2.45 GHz. Moreover, an adaptive beamforming system is presented based on monitoring the direction of arrival (DOA) of various signals using the root MUSIC algorithm and utilizing the DOA data in a minimum variance distortionless response (MVDR) technique beamformer. The developed array is found to have an envelope correlation coefficient (ECC) value of less than 0.013, mean effective gain (MEG) of more than 1 dB, diversity gain of more than 9.9 dB, and channel capacity loss (CCL) of less than 0.4 bits/s/Hz over the operation bandwidth. Adaptive beamforming is used to suppress interference and enhance the signal-to-interference noise ratio (SINR) and is found to achieve a data rate of more than 50 kbps for a coverage distance of up to 100 km with limited power signals. Full article
Show Figures

Figure 1

10 pages, 5618 KB  
Article
Sound Source Localization Based on Multi-Channel Cross-Correlation Weighted Beamforming
by Mengran Liu, Junhao Hu, Qiang Zeng, Zeming Jian and Lei Nie
Micromachines 2022, 13(7), 1010; https://doi.org/10.3390/mi13071010 - 26 Jun 2022
Cited by 14 | Viewed by 3398
Abstract
Beamforming and its applications in steered-response power (SRP) technology, such as steered-response power delay and sum (SRP-DAS) and steered-response power phase transform (SRP-PHAT), are widely used in sound source localization. However, their resolution and accuracy still need improvement. A novel beamforming method combining [...] Read more.
Beamforming and its applications in steered-response power (SRP) technology, such as steered-response power delay and sum (SRP-DAS) and steered-response power phase transform (SRP-PHAT), are widely used in sound source localization. However, their resolution and accuracy still need improvement. A novel beamforming method combining SRP and multi-channel cross-correlation coefficient (MCCC), SRP-MCCC, is proposed in this paper to improve the accuracy of direction of arrival (DOA). Directional weight (DW) is obtained by calculating the MCCC. Based on DW, suppressed the non-incoming wave direction and gained the incoming wave direction to improve the beamforming capabilities. Then, sound source localizations based on the dual linear array under different conditions were simulated. Compared with SRP-PHAT, SRP-MCCC has the advantages of high positioning accuracy, strong spatial directivity and robustness under the different signal–noise ratios (SNRs). When the SNR is −10 dB, the average positioning error of the single-frequency sound source at different coordinates decreases by 5.69%, and that of the mixed frequency sound sources at the same coordinate decreases by 5.77%. Finally, the experimental verification was carried out. The results show that the average error of SRP-MCCC has been reduced by 8.14% and the positioning accuracy has been significantly improved, which is consistent with the simulation results. This research provides a new idea for further engineering applications of sound source localization based on beamforming. Full article
(This article belongs to the Special Issue Flexible and Wearable Sensors)
Show Figures

Figure 1

Back to TopTop