Sign in to use this feature.

Years

Between: -

Subjects

remove_circle_outline
remove_circle_outline
remove_circle_outline
remove_circle_outline
remove_circle_outline
remove_circle_outline

Journals

Article Types

Countries / Regions

Search Results (9)

Search Parameters:
Keywords = fuzzy-Newton method

Order results
Result details
Results per page
Select all
Export citation of selected articles as:
27 pages, 15860 KB  
Article
Dimensional Synthesis of the Compliant Mechanism Using the Parametric Fuzzy Form of the Freudenstein Equation
by Ahmed Alhindi and Meng-Sang Chew
Mathematics 2024, 12(20), 3170; https://doi.org/10.3390/math12203170 - 10 Oct 2024
Viewed by 1104
Abstract
The dimensional synthesis of compliant mechanisms (CMs) leverages the flexibility of their components to achieve precise motion and functionality. This study introduces a novel approach using the parametric fuzzy form of the Freudenstein equation with triangular fuzzy numbers (TFNs) to address the complexities [...] Read more.
The dimensional synthesis of compliant mechanisms (CMs) leverages the flexibility of their components to achieve precise motion and functionality. This study introduces a novel approach using the parametric fuzzy form of the Freudenstein equation with triangular fuzzy numbers (TFNs) to address the complexities and uncertainties inherent in CM design. By integrating fuzzy logic with advanced computational techniques such as Newton’s method, the proposed methodology offers a robust framework for synthesizing CMs that can adapt to varying conditions. This approach enables the creation of flexible links modeled as fuzzy regions, allowing for optimized performance and reliability across a range of operational scenarios. Numerical examples illustrate the practical application and efficacy of the proposed methods, highlighting significant improvements in the design and synthesis of CMs. The integration of fuzzy logic in the synthesis process not only enhances the resilience of the mechanisms but also paves the way for future advancements in the field. This study demonstrates the potential of fuzzy logic principles in optimizing CM designs, ensuring they meet specific functional requirements with high precision. Full article
(This article belongs to the Section D2: Operations Research and Fuzzy Decision Making)
Show Figures

Figure 1

19 pages, 15139 KB  
Article
Ultra-Short-Term Photovoltaic Power Prediction by NRGA-BiLSTM Considering Seasonality and Periodicity of Data
by Hong Wu, Haipeng Liu, Huaiping Jin and Yanping He
Energies 2024, 17(18), 4739; https://doi.org/10.3390/en17184739 - 23 Sep 2024
Cited by 5 | Viewed by 1878
Abstract
Photovoltaic (PV) power generation is highly stochastic and intermittent, which poses a challenge to the planning and operation of existing power systems. To enhance the accuracy of PV power prediction and ensure the safe operation of the power system, a novel approach based [...] Read more.
Photovoltaic (PV) power generation is highly stochastic and intermittent, which poses a challenge to the planning and operation of existing power systems. To enhance the accuracy of PV power prediction and ensure the safe operation of the power system, a novel approach based on seasonal division and a periodic attention mechanism (PAM) for PV power prediction is proposed. First, the dataset is divided into three components of trend, period, and residual under fuzzy c-means clustering (FCM) and the seasonal decomposition (SD) method according to four seasons. Three independent bidirectional long short-term memory (BiLTSM) networks are constructed for these subsequences. Then, the network is optimized using the improved Newton–Raphson genetic algorithm (NRGA), and the innovative PAM is added to focus on the periodic characteristics of the data. Finally, the results of each component are summarized to obtain the final prediction results. A case study of the Australian DKASC Alice Spring PV power plant dataset demonstrates the performance of the proposed approach. Compared with other paper models, the MAE, RMSE, and MAPE performance evaluation indexes show that the proposed approach has excellent performance in predicting output power accuracy and stability. Full article
(This article belongs to the Section A2: Solar Energy and Photovoltaic Systems)
Show Figures

Figure 1

14 pages, 1260 KB  
Article
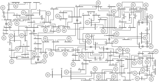
Improvement of Fuzzy Newton Power Flow Convergence
by Ligang Zhao, Hua Zheng, Hongyue Zhen, Li Xie, Yuan Xu and Xianchao Huang
Energies 2023, 16(24), 8044; https://doi.org/10.3390/en16248044 - 13 Dec 2023
Cited by 2 | Viewed by 1326
Abstract
In order to address the convergence issue in fuzzy power flow calculations, this paper proposes an analytical approach based on the Levenberg–Marquardt method, aiming to improve the convergence of the fuzzy Newton power flow method. Firstly, a detailed analysis is conducted on the [...] Read more.
In order to address the convergence issue in fuzzy power flow calculations, this paper proposes an analytical approach based on the Levenberg–Marquardt method, aiming to improve the convergence of the fuzzy Newton power flow method. Firstly, a detailed analysis is conducted on the convergence theorem and convergence behavior of the fuzzy Newton method, revealing its poor convergence when the initial values are not properly selected. The Levenberg–Marquardt method is then selected as a means to enhance the convergence of the fuzzy Newton power flow calculations, specifically to tackle the problem of initial value deviation. Since the Jacobian matrix has a significant impact on the convergence region of the power flow, this paper reconstructs the Jacobian matrix based on the Levenberg–Marquardt method, effectively enlarging the convergence region. Through validation experiments on the IEEE 118 standard nodes and simulation comparative analysis, the results confirm the method’s effectiveness in resolving the problem of initial value deviation and notably enlarging the convergence region, thereby improving the convergence of power flow calculations. Full article
Show Figures

Figure 1

19 pages, 6569 KB  
Article
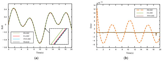
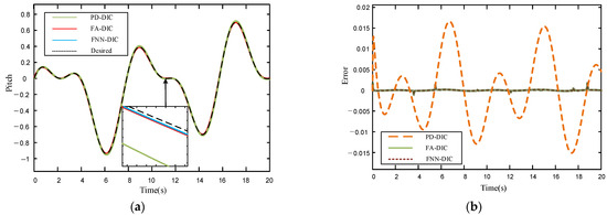
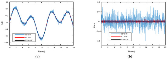
Fuzzy Neural Network Dynamic Inverse Control Strategy for Quadrotor UAV Based on Atmospheric Turbulence
by Zhibo Yang, Ben Cheng, Chengxing Lv, Yanqian Wang and Peng Lu
Appl. Sci. 2022, 12(23), 12232; https://doi.org/10.3390/app122312232 - 29 Nov 2022
Cited by 9 | Viewed by 2390
Abstract
Quadrotor UAV is vulnerable to external interference, which affects search and rescue. In this paper, a fuzzy neural network dynamic inverse controller (FNN-DIC) is designed to eliminate the instability of the attitude angle caused by atmospheric turbulence. Considering the complexity of atmospheric turbulence, [...] Read more.
Quadrotor UAV is vulnerable to external interference, which affects search and rescue. In this paper, a fuzzy neural network dynamic inverse controller (FNN-DIC) is designed to eliminate the instability of the attitude angle caused by atmospheric turbulence. Considering the complexity of atmospheric turbulence, the component model of atmospheric turbulence is obtained firstly based on the Dryden model, using Gaussian white noise as a random input signal and a designed shaping filter. Combined with the Newton-Euler equation, a nonlinear dynamic model for the quadrotor UAV with atmospheric disturbance is established. While the traditional nonlinear dynamic inverse cancels the nonlinearity of the controlled object, it relies on precise mathematical models. The fuzzy neural network can adaptively compensate for the inaccurate part of the model and the inverse error of the model caused by the external disturbance, and the stability of the control system is strictly proved by using the Lyapunov function. The experiments are carried out on the simulation platform, and the results show that the FNN method can ensure that the quadrotor UAV can still fly smoothly against strong disturbances, and that robustness of the system is significantly improved. Full article
Show Figures

Figure 1

29 pages, 682 KB  
Article
Quadrature Rules for the Fm-Transform Polynomial Components
by Irina Perfilieva, Tam Pham and Petr Ferbas
Axioms 2022, 11(10), 501; https://doi.org/10.3390/axioms11100501 - 25 Sep 2022
Cited by 3 | Viewed by 2357
Abstract
The purpose of this paper is to reduce the complexity of computing the components of the integral Fm-transform, m0, whose analytic expressions include definite integrals. We propose to use nontrivial quadrature rules with nonuniformly distributed integration points instead [...] Read more.
The purpose of this paper is to reduce the complexity of computing the components of the integral Fm-transform, m0, whose analytic expressions include definite integrals. We propose to use nontrivial quadrature rules with nonuniformly distributed integration points instead of the widely used Newton–Cotes formulas. As the weight function that determines orthogonality, we choose the generating function of the fuzzy partition associated with the Fm-transform. Taking into account this fact and the fact of exact integration of orthogonal polynomials, we obtain exact analytic expressions for the denominators of the components of the Fm-transformation and their approximate analytic expressions, which include only elementary arithmetic operations. This allows us to effectively estimate the components of the Fm-transformation for 0m3. As a side result, we obtain a new method of numerical integration, which can be recommended not only for continuous functions, but also for strongly oscillating functions. The advantage of the proposed calculation method is shown by examples. Full article
(This article belongs to the Special Issue Fuzzy Transforms and Their Applications II)
Show Figures

Figure 1

21 pages, 2548 KB  
Article
An Industrial Quadrotor UAV Control Method Based on Fuzzy Adaptive Linear Active Disturbance Rejection Control
by Changhao Sun, Mengqi Liu, Chang’an Liu, Xueling Feng and Hua Wu
Electronics 2021, 10(4), 376; https://doi.org/10.3390/electronics10040376 - 4 Feb 2021
Cited by 59 | Viewed by 7082
Abstract
In this paper, a fuzzy adaptive linear active disturbance rejection control (Fuzzy-LADRC) is proposed for strong coupling and nonlinear quadrotor unmanned aerial vehicle (UAV). At present, UAV conveys new opportunities in the industry, such as power line inspection, petroleum conduit patrolling, and defects [...] Read more.
In this paper, a fuzzy adaptive linear active disturbance rejection control (Fuzzy-LADRC) is proposed for strong coupling and nonlinear quadrotor unmanned aerial vehicle (UAV). At present, UAV conveys new opportunities in the industry, such as power line inspection, petroleum conduit patrolling, and defects detection for the wind turbine, because of its advantages in flexibility, high efficiency, and economy. Usually, the scene of the UAV mission has a high risk, and there are internal sensor noise and unknown external disturbance. Thus, the attitude stability and anti-interference ability of UAV are especially essential. To solve the strong coupling problem of UAV, the dynamics model of UAV is established via the Newton-Euler method, and the coupling part of dynamics is modeled as an internal disturbance. According to the function of linear active disturbance rejection control (LADRC) parameters, a Fuzzy-LADRC is proposed to improve the dynamic performance of the system. The proposed control method makes full use of the adaptive ability of the fuzzy controller and the anti-interference ability of LADRC to the nonlinear and strong coupling systems. As we know, this is the first time that Fuzzy-LADRC has been used in UAV control. In the simulation, the performance indicators of four controllers, including Fuzzy-LADRC, LADRC, PID, and Fuzzy-PID are compared and analyzed. The results indicate that the average response speed of Fuzzy-LADRC is 12.65% faster than LADRC, and it is 29.25% faster than PID. The average overshoot of Fuzzy-LADRC is 17% less than LADRC and 77.75% less than PID. The proposed control method can significantly improve the response speed and anti-interference ability of UAV. Full article
Show Figures

Figure 1

23 pages, 11512 KB  
Article
Limited Power Point Tracking for a Small-Scale Wind Turbine Intended to Be Integrated in a DC Microgrid
by Jamila Aourir and Fabrice Locment
Appl. Sci. 2020, 10(22), 8030; https://doi.org/10.3390/app10228030 - 12 Nov 2020
Cited by 18 | Viewed by 3062
Abstract
Limited power point tracking (LPPT) is emerging as a new technology for power management controllers for small-scale wind turbines (SSWTs) thanks to its advantages in terms of operation flexibility, economy and system security. LPPT operates in such a way that power requested by [...] Read more.
Limited power point tracking (LPPT) is emerging as a new technology for power management controllers for small-scale wind turbines (SSWTs) thanks to its advantages in terms of operation flexibility, economy and system security. LPPT operates in such a way that power requested by the user can be extracted from the wind turbine while respecting constraints. However, operating in LPPT mode still requires a deep understanding to obtain a compromise between minimizing power oscillations and transient response. For that, three LPPT power control strategies for an SSWT intended to be integrated in a direct current (DC) urban microgrid are investigated. These methods concern perturb and observe (P&O) with fixed step size, P&O based on Newton’s method and P&O based on the fuzzy logic (FL) technique. The experimental results highlight that all methods function correctly and reach the limited power point (LPP). The FL method improves dynamic performances with more steady oscillations around LPP compared to fixed step size and Newton’s methods. The sudden variation of wind velocity and power lead us to conclude that the FL method ensures a good balance between reducing oscillation of wind turbine (WT) output power around the operating point and convergence of rising time toward LPP. Full article
(This article belongs to the Special Issue Wind Generators: Technology and Trends)
Show Figures

Figure 1

13 pages, 432 KB  
Article
Which Alternative for Solving Dual Fuzzy Nonlinear Equations Is More Precise?
by Joanna Kołodziejczyk, Andrzej Piegat and Wojciech Sałabun
Mathematics 2020, 8(9), 1507; https://doi.org/10.3390/math8091507 - 4 Sep 2020
Cited by 8 | Viewed by 2059
Abstract
To answer the question stated in the title, we present and compare two approaches: first, a standard approach for solving dual fuzzy nonlinear systems (DFN-systems) based on Newton’s method, which uses 2D FN representation and second, the new approach, based on multidimensional fuzzy [...] Read more.
To answer the question stated in the title, we present and compare two approaches: first, a standard approach for solving dual fuzzy nonlinear systems (DFN-systems) based on Newton’s method, which uses 2D FN representation and second, the new approach, based on multidimensional fuzzy arithmetic (MF-arithmetic). We use a numerical example to explain how the proposed MF-arithmetic solves the DFN-system. To analyze results from the standard and the new approaches, we introduce an imprecision measure. We discuss the reasons why imprecision varies between both methods. The imprecision of the standard approach results (roots) is significant, which means that many possible values are excluded. Full article
(This article belongs to the Special Issue Fuzzy Sets, Fuzzy Logic and Their Applications 2020)
Show Figures

Figure 1

21 pages, 5469 KB  
Article
A Rubber-Tapping Robot Forest Navigation and Information Collection System Based on 2D LiDAR and a Gyroscope
by Chunlong Zhang, Liyun Yong, Ying Chen, Shunlu Zhang, Luzhen Ge, Song Wang and Wei Li
Sensors 2019, 19(9), 2136; https://doi.org/10.3390/s19092136 - 8 May 2019
Cited by 51 | Viewed by 9868
Abstract
Natural rubber is widely used in human life because of its excellent quality. At present, manual tapping is still the main way to obtain natural rubber. There is a sore need for intelligent tapping devices in the tapping industry, and the autonomous navigation [...] Read more.
Natural rubber is widely used in human life because of its excellent quality. At present, manual tapping is still the main way to obtain natural rubber. There is a sore need for intelligent tapping devices in the tapping industry, and the autonomous navigation technique is of great importance to make rubber-tapping devices intelligent. To realize the autonomous navigation of the intelligent rubber-tapping platform and to collect information on a rubber forest, the sparse point cloud data of tree trunks are extracted by the low-cost LiDAR and a gyroscope through the clustering method. The point cloud is fitted into circles by the Gauss–Newton method to obtain the center point of each tree. Then, these center points are threaded through the Least Squares method to obtain the straight line, which is regarded as the navigation path of the robot in this forest. Moreover, the Extended Kalman Filter (EKF) algorithm is adopted to obtain the robot’s position. In a forest with different row spacings and plant spacings, the heading error and lateral error of this robot are analyzed and a Fuzzy Controller is applied for the following activities: walking along one row with a fixed lateral distance, stopping at fixed points, turning from one row into another, and collecting information on plant spacing, row spacing, and trees’ diameters. Then, according to the collected information, each tree’s position is calculated, and the geometric feature map is constructed. In a forest with different row spacings and plant spacings, three repeated tests have been carried out at an initial speed of 0.3 m/s. The results show that the Root Mean Square (RMS) lateral errors are less than 10.32 cm, which shows that the proposed navigation method provides great path tracking. The fixed-point stopping range of the robot can meet the requirements for automatic rubber tapping of the mechanical arm, and the average stopping error is 12.08 cm. In the geometric feature map constructed by collecting information, the RMS radius errors are less than 0.66 cm, and the RMS plant spacing errors are less than 11.31 cm. These results show that the method for collecting information and constructing a map recursively in the process of navigation proposed in the paper provides a solution for forest information collection. The method provides a low-cost, real-time, and stable solution for forest navigation of automatic rubber tapping equipment, and the collected information not only assists the automatic tapping equipment to plan the tapping path, but also provides a basis for the informationization and precise management of a rubber plantation. Full article
(This article belongs to the Collection Positioning and Navigation)
Show Figures

Figure 1

Back to TopTop