Sign in to use this feature.

Years

Between: -

Subjects

remove_circle_outline
remove_circle_outline
remove_circle_outline
remove_circle_outline
remove_circle_outline
remove_circle_outline
remove_circle_outline
remove_circle_outline
remove_circle_outline

Journals

Article Types

Countries / Regions

Search Results (29)

Search Parameters:
Keywords = full-rank matrices

Order results
Result details
Results per page
Select all
Export citation of selected articles as:
23 pages, 815 KB  
Article
A New Lower Bound for Noisy Permutation Channels via Divergence Packing
by Lugaoze Feng, Guocheng Lv, Xunan Li and Ye Jin
Entropy 2025, 27(11), 1101; https://doi.org/10.3390/e27111101 - 25 Oct 2025
Viewed by 178
Abstract
Noisy permutation channels are applied in modeling biological storage systems and communication networks. For noisy permutation channels with strictly positive and full-rank square matrices, new achievability bounds are given in this paper, which are tighter than existing bounds. To derive this bound, we [...] Read more.
Noisy permutation channels are applied in modeling biological storage systems and communication networks. For noisy permutation channels with strictly positive and full-rank square matrices, new achievability bounds are given in this paper, which are tighter than existing bounds. To derive this bound, we use the ϵ-packing with Kullback–Leibler divergence as a distance and introduce a novel way to illustrate the overlapping relationship of error events. This new bound shows analytically that for such a matrix W, the logarithm of the achievable code size with a given block n and error probability ϵ is closely approximated by lognΦ1(ϵ/G)+logV(W), where =rank(W)1, G=2+12, and V(W) is a characteristic of the channel referred to as channel volume ratio. Our numerical results show that the new achievability bound significantly improves the lower bound of channel coding. Additionally, the Gaussian approximation can replace the complex computations of the new achievability bound over a wide range of relevant parameters. Full article
(This article belongs to the Special Issue Next-Generation Channel Coding: Theory and Applications)
Show Figures

Figure 1

15 pages, 3233 KB  
Article
Optimizing Client Participation in Communication-Constrained Federated LLM Adaptation with LoRA
by Faranaksadat Solat and Joohyung Lee
Sensors 2025, 25(21), 6538; https://doi.org/10.3390/s25216538 - 23 Oct 2025
Viewed by 366
Abstract
Federated learning (FL) enables privacy-preserving adaptation of large language models (LLMs) across distributed clients. However, deploying FL in edge environments remains challenging because of the high communication overhead of full-model updates. Recent advances in parameter-efficient fine-tuning (PEFT), particularly low-rank adaptation (LoRA), have substantially [...] Read more.
Federated learning (FL) enables privacy-preserving adaptation of large language models (LLMs) across distributed clients. However, deploying FL in edge environments remains challenging because of the high communication overhead of full-model updates. Recent advances in parameter-efficient fine-tuning (PEFT), particularly low-rank adaptation (LoRA), have substantially reduced update sizes by injecting lightweight trainable matrices into pretrained transformers, thereby making FL with LLMs more feasible. In this paper, we propose LoRaC-GA, a communication-aware optimization framework that dynamically determines the optimal number of clients to participate in each round under a fixed bandwidth constraint. We formulated a max-min objective to jointly maximize the model accuracy and communication efficiency and solved the resulting non-convex problem using a genetic algorithm (GA). To further reduce the overhead, we integrated a structured peer-to-peer collaboration protocol with log2K complexity, enabling scalable communication without full connectivity. The simulation results demonstrate that LoRaC-GA adaptively selects the optimal client count, achieving competitive accuracy while significantly reducing the communication cost. The proposed framework is well-suited for bandwidth-constrained edge deployments involving large-scale LLMs. Full article
Show Figures

Figure 1

13 pages, 327 KB  
Article
PSO-Guided Construction of MRD Codes for Rank Metrics
by Behnam Dehghani and Amineh Sakhaie
Mathematics 2025, 13(17), 2756; https://doi.org/10.3390/math13172756 - 27 Aug 2025
Viewed by 507
Abstract
Maximum Rank-Distance (MRD) codes are a class of optimal error-correcting codes that achieve the Singleton-like bound for rank metric, making them invaluable in applications such as network coding, cryptography, and distributed storage. While algebraic constructions of MRD codes (e.g., Gabidulin codes) are well-studied [...] Read more.
Maximum Rank-Distance (MRD) codes are a class of optimal error-correcting codes that achieve the Singleton-like bound for rank metric, making them invaluable in applications such as network coding, cryptography, and distributed storage. While algebraic constructions of MRD codes (e.g., Gabidulin codes) are well-studied for specific parameters, a comprehensive theory for their existence and structure over arbitrary finite fields remains an open challenge. Recent advances have expanded MRD research to include twisted, scattered, convolutional, and machine-learning-aided approaches, yet many parameter regimes remain unexplored. This paper introduces a computational optimization framework for constructing MRD codes using Particle Swarm Optimization (PSO), a bio-inspired metaheuristic algorithm adept at navigating high-dimensional, non-linear, and discrete search spaces. Unlike traditional algebraic methods, our approach does not rely on prescribed algebraic structures; instead, it systematically explores the space of possible generator matrices to identify MRD configurations, particularly in cases where theoretical constructions are unknown. Key contributions include: (1) a tailored finite-field PSO formulation that encodes rank-metric constraints into the optimization process, with explicit parameter control to address convergence speed and global optimality; (2) a theoretical analysis of the adaptability of PSO to MRD construction in complex search landscapes, supported by experiments demonstrating its ability to find codes beyond classical families; and (3) an open-source Python toolkit for MRD code discovery, enabling full reproducibility and extension to other rank-metric scenarios. The proposed method complements established theory while opening new avenues for hybrid metaheuristic–algebraic and machine learning–aided MRD code construction. Full article
(This article belongs to the Section E1: Mathematics and Computer Science)
18 pages, 451 KB  
Article
Distinctive LMI Formulations for Admissibility and Stabilization Algorithms of Singular Fractional-Order Systems with Order Less than One
by Xinhai Wang, Xuefeng Zhang, Qing-Guo Wang and Driss Boutat
Fractal Fract. 2025, 9(7), 470; https://doi.org/10.3390/fractalfract9070470 - 19 Jul 2025
Viewed by 497
Abstract
This paper presents three novel sufficient and necessary conditions for the admissibility of singular fractional-order systems (FOSs), a stabilization criterion, and a solution algorithm. The strict linear matrix inequality (LMI) stability criterion for integer-order systems is generalized to singular FOSs by using column-full [...] Read more.
This paper presents three novel sufficient and necessary conditions for the admissibility of singular fractional-order systems (FOSs), a stabilization criterion, and a solution algorithm. The strict linear matrix inequality (LMI) stability criterion for integer-order systems is generalized to singular FOSs by using column-full rank matrices. This admissibility criterion does not involve complex variables and is different from all previous results, filling a gap in this area. Based on the LMIs in the generalized condition, the improved criterion utilizes a variable substitution technique to reduce the number of matrix variables to be solved from one pair to one, reflecting the admissibility more essentially. This improved result simplifies the programming process compared to the traditional approach that requires two matrix variables. To complete the state feedback controller design, the system matrices in the generalized admissibility criterion are decoupled, but bilinear constraints still occur in the stabilization criterion. For this case, where a feasible solution cannot be found using the MATLAB LMI toolbox, a branch-and-bound algorithm (BBA) is designed to solve it. Finally, the validity of these criteria and the BBA is verified by three examples, including a real circuit model. Full article
Show Figures

Figure 1

24 pages, 1061 KB  
Article
High- and Low-Rank Optimization of SNOVA on ARMv8: From High-Security Applications to IoT Efficiency
by Minwoo Lee, Minjoo Sim, Siwoo Eum and Hwajeong Seo
Electronics 2025, 14(13), 2696; https://doi.org/10.3390/electronics14132696 - 3 Jul 2025
Viewed by 745
Abstract
The increasing threat of quantum computing to traditional cryptographic systems has prompted intense research into post-quantum schemes. Despite SNOVA’s potential for lightweight and secure digital signatures, its performance on embedded devices (e.g., ARMv8 platforms) remains underexplored. This research addresses this gap by presenting [...] Read more.
The increasing threat of quantum computing to traditional cryptographic systems has prompted intense research into post-quantum schemes. Despite SNOVA’s potential for lightweight and secure digital signatures, its performance on embedded devices (e.g., ARMv8 platforms) remains underexplored. This research addresses this gap by presenting the optimal SNOVA implementations on embedded devices. This paper presents a performance-optimized implementation of the SNOVA post-quantum digital signature scheme on ARMv8 processors. SNOVA is a multivariate cryptographic algorithm under consideration in the NIST’s additional signature standardization. Our work targets the performance bottlenecks in the SNOVA scheme. Specifically, we employ matrix arithmetic over GF16 and AES-CTR-based pseudorandom number generation by exploiting the NEON SIMD extension and tailoring the computations to the matrix rank. At a low level, we develop rank-specific SIMD kernels for addition and multiplication. Rank 4 matrices (i.e., 16 bytes) are handled using fully vectorized instructions that align with 128-bit-wise registers, while rank 2 matrices (i.e., 4 bytes) are processed in batches of four to ensure full SIMD occupancy. At the high level, core routines such as key generation and signature evaluation are structurally refactored to provide aligned memory layouts for batched execution. This joint optimization across algorithmic layers reduces the overhead and enables seamless hardware acceleration. The resulting implementation supports 12 SNOVA parameter sets and demonstrates substantial efficiency improvements compared to the reference baseline. These results highlight that fine-grained SIMD adaptation is essential for the efficient deployment of multivariate cryptography on modern embedded platforms. Full article
(This article belongs to the Special Issue Trends in Information Systems and Security)
Show Figures

Figure 1

17 pages, 1843 KB  
Article
Comparison of Rectal and Gastrointestinal Core Temperatures During Heat Tolerance Testing
by Melissa J. Crowe, Michael T. Meehan and Rhondda E. Jones
Medicina 2025, 61(6), 1111; https://doi.org/10.3390/medicina61061111 - 19 Jun 2025
Viewed by 1016
Abstract
Background and Objectives: Military capability may be reduced in hot environments with individuals at risk of exertional heat stroke (EHS). Heat tolerance testing (HTT) can be used to indicate readiness to return to duty following EHS. HTT traditionally relies on rectal core [...] Read more.
Background and Objectives: Military capability may be reduced in hot environments with individuals at risk of exertional heat stroke (EHS). Heat tolerance testing (HTT) can be used to indicate readiness to return to duty following EHS. HTT traditionally relies on rectal core temperature (Tre) assessment via a rectal probe. This study investigated the use of gastrointestinal core temperature (Tgi) as an alternative to Tre during HTT. A secondary aim was to compare physiological factors between heat-tolerant and heat-intolerant trials. Materials and Methods: Australian Defence Force personnel undergoing HTT following known or suspected heat stroke volunteered (n = 23 cases participating in 26 trials) along with 14 controls with no known heat illness history. Confusion matrices enabled comparison of HTT outcome based on Tgi and Tre. The validity of Tgi compared to Tre during HTT was assessed using correlation and bias. Comparisons between heat-tolerant and intolerant trials were performed using non-parametric tests. Results: Although Tgi correlated closely with Tre (Spearman’s rank correlation ρ = 0.893; median bias 0.2 °C) there was no consistent pattern in the differences between measures. Importantly, the two measures only agreed on heat tolerance outcome in 80% of trials with Tgi failing to detect heat intolerance identified by Tre in 6 of 8 trials. If Tgi was relied upon for diagnostic outcome, return to duty may occur before full recovery. None of the assessed covariates were related to the difference between Tre and Tgi. In addition, resting heart rate and systolic blood pressure were significantly lower and body surface area to mass ratio significantly higher in heat-tolerant compared to intolerant trials. Conclusions: It is not recommended to rely on Tgi instead of Tre during HTT. Resting heart rate and systolic blood pressure findings point to the importance of aerobic exercise in conveying heat tolerance along with body composition. Full article
(This article belongs to the Section Sports Medicine and Sports Traumatology)
Show Figures

Figure 1

23 pages, 8539 KB  
Article
Allosteric Coupling in Full-Length Lyn Kinase Revealed by Molecular Dynamics and Network Analysis
by Mina Rabipour, Floyd Hassenrück, Elena Pallaske, Fernanda Röhrig, Michael Hallek, Juan Raul Alvarez-Idaboy, Oliver Kramer and Rocio Rebollido-Rios
Int. J. Mol. Sci. 2025, 26(12), 5835; https://doi.org/10.3390/ijms26125835 - 18 Jun 2025
Viewed by 912
Abstract
Lyn is a multifunctional Src-family kinase (SFK) that regulates immune signaling and has been implicated in diverse types of cancer. Unlike other SFKs, its full-length structure and regulatory dynamics remain poorly characterized. In this study, we present the first long-timescale molecular dynamics analysis [...] Read more.
Lyn is a multifunctional Src-family kinase (SFK) that regulates immune signaling and has been implicated in diverse types of cancer. Unlike other SFKs, its full-length structure and regulatory dynamics remain poorly characterized. In this study, we present the first long-timescale molecular dynamics analysis of full-length Lyn, including the SH3, SH2, and SH1 domains, across wildtype, ligand-bound, and cancer-associated mutant states. Using principal component analysis, dynamic cross-correlation matrices, and network-based methods, we show that ATP binding stabilizes the kinase core and promotes interdomain coordination, while the ATP-competitive inhibitor dasatinib and specific mutations (e.g., E290K, I364N) induce conformational decoupling and weaken long-range communication. We identify integration modules and develop an interface-weighted scoring scheme to rank dynamically central residues. This analysis reveals 44 allosteric hubs spanning SH3, SH2, SH1, and interdomain regions. Finally, a random forest classifier trained on 16 MD-derived features highlights key interdomain descriptors, distinguishing functional states with an AUC of 0.98. Our results offer a dynamic and network-level framework for understanding Lyn regulation and identify potential regulatory hotspots for structure-based drug design. More broadly, our approach demonstrates the value of integrating full-length MD simulations with network and machine learning techniques to probe allosteric control in multidomain kinases. Full article
Show Figures

Graphical abstract

27 pages, 631 KB  
Article
Kaczmarz-Type Methods for Solving Matrix Equation AXB = C
by Wei Zheng, Lili Xing, Wendi Bao and Weiguo Li
Axioms 2025, 14(5), 367; https://doi.org/10.3390/axioms14050367 - 13 May 2025
Viewed by 589
Abstract
This paper proposes a class of randomized Kaczmarz and Gauss–Seidel-type methods for solving the matrix equation AXB=C, where the matrices A and B may be either full-rank or rank deficient and the system may be consistent or inconsistent. [...] Read more.
This paper proposes a class of randomized Kaczmarz and Gauss–Seidel-type methods for solving the matrix equation AXB=C, where the matrices A and B may be either full-rank or rank deficient and the system may be consistent or inconsistent. These iterative methods offer high computational efficiency and low memory requirements, as they avoid costly matrix–matrix multiplications. We rigorously establish theoretical convergence guarantees, proving that the generated sequences converge to the minimal Frobenius-norm solution (for consistent systems) or the minimal Frobenius-norm least squares solution (for inconsistent systems). Numerical experiments demonstrate the superiority of these methods over conventional matrix multiplication-based iterative approaches, particularly for high-dimensional problems. Full article
Show Figures

Figure 1

8 pages, 242 KB  
Article
On the Maximum Probability of Full Rank of Random Matrices over Finite Fields
by Marija Delić and Jelena Ivetić
Mathematics 2025, 13(3), 540; https://doi.org/10.3390/math13030540 - 6 Feb 2025
Cited by 1 | Viewed by 2396
Abstract
The problem of determining the conditions under which a random rectangular matrix is of full rank is a fundamental question in random matrix theory, with significant implications for coding theory, cryptography, and combinatorics. In this paper, we study the probability of full rank [...] Read more.
The problem of determining the conditions under which a random rectangular matrix is of full rank is a fundamental question in random matrix theory, with significant implications for coding theory, cryptography, and combinatorics. In this paper, we study the probability of full rank for a K×N random matrix over the finite field Fq, where q is a prime power, under the assumption that the rows of the matrix are sampled independently from a probability distribution P over FqN. We demonstrate that the probability of full rank attains a local maximum when the distribution P is uniform over FqN{0}, for any KN and prime power q. Moreover, we establish that this local maximum is also a global maximum in the special case where K=2. These results highlight the optimality of the uniform distribution in maximizing full rank and represent a significant step toward solving the broader problem of maximizing the probability of full rank for random matrices over finite fields. Full article
(This article belongs to the Special Issue New Results in Matrix Analysis and Applications)
23 pages, 1404 KB  
Article
A 4D-EnKF Method via a Modified Cholesky Decomposition and Line Search Optimization for Non-Linear Data Assimilation
by Elías D. Nino-Ruiz and Jairo Diaz-Rodriguez
Atmosphere 2024, 15(12), 1412; https://doi.org/10.3390/atmos15121412 - 24 Nov 2024
Viewed by 1123
Abstract
This paper introduces an efficient approach for implementing the Four-Dimensional Variational Ensemble Kalman Filter (4D-EnKF) for non-linear data assimilation, leveraging a modified Cholesky decomposition (4D-EnKF-MC). In this method, control spaces at observation times are represented by full-rank square root approximations of background error [...] Read more.
This paper introduces an efficient approach for implementing the Four-Dimensional Variational Ensemble Kalman Filter (4D-EnKF) for non-linear data assimilation, leveraging a modified Cholesky decomposition (4D-EnKF-MC). In this method, control spaces at observation times are represented by full-rank square root approximations of background error covariance matrices, derived using the modified Cholesky decomposition. To ensure global convergence, we integrate line-search optimization into the filter formulation. The performance of the 4D-EnKF-MC is evaluated through experimental tests using the Lorenz 96 model, and its accuracy is compared to that of a 4D-Var extension of the Maximum-Likelihood Ensemble Filter (4D-MLEF). Through Root Mean Square Error (RMSE) analysis, we demonstrate that the proposed method outperforms the 4D-MLEF across a range of ensemble sizes and observational network configurations, providing a robust and scalable solution for non-linear data assimilation in complex systems. Full article
(This article belongs to the Section Atmospheric Techniques, Instruments, and Modeling)
Show Figures

Figure 1

21 pages, 5257 KB  
Article
Prediction of Turfgrass Quality Using Multispectral UAV Imagery and Ordinal Forests: Validation Using a Fuzzy Approach
by Alexander Hernandez, Shaun Bushman, Paul Johnson, Matthew D. Robbins and Kaden Patten
Agronomy 2024, 14(11), 2575; https://doi.org/10.3390/agronomy14112575 - 1 Nov 2024
Cited by 1 | Viewed by 2271
Abstract
Protocols to evaluate turfgrass quality rely on visual ratings that, depending on the rater’s expertise, can be subjective and susceptible to positive and negative drifts. We developed seasonal (spring, summer and fall) as well as inter-seasonal machine learning predictive models of turfgrass quality [...] Read more.
Protocols to evaluate turfgrass quality rely on visual ratings that, depending on the rater’s expertise, can be subjective and susceptible to positive and negative drifts. We developed seasonal (spring, summer and fall) as well as inter-seasonal machine learning predictive models of turfgrass quality using multispectral and thermal imagery collected using unmanned aerial vehicles for two years as a proof-of-concept. We chose ordinal regression to develop the models instead of conventional classification to account for the ranked nature of the turfgrass quality assessments. We implemented a fuzzy correction of the resulting confusion matrices to ameliorate the probable drift of the field-based visual ratings. The best seasonal predictions were rendered by the fall (multi-class AUC: 0.774, original kappa 0.139, corrected kappa: 0.707) model. However, the best overall predictions were obtained when observation across seasons and years were used for model fitting (multi-class AUC: 0.872, original kappa 0.365, corrected kappa: 0.872), clearly highlighting the need to integrate inter-seasonal variability to enhance models’ accuracies. Vegetation indices such as the NDVI, GNDVI, RVI, CGI and the thermal band can render as much information as a full array of predictors. Our protocol for modeling turfgrass quality can be followed to develop a library of predictive models that can be used in different settings where turfgrass quality ratings are needed. Full article
(This article belongs to the Section Horticultural and Floricultural Crops)
Show Figures

Figure 1

16 pages, 320 KB  
Article
Idempotent-Aided Factorizations of Regular Elements of a Semigroup
by Miroslav Ćirić, Jelena Ignjatović and Predrag S. Stanimirović
Mathematics 2024, 12(19), 3136; https://doi.org/10.3390/math12193136 - 7 Oct 2024
Cited by 1 | Viewed by 1200
Abstract
In the present paper, we introduce the concept of idempotent-aided factorization (I.-A. factorization) of a regular element of a semigroup, which can be understood as a semigroup-theoretical extension of full-rank factorization of matrices over a field. I.-A. factorization of a regular element d [...] Read more.
In the present paper, we introduce the concept of idempotent-aided factorization (I.-A. factorization) of a regular element of a semigroup, which can be understood as a semigroup-theoretical extension of full-rank factorization of matrices over a field. I.-A. factorization of a regular element d is defined by means of an idempotent e from its Green’s D-class as decomposition into the product d=uv, so that the element u belongs to the Green’s R-class of the element d and the Green’s L-class of the idempotent e, while the element v belongs to the Green’s L-class of the element d and the Green’s R-class of the idempotent e. The main result of the paper is a theorem which states that each regular element of a semigroup possesses an I.-A. factorization with respect to each idempotent from its Green’s D-class. In addition, we prove that when one of the factors is given, then the other factor is uniquely determined. I.-A. factorizations are then used to provide new existence conditions and characterizations of group inverses and (b,c)-inverses in a semigroup. In our further research, these factorizations will be applied to matrices with entries in a field, and efficient algorithms for realization of such factorizations will be provided. Full article
(This article belongs to the Section A: Algebra and Logic)
Show Figures

Figure 1

45 pages, 2423 KB  
Article
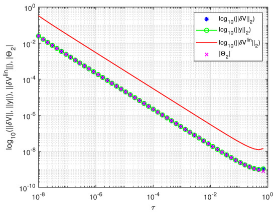
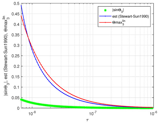
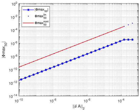
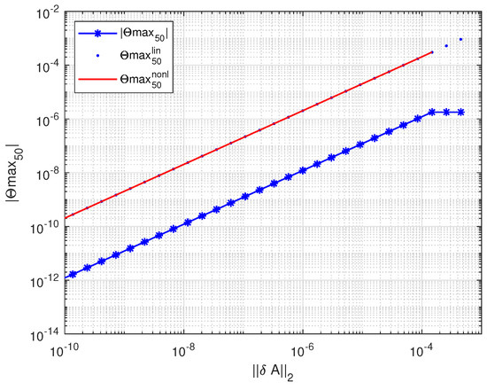
Componentwise Perturbation Analysis of the Singular Value Decomposition of a Matrix
by Vera Angelova and Petko Petkov
Appl. Sci. 2024, 14(4), 1417; https://doi.org/10.3390/app14041417 - 8 Feb 2024
Cited by 4 | Viewed by 2511
Abstract
A rigorous perturbation analysis is presented for the singular value decomposition (SVD) of a real matrix with full column rank. It is proved that the SVD perturbation problem is well posed only when the singular values are distinct. The analysis involves the solution [...] Read more.
A rigorous perturbation analysis is presented for the singular value decomposition (SVD) of a real matrix with full column rank. It is proved that the SVD perturbation problem is well posed only when the singular values are distinct. The analysis involves the solution of symmetric coupled systems of linear equations. It produces asymptotic (local) componentwise perturbation bounds on the entries of the orthogonal matrices participating in the decomposition of the given matrix and on its singular values. Local bounds are derived for the sensitivity of the singular subspaces measured by the angles between the unperturbed and perturbed subspaces. Determining the asymptotic bounds of the orthogonal matrices and the sensitivity of singular subspaces requires knowing only the norm of the perturbation of the given matrix. An iterative scheme is described to find global bounds on the respective perturbations, and results from numerical experiments are presented. Full article
Show Figures

Figure 1

15 pages, 321 KB  
Article
On the Convergence of the Randomized Block Kaczmarz Algorithm for Solving a Matrix Equation
by Lili Xing, Wendi Bao and Weiguo Li
Mathematics 2023, 11(21), 4554; https://doi.org/10.3390/math11214554 - 5 Nov 2023
Cited by 2 | Viewed by 1955
Abstract
A randomized block Kaczmarz method and a randomized extended block Kaczmarz method are proposed for solving the matrix equation AXB=C, where the matrices A and B may be full-rank or rank-deficient. These methods are iterative methods without matrix [...] Read more.
A randomized block Kaczmarz method and a randomized extended block Kaczmarz method are proposed for solving the matrix equation AXB=C, where the matrices A and B may be full-rank or rank-deficient. These methods are iterative methods without matrix multiplication, and are especially suitable for solving large-scale matrix equations. It is theoretically proved that these methods converge to the solution or least-square solution of the matrix equation. The numerical results show that these methods are more efficient than the existing algorithms for high-dimensional matrix equations. Full article
(This article belongs to the Section E: Applied Mathematics)
Show Figures

Figure 1

14 pages, 3509 KB  
Article
An Enhanced DOA Estimation Method for Coherent Sources via Toeplitz Matrix Reconstruction and Khatri–Rao Subspace
by Bingbing Qi, Xiaogang Liu, Daowei Dou, Yan Zhang and Runze Hu
Electronics 2023, 12(20), 4268; https://doi.org/10.3390/electronics12204268 - 16 Oct 2023
Cited by 2 | Viewed by 1975
Abstract
The Toeplitz matrix reconstruction methods are capable of resolving coherent signals, playing a crucial role in the direction-of-arrival (DOA) estimation of acoustic sources. However, the decoherence processing sacrifices the array aperture and further results in a reduced resolution capability for the number of [...] Read more.
The Toeplitz matrix reconstruction methods are capable of resolving coherent signals, playing a crucial role in the direction-of-arrival (DOA) estimation of acoustic sources. However, the decoherence processing sacrifices the array aperture and further results in a reduced resolution capability for the number of identifiable sources. To solve this issue, we propose an enhanced method using the Khatri–Rao subspace to resolve more coherent sources than that of the existing Toeplitz matrix reconstruction methods. Firstly, a full set of Toeplitz matrices with full rank is obtained. Then, the virtual array aperture can be obtained using the Khatri–Rao product of the array response, and the degree of freedom provided inherently in the virtual array structure is about twice the size of that of the existing Toeplitz methods. Next, linear processing is further used to achieve complexity reduction without losing the effective degree of freedom. Finally, the DOA estimation for more coherent sources can be achieved by combining it with conventional methods. Numerical simulations verify the superiority of the proposed method. Full article
(This article belongs to the Special Issue Advances in Computer Vision and Multimedia Information Processing)
Show Figures

Figure 1

Back to TopTop