Sign in to use this feature.

Years

Between: -

Subjects

remove_circle_outline
remove_circle_outline
remove_circle_outline
remove_circle_outline
remove_circle_outline
remove_circle_outline
remove_circle_outline

Journals

Article Types

Countries / Regions

Search Results (8)

Search Parameters:
Keywords = flow around a cylindrical pier

Order results
Result details
Results per page
Select all
Export citation of selected articles as:
23 pages, 5537 KB  
Article
Machine Learning Approaches for Simulating Temporal Changes in Bed Profiles Around Cylindrical Bridge Pier: A Comparative Analysis
by Ahad Molavi, Fariborz Ahmadzadeh Kaleybar, Namal Rathnayake, Upaka Rathnayake, Mehdi Fuladipanah and Hazi Mohammad Azamathulla
Hydrology 2025, 12(9), 238; https://doi.org/10.3390/hydrology12090238 - 15 Sep 2025
Cited by 1 | Viewed by 1782
Abstract
Submerged vanes offer a promising solution for reducing scour depth around hydraulic structures such as bridge piers by modifying near-bed flow patterns. However, temporal changes in bed profiles around a cylindrical pier remain insufficiently quantified. This study employs three machine learning models (MLMs), [...] Read more.
Submerged vanes offer a promising solution for reducing scour depth around hydraulic structures such as bridge piers by modifying near-bed flow patterns. However, temporal changes in bed profiles around a cylindrical pier remain insufficiently quantified. This study employs three machine learning models (MLMs), gene expression programming (GEP), support vector regression (SVR), and an artificial neural network (ANN), to simulate the temporal evolution of the bed profile around a cylindrical pier under constant subcritical flow. We use a published laboratory flume dataset (106 observations) obtained for a pier of diameter D=6cm and uniform sediment with median size D50=0.43mm. Geometric/layout parameters of the submerged vanes (number n, transverse offset z, longitudinal spacing e, and distance from the pier base a) were fixed at their reported optima, and subsequent tests varied installation angles α to minimize scour. Models were trained on 70% of the data and tested on 30% using dimensionless inputs (t/te,α1,α2,α3) with t the elapsed time from the start of the run and te the equilibrium time at which scour growth becomes negligible and response s/D with s the instantaneous scour depth at time t. The GEP model with a three-gene structure achieved the best accuracy. During training and testing, GEP attained (RMSE, MAE, R2, (Ds/D)DDR(max))=(0.0864,0.0681,0.9237,4.25) and (0.0729,0.0641,0.9143,4.94), respectively, where Ds denotes scour depth at equilibrium state, D is the pier diameter, and DDR(max)max(Ds/D) is the maximum dimensionless depth ratio observed/predicted. Full article
Show Figures

Figure 1

13 pages, 6474 KB  
Article
A Sensitivity Analysis of Ship–Bridge Spacing under the Coupling Effect of Turbulence and Ship Motion
by Yasi Ye, Xiaoping Liu, Yukang Ye, Anbin Li, Jiaqiang Zhang and Qijiang Ren
J. Mar. Sci. Eng. 2024, 12(8), 1308; https://doi.org/10.3390/jmse12081308 - 2 Aug 2024
Viewed by 1207
Abstract
The hydrodynamics of the flow around piers affects the motion of ships navigating near these structures, while the motion of the ships, in turn, affects the distribution of the flow field near the piers. This study investigates the forces exerted on a ship [...] Read more.
The hydrodynamics of the flow around piers affects the motion of ships navigating near these structures, while the motion of the ships, in turn, affects the distribution of the flow field near the piers. This study investigates the forces exerted on a ship in various ship–pier transverse distances using commercial computational fluid dynamics (CFD) software, Fluent 13.0, based on the RNG k-ε model, complemented by experiments with a physical model. The interaction between the ship’s motion and the flow field near the piers was considered. The results indicate that during the encounter between the ship and the pier, the boundary of the approaching ship affects the flow field near the pier, thereby affecting the generation and detachment of vortices behind the pier. The yaw moment of the ship demonstrates a marked “positive peak–negative peak–positive peak” pattern. Moreover, as the ship–pier transverse distance increases, the impact of the pier on the ship’s motion decreases, and it becomes negligible when the distance reaches 0.9 times the diameter of the pier (D), suggesting that the pier has a minimal impact on ship navigation if the ship–pier transverse distance exceeds this threshold. Full article
(This article belongs to the Section Ocean Engineering)
Show Figures

Figure 1

18 pages, 5321 KB  
Article
An Experimental Study on the Effect of Distance and Sheltering Area of a Group of Linearly Arranged Sacrificial Piles on Reducing Local Scour around a Circular Bridge Pier under Clear-Water Conditions
by Subodh Guragain and Norio Tanaka
Fluids 2024, 9(2), 35; https://doi.org/10.3390/fluids9020035 - 31 Jan 2024
Cited by 7 | Viewed by 3179
Abstract
One of the major problems associated with bridge piers is ensuring their safety against local scouring caused by the erosive action of flow. Numerous countermeasures have been developed and tested to solve this problem, among which sacrificial piles are highly recognized due to [...] Read more.
One of the major problems associated with bridge piers is ensuring their safety against local scouring caused by the erosive action of flow. Numerous countermeasures have been developed and tested to solve this problem, among which sacrificial piles are highly recognized due to their high performance, economy, durability, and ease of construction. Several factors affect the performance of sacrificial piles, such as their number, size, degree of submergence, and geometric arrangement parameters. In this study, the performance of a group of linearly arranged cylindrical sacrificial piles in reducing local scour around a circular bridge pier was investigated by varying the number of piles (or sheltering area) and distance between piles and the pier under clear-water conditions. Three values of distance between piles and the pier and three values of sheltering area (or number of piles) were tested. The efficiencies of sacrificial piles in different configurations were presented in terms of the percentage reduction in maximum scour depth at an unprotected pier under the same hydraulic conditions. The results of this experiment show that when linearly arranged sacrificial piles are placed close to the pier (at distance D; D is the pier diameter), an increase in the number of piles (or sheltered area) results in an increased scour depth, and when placed far from the pier (2D and 3D), an increase in the number of piles results in a decrease in scour depth around the pier. In addition, for 40% and 60% sheltering conditions, scour depth increased with an increase in the spacing between piles and the pier, while for 80% sheltering conditions, optimum protection was observed at a distance of 2D. Overall, two piles placed at distance D provided optimum protection with a scour depth reduction of 41.6%, while minimum protection was recorded when the same were placed at a spacing of 3D from the pier (25.5%). Full article
(This article belongs to the Topic Advances in Environmental Hydraulics)
Show Figures

Figure 1

23 pages, 5303 KB  
Article
Unraveling Debris-Enhanced Local Scour Patterns around Non-Cylindrical Bridge Piers: Experimental Insights and Innovative Modeling
by Muhanad Al-Jubouri, Richard P. Ray and Mahmoud Saleh Al-Khafaji
Sustainability 2023, 15(22), 15910; https://doi.org/10.3390/su152215910 - 14 Nov 2023
Cited by 8 | Viewed by 2040
Abstract
Bridge structures face a critical threat from localized scour-induced damage, prompting urgent attention to civil infrastructure resilience. Prior research has primarily focused on the influence of pier shapes on scour patterns. However, the exploration of the combined effects of various debris shapes, each [...] Read more.
Bridge structures face a critical threat from localized scour-induced damage, prompting urgent attention to civil infrastructure resilience. Prior research has primarily focused on the influence of pier shapes on scour patterns. However, the exploration of the combined effects of various debris shapes, each possessing distinct properties, on predictive scour depth models around the non-cylindrical pier has hitherto remained less researched. This study explored the complex dynamics governing local scour around bridge piers, focusing on the influence of surface and near-surface debris. This research shed light on changes in scour depth by investigating factors like pier geometries, debris arrangements, and submersion depths. The experiments and analysis revealed the effects of various pier shapes—cylindrical, square, rectangular, oblong, oval, and lenticular—on scour patterns. Different geometries influenced primary scour zones and affected areas, with square piers causing the deepest scour and lenticular ones showing shallower instances. Scour depths typically peaked upstream across geometries, but ogival and lenticular shapes exhibited unique patterns. The research also introduced a formula that integrated debris attributes into predictive scour depth modeling, validated with favorable accuracy. Ultimately, this predictive model advances scour prediction, particularly in debris-laden flows, offering valuable insights for engineering and management practices in understanding real-world scour mechanisms and hydraulic dynamics. Full article
Show Figures

Figure 1

19 pages, 6881 KB  
Article
Using a Bed Sill as a Countermeasure for Clear-Water Scour at a Complex Pier with Inclined Columns Footed on Capped Piles
by Mahdi Esmaeili Varaki, Negar Tavazo and Alessio Radice
Hydrology 2022, 9(4), 65; https://doi.org/10.3390/hydrology9040065 - 16 Apr 2022
Cited by 7 | Viewed by 3598
Abstract
River bridge piers may collapse due to the local scour around their foundations. It is known that local scour is an effect of the three-dimensional flow field that develops near the pier and that the geometric complexity of a non-cylindrical pier may, correspondingly, [...] Read more.
River bridge piers may collapse due to the local scour around their foundations. It is known that local scour is an effect of the three-dimensional flow field that develops near the pier and that the geometric complexity of a non-cylindrical pier may, correspondingly, increase the complexity of the process. It is also known that various devices may be used as scour countermeasures. This manuscript explores the use of a bed sill as a countermeasure for local scour at a complex bridge pier compound of an array of piles, a pile cap, and two inclined columns with the rectangular sections above the cap. This pier geometry, never studied before in combination with a scour countermeasure, was stimulated by an existing bridge. Different sill placements were tested (at the upstream or downstream edges of the pier, or in an intermediate position) for various values of the pile diameter and number, cap thickness and cap elevation. The results of a wide experimental campaign consistently showed that the most effective placement of the transverse sill was at the upstream edge of the pier, for which scour reductions of up to 30–40% could be obtained for the long-term scour depth. The countermeasure performance decreased to about 10% when the sill was placed at the downstream edge of the pier. Furthermore, the installation of a transverse sill upstream of the pier also changed the shape of the scour hole because the pier was then located in an area prone to sill scour; however, for the present experiments, the combination of the effects was beneficial in terms of the resulting scour depth. Although the investigation of a single hydro-dynamic condition prevents the experimental findings from being generalized, the promising results stimulate further consideration of a transverse sill as a countermeasure for local scour at a complex pier. Full article
(This article belongs to the Section Hydrological and Hydrodynamic Processes and Modelling)
Show Figures

Figure 1

17 pages, 6526 KB  
Article
Modeling Local Scour around a Cylindrical Pier with Circular Collar with Tilt Angles (Counterclockwise around the Direction of the Channel Cross-Section) in Clear-Water
by Hongliang Qi, Weiping Tian and Haochi Zhang
Water 2021, 13(22), 3281; https://doi.org/10.3390/w13223281 - 19 Nov 2021
Cited by 13 | Viewed by 3721
Abstract
This research explores how a circular collar with a tilt angle (counterclockwise around the direction of the channel cross-section) could affect the local scour depth around a single cylindrical pier in clear-water based on Large Eddy Simulation (LES) in six cases. The results [...] Read more.
This research explores how a circular collar with a tilt angle (counterclockwise around the direction of the channel cross-section) could affect the local scour depth around a single cylindrical pier in clear-water based on Large Eddy Simulation (LES) in six cases. The results show that a horizontal circular collar is the best for reducing the local scour depth. With the increases of the tilt angle, the effect on reducing the local scour depth decreases gradually and is even counterproductive at the scour equilibrium. At the early stage of scouring, cases with circular collars show obvious scouring depth reductions. The smaller the tilt angle is, the better and longer-lasting the protection that the circular collar can provide. When the tilt angle is smaller than 5°, the location of the maximum local scouring is around 90–115° (the angle is measured clockwise from the flow direction) on both sides of the pier. When the tilt angle is greater than 5°, the depth of local scouring in the range around −115° to 115° is close to the maximum local scouring depth. Significantly larger areas reach the maximum scouring depth when the tilt angle increases. Compared to Case 1 (the pier without a circular collar), in the cases with a circular collar, the topographies downwards the pier in 1.0D (D is the diameter of the bridge pier) are changed to siltation from scouring. The topography downwards the pier changes from scouring to siltation with the increase of the tilt angle, and the shape of siltation changes from a long-narrow rectangle to an equilateral triangle. This study may provide valuable insights into the protection of the local scour of the pier. Full article
(This article belongs to the Section Hydraulics and Hydrodynamics)
Show Figures

Figure 1

19 pages, 8195 KB  
Article
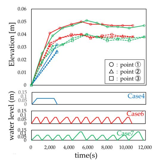
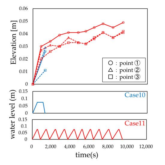
Effects of Dynamical Change in Water Level on Local Scouring around Bridge Piers Based on In-Situ Experiments
by Takuma Kadono, Sho Kato, Shinichiro Okazaki, Toshinori Matsui, Yoshio Kajitani, Masahide Ishizuka and Hidenori Yoshida
Water 2021, 13(21), 3015; https://doi.org/10.3390/w13213015 - 27 Oct 2021
Cited by 6 | Viewed by 3125
Abstract
To evaluate the stability of bridge piers affected by the local scouring, the existing formulas for estimating the maximum local scour depth have been developed based on the results of experiments conducted under a constant water level. However, the applicability of these formulas [...] Read more.
To evaluate the stability of bridge piers affected by the local scouring, the existing formulas for estimating the maximum local scour depth have been developed based on the results of experiments conducted under a constant water level. However, the applicability of these formulas to the cases where the water level rises and falls, such as a water level change in a real river, is not clear. In this study, water flow experiments were conducted on cylindrical and oval bridge pier models to investigate the effect of iterated water level change on the progression of local scour around piers. Results of experiments with cylindrical and oval pier showed that the local scour depth and length increased by an iterated action of the water level change; however, these values converged after the number of iterated actions reached a certain time. The local scour length at upstream of the bridge pier was approximately 1.8 times larger than the theoretical value, which was calculated through the local scour depth and angle of repose in water. The local scour length is an important parameter for defining the streambed protection zone, which is one of the measures against local scour, and we showed that the streambed protection zone needs to be defined more widely. Full article
(This article belongs to the Section Water Erosion and Sediment Transport)
Show Figures

Figure 1

16 pages, 1477 KB  
Article
Characteristics of Flow Structure around Cylindrical Bridge Piers in Pressure-Flow Conditions
by Iacopo Carnacina, Nicoletta Leonardi and Stefano Pagliara
Water 2019, 11(11), 2240; https://doi.org/10.3390/w11112240 - 26 Oct 2019
Cited by 25 | Viewed by 6665
Abstract
The emerging shift of extreme events, combined with an aging infrastructure and bridges, highlights the potential increase in the risk of damage and catastrophic failure of bridges with climate change. This article analyzes the behavior of the flow and turbulence features in proximity [...] Read more.
The emerging shift of extreme events, combined with an aging infrastructure and bridges, highlights the potential increase in the risk of damage and catastrophic failure of bridges with climate change. This article analyzes the behavior of the flow and turbulence features in proximity to bridge piers, at two different moments of the scour temporal evolution in free-surface and pressure-flow conditions. Bridge pressure-flow conditions occur when the water depth submerges a bridge deck during extreme events. A circular pier and two rectangular decks of different lengths were used for this research. All tests were carried out in clear water conditions at the sediment critical velocity. This paper studied first the rate of scour temporal evolution and scour morphologies. Second, velocity measurements were taken using a Nortek acoustic Velocimeter at 25 Hz sampling rate in both free-surface and pressure-flow conditions. The average three-dimensional flow velocities, turbulence intensities, Reynolds stress, and turbulent kinetic energy were studies for the cross section corresponding to the center of the pier. The results show that pressure flow conditions accelerate the scour rate. This rate approximately reaches twice the scour in free-surface conditions with a vertical contraction of about 17%. Flow and turbulence measurements clearly exhibit how, under pressure-flow conditions, the additional turbulence and accelerated velocity modifies the flow pattern and circulation, accelerating the scour evolution around the bridge base. While numerous studies exist for pier scour and turbulence in free-surface conditions, pressure flow conditions received limited attention in the past. These results provide essential information for understanding scour mechanisms and for facilitating the design of future structures to increase bridge safety and resilience. Full article
(This article belongs to the Special Issue Bridge Hydraulics: Current State of the Knowledge and Perspectives)
Show Figures

Figure 1

Back to TopTop