Sign in to use this feature.

Years

Between: -

Subjects

remove_circle_outline
remove_circle_outline
remove_circle_outline
remove_circle_outline
remove_circle_outline
remove_circle_outline
remove_circle_outline

Journals

Article Types

Countries / Regions

Search Results (9)

Search Parameters:
Keywords = flickering flame

Order results
Result details
Results per page
Select all
Export citation of selected articles as:
10 pages, 3168 KB  
Article
Frequency Spectrum Characterization of Infrared Thermal Images of Methane Diffusion Flames
by Qinglin Niu, Zengjie Zhou, Ao Sun, Xiaying Meng and Pengjun Zhang
Fire 2025, 8(7), 255; https://doi.org/10.3390/fire8070255 - 28 Jun 2025
Viewed by 1272
Abstract
Experimental measurements of midwave infrared thermal images of methane diffusion flames at different concomitant flow velocities were obtained as snapshot data to analyze the flame scintillation effect. The spectral proper orthogonal decomposition (SPOD) method was used to extract the frequency-spectral features of the [...] Read more.
Experimental measurements of midwave infrared thermal images of methane diffusion flames at different concomitant flow velocities were obtained as snapshot data to analyze the flame scintillation effect. The spectral proper orthogonal decomposition (SPOD) method was used to extract the frequency-spectral features of the flame to characterize the effect of the co-flow on the flame scintillation characteristics. The results show that, under the effect of the Kelvin-Helmholtz instability, a rolled-up vortex structure is formed within the shear layer, which triggers periodic flickering during flame combustion. The frequency-spectral characteristics of the flickering phenomenon corresponding to unstable combustion show an octave distribution. An increase in the co-flow velocity leads to an increase in the peak flicker frequency. The peak frequency was 11.6 Hz in the case without associated flow and 16.6 Hz in the case with associated flow. The SPOD analysis results indicated that the high-frequency first-order modes dominated by the flickering phenomenon exhibited an axisymmetric distribution, whereas the second-order modes exhibited an antisymmetric distribution. In contrast, the low-frequency first-order modes exhibit an antisymmetric distribution, whereas the second-order modes exhibit an axisymmetric distribution. Full article
(This article belongs to the Special Issue Sooting Flame Diagnostics and Modeling)
Show Figures

Figure 1

30 pages, 5167 KB  
Article
Revolutionizing Electric Vehicle Charging Stations with Efficient Deep Q Networks Powered by Multimodal Bioinspired Analysis for Improved Performance
by Sugunakar Mamidala, Yellapragada Venkata Pavan Kumar and Rammohan Mallipeddi
Energies 2025, 18(7), 1750; https://doi.org/10.3390/en18071750 - 31 Mar 2025
Cited by 4 | Viewed by 1606
Abstract
The rapid growth of electric vehicle (EV) adoption presents significant challenges in planning efficient charging infrastructure, including suboptimal station placement, energy consumption, and rising infrastructural costs. The conventional methods, such as grey wolf optimization (GWO), fail to address real-time user demand and dynamic [...] Read more.
The rapid growth of electric vehicle (EV) adoption presents significant challenges in planning efficient charging infrastructure, including suboptimal station placement, energy consumption, and rising infrastructural costs. The conventional methods, such as grey wolf optimization (GWO), fail to address real-time user demand and dynamic factors like fluctuating grid loads and environmental impact. These approaches rely on fixed models, often leading to inefficient energy use, higher operational costs, and increased traffic congestion. This paper proposes a novel framework that integrates deep Q networks (DQNs) for real-time charging optimization, coupled with multimodal bioinspired algorithms like ant lion optimization (ALO) and moth flame optimization (MFO). Unlike conventional geographic placement models that overlook evolving travel patterns, this system dynamically adapts to user behavior, optimizing both onboard and offboard charging systems. The DQN enables continuous learning from changing demand and grid conditions, while ALO and MFO identify optimal station locations, reducing energy consumption and emissions. The proposed framework incorporates dynamic pricing and demand response strategies. These adjustments help balance energy usage, reducing costs and preventing overloading of the grid during peak times, offering real-time adaptability, optimized station placement, and energy efficiency. To improve the performance of the system, the proposed framework ensures more sustainable, cost-effective EV infrastructural planning, minimized environmental impacts, and enhanced charging efficiency. From the results for the proposed system, we recorded various performance parameters such as the installation cost, which decreased to USD 1200 per unit, i.e., a 20% cost efficiency increase, optimal energy utilization increases to 85% and 92% during peak hours and off-peak hours respectively, a charging slot availability increase to 95%, a 30% carbon emission reduction, and 95% performance retention under the stress condition. Further, the power quality is improved by reducing the sag, swell, flicker, and notch by 2 V, 3 V, 0.05 V, and 0.03 V, respectively, with an increase in efficiency to 89.9%. This study addresses critical gaps in real-time flexibility, cost-effective station deployment, and grid resilience by offering a scalable and intelligent EV charging solution. Full article
Show Figures

Figure 1

24 pages, 10039 KB  
Article
Dynamical Behavior of Small-Scale Buoyant Diffusion Flames in Externally Swirling Flows
by Tao Yang, Yuan Ma and Peng Zhang
Symmetry 2024, 16(3), 292; https://doi.org/10.3390/sym16030292 - 2 Mar 2024
Cited by 1 | Viewed by 3163
Abstract
This study computationally investigates small-scale flickering buoyant diffusion flames in externally swirling flows and focuses on identifying and characterizing various distinct dynamical behaviors of the flames. To explore the impact of finite rate chemistry on flame flicker, especially in sufficiently strong swirling flows, [...] Read more.
This study computationally investigates small-scale flickering buoyant diffusion flames in externally swirling flows and focuses on identifying and characterizing various distinct dynamical behaviors of the flames. To explore the impact of finite rate chemistry on flame flicker, especially in sufficiently strong swirling flows, a one-step reaction mechanism is utilized for investigation. By adjusting the external swirling flow conditions (the intensity R and the inlet angle α), six flame modes in distinct dynamical behaviors were computationally identified in both physical and phase spaces. These modes, including the flickering flame, oscillating flame, steady flame, lifted flame, spiral flame, and flame with a vortex bubble, were analyzed from the perspective of vortex dynamics. The numerical investigation provides relatively comprehensive information on these flames. Under the weakly swirling condition, the flames retain flickering (the periodic pinch-off of the flame) and are axisymmetric, while the frequency nonlinearly increases with the swirling intensity. A relatively high swirling intensity can cause the disappearance of the flame pinch-off, as the toroidal vortex sheds around either the tip or the downstream of the flame. The flicker vanishes, but the flame retains axisymmetric in a small amplitude oscillation or a steady stay. A sufficiently high swirling intensity causes a small Damköhler number, leading to the lift-off of the flame (the local extinction occurs at the flame base). Under the same swirling intensity but large swirling angles, the asymmetric modes of the spiral and vortex bubble flames were likely to occur. With R and α increasing, these flames exhibit axisymmetric and asymmetric patterns, and their dynamical behaviors become more complex. To feature the vortical flows in flames, the phase portraits are established based on the velocity information of six positions along the axis of the flame, and the dynamical behaviors of various flames are presented and compared in the phase space. Observing the phase portraits and their differences in distinct modes could help identify the dynamical behaviors of flames and understand complex phenomena. Full article
(This article belongs to the Special Issue Symmetry in Aerospace Sciences and Applications)
Show Figures

Figure 1

23 pages, 15745 KB  
Article
Unified Power Quality Conditioner Using Recent Optimization Technique: A Case Study in Cairo Airport, Egypt
by Sally E. Abdel Mohsen, Ahmed M. Ibrahim, Z. M. Salem Elbarbary and Ahmed I. Omar
Sustainability 2023, 15(4), 3710; https://doi.org/10.3390/su15043710 - 17 Feb 2023
Cited by 17 | Viewed by 3776
Abstract
This article offers a power quality (PQ) strategy to reduce light intensity flickers, voltage enhancements, and harmonics mitigation of the grid current in extensive networks of LED lighting at Cairo airport, Egypt. A transformerless unified power quality conditioner (TL-UPQC) with its controls is [...] Read more.
This article offers a power quality (PQ) strategy to reduce light intensity flickers, voltage enhancements, and harmonics mitigation of the grid current in extensive networks of LED lighting at Cairo airport, Egypt. A transformerless unified power quality conditioner (TL-UPQC) with its controls is presented to address the majority of PQ issues in a network. The TL-UPQC comprises a dynamic voltage restorer (DVR) as a series compensator, which quickly maintains the load voltage when there is a voltage decrease, surge, or flickering in the network and an active power filter (APF) acts as a shunt compensator that reduces harmonic currents and injects reactive currents. The gain values of the PI controller are obtained using an extended bald eagle search (EBES) optimizer. In addition, a comparative study of three optimizers, namely, moth flame (MFO), cuckoo search (CSA), and salp swarm algorithm (SSA), is presented to test the performance of the PI controller and fast dynamic response. The results showed that the APF nearly obtained unity PF and that the harmonics produced as THD by LED light bulbs for current at the grid were abolished that becomes 3.29%. Additionally, the results verified that TL-UPQC could cancel voltage fluctuations at grid problems so that UPQC’s performance is successfully achieved to provide a flicker-free LED lighting network and this appeared clearly when used in LED lighting network at Cairo airport. MATLAB simulation has been employed to confirm the proposed TL-UPQC’s effectiveness. Full article
(This article belongs to the Special Issue Artificial Intelligence Applications in Power and Energy Systems)
Show Figures

Figure 1

22 pages, 6789 KB  
Article
An Early Flame Detection System Based on Image Block Threshold Selection Using Knowledge of Local and Global Feature Analysis
by Ting Wei Hsu, Shreya Pare, Mahendra Singh Meena, Deepak Kumar Jain, Dong Lin Li, Amit Saxena, Mukesh Prasad and Chin Teng Lin
Sustainability 2020, 12(21), 8899; https://doi.org/10.3390/su12218899 - 27 Oct 2020
Cited by 15 | Viewed by 4168
Abstract
Fire is one of the mutable hazards that damage properties and destroy forests. Many researchers are involved in early warning systems, which considerably minimize the consequences of fire damage. However, many existing image-based fire detection systems can perform well in a particular field. [...] Read more.
Fire is one of the mutable hazards that damage properties and destroy forests. Many researchers are involved in early warning systems, which considerably minimize the consequences of fire damage. However, many existing image-based fire detection systems can perform well in a particular field. A general framework is proposed in this paper which works on realistic conditions. This approach filters out image blocks based on thresholds of different temporal and spatial features, starting with dividing the image into blocks and extraction of flames blocks from image foreground and background, and candidates blocks are analyzed to identify local features of color, source immobility, and flame flickering. Each local feature filter resolves different false-positive fire cases. Filtered blocks are further analyzed by global analysis to extract flame texture and flame reflection in surrounding blocks. Sequences of successful detections are buffered by a decision alarm system to reduce errors due to external camera influences. Research algorithms have low computation time. Through a sequence of experiments, the result is consistent with the empirical evidence and shows that the detection rate of the proposed system exceeds previous studies and reduces false alarm rates under various environments. Full article
(This article belongs to the Section Energy Sustainability)
Show Figures

Figure 1

14 pages, 15443 KB  
Article
Experimental Analysis on Flame Flickering of a Swirl Partially Premixed Combustion
by Zhongya Xi, Zhongguang Fu, Syed Waqas Sabir, Xiaotian Hu, Yibo Jiang and Tao Zhang
Energies 2018, 11(9), 2430; https://doi.org/10.3390/en11092430 - 13 Sep 2018
Cited by 2 | Viewed by 4231
Abstract
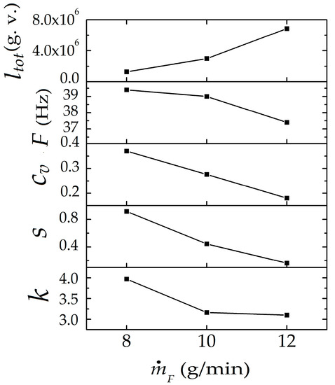
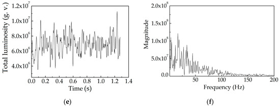
An experiment was conducted to explore the flickering parameters under varying mass flow rate of fuel m ˙ F with spatial analysis and global analysis. The parameters include mean value, flickering weighted average frequency F, flickering coefficient of variation cv (firstly [...] Read more.
An experiment was conducted to explore the flickering parameters under varying mass flow rate of fuel m ˙ F with spatial analysis and global analysis. The parameters include mean value, flickering weighted average frequency F, flickering coefficient of variation cv (firstly introduced), skewness s, and kurtosis k. From the spatial analysis, it was found that the brightest part of flame is located in its core, and the brightness gradually decreased from the inside out. The distributions of high levels of F, cv, s, and k are almost consistent, all lying in the flickering edge, which is a thin layer where the parameters sharply declined. From the global analysis, with the increment of m ˙ F, the global F decreased slightly; the global cv declined uniformly, which means the oscillation amplitude diminished and thus the flame became more stable; the global s linearly reduced; and the global k also showed a decreasing trend. The decreasing global s indicates that the number distribution gradually became symmetric, and the decreasing global k indicates that the number distribution progressively became flat. Consequently, the number distribution progressively tends to normal distribution at larger m ˙ F. Full article
(This article belongs to the Section I: Energy Fundamentals and Conversion)
Show Figures

Figure 1

17 pages, 4045 KB  
Article
An Experimental Investigation on Flame Pulsation for a Swirl Non-Premixed Combustion
by Zhongya Xi, Zhongguang Fu, Xiaotian Hu, Syed Waqas Sabir and Yibo Jiang
Energies 2018, 11(7), 1757; https://doi.org/10.3390/en11071757 - 4 Jul 2018
Cited by 12 | Viewed by 4237
Abstract
Flame pulsation has a significant effect on combustion, and understanding its oscillatory behavior is important to the combustion community. An experiment was performed to analyze the pulsation characteristics of a swirl non-premixed flame under various parameters. The results showed that as fuel mass [...] Read more.
Flame pulsation has a significant effect on combustion, and understanding its oscillatory behavior is important to the combustion community. An experiment was performed to analyze the pulsation characteristics of a swirl non-premixed flame under various parameters. The results showed that as fuel mass flow rate increased, the puffing frequency increased due to the decreased flame radiation fraction, and the puffing amplitude became smaller resulting in a more stable flame. With an increase in combustor pressure, the flickering frequency declined because of the increasing soot radiation, while the flickering amplitude uniformly increased, leading to more deteriorative flame stability. With an increment in mass flow rate of primary air, the puffing frequency decreased due to the enhanced mixing between fuel and primary air. Also, the puffing amplitude had an oscillating relationship with the mass flow rate of primary air. When the exit velocity of the injector was increased, the flickering frequency diminished nearly linearly because of the improving swirl intensity, and the flickering amplitude was approximately unaffected by injector exit velocity. Moreover, the measured puffing frequencies summarized over all cases varied within the range of 3–22 Hz, the predicted values from theoretical models based on non-swirl flame also fell within this range. The puffing frequency of swirl combustion was more sensitive to the variation in operating conditions than that of non-swirl combustion. Additionally, the obtained correlations indicated that the Strouhal number St was proportional to Fr−1.4 (the Froude number) and Re−2.9 (the Reynolds number), respectively. Full article
(This article belongs to the Section I: Energy Fundamentals and Conversion)
Show Figures

Figure 1

14 pages, 5255 KB  
Article
Effects of Acoustic Modulation and Mixed Fuel on Flame Synthesis of Carbon Nanomaterials in an Atmospheric Environment
by Wei-Chieh Hu, Shanti Kartika Sari, Shuhn-Shyurng Hou and Ta-Hui Lin
Materials 2016, 9(11), 939; https://doi.org/10.3390/ma9110939 - 18 Nov 2016
Cited by 8 | Viewed by 5311
Abstract
In this study, methane–ethylene jet diffusion flames modulated by acoustic excitation in an atmospheric environment were used to investigate the effects of acoustic excitation frequency and mixed fuel on nanomaterial formation. Acoustic output power was maintained at a constant value of 10 W, [...] Read more.
In this study, methane–ethylene jet diffusion flames modulated by acoustic excitation in an atmospheric environment were used to investigate the effects of acoustic excitation frequency and mixed fuel on nanomaterial formation. Acoustic output power was maintained at a constant value of 10 W, while the acoustic excitation frequency was varied (f = 0–90 Hz). The results show that the flame could not be stabilized on the port when the ethylene volume concentration (ΩE) was less than 40% at f = 10 Hz, or when ΩE = 0% (i.e., pure methane) at f = 90 Hz. The reason for this is that the flame had a low intensity and was extinguished by the entrained air due to acoustic modulation. Without acoustic excitation (f = 0 Hz), the flame was comprised of a single-layer structure for all values of ΩE, and almost no carbon nanomaterials were synthesized. However, with acoustic excitation, a double-layer flame structure was generated for frequencies close to both the natural flickering frequency and the acoustically resonant frequency. This double-layer flame structure provided a favorable flame environment for the fabrication of carbon nanomaterials. Consequently, the synthesis of carbon nano-onions was significantly enhanced by acoustic excitation near both the natural flickering frequency and the acoustically resonant frequency. At f = 20 Hz (near the natural flickering frequency) for 0% ≤ ΩE ≤ 100%, a quantity of carbon nano-onions (CNOs) piled like bunches of grapes was obtained as a result of improved mixing of the fuel with ambient air. High-density CNOs were also produced at f = 70 Hz (close to the acoustically resonant frequency) for 40% ≤ ΩE ≤ 100%. Furthermore, carbon nanotubes (CNTs) were synthesized only at 80 Hz for ΩE = 0%. The suitable temperature range for the synthesis of CNTs was slightly higher than that for the formation of CNOs (about 600 °C for CNTs; 510–600 °C for CNOs). Full article
(This article belongs to the Special Issue Selected Papers from ICASI 2016)
Show Figures

Figure 1

12 pages, 2521 KB  
Article
Enhanced Synthesis of Carbon Nanomaterials Using Acoustically Excited Methane Diffusion Flames
by Shuhn-Shyurng Hou, Kuan-Ming Chen, Zong-Yun Yang and Ta-Hui Lin
Materials 2015, 8(8), 4805-4816; https://doi.org/10.3390/ma8084805 - 29 Jul 2015
Cited by 10 | Viewed by 4906
Abstract
Acoustically modulated methane jet diffusion flames were used to enhance carbon nanostructure synthesis. A catalytic nickel substrate was employed to collect the deposit materials at sampling position z = 10 mm above the burner exit. The fabrication of carbon nano-onions (CNOs) and carbon [...] Read more.
Acoustically modulated methane jet diffusion flames were used to enhance carbon nanostructure synthesis. A catalytic nickel substrate was employed to collect the deposit materials at sampling position z = 10 mm above the burner exit. The fabrication of carbon nano-onions (CNOs) and carbon nanotubes (CNTs) was significantly enhanced by acoustic excitation at frequencies near the natural flickering frequency (ƒ = 20 Hz) and near the acoustically resonant frequency (ƒ = 90 Hz), respectively. At these characteristic frequencies, flow mixing was markedly enhanced by acoustic excitation, and a flame structure with a bright slender core flame was generated, which provided a favorable flame environment for the growth of carbon nanomaterials. The production rate of CNOs was high at 20 Hz (near the natural flickering frequency), at which the gas temperature was about 680 °C. Additionally, a quantity of CNTs was obtained at 70–95 Hz, near the acoustically resonant frequency, at which the gas temperature was between 665 and 830 °C. However, no carbon nanomaterials were synthesized at other frequencies. The enhanced synthesis of CNOs and CNTs is attributed to the strong mixing of the fuel and oxidizer due to the acoustic excitation at resonant frequencies. Full article
(This article belongs to the Special Issue Selected Papers from ICASI 2015)
Show Figures

Figure 1

Back to TopTop