Sign in to use this feature.

Years

Between: -

Subjects

remove_circle_outline
remove_circle_outline
remove_circle_outline
remove_circle_outline
remove_circle_outline
remove_circle_outline
remove_circle_outline
remove_circle_outline
remove_circle_outline

Journals

remove_circle_outline
remove_circle_outline
remove_circle_outline
remove_circle_outline
remove_circle_outline
remove_circle_outline
remove_circle_outline
remove_circle_outline

Article Types

Countries / Regions

remove_circle_outline
remove_circle_outline
remove_circle_outline
remove_circle_outline
remove_circle_outline

Search Results (1,082)

Search Parameters:
Keywords = finite difference time domain

Order results
Result details
Results per page
Select all
Export citation of selected articles as:
23 pages, 4099 KB  
Article
Composite Control Strategy for PMSM Based on Non-Singular Terminal Sliding Mode Control and Angle-Domain Iterative Learning
by Longbao Liu, Gang Li, Benjian Ruan and Yongqiang Fan
Appl. Sci. 2026, 16(8), 3920; https://doi.org/10.3390/app16083920 - 17 Apr 2026
Abstract
To mitigate low-speed speed oscillations in permanent magnet synchronous motors (PMSMs) arising from the combined effects of rotor-position-related periodic disturbances and external perturbations, this paper develops a composite robust speed regulation scheme that integrates non-singular terminal sliding mode control (NTSMC) with angle-domain iterative [...] Read more.
To mitigate low-speed speed oscillations in permanent magnet synchronous motors (PMSMs) arising from the combined effects of rotor-position-related periodic disturbances and external perturbations, this paper develops a composite robust speed regulation scheme that integrates non-singular terminal sliding mode control (NTSMC) with angle-domain iterative learning control (ILC). First, a non-singular terminal sliding mode speed controller is established to remove the singularity inherent in conventional terminal sliding mode formulations while preserving finite-time error convergence. To further improve robustness and reduce chattering, an enhanced generalized super-twisting reaching law incorporating a continuous saturation function is introduced. Second, to compensate for periodic disturbances associated with rotor position, an angle-domain ILC law is constructed to iteratively learn the periodic speed-tracking error, thereby suppressing low-speed speed ripple. Meanwhile, an extended state observer (ESO) is incorporated to estimate aperiodic disturbances online, enabling coordinated rejection of disturbances with different temporal characteristics. Experimental results demonstrate that the proposed composite strategy effectively weakens the dominant harmonic components in speed fluctuation and enhances low-speed operational smoothness, confirming the effectiveness of the developed method. Full article
(This article belongs to the Section Electrical, Electronics and Communications Engineering)
29 pages, 1146 KB  
Article
Coupled Electro-Thermal Modeling of the Temperature Field in an Aluminum Reduction Cell Using the Finite Difference Method
by I. M. Novozhilov, A. N. Ilyushina and K. V. Martirosyan
Processes 2026, 14(8), 1284; https://doi.org/10.3390/pr14081284 - 17 Apr 2026
Abstract
The energy-intensive nature of primary aluminum production necessitates advanced computational tools for process optimization. This study presents a coupled electro-thermal model of an aluminum reduction cell, developed within the framework of smart manufacturing. Using the finite difference method (FDM) implemented in MATLAB R2025b, [...] Read more.
The energy-intensive nature of primary aluminum production necessitates advanced computational tools for process optimization. This study presents a coupled electro-thermal model of an aluminum reduction cell, developed within the framework of smart manufacturing. Using the finite difference method (FDM) implemented in MATLAB R2025b, the model resolves the three-dimensional configuration of a cell with eight prebaked anodes across four distinct physical domains (electrolyte, anodes, cathode, and gas phase). The computational grid comprises approximately 45,000 nodes with refined vertical resolution (Δz = 0.025 m) in the interelectrode gap. The electrostatic solution converges within 150–200 iterations using successive over-relaxation (SOR, ω = 1.5), with a total runtime under 15 min for 30,000 s of simulated physical time on a standard desktop workstation. Simulation results reveal characteristic temperature profiles with maxima reaching 1150 °C and a thermal uniformity index of approximately 130 °C across the central cross-section. The predicted specific energy consumption of 14.0 MWh/t Al aligns with industrial benchmarks. This computationally accessible virtual testbed enables rapid assessment of design modifications and process parameters, supporting the goals of energy efficiency and enhanced operational stability in primary aluminum production. Full article
(This article belongs to the Topic Digital Manufacturing Technology)
16 pages, 1766 KB  
Article
Numerical Simulation of Elastic Waves in VTI Media Using a 17-Point Finite Difference Scheme
by Xiaopeng Yue, Chongwang Yue and Yayun Fu
Processes 2026, 14(8), 1283; https://doi.org/10.3390/pr14081283 - 17 Apr 2026
Abstract
To optimize the stiffness matrix structure for frequency-domain elastic wave forward modeling in 2D VTI (transversely isotropic with a vertical symmetry axis) media—thereby reducing memory consumption and improving computational efficiency—we simplify the conventional 25-point finite-difference scheme to derive a 17-point frequency-domain finite-difference scheme. [...] Read more.
To optimize the stiffness matrix structure for frequency-domain elastic wave forward modeling in 2D VTI (transversely isotropic with a vertical symmetry axis) media—thereby reducing memory consumption and improving computational efficiency—we simplify the conventional 25-point finite-difference scheme to derive a 17-point frequency-domain finite-difference scheme. This approach reformulates the finite-difference operators for the partial derivatives and acceleration terms in the elastic wave equations, reducing the number of grid points involved in the computation by 30% compared to the 25-point scheme. The optimized matrix construction leverages sparse matrix storage techniques, decreasing memory usage by approximately 27%. Numerical validation, conducted using a double-layer VTI medium model and the Marmousi model with three major faults and an anticline containing limestone layers at the base of the faults, demonstrates that the 17-point finite-difference scheme maintains comparable accuracy while requiring 14% less computation time and featuring a 25% reduction in nonzero elements within the impedance matrix. Comparisons of wavefield snapshots and receiver components (horizontal component U and vertical component V) support this conclusion. These improvements enable the use of more efficient iterative solvers. Full article
9 pages, 1265 KB  
Communication
Deep Learning-Assisted Design of All-Dielectric Micropillar Quantum Well Infrared Photodetectors
by Pengzhe Xia, Rui Xin, Tianxin Li and Wei Lu
Photonics 2026, 13(4), 381; https://doi.org/10.3390/photonics13040381 - 16 Apr 2026
Viewed by 35
Abstract
The integration of micro-nano optical structures has become an essential strategy for overcoming the performance bottlenecks of quantum well infrared photodetectors (QWIPs), specifically by addressing the inherent inability of planar devices to couple with normally incident light due to intersubband transition selection rules. [...] Read more.
The integration of micro-nano optical structures has become an essential strategy for overcoming the performance bottlenecks of quantum well infrared photodetectors (QWIPs), specifically by addressing the inherent inability of planar devices to couple with normally incident light due to intersubband transition selection rules. A critical factor in this integration is the precise spectral overlap between an optical mode and the material’s excitation mode. Therefore, achieving precise spectral engineering is indispensable. However, conventional electromagnetic simulations act as forward solvers, calculating optical responses based on given geometric parameters. They cannot directly perform inverse design, which involves deriving optimal geometric parameters directly from a desired optical response. Consequently, structural optimization is severely constrained by time-consuming trial-and-error iterations, which often struggle to find the global optimum in a complex design space. To overcome these limitations, this paper presents a comprehensive theoretical and numerical study proposing a deep learning framework for QWIPs coupled with all-dielectric micropillar structures. By establishing a structure-absorption spectrum dataset via finite difference time domain (FDTD) simulations, we developed a dual-network setup. For the forward prediction, a multilayer perceptron (MLP) maps geometric parameters (side length a and period p) to the absorption spectrum, achieving a computational speedup of seven orders of magnitude over traditional numerical simulations. Concurrently, a convolutional neural network (CNN) is employed for the inverse design, realizing on-demand design of geometric parameters based on target spectra with high reconstruction accuracy. Furthermore, the selected all-dielectric micropillar structures are highly compatible with mainstream semiconductor fabrication processes. This research provides an efficient, automated toolkit for the development of high-performance infrared photodetectors. Full article
Show Figures

Figure 1

20 pages, 23906 KB  
Article
Improved Depth Imaging of the Chicxulub Impact Crater by GPU-Accelerated Adjoint Reverse Time Migration
by Jesús Antonio Herrera-Pérez, Jose Carlos Ortíz-Alemán, Sebastián López-Juárez, Jhonatan Fernando Eulopa-Hernandez, Carlos Couder-Castañeda, Isaac Medina-Sanchez, Jairo Olguin-Roque and Diego Alfredo Padilla-Pérez
Symmetry 2026, 18(4), 658; https://doi.org/10.3390/sym18040658 - 15 Apr 2026
Viewed by 144
Abstract
Reverse time migration (RTM) exploits time-reversal symmetry and adjoint duality to focus wavefields and reconstruct subsurface reflectivity, but large surveys remain limited by the cost of forward and backward propagation. We present a Graphics Processing Unit (GPU)-accelerated adjoint RTM workflow for depth imaging [...] Read more.
Reverse time migration (RTM) exploits time-reversal symmetry and adjoint duality to focus wavefields and reconstruct subsurface reflectivity, but large surveys remain limited by the cost of forward and backward propagation. We present a Graphics Processing Unit (GPU)-accelerated adjoint RTM workflow for depth imaging of the Chicxulub impact structure using the marine A0/A1 composite profile (1996). The processed stacked section contains 14,172 traces with 6.25 m Common Depth Point (CDP) spacing, 1 ms sampling, and 18 s record length. Forward and adjoint wavefields are computed with a staggered-grid finite-difference scheme (fourth order in space, second in time) and Convolutional Perfectly Matched Layers (CPMLs), which provide stable finite-domain simulations while introducing controlled symmetry breaking through absorption. The solver is verified with the Lamb half-space analytical benchmark and applied through five interpretation-guided velocity/density updates. The final depth image improves reflector continuity and interpretability of crater-scale elements, including post-impact sedimentary fill, melt and breccia units, terrace fault blocks, and deep uplift-related structure. Compute Unified Device Architecture (CUDA) acceleration reduces runtime from ∼32.36 h on a CPU baseline to ∼34.10 min on an RTX 3070 (≈56.9×), enabling practical, reproducible iterative RTM on accessible hardware. Full article
(This article belongs to the Special Issue Symmetry/Asymmetry in Numerical Analysis and Scientific Computing)
Show Figures

Figure 1

17 pages, 6835 KB  
Article
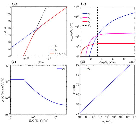
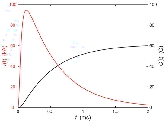
Effect of Mountain Terrain near Lightning Channels on Electric Fields at Sprite Halos Initiation Region
by Xin Wang, Jinbo Zhang, Jinxin Wu, Yan Tao, Jiawei Niu, Zhibin Xie and Qilin Zhang
Atmosphere 2026, 17(4), 397; https://doi.org/10.3390/atmos17040397 - 15 Apr 2026
Viewed by 177
Abstract
The electric fields generated by lightning discharges propagate upward and couple with the lower ionosphere, triggering various mesospheric optical emissions. The potential role of local terrain in modulating the lightning-generated electric fields in the lower ionosphere remains poorly understood. To investigate the effect [...] Read more.
The electric fields generated by lightning discharges propagate upward and couple with the lower ionosphere, triggering various mesospheric optical emissions. The potential role of local terrain in modulating the lightning-generated electric fields in the lower ionosphere remains poorly understood. To investigate the effect of mountain terrain on the lightning-generated electric fields at high altitudes (70–85 km), a two-dimensional (2D) finite-difference time-domain (FDTD) simulation model was developed. The simplified mountain is parameterized by its height, width, and horizontal distance from the lightning channel. Simulation results show that mountain terrain significantly influences the lightning-driven electric field waveforms in the initiation region of sprite halos. Increased mountain height leads to greater attenuation of the high-altitude electric field amplitudes, thereby suppressing sprite halos initiation. The shielding effect of mountain width on the electric fields is less pronounced than that of mountain height, and it stabilizes when the width exceeds 40 km. When the horizontal distance between the mountain and lightning channel is less than 40 km, the electric field attenuation increases significantly with decreasing distance. The attenuation effect gradually weakens beyond a distance of 40 km, yet the electric field waveforms exhibit considerable fluctuations due to the reflection process. Full article
(This article belongs to the Section Meteorology)
Show Figures

Figure 1

13 pages, 2104 KB  
Article
Design and Optimization of a Broadband Polarization-Insensitive 90° Optical Hybrid in Double-Strip Silicon Nitride Waveguides
by Rui Meng, Yan Fan, Sitong Liu, Haoran Wang, Ziyang Xiong, Hao Deng, Liu Li, Junpeng Lu, Zhenhua Ni and Tong Lin
Photonics 2026, 13(4), 364; https://doi.org/10.3390/photonics13040364 - 10 Apr 2026
Viewed by 312
Abstract
Coherent optical communication serves as the backbone of long-haul, high-capacity optical networks, where polarization-insensitive 90° optical hybrids (OHs) are crucial for system simplification and robustness. This work presents a polarization-insensitive 90° OH based on asymmetric double-strip silicon nitride waveguides, designed for dual-polarization quadrature [...] Read more.
Coherent optical communication serves as the backbone of long-haul, high-capacity optical networks, where polarization-insensitive 90° optical hybrids (OHs) are crucial for system simplification and robustness. This work presents a polarization-insensitive 90° OH based on asymmetric double-strip silicon nitride waveguides, designed for dual-polarization quadrature phase-shift keying (DP-QPSK) systems. The device consists of a cascaded polarization-insensitive structure incorporating one 1 × 2 and three 2 × 2 multimode interference (MMI) couplers, interconnected by four 90° bent waveguides. Optimized via 3D finite-difference time-domain (FDTD) simulations, the 1 × 2 MMI coupler exhibits insertion losses below 0.06 dB (TE) and 0.09 dB (TM), while each 2 × 2 MMI coupler shows insertion losses under 0.2/0.4 dB, amplitude imbalance below 0.05/0.18 dB, and phase error within ±0.5°/±1.5° for the TE/TM modes, respectively. Based on these components, the full device achieves polarization-insensitive operation across a 100 nm bandwidth (1500–1600 nm), with a phase error within ±1°, insertion loss below 0.3 dB (TE) and 0.5 dB (TM), and common-mode rejection ratio better than −40 dB (TE) and −30 dB (TM). Furthermore, the design demonstrates high fabrication tolerance, maintaining performance under manufacturing deviations of ±2 μm in MMI length and ±20 nm in waveguide spacing. This work provides a promising polarization-insensitive OH design and a viable route toward cost-effective mass production of next-generation high-speed coherent systems. Full article
Show Figures

Figure 1

11 pages, 817 KB  
Article
Retrieval of Sunrise C-Region Electron Density Using Mid-Range VLF Amplitude and FDTD-Based Optimization
by Taira Shirasaki, Yuki Itabashi and Yoshiaki Ando
Atmosphere 2026, 17(4), 350; https://doi.org/10.3390/atmos17040350 - 31 Mar 2026
Viewed by 248
Abstract
This study presents a method to retrieve the electron density structure of the transient C-region using very-low-frequency (VLF) Earth–ionosphere waveguide propagation. Here, we demonstrate the identification of the C-region from amplitude variations of a mid-range VLF propagation path that is nearly perpendicular to [...] Read more.
This study presents a method to retrieve the electron density structure of the transient C-region using very-low-frequency (VLF) Earth–ionosphere waveguide propagation. Here, we demonstrate the identification of the C-region from amplitude variations of a mid-range VLF propagation path that is nearly perpendicular to the solar terminator. Previous investigations have primarily relied on phase measurements along long-distance paths with small terminator angles, whereas the present approach utilizes amplitude information under conditions where modal interference is significant. The Faraday International Reference Ionosphere (FIRI-2018) provides an effective semi-empirical model of the lower-ionospheric electron density; however, discrepancies between simulations and observations are often observed at sunrise. To resolve this issue, we introduce Gaussian perturbations to the electron density profile output by FIRI-2018 and optimize their parameters so that finite-difference time-domain (FDTD) simulations reproduce the observed VLF amplitude. The analysis is performed for the 22.2 kHz JJI transmitter signal received in Chofu, Japan over a mid-range propagation path, ∼900 km. The optimized electron density profile successfully reproduces the characteristic features of the C-region, including a temporary enhancement near 65 km altitude during sunrise. These results demonstrate that mid-range VLF amplitude analysis provides a quantitative tool for identifying transient lower- ionospheric structures. Full article
Show Figures

Figure 1

14 pages, 1230 KB  
Proceeding Paper
Validation of Coupled Acoustic–Structural Approach for Predicting Natural Sloshing Frequencies in Tanks with Rigid and Flexible Internal Structures
by Cristiano Biagioli, Francesco Serraino, Valerio Gioachino Belardi and Francesco Vivio
Eng. Proc. 2026, 131(1), 12; https://doi.org/10.3390/engproc2026131012 - 30 Mar 2026
Viewed by 212
Abstract
In the field of study of fluid–structure interaction (FSI), sloshing dynamics play a crucial role in various engineering applications, from aerospace to civil infrastructure. Finite Volume (FV)-based Computational Fluid Dynamics (CFD) methods for modeling free surface flows like sloshing are computationally expensive, particularly [...] Read more.
In the field of study of fluid–structure interaction (FSI), sloshing dynamics play a crucial role in various engineering applications, from aerospace to civil infrastructure. Finite Volume (FV)-based Computational Fluid Dynamics (CFD) methods for modeling free surface flows like sloshing are computationally expensive, particularly because high-resolution dynamic transient simulations are required. Moreover, FSI effects are usually considered by coupling different solvers for the fluid and the structural domain, respectively, thus adding to the computational burden due to the various steps of data transfer, interpolation, and mesh adaptation needed to obtain accurate results. On the other hand, reduced-order models of sloshing effects are usually obtained by tuning equivalent mechanical models, which often neglect more complex geometries and imperfections. To address this challenge, the use of acoustic finite elements, as an alternative approach for modeling free surface flows interacting with flexible structures, has been proposed previously. Such elements are defined with the sole dynamic pressure as the nodal degree of freedom; therefore, such methods can significantly accelerate simulations to predict sloshing-induced forces and pressure distribution, taking into account the actual geometry of the structure. Due to the reduced computational time, FSI analysis with acoustic elements can serve as a viable tool for control systems and design optimization. Potential applications of this approach include structural analysis of anti-sloshing devices in rocket propellant tanks, control systems for enhanced launch stability, and seismic safety assessment of liquid storage tanks, as well as slosh-induced wall load evaluation in the fuel and water reservoir, transportation, and energy systems. Validation of FSI effects is conducted against results from partitioned two-way coupled fluid–structural simulations. The simplified frequency-prediction model was reliable for practical flexibility ranges. Overall, this work deepens our understanding of how baffle characteristics influence slosh mitigation, offering valuable guidance for anti-sloshing device engineering. Full article
Show Figures

Figure 1

14 pages, 2450 KB  
Article
Metal Atoms Adsorbed on AlN Monolayer: Potential Application in Photodetectors
by Zhao Shao and Fengjiao Cheng
Inorganics 2026, 14(4), 99; https://doi.org/10.3390/inorganics14040099 - 30 Mar 2026
Viewed by 322
Abstract
Two-dimensional materials have broad application prospects in the field of optoelectronic devices. As a next-generation power electronic device, AlN materials have obvious advantages in power processing, and their monolayer structure has excellent optoelectronic properties, which is of great significance for the study of [...] Read more.
Two-dimensional materials have broad application prospects in the field of optoelectronic devices. As a next-generation power electronic device, AlN materials have obvious advantages in power processing, and their monolayer structure has excellent optoelectronic properties, which is of great significance for the study of 2D AlN monolayers. Properties such as electronic and optical properties of metal-adsorbed AlN (M-AlN) systems have been systematically investigated using density functional theory from first principles. The results of the energy bands of the M-AlN system indicate that the adsorption of Al, Li, Ag, Au, Bi, Cr, Mn, Na, Pb, Sn, Ti, and K metals makes the monolayer AlN magnetic, the incorporation of two metals, Al and Li, is the transition of the monolayer AlN from a semiconductor to a semi-metal, and the introduction of K metal makes the monolayer AlN transition from a semiconductor to a metal. The work function of the M-AlN system shows that the introduction of the metal reduces the work function of the monolayer AlN, especially for K-AlN, which is reduced by 56.12% compared to the monolayer AlN. In addition, the results of the optical absorption spectra of the M-AlN system revealed that the introduction of the metals made the monolayer AlN exhibit high absorption peaks in the visible and near-infrared regions; in particular, the intensity of the absorption peaks of the Ti-AlN system at 557.8 nm reached 7.4 × 104 cm−1 and the intensity of the absorption peaks of the K-AlN system at 1109.3 nm reached 1.01 × 105 cm−1. This indicates that the introduction of Ti and K metal atoms enhances the absorption properties of monolayer AlN in the visible and near-infrared regions. Finally, the time-domain finite difference using spherical metal nanoparticles is used to excite the localized surface plasmon resonance, and the results show a small area of strong electric field around the electric field hotspot of Cr and Li particles, and a good concentration of the electric field strength in the x and y directions. In summary, the system of metal atoms adsorbed on AlN will be favorable for the design of spintronics, field-emitting devices and solar photovoltaic devices. Full article
Show Figures

Figure 1

11 pages, 2728 KB  
Article
Broadband Antireflective Microstructures on Diamond Fabricated by Femtosecond Laser and Selective Wet Etching
by Linbo He, Jing Cao, Wenhai Gao, Yang Liao, Yan Xue, Cong Chen, Ke Liu, Xupeng Yuan, Jijun Feng, Huiyu Chen and Yuxin Leng
Optics 2026, 7(2), 24; https://doi.org/10.3390/opt7020024 - 27 Mar 2026
Viewed by 415
Abstract
Diamond antireflection techniques are of high interest for optical windows operating at extreme conditions. Herein, diamond antireflective microstructures in mid-infrared (MIR) spectral range were theoretically designed and experimentally fabricated. Finite difference time domain (FDTD) simulations were used to optimize the transmission performance of [...] Read more.
Diamond antireflection techniques are of high interest for optical windows operating at extreme conditions. Herein, diamond antireflective microstructures in mid-infrared (MIR) spectral range were theoretically designed and experimentally fabricated. Finite difference time domain (FDTD) simulations were used to optimize the transmission performance of the diamond microstructures. Based on the simulation results, the optimized microstructures were fabricated by femtosecond (fs) laser direct writing (1030 nm, 300 fs, 25 kHz) followed by wet etching. After wet etching, the laser-modified zones and the accumulated graphitized clusters were effectively removed, thereby achieving the desired depth. The influences of laser power and scanning strategy on the morphology evolution of diamond microstructures were investigated. It was found that at the optimal conditions, the transmittance of the diamond increased from 70.9% to 81.4% (single-side) over a broad spectrum from 8 to 22 μm. This work demonstrates a promising hybrid fs laser/wet etching technique for diamond antireflective microstructures in MIR spectral range. Full article
(This article belongs to the Section Laser Sciences and Technology)
Show Figures

Graphical abstract

33 pages, 5405 KB  
Article
Design and Implementation of Finite-Time Convergent Adaptive ADRC for the Resilient Control of Power Converters
by Ghulam Shabbir, Ali Hasan, Muhammad Yaqoob Javed, Aamer Bilal Asghar and Thomas Mussenbrock
Energies 2026, 19(7), 1653; https://doi.org/10.3390/en19071653 - 27 Mar 2026
Viewed by 378
Abstract
The dynamics of power converters are highly influenced by uncertainties, nonlinearities, and external disturbances. Thus, high-performance, extremely resilient, and robust control strategies are necessary for their control. For the robust operation of power converters, this article presents an adaptive and finite-time convergent active [...] Read more.
The dynamics of power converters are highly influenced by uncertainties, nonlinearities, and external disturbances. Thus, high-performance, extremely resilient, and robust control strategies are necessary for their control. For the robust operation of power converters, this article presents an adaptive and finite-time convergent active disturbance rejection control (ADRC) framework inspired by Professor Han’s seminal paper. Based on ADRC’s philosophy, this article proposes a control scheme that integrates adaptiveness and finite-time convergence in both the extended state observer and the control law. The proposed framework ensures quick disturbance estimation and its rejection, thus ensuring that the required response is tracked successfully. The controllers for different power converters, such as buck converters, boost converters, and single-phase inverters, are designed to ensure the desired dynamics, including low settling times and zero-percent overshoots. The controllers are implemented in the discrete-time domain using forward differences. Simscape simulation experiments on buck converters, boost converters, and single-phase inverters demonstrate that the responses are achieved with finite settling time with no overshoots. Thus, such control strategies are highly crucial for mission-critical power applications. Full article
(This article belongs to the Section F1: Electrical Power System)
Show Figures

Figure 1

49 pages, 8802 KB  
Article
An Efficient Solver for Fractional Diffusion on Unbounded Combs with Exact Absorbing Boundary Conditions
by Jingyi Mo, Guitian He, Yan Tian and Hui Cheng
Fractal Fract. 2026, 10(3), 208; https://doi.org/10.3390/fractalfract10030208 - 23 Mar 2026
Viewed by 263
Abstract
Despite its importance in modeling subdiffusion in fractal and heterogeneous media, a rigorous and computational scheme for solving the fractional diffusion equation on generalized comb structures over unbounded domains has remained elusive, mainly due to the nonlocal memory effect and slow spatial decay [...] Read more.
Despite its importance in modeling subdiffusion in fractal and heterogeneous media, a rigorous and computational scheme for solving the fractional diffusion equation on generalized comb structures over unbounded domains has remained elusive, mainly due to the nonlocal memory effect and slow spatial decay of solutions. To the best of our knowledge, we address this long-standing gap by presenting a fully integrated framework that simultaneously resolves both challenges. We derive the governing equation from constitutive relations and establish exact absorbing boundary conditions (ABCs) for the multi-skeleton comb model, a result absent in prior work. A transparent Dirichlet-to-Neumann (DtN) map, constructed via Laplace analysis, rigorously handles skeletal Dirac delta singularities and eliminates spurious reflections without empirical parameters. Furthermore, we propose a novel structure-preserving finite difference scheme that applies the sum-of-exponentials (SOE) approximation not only to the interior Caputo derivative but also to the convolution kernels arising from the ABCs. This yields a dramatic reduction in computational complexity, from quadratic O(Nt2) to quasi-linear O(NtlogNt), while preserving the physics of anomalous transport. We prove the well-posedness, unconditional stability, and convergence of the method. Numerical results confirm theoretical error estimates and show excellent agreement between simulated particle distributions, mean square displacement profiles, and exact asymptotics, validating both accuracy and robustness. The speedup (CPU time ratio Direct/Fast) is about 1.00×1.23× for Nt=5000 in our tests. Our approach sets a new benchmark for simulating anomalous dynamics in fractal-inspired media. Full article
(This article belongs to the Section Numerical and Computational Methods)
Show Figures

Figure 1

19 pages, 5524 KB  
Article
Design, Simulation, and Analysis of Novel Cross-Coupling-Based Self-Coupled Optical Waveguide (CC-SCOW) Circuit Under the Coupled Resonator-Induced Transparency (CRIT) Condition
by Charmaine Paglinawan, Benjamin Dingel, Arnold Paglinawan and Ramon Benedict Lapiña
Photonics 2026, 13(3), 295; https://doi.org/10.3390/photonics13030295 - 19 Mar 2026
Viewed by 320
Abstract
We introduce a novel cross-coupled self-coupled optical waveguide (CC-SCOW) architecture that leverages coupled-resonator-induced transparency (CRIT) via a cross-coupling mechanism. This design addresses key limitations of conventional self-coupled optical waveguides (SCOWs), particularly their restricted spectral tunability and fixed interference characteristics arising from direct coupling. [...] Read more.
We introduce a novel cross-coupled self-coupled optical waveguide (CC-SCOW) architecture that leverages coupled-resonator-induced transparency (CRIT) via a cross-coupling mechanism. This design addresses key limitations of conventional self-coupled optical waveguides (SCOWs), particularly their restricted spectral tunability and fixed interference characteristics arising from direct coupling. For the first time, we demonstrate and analyze the CRIT behavior of the CC-SCOW structure, showing that it offers enhanced design flexibility, compactness, and improved spectral performance. Through analytical modeling and finite-difference time-domain (FDTD) simulations, we show that CC-SCOWs enable tunable, narrowband filtering with improved free spectral range (FSR) and phase response. These features make the CC-SCOW architecture highly suitable for advanced photonic integrated circuits requiring high selectivity, tunability, and miniaturization. Full article
(This article belongs to the Special Issue Optical Sensors and Devices)
Show Figures

Figure 1

13 pages, 2292 KB  
Article
Investigation on Wavelength-Dependent Light Extraction Efficiency of InGaN-Based Micro-LED Structures Using Numerical Simulations
by Chibuzo Onwukaeme and Han-Youl Ryu
Photonics 2026, 13(3), 289; https://doi.org/10.3390/photonics13030289 - 17 Mar 2026
Viewed by 394
Abstract
The external quantum efficiency (EQE) of InGaN-based LEDs typically decreases as wavelength shifts from blue to green to red. While this trend has often been attributed to the internal quantum efficiency of InGaN quantum wells (QWs), the influence of light extraction efficiency (LEE) [...] Read more.
The external quantum efficiency (EQE) of InGaN-based LEDs typically decreases as wavelength shifts from blue to green to red. While this trend has often been attributed to the internal quantum efficiency of InGaN quantum wells (QWs), the influence of light extraction efficiency (LEE) on the wavelength-dependent EQE has received less attention. In this study, we numerically investigated the LEE of blue, green, and red InGaN micro-LED structures using finite-difference time-domain simulations, including the dispersion of composite materials. We first optimized the distance between the QW and the Ag reflector for each color, then evaluated the total LEE and the LEE within a 20° collection angle as the micro-LED structure diameter varied. For diameters ranging from 2 to 6 μm, green and red micro-LEDs exhibited average LEE values that were over 10% and 20% higher than those of blue micro-LEDs, respectively. This is attributed to the decreasing refractive index of GaN and increasing reflectance of the Ag reflector as the wavelength increases. Such substantial variations in LEE among blue, green, and red InGaN micro-LEDs highlight the importance of considering wavelength-dependent LEE when interpreting measured EQE results. Full article
(This article belongs to the Special Issue Light Emitting Devices: Science and Applications)
Show Figures

Figure 1

Back to TopTop