Sign in to use this feature.

Years

Between: -

Subjects

remove_circle_outline
remove_circle_outline
remove_circle_outline
remove_circle_outline
remove_circle_outline
remove_circle_outline
remove_circle_outline
remove_circle_outline
remove_circle_outline

Journals

Article Types

Countries / Regions

remove_circle_outline
remove_circle_outline
remove_circle_outline
remove_circle_outline
remove_circle_outline

Search Results (156)

Search Parameters:
Keywords = factorial invariance

Order results
Result details
Results per page
Select all
Export citation of selected articles as:
14 pages, 1241 KB  
Article
Intermittency Analysis in Heavy-Ion Collisions: A Model Study at RHIC Energies
by Jin Wu, Zhiming Li and Shaowei Lan
Symmetry 2026, 18(1), 138; https://doi.org/10.3390/sym18010138 - 9 Jan 2026
Viewed by 89
Abstract
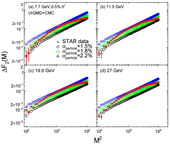
Large density fluctuations near the QCD critical point can be probed via intermittency analysis, which involves measuring scaled factorial moments (SFMs) of multiplicity distributions in relativistic heavy-ion collisions. Intermittency reflects the emergence of scale invariance and self-similar structures, which are closely related to [...] Read more.
Large density fluctuations near the QCD critical point can be probed via intermittency analysis, which involves measuring scaled factorial moments (SFMs) of multiplicity distributions in relativistic heavy-ion collisions. Intermittency reflects the emergence of scale invariance and self-similar structures, which are closely related to symmetry principles and their breaking near a second-order phase transition. We present a systematic model study of intermittency for charged hadrons in Au+Au collisions at sNN = 7.7, 11.5, 19.6, 27, 39, 62.4, and 200 GeV. Using the cascade UrQMD model, we demonstrate that non-critical background effects can produce sizable SFMs and a large scaling exponent if they are not properly removed using the mixed-event subtraction method. To estimate the possible critical intermittency signal in experimental data, we employ a hybrid UrQMD+CMC model, in which fractal critical fluctuations are embedded into the UrQMD background. A direct comparison of the second-order SFM between the model and STAR experimental data suggests that a critical intermittency signal on the order of approximately 1.8% could be present in the most central Au+Au collisions at RHIC energies. This study provides practical guidance for evaluating background contributions in intermittency measurements and offers a quantitative estimate for the critical signal fraction present in the STAR data. Full article
(This article belongs to the Section Physics)
Show Figures

Figure 1

15 pages, 610 KB  
Article
The Cross-Cultural Adaptation, Validation and Psychometric Properties of the Mental Fatigue Scale in Turkish Athletes
by Yusuf Soylu, Leonardo de Sousa Fortes, Ersan Arslan, Haitham Jahrami, Bulent Kilit, Khaled Trabelsi, Achraf Ammar and Jesús Díaz-García
Brain Sci. 2026, 16(1), 74; https://doi.org/10.3390/brainsci16010074 - 6 Jan 2026
Viewed by 257
Abstract
Background/Objective: This study aimed to adapt the Mental Fatigue Scale (MFs) to evaluate the psychometric properties in adult and adolescent athletes. Methods: A total of 491 adolescent and adult athletes (n = 491) consisting of 204 adults (men = 115; female [...] Read more.
Background/Objective: This study aimed to adapt the Mental Fatigue Scale (MFs) to evaluate the psychometric properties in adult and adolescent athletes. Methods: A total of 491 adolescent and adult athletes (n = 491) consisting of 204 adults (men = 115; female = 90; age = 24.38 ± 3.18 year) and 287 adolescents (men = 178; female = 109; age = 14.97 ± 1.55 year) who actively participated in various sports branches voluntarily participated in this study. The MFs consists of fifteen (15) items and a single-factor structure and is a measurement tool used to measure the general mental fatigue level of athletes. Two experts used a four-point Likert scale to assess the content validity of each of the fifteen MFs items, which were aligned with the provided definition of mental fatigue in a sports context. Drawing on these findings, a confirmatory factor analysis was conducted on the survey data collected to assess the construct validity of this measure. Results: The outcomes of the confirmatory factor analysis provided acceptable support for factorial validity (χ2/sd = 1.52; p < 0.01, SRMR = 0.05, RMSEA = 0.08, GFI = 0.94, CFI = 0.89, NNFI = 0.87). Additionally, multi-group confirmatory factor analysis supported measurement invariance, indicating that the scale functions equivalently across adolescent and adult athletes. Furthermore, the analysis demonstrated favorable internal consistency (α = 0.88), confirming the reliability of the MFs. Test–retest after two weeks revealed an intra-class correlation of 0.90. Conclusions: Collectively, these results suggest that the MFs is a dependable and valid instrument that is particularly valuable for gauging overall mental fatigue in athletes. Coaches and sports scientists can use this assessment tool to evaluate athletes’ general mental fatigue effectively. Full article
(This article belongs to the Special Issue Advances in Cognitive and Psychometric Evaluation)
Show Figures

Figure 1

21 pages, 763 KB  
Article
Cross-Cultural Adaptation and Psychometric Properties of the Reward-Based Eating Drive Scale (RED-13) and Its Brief Version (RED-5X) in Three European Countries
by Rui Poínhos, Joanna Kowalkowska, Nicolò Sala, Tainá Lopes da Silva, Marta Plichta, Ana Lucas, Camilla Folzi, Iolanda Cioffi, Ana Maria Pandolfo Feoli, Marisa Porrini, Janete de Souza Urbanetto, Simona Bertoli and Bruno M. P. M. Oliveira
Nutrients 2026, 18(1), 49; https://doi.org/10.3390/nu18010049 - 23 Dec 2025
Viewed by 332
Abstract
Background and aims: Reward-based eating reflects hedonic drivers of intake, including loss of control, diminished satiety, and preoccupation with food. We translated, adapted and studied the psychometric properties of the 13- and 5-item Reward-Based Eating Drive Scale (RED), for Portugal, Poland and Italy. [...] Read more.
Background and aims: Reward-based eating reflects hedonic drivers of intake, including loss of control, diminished satiety, and preoccupation with food. We translated, adapted and studied the psychometric properties of the 13- and 5-item Reward-Based Eating Drive Scale (RED), for Portugal, Poland and Italy. Methods: A cross-cultural study was conducted with higher education students and general population samples (n = 1999). After translation and cultural adaptation, the RED was administered with food craving items, and collection of sociodemographic and anthropometric data. Factorial structure and measurement invariance were tested using confirmatory factor analysis (CFA), internal consistency with Cronbach’s alpha, and convergent validity via correlations with BMI and cravings. Results: CFA supported the expected structures of the RED-13 (three factors) and RED-X5 (unifactorial), with configural and metric invariance across countries and groups. Only partial scalar invariance was achieved for both versions. The RED-13 showed good to excellent internal consistency for total scores (0.868 ≤ α ≤ 0.906), with acceptable to good reliability for Loss of control (0.769 ≤ α ≤ 0.821), lower values for Lack of satiety (0.655 ≤ α ≤ 0.723), and good to excellent consistency for Preoccupation with food (0.881 ≤ α ≤ 0.918). The RED-X5 showed acceptable internal consistency (0.737 ≤ α ≤ 0.811) and correlated strongly with RED-13 (r = 0.949, p < 0.001). Both correlated positively with BMI and food cravings. Age, sex, and country had small to medium multivariate effects on RED scores. Conclusions: The RED-13 and RED-X5 showed good psychometric properties in Portugal, Poland, and Italy, with the RED-13 providing a multifactorial assessment and the RED-X5 offering a brief alternative. Full article
Show Figures

Figure 1

11 pages, 362 KB  
Article
Reliability and Validity of the Japanese Version of the eHealth Literacy Scale in Community-Dwelling Older Adults: A Cross-Sectional Study
by Takehiko Tsujimoto, Takafumi Abe, Yoko Kuroda, Masayuki Yamasaki and Minoru Isomura
Eur. J. Investig. Health Psychol. Educ. 2026, 16(1), 1; https://doi.org/10.3390/ejihpe16010001 - 19 Dec 2025
Viewed by 358
Abstract
The Japanese version of the eHealth Literacy Scale (J-eHEALS) measure has primarily been applied to younger populations; however, the psychometric properties of the J-eHEALS in older adults have not been investigated. Therefore, in this cross-sectional study, we aimed to evaluate the psychometric properties [...] Read more.
The Japanese version of the eHealth Literacy Scale (J-eHEALS) measure has primarily been applied to younger populations; however, the psychometric properties of the J-eHEALS in older adults have not been investigated. Therefore, in this cross-sectional study, we aimed to evaluate the psychometric properties of the J-eHEALS in community-dwelling older adults. A total of 553 adults aged ≥ 65 years (mean age, 73.5 years) attending routine health checkups in a single Japanese municipality completed the J-eHEALS and the Japanese version of the 12-item Health Literacy Scale (J-HLS-Q12). We examined internal consistency, item characteristics, factorial validity using exploratory and confirmatory factor analyses, measurement invariance by sex, and convergent and criterion-related validity with general health literacy. The J-eHEALS scores indicated moderate to slightly low perceived eHealth literacy in this population. The scale demonstrated excellent internal consistency (Cronbach’s α = 0.94), a stable unidimensional factor structure with acceptable model fit across sexes, and moderate positive associations with general health literacy. Overall, these findings support the J-eHEALS as a reliable and valid instrument for assessing perceived eHealth literacy in older Japanese adults and its suitability for use in research and practice. Full article
Show Figures

Figure 1

18 pages, 327 KB  
Article
Psychometric Properties of the Identity Bubble Reinforcement Scale (IBRS) in a Sample of Chilean Adolescent Students
by Karina Polanco-Levicán, José Luis Gálvez-Nieto, Sonia Salvo-Garrido, Ignacio Norambuena-Paredes and Nathaly Vera-Gajardo
Children 2025, 12(11), 1545; https://doi.org/10.3390/children12111545 - 14 Nov 2025
Viewed by 473
Abstract
Background/Aim: Social networks have transformed the traditional dynamics of identity construction in adolescence, allowing users to select content and interact with others who share similar views, thereby reinforcing a sense of belonging to homogeneous groups. Given the growing influence of digital interaction on [...] Read more.
Background/Aim: Social networks have transformed the traditional dynamics of identity construction in adolescence, allowing users to select content and interact with others who share similar views, thereby reinforcing a sense of belonging to homogeneous groups. Given the growing influence of digital interaction on social identity among youth, psychometrically sound instruments are needed to measure this process. This study aimed to evaluate the psychometric properties of both the 9-item (IBRS-9) and 6-item (IBRS-6) versions of the Identity Bubble Reinforcement Scale in a large sample of Chilean adolescent students. Methods: A cross-sectional design was used with 4096 participants (50.8% male, 47.8% female, 1.4% other; M = 15.82, SD = 1.30) from 41 secondary schools across Chile. Confirmatory factor analyses (CFAs) tested factorial validity, and internal consistency and external criterion validity were examined. Measurement invariance was assessed across sex, social media use, internet use, and age. Analyses were conducted using the WLSMV (Weighted Least Squares Mean and Variance Adjusted), and model evaluation was based on conventional goodness-of-fit indices. Results: CFAs supported the factorial validity of both IBRS versions, showing reliability and external criterion validity. Model fit indices indicated good fit for both scales. Invariance analyses confirmed factorial stability up to the strict level across all subgroups, indicating consistent psychometric performance. Conclusions: The IBRS-9 and IBRS-6 are valid and reliable instruments for assessing identity bubble reinforcement among Chilean adolescents, providing evidence of factorial stability and applicability for research and educational and psychosocial interventions. Their validated structure provides a consistent basis for examining social identity processes related to digital interaction. Full article
(This article belongs to the Section Pediatric Mental Health)
12 pages, 519 KB  
Article
Psychometric Properties of Templer’s Death Anxiety Scale in Two University Cohorts in Spain
by Pilar Quiroga-Méndez, Raúl Juárez-Vela, Michal Czapla, Federico Castillo-Alvarez, Noelia Navas-Echazarreta, Ana Cobos-Rincón, Eva García-Carpintero Blas, Pablo del Pozo-Herce, Eva María Andrés-Esteban and Rubén Pérez-Elvira
J. Clin. Med. 2025, 14(22), 7961; https://doi.org/10.3390/jcm14227961 - 10 Nov 2025
Viewed by 929
Abstract
Introduction: Death anxiety is a salient psychological construct across the adult lifespan; however, few studies have examined the psychometric properties of the Spanish version of the Death Anxiety Scale (DAS) in university populations spanning diverse age ranges. Objectives: To evaluate the factorial structure, [...] Read more.
Introduction: Death anxiety is a salient psychological construct across the adult lifespan; however, few studies have examined the psychometric properties of the Spanish version of the Death Anxiety Scale (DAS) in university populations spanning diverse age ranges. Objectives: To evaluate the factorial structure, model fit, and reliability of the Spanish DAS in a heterogeneous academic cohort comprising traditional (younger) and non-traditional (older) adult learners. Methods: A total of 928 participants (aged 18–93 years) from a Spanish university completed the DAS. We conducted an exploratory factor analysis (EFA; principal axis factoring with oblique rotation) to identify latent dimensions, followed by a confirmatory factor analysis (CFA) to evaluate model fit. Internal consistency was assessed using Cronbach’s alpha and McDonald’s omega, and associations with sociodemographic variables (age, religious belief) were explored. Results: EFA supported a two-factor solution comprising Fear of Death and Peacefulness/Serenity towards Death. Factor reliability was acceptable (α = 0.818 and 0.734; total α = 0.789; ω_total ≈ 0.81). CFA indicated good fit to the two-factor model (χ2(89) = 401.19, RMSEA = 0.064, 90% CI [0.058–0.071], CFI = 0.940, TLI = 0.912, SRMR = 0.063), with information criteria (AIC = 17,018.33; BIC = 17,236.77) supporting model parsimony. Age and religious belief showed small-to-moderate associations with response patterns. Conclusions: The Spanish DAS demonstrates adequate factorial validity and reliability in a university sample spanning a wide age range. The identification of a Peacefulness/Serenity dimension may enrich interpretation, although its distinctiveness should be considered provisional and warrants replication. Future research should examine measurement invariance across age groups and assess applicability in clinical and longitudinal contexts. Full article
(This article belongs to the Section Mental Health)
Show Figures

Figure 1

18 pages, 537 KB  
Article
Internet Skills Scale (ISS) in University Students from Chile: Factorial Structure, Reliability, Validity and Measurement Invariance of the Chilean Version
by Miguel Galván-Cabello, Julio Tereucan-Angulo, Gustavo Troncoso-Tejada, David Arellano-Silva, Víctor Sánchez-Gallegos and Isidora Nogués-Solano
Sustainability 2025, 17(19), 8597; https://doi.org/10.3390/su17198597 - 25 Sep 2025
Viewed by 839
Abstract
Within the framework of the 2030 Agenda, universities are key institutions in promoting digital competencies aligned with Sustainable Development Goals (SDGs), particularly SDG 4 (Quality Education) and SDG 10 (Reduced Inequalities). This study evaluates the psychometric properties of the Internet Skills Scale (ISS), [...] Read more.
Within the framework of the 2030 Agenda, universities are key institutions in promoting digital competencies aligned with Sustainable Development Goals (SDGs), particularly SDG 4 (Quality Education) and SDG 10 (Reduced Inequalities). This study evaluates the psychometric properties of the Internet Skills Scale (ISS), adapted for Chilean university students, as a tool to assess how effectively higher education fosters digital skills that enable critical participation and social inclusion. Using a sample of 906 students from nine public universities across Chile, the ISS was linguistically and culturally adapted, and its factorial structure, reliability, validity, and measurement invariance were tested. The results support a four-factor model—operational, navigation, social, and creative skills—under a second-order structure, with strong fit indices (CFI = 0.987; RMSEA = 0.055) and high internal consistency (α > 0.83). The ISS also demonstrated gender-based measurement invariance and convergent validity with digital citizenship. These findings underscore the ISS as a valid instrument for monitoring the effectiveness and equity of digital education policies in universities. Its application contributes to diagnosing institutional performance regarding the integration of digital competencies into curricula, thus guiding improvements in educational strategies toward socially just, inclusive, and sustainable digital participation. Full article
Show Figures

Figure 1

26 pages, 921 KB  
Article
Media Exposure and Vicarious Trauma: Italian Adaptation and Validation of the Media Vicarious Traumatization Scale and Its Impact on Young Adults’ Mental Health in Relation to Contemporary Armed Conflicts
by Giorgio Maria Regnoli, Gioia Tiano and Barbara De Rosa
Eur. J. Investig. Health Psychol. Educ. 2025, 15(9), 184; https://doi.org/10.3390/ejihpe15090184 - 12 Sep 2025
Viewed by 3508
Abstract
In recent years, psychological research has increasingly focused on the impact of media exposure on mental health, identifying young adults as particularly vulnerable due to their high levels of media engagement. To explore these effects, the construct of Media Vicarious Traumatization (MVT) has [...] Read more.
In recent years, psychological research has increasingly focused on the impact of media exposure on mental health, identifying young adults as particularly vulnerable due to their high levels of media engagement. To explore these effects, the construct of Media Vicarious Traumatization (MVT) has been introduced as an extension of vicarious traumatization, aimed at capturing the psychological impact of emotionally intense media content. MVT offers a relevant framework for understanding the mental health risks of media exposure, especially in relation to socially significant issues like war, now central in contemporary media discourse. This study aims to culturally adapt and psychometrically validate the Media Vicarious Traumatization Scale (MVTS) within the Italian context, and to investigate the relationship between the war-related MVT construct, generalized anxiety, and future anxiety among young adults. Study I, conducted on a sample of 250 participants (M = 22.40, SD = 2.63), explored the latent structure of the MVTS using Parallel Analysis and Exploratory Factor Analysis (EFA), yielding promising psychometric properties in terms of reliability and factorial stability. An independent sample of 553 participants (M = 22.43, SD = 2.37) was recruited for Study II to confirm the MVTS’s latent structure via Confirmatory Factor Analysis (CFA), which indicated good model fit. This study also evaluated measurement invariance across gender, internal consistency, and convergent, discriminant, and predictive validity, alongside psychometric properties assessed through Item Response Theory (IRT). The results of both studies confirm the stable and robust psychometric properties of the scale. Furthermore, Study II provides novel insights into the predictive role played not only by the war-related MVT but also by the recently introduced construct of Worry about War in exacerbating both generalized anxiety and future anxiety among Italian young adults. Full article
Show Figures

Figure 1

15 pages, 718 KB  
Article
Digital Citizenship Practices in Chile: A Measurement Approach for University Students
by Miguel Galván-Cabello, Julio Tereucan-Angulo, Claudio Briceño-Olivera, Scarlet Hauri-Opazo, Isidora Nogués-Solano and Paulo Lugo-Rincón
Digital 2025, 5(3), 38; https://doi.org/10.3390/digital5030038 - 26 Aug 2025
Cited by 1 | Viewed by 1226
Abstract
This study evaluated the psychometric properties of the Digital Citizenship Scale in Chilean university students, specifically the factorial structure and its reliability, construct validity, and factorial invariance by sex were analyzed. The sample consisted of 905 students whose average age was 22 years, [...] Read more.
This study evaluated the psychometric properties of the Digital Citizenship Scale in Chilean university students, specifically the factorial structure and its reliability, construct validity, and factorial invariance by sex were analyzed. The sample consisted of 905 students whose average age was 22 years, of which 59.7% were women. The methods used were Exploratory Factor Analysis and Confirmatory Factor Analysis. The result of the exploratory analysis suggested retaining the 26 items of the original scale grouped into five factors. The results of the confirmatory analysis corroborated the original structure of the scale and specified a model of five correlated factors. The reliability analysis indicated a total ordinal alpha of 0.87. The measurement invariance analysis showed that the degree of equivalence of the instrument by sex was plausible at a strict level. The scale provides guidance for institutional decision-making regarding initiatives focused on digital inclusion and participation. It was concluded that the Digital Citizenship Scale presents adequate psychometric properties for its use in Chilean university students. Full article
Show Figures

Figure 1

29 pages, 1369 KB  
Article
Mind the (Social and Emotional Competence) Gap to Support Higher Education Students’ Well-Being: Psychometric Properties of the SECAB-A(S)
by Sofia Oliveira, Tiago Maçarico, Ricardo Pacheco, Isabel Janeiro and Alexandra Marques-Pinto
Eur. J. Investig. Health Psychol. Educ. 2025, 15(8), 162; https://doi.org/10.3390/ejihpe15080162 - 16 Aug 2025
Viewed by 1501
Abstract
Today’s increasingly brittle, anxious, nonlinear, incomprehensible world of work calls for a socially and emotionally competent workforce. However, there is a clear gap in higher education settings regarding the assessment and promotion of students’ social and emotional competence (SEC). Our study aims to [...] Read more.
Today’s increasingly brittle, anxious, nonlinear, incomprehensible world of work calls for a socially and emotionally competent workforce. However, there is a clear gap in higher education settings regarding the assessment and promotion of students’ social and emotional competence (SEC). Our study aims to address the pressing need to evaluate and develop higher education students’ SEC by providing a tool to assess these skills, enabling researchers and practitioners to intervene and actively promote them. A sample of 767 higher education students (62.8% female, M = 22.88 years, SD = 7.30) enrolled in the study. Structural, discriminant and concurrent criterion validity, and reliability of the measure were assessed. A multiple hierarchical regression analysis tested the relation of SEC and well-being. Confirmatory Factor Analysis supported the hypothesized factorial structures. Coefficient omegas indicated adequate internal consistency. The results also supported the measure’s discriminant and criterion validities in relation to external measures. Multi-group invariance across gender and academic fields was attained. We found evidence of the predictive role of intrapersonal skills on students’ personal and academic well-being. This study bridges a gap in research and practice by introducing a psychometrically sound yet parsimonious instrument for assessing higher education students’ SEC. It also highlights the supportive role of SEC in promoting students’ well-being. Full article
Show Figures

Figure 1

16 pages, 532 KB  
Article
Online Sexual Harassment Perpetration Among Peer Adolescents: A Cross-National and Cross-Gender Study
by Estrella Durán-Guerrero, Annalaura Nocentini, Ersilia Menesini and Virginia Sánchez-Jiménez
Behav. Sci. 2025, 15(7), 969; https://doi.org/10.3390/bs15070969 - 17 Jul 2025
Cited by 2 | Viewed by 1575
Abstract
This study aims to validate the Online Sexual Harassment Perpetration among Peers (OSHP-P) instrument for assessing online sexual harassment among adolescents in two different countries, Spain and Italy, considering both new forms of online sexual harassment and gender differences. The instrument was validated [...] Read more.
This study aims to validate the Online Sexual Harassment Perpetration among Peers (OSHP-P) instrument for assessing online sexual harassment among adolescents in two different countries, Spain and Italy, considering both new forms of online sexual harassment and gender differences. The instrument was validated by means of a Confirmatory Factor Analysis (CFA) with a sample of 1041 Spanish (Mage = 15.0, SD = 0.88) and 1385 Italian (Mage = 14.8, SD = 0.87) adolescents, demonstrating factorial invariance across both country and gender. The best-fitting model was two-dimensional, with ambiguous and direct Sexual Cyber Perpetration (SCP) and Non-Consensual Sharing Perpetration (NCSP) factors. Co-involvement (i.e., involvement in both types of aggression) rates were 10.3% in Spain and 7.8% in Italy. No significant gender differences were found for involvement in either the overall scale (46.4% for girls, 44.1% for boys) or the NCSP subscale (3.0% girls vs. 2.2% boys), although significantly higher co-involvement was found among boys (7.7% girls vs. 10.1% boys). This study contributes to the existing body of research on online sexual harassment among peers in adolescence by presenting a new assessment tool that has been shown to be invariant between Spanish and Italian adolescents, as well as between boys and girls. Full article
Show Figures

Figure 1

24 pages, 1479 KB  
Article
Differential Psychometric Validation of the Brief Scale of Social Desirability (BSSD-4) in Ecuadorian Youth
by Andrés Ramírez, Luis Burgos-Benavides, Hugo Sinchi-Sinchi, Francisco Javier Herrero Díez and Francisco Javier Rodríguez-Díaz
Psychiatry Int. 2025, 6(3), 83; https://doi.org/10.3390/psychiatryint6030083 - 14 Jul 2025
Viewed by 1863
Abstract
Social desirability is a widely studied phenomenon due to its impact on the validity of self-reported data. It refers to the tendency of individuals to respond to questions in a manner that they believe is socially acceptable or favorable rather than providing truthful [...] Read more.
Social desirability is a widely studied phenomenon due to its impact on the validity of self-reported data. It refers to the tendency of individuals to respond to questions in a manner that they believe is socially acceptable or favorable rather than providing truthful or accurate answers. This study evaluated the psychometric properties of the Brief Social Desirability Scale (BSSD-4) in Ecuadorian youth, analyzing its reliability, factorial and convergent validity, and measurement invariance by sex, age group, and experiences of dating violence. An instrumental study was conducted with a non-probabilistic convenience sample of 836 participants (aged 14–26). Reliability was adequate (Ω = 0.75, α = 0.81, CR = 0.759). Confirmatory factor analysis showed good fit indices (CFI = 0.98, TLI = 0.97, RMSEA = 0.056, SRMR = 0.037). Convergent validity was acceptable (AVE = 0.50, VIF < 2.01). A network analysis confirmed the unidimensionality of the scale and structural differences between groups. Measurement invariance by sex and age was verified, but differences in the network structure were found based on victimization and perpetration of violence. The BSSD-4 is a valid and reliable instrument for assessing social desirability in Ecuadorian youth, useful for population studies and intergroup comparisons. Further research is recommended to explore its invariance in populations with a history of violence, as differences in scalar invariance were observed. Full article
Show Figures

Figure 1

19 pages, 660 KB  
Article
Validation and Factor Structure Analysis of the Polish Version of the Somatosensory Amplification Scale (SSAS-PL) in Clinical and Non-Clinical Samples
by Krystian Konieczny, Karol Karasiewicz, Karolina Rachubińska, Krzysztof Wietrzyński and Mateusz Wojtczak
J. Clin. Med. 2025, 14(14), 4846; https://doi.org/10.3390/jcm14144846 - 8 Jul 2025
Viewed by 814
Abstract
Objectives: The aim of this study was to validate the Polish version of the Somatosensory Amplification Scale (SSAS-PL) and examine its psychometric properties in clinical and non-clinical samples. Methods: The study included 1128 participants (711 healthy adults, 194 cardiac patients, 223 psychiatric [...] Read more.
Objectives: The aim of this study was to validate the Polish version of the Somatosensory Amplification Scale (SSAS-PL) and examine its psychometric properties in clinical and non-clinical samples. Methods: The study included 1128 participants (711 healthy adults, 194 cardiac patients, 223 psychiatric patients). The analyses were categorized into exploratory and confirmatory phases. Exploratory analyses were conducted on a randomly selected sample that comprised 60% of the study participants (training sample) to estimate the reliability (Cronbach’s alpha) and factorial validity (EFA with varimax rotation). Confirmatory analyses were performed on an independent (test) sample that represented 40% of the total sample size to facilitate the cross-validation of the factor structure (CFA) and to assess the convergent and discriminant validities (using the HTMT method) in relation to health anxiety (SHAI) and psychopathological symptoms (KOFF-58). Additionally, measurement invariance was examined with respect to gender (female vs. male) and health status (healthy vs. clinical). Results: The SSAS-PL demonstrated good internal consistency (α = 0.75–0.78) after removing item 1. A one-factor structure showed the best fit and theoretical interpretability. The measurement invariance was supported across clinical groups. The SSAS-PL showed convergent validity with the measures of somatic symptoms, anxiety, and health anxiety. It demonstrated discriminant validity from other psychopathology measures. Conclusions: The SSAS-PL was a reliable and valid measure of somatosensory amplification in the Polish population. Its unidimensional structure aligned with most cross-cultural adaptations. The scale may be useful for assessing somatosensory amplification in both research and clinical settings in Poland. Further research on its utility in specific clinical populations is warranted. Full article
(This article belongs to the Special Issue Treatment Personalization in Clinical Psychology and Psychotherapy)
Show Figures

Figure 1

11 pages, 2586 KB  
Communication
Full-Factorial Rheological Investigation of Carbopol ETD2020 for Embedded Printing: Effects of pH and Carbomer Concentration
by Tobias Biermann, Lennart Mesecke, Simon Teves, Ivo Ziesche and Roland Lachmayer
Materials 2025, 18(13), 3164; https://doi.org/10.3390/ma18133164 - 3 Jul 2025
Viewed by 2124
Abstract
Embedded printing of soft materials relies on yield-stress support matrices to prevent sagging and enable freeform fabrication. The rheological parameters of the matrix material directly influence critical printing outcomes such as strand positioning, cavity formation, structural stability, and defect suppression in embedded printing. [...] Read more.
Embedded printing of soft materials relies on yield-stress support matrices to prevent sagging and enable freeform fabrication. The rheological parameters of the matrix material directly influence critical printing outcomes such as strand positioning, cavity formation, structural stability, and defect suppression in embedded printing. Despite widespread use of Carbopol® formulations, a systematic rheological characterization of ETD2020 across relevant polymer concentrations and pH levels for embedded printing is lacking. Here, we implement a full-factorial design with polymer concentrations from 0.1wt% to 0.9wt% and triethanolamine dosages of 30–50µL per 100g. Steady-shear (0.001200s1) and oscillatory (1Hz) rheometry yielded Herschel–Bulkley parameters τy, k, n as well as storage and loss modulus G/G. All formulations exhibited pronounced shear-thinning, with τy increasing nonlinearly from <1Pa to 41.1Pa and G reaching 400Pa at 0.9wt%. A five-hour window of invariant rheology was identified, followed by a Δτy10Pa increase after five days, indicating delayed polymerization. The comprehensive material characterization defines a rheological window for ETD2020 and facilitates simulation-based modeling and the targeted tuning of matrix properties. Heatmaps provide an interpolated depiction of combined carbomer and triethanolamine concentrations, enabling tunable support matrices for embedded printing. Full article
(This article belongs to the Special Issue Novel Materials for Additive Manufacturing)
Show Figures

Figure 1

25 pages, 1008 KB  
Article
Understand the Changes in Motivation at Work: Empirical Studies Using Self-Determination Theory-Based Interventions
by Zheni Wang and Melanie Briand
Behav. Sci. 2025, 15(7), 864; https://doi.org/10.3390/bs15070864 - 25 Jun 2025
Viewed by 6303
Abstract
Managers often need to stay motivated and effectively motivate others. Therefore, they should rely on evidence-based interventions to effectively motivate and self-motivate. This research investigated how self-determination theory-based interventions affect employees’ motivation dynamics and motivational consequences within short time frames (i.e., within an [...] Read more.
Managers often need to stay motivated and effectively motivate others. Therefore, they should rely on evidence-based interventions to effectively motivate and self-motivate. This research investigated how self-determination theory-based interventions affect employees’ motivation dynamics and motivational consequences within short time frames (i.e., within an hour, within a few weeks or months) in two empirical studies. Study one focused on assessing the effectiveness of a one-day training workshop in helping to improve managers’ work motivation, basic psychological needs satisfaction/frustration, subordinates’ motivation, and perceptions of managers’ needs-supportive/thwarting behaviors within a few weeks. Results support the effectiveness of the training, as managers were rated by their direct subordinates as having fewer needs-thwarting behaviors and reported self-improvement in needs satisfaction and frustration six weeks after completing the training program. Study two used the mean and covariance structure analysis and tested the impact of three types of basic psychological needs-supportive/thwarting and control conditions (3 × 2 × 1 factorial design) on participants’ situational motivation, vitality, and general self-efficacy for playing online word games within 30 min. Multi-group confirmatory factor analysis (CFA) confirmed the scalar measurement invariance, then latent group mean comparison results show consistently lower controlled motivation across the experimental conditions. During a quick online working scenario, the theory-based momentary intervention effectively changed situational extrinsic self-regulation in participants. Supplementary structural equation modeling (SEM; cross-sectional) analyses using experience samples supported the indirect dual-path model from basic needs satisfaction to vitality and general efficacy via situational motivation. We discussed the theoretical implications of the temporal properties of work motivation, the practical implications for employee training, and the limitations. Full article
(This article belongs to the Special Issue Work Motivation, Engagement, and Psychological Health)
Show Figures

Figure 1

Back to TopTop