Sign in to use this feature.

Years

Between: -

Subjects

remove_circle_outline
remove_circle_outline
remove_circle_outline
remove_circle_outline
remove_circle_outline
remove_circle_outline
remove_circle_outline
remove_circle_outline
remove_circle_outline

Journals

remove_circle_outline
remove_circle_outline
remove_circle_outline
remove_circle_outline
remove_circle_outline
remove_circle_outline
remove_circle_outline
remove_circle_outline
remove_circle_outline
remove_circle_outline
remove_circle_outline
remove_circle_outline
remove_circle_outline
remove_circle_outline
remove_circle_outline

Article Types

Countries / Regions

remove_circle_outline
remove_circle_outline
remove_circle_outline
remove_circle_outline
remove_circle_outline

Search Results (585)

Search Parameters:
Keywords = externalizing behaviour

Order results
Result details
Results per page
Select all
Export citation of selected articles as:
11 pages, 1599 KB  
Article
Polyandry in Noctuid Moths: Taxonomic, Bionomic, and Evolutionary Implications
by Zoltán Varga, Antal Nagy, Csenge Lelle Kovács and Szabolcs Szanyi
Insects 2025, 16(10), 1063; https://doi.org/10.3390/insects16101063 - 17 Oct 2025
Abstract
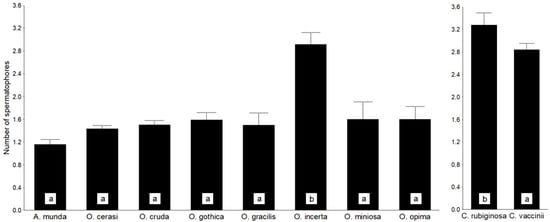
Polyandry influences sexual behaviour and supports sexual selection in moths, incl. Noctuids. In polyandry, a female mates with multiple males within a few days. Copulation is a multi-phase process, as sperm are packed into spermatophores and transferred to the female genitalia. This process [...] Read more.
Polyandry influences sexual behaviour and supports sexual selection in moths, incl. Noctuids. In polyandry, a female mates with multiple males within a few days. Copulation is a multi-phase process, as sperm are packed into spermatophores and transferred to the female genitalia. This process is costly, since spermatophore production and transfer is time-consuming. When this process is repeated, it results in sexual selection and enhances heterozygosity. Pest and migrating Noctuids are often polyandrous. Polyandry is common in the “pest clade” of Noctuidae (e.g., Euxoa, Dichagyris). We hypothesised that the asymmetric allocation of sensory and stimulating functions on the genitalia enhance sexual selection and promote speciation. In polyandrous species of the subtribe Poliina, we show that the evolution of the secondary asymmetry of male external genitalia is connected to an increase in species diversity. Some species inhabiting temperate forests were found to be moderately (Orthosia) or highly (Conistra) polyandrous, in connection with their different life cycles and despite similar reproductive timing. Based on fecundity data of some common species, we hypothesised that habitat generalists should be more polyandrous than habitat specialists. However, our data are insufficient to determine whether ecology and/or phylogeny influence the level of polyandry. Other factors, such as the connection between the sex ratio and the level of polyandry, should be surveyed in future studies, considering their relevance to plant protection. Full article
(This article belongs to the Special Issue Arthropod Reproductive Biology)
Show Figures

Figure 1

19 pages, 1002 KB  
Article
How Should Property Investors Make Decisions Amid Heightened Uncertainty: Developing an Adaptive Behavioural Model Based on Expert Perspectives
by Albert Agbeko Ahiadu, Rotimi Boluwatife Abidoye and Tak Wing Yiu
Buildings 2025, 15(20), 3648; https://doi.org/10.3390/buildings15203648 - 10 Oct 2025
Viewed by 290
Abstract
In a significant transition from classical theories of efficient markets and perfectly rational investors, the recent literature has increasingly acknowledged the importance of the human element and external market conditions in decision-making. However, the application of adaptive market frameworks in the property sector [...] Read more.
In a significant transition from classical theories of efficient markets and perfectly rational investors, the recent literature has increasingly acknowledged the importance of the human element and external market conditions in decision-making. However, the application of adaptive market frameworks in the property sector remains underexplored. This gap is particularly pronounced in the commercial property market, where structural inefficiencies, such as information asymmetry and illiquidity, amplify decision-making complexity. Given that investor rationality tends to diminish as uncertainty and complexity increase, this study explored how private commercial property investors adapt their strategies amid heightened uncertainty. The perspectives of seven experienced property experts were thematically analysed to highlight recurring patterns, which were then integrated into a conceptual mind map. The findings reveal that while economic fundamentals are the constant drivers of capital allocation decisions, investors process these signals through the lens of adaptive behaviour based on intuition, experience, risk perceptions, and herding. This relationship becomes more pronounced under conditions of heightened uncertainty, where investors seek to supplement available information with sentiment due to weaker signals and declining confidence in fundamentals. Sustainable investing and technology integration also emerged as core considerations, but interest among private investors is subdued due to ambiguous value propositions regarding the long-term economic benefits of a green premium. These findings offer practical insights into how external market conditions influence property investment decisions and provide a platform for operational models of investment decision-making that integrate adaptive behaviour. Full article
(This article belongs to the Section Architectural Design, Urban Science, and Real Estate)
Show Figures

Figure 1

21 pages, 3017 KB  
Article
Interface Rotation in Accumulative Rolling Bonding (ARB) Cu/Nb Nanolaminates Under Constrained and Unconstrained Loading Conditions as Revealed by In Situ Micromechanical Testing
by Rahul Sahay, Ihor Radchenko, Pavithra Ananthasubramanian, Christian Harito, Fabien Briffod, Koki Yasuda, Takayuki Shiraiwa, Mark Jhon, Rachel Speaks, Derrick Speaks, Kangjae Lee, Manabu Enoki, Nagarajan Raghavan and Arief Suriadi Budiman
Nanomaterials 2025, 15(19), 1528; https://doi.org/10.3390/nano15191528 - 7 Oct 2025
Viewed by 349
Abstract
Accumulative rolling bonding (ARB) Cu/Nb nanolaminates have been widely observed to exhibit unique and large numbers of interface-based plasticity mechanisms, and these have been associated with the many extraordinary properties of the material system, especially resistances in extreme engineering environments (mechanical/pressure, thermal, irradiation, [...] Read more.
Accumulative rolling bonding (ARB) Cu/Nb nanolaminates have been widely observed to exhibit unique and large numbers of interface-based plasticity mechanisms, and these have been associated with the many extraordinary properties of the material system, especially resistances in extreme engineering environments (mechanical/pressure, thermal, irradiation, etc.) and ability to self-heal defects (microstructural, as well as radiation-induced). Recently, anisotropy in the interface shearing mechanisms in the material system has been observed and much discussed. The Cu/Nb nanolaminates appear to shear on the interface planes to a much larger extent in the transverse direction (TD) than in the rolling direction (RD). Related to that, in this present study we observe interface rotation in Cu/Nb ARB nanolaminates under constrained and unconstrained loading conditions. Although the primary driving force for interface shearing was expected only in the RD, additional shearing in the TD was observed. This is significant as it represents an interface rotation, while there was no external rotational driving force. First, we observed interface rotation in in situ rectangular micropillar compression experiments, where the interface is simply sheared in one particular direction only, i.e., in the RD. This is rather unexpected as, in rectangular micropillar compression, there is no possibility of extra shearing or driving force in the perpendicular direction due to the loading conditions. This motivated us to subsequently perform in situ microbeam bending experiments (microbeam with a pre-made notch) to verify if similar interface rotation could also be observed in other loading modes. In the beam bending mode, the notch area was primarily under tensile stress in the direction of the beam longitudinal axis, with interfacial shear also in the same direction. Hence, we expect interface shearing only in that direction. We then found that interface rotation was also evident and repeatable under certain circumstances, such as under an offset loading. As this behaviour was consistently observed under two distinct loading modes, we propose that it is an intrinsic characteristic of Cu/Nb interfaces (or FCC/BCC interfaces with specific orientation relationships). This interface rotation represents another interface-based or interface-mediated plasticity mechanism at the nanoscale with important potential implications especially for design of metallic thin films with extreme stretchability and other emerging applications. Full article
(This article belongs to the Section Nanocomposite Materials)
Show Figures

Graphical abstract

18 pages, 5933 KB  
Article
The Impact of Reservoir Parameters and Fluid Properties on Seepage Characteristics and Fracture Morphology Using Water-Based Fracturing Fluid
by Zhaowei Zhang, Qiang Sun, Hongge Wang, Chaoxian Chen, Changyu Chen, Qian Zhou, Qisen Gong, Xiaoyue Zhuo and Peng Zhuo
Processes 2025, 13(10), 3166; https://doi.org/10.3390/pr13103166 - 5 Oct 2025
Viewed by 428
Abstract
This study, motivated by the pronounced fluid loss characteristics of water-based fracturing fluids, developed a fluid–solid coupling model to investigate water-based fracturing in geological reservoirs. The model was further employed to analyse the effects of multiple factors on fracture propagation and the seepage [...] Read more.
This study, motivated by the pronounced fluid loss characteristics of water-based fracturing fluids, developed a fluid–solid coupling model to investigate water-based fracturing in geological reservoirs. The model was further employed to analyse the effects of multiple factors on fracture propagation and the seepage capacity of water-based fracturing fluids. Moreover, the underlying mechanisms of fracture propagation and seepage enhancement were elucidated from a microscopic molecular perspective. The results obtained that the high apparent viscosity of water-based fracturing fluids not only enhances the fracturing efficiency of reservoir rocks but also results in a reduced seepage volume (−17 mL) in low-permeability reservoirs. Furthermore, the reservoir porosity (+2.5%) exhibits a clear inverse proportional relationship with fracturing efficiency (−0.9 m), while the seepage volume (+7 mL) of water-based fracturing fluids continues to increase. The strength and quantity of hydrogen bonds between molecules in water-based fracturing fluid, influenced by external factors, directly affect fluid seepage. The seepage behaviour of water-based fracturing fluids in geological reservoirs, together with the influence of reservoir conditions on fracture propagation, provides valuable reference data for rock fracturing and reservoir stimulation. However, the absence of data analysis and microscopic images of microscopic molecular dynamics constitutes a challenging problem that demands attention. Full article
Show Figures

Figure 1

27 pages, 1369 KB  
Article
External Drivers of Dominant Green Positioning for Organic Food Brands: Evidence from an Emerging Market
by Mihai Stoica, Mihai Ioan Roșca, Laura Daniela Roșca and Ioana Cecilia Popescu
Sustainability 2025, 17(19), 8589; https://doi.org/10.3390/su17198589 - 24 Sep 2025
Viewed by 384
Abstract
Growing consumer interest in personal health and environmental sustainability has driven a significant number of companies to enter the organic food market. While this offers valuable opportunities, companies face substantial challenges in making marketing decisions which are aligned with the specific characteristics of [...] Read more.
Growing consumer interest in personal health and environmental sustainability has driven a significant number of companies to enter the organic food market. While this offers valuable opportunities, companies face substantial challenges in making marketing decisions which are aligned with the specific characteristics of this sector. This paper studies the impact of three external drivers—environmental customer pressure, environmental competitive intensity, and environmental regulatory pressure—on companies’ decision to adopt a dominant green positioning strategy within the Romanian organic food market. To this end, an online survey was conducted among 77 companies, including producers, processors, distributors, and retailers, all of which own an organic food brand. Partial Least Squares Structural Equation Modelling (PLS-SEM) was applied to assess the measurement model and test the hypothesised structural relationships. Our findings confirm that customer pressure plays a significant role in shaping green brand positioning decisions. Accordingly, companies must be responsive to consumer expectations, even in the absence of strict regulations in Romania’s organic food sector guiding organisational behaviour. Furthermore, competitive dynamics were also found to be vital, as evidenced by the positive and direct relationship between environmental competitive intensity and the strategic green positioning decision examined. Full article
(This article belongs to the Section Economic and Business Aspects of Sustainability)
Show Figures

Figure 1

22 pages, 1080 KB  
Article
Motivation, Satisfaction and Recommendation Behaviour Model in a Touristic Coastal Destination—Pre and During the COVID-19 Pandemic Compared
by Byron Alvarado-Vanegas, Lluís Coromina and Freddy Espinoza-Figueroa
Sustainability 2025, 17(19), 8520; https://doi.org/10.3390/su17198520 - 23 Sep 2025
Viewed by 511
Abstract
The growth of tourism in coastal destinations has attracted academic attention due to the link between tourists’ motivations and their likelihood of recommending the destination. This study explores changes in tourist motivations, satisfaction, and recommendation behaviours in a coastal destination during the summers [...] Read more.
The growth of tourism in coastal destinations has attracted academic attention due to the link between tourists’ motivations and their likelihood of recommending the destination. This study explores changes in tourist motivations, satisfaction, and recommendation behaviours in a coastal destination during the summers of 2019 (pre-COVID-19) and 2020 (during the pandemic). Employing quantitative analysis with Confirmatory Factor Analysis and Structural Equation Modelling, data from 394 pre-pandemic and 468 pandemic-period visitors were analysed. The findings reveal a shift in the tourist profile during the pandemic, with a predominance of younger visitors from nearby regions. Despite heightened uncertainty, satisfaction and the intention to recommend remained relatively high, albeit lower than pre-pandemic levels. The study underscores the importance of adapting marketing and management strategies to evolving tourist preferences, emphasising safety and sustainability in response to global crises. These results highlight the need for resilient policies to ensure positive visitor experiences and long-term growth in coastal tourism, contributing to the broader understanding of how external disruptions impact destination dynamics and tourist behaviour. Full article
Show Figures

Graphical abstract

25 pages, 1710 KB  
Article
Pedestrian Profiling Based on Road Crossing Decisions in the Presence of Automated Vehicles: The Sorting Hat for Pedestrian Behaviours and Psychological Facets
by Sachita Shahi, Ashim Kumar Debnath, Stewart Birrell, Ben Horan and William Payre
Appl. Sci. 2025, 15(18), 10105; https://doi.org/10.3390/app151810105 - 16 Sep 2025
Viewed by 493
Abstract
Automated Vehicles (AVs) are being developed with the aim to reduce the occurrence and severity of Road Traffic Crashes (RTCs). Studies suggest AVs may improve the safety of Vulnerable Road Users (VRUs), particularly on road crossings. However, exposure to novel technology over time [...] Read more.
Automated Vehicles (AVs) are being developed with the aim to reduce the occurrence and severity of Road Traffic Crashes (RTCs). Studies suggest AVs may improve the safety of Vulnerable Road Users (VRUs), particularly on road crossings. However, exposure to novel technology over time may lead to behavioural adaptation. Thus, understanding VRUs’ behavioural intentions towards AVs is crucial for their safe integration into traffic. We investigate four external factors pedestrians consider when crossing a road in front of an AV. An online questionnaire with 281 participants assessed crossing intentions, focusing on road gradient, weather, pedestrian–AV distance, and AV type. Personality traits and self-reported behaviour were measured. Anderson’s experimental protocol revealed all factors significantly influenced crossing decisions. Using hierarchical clustering followed by K-means clustering, the participants were classified into three different profiles: risk-averse, resolute, and indecisive pedestrians. We provide evidence of a strong link between crossing decisions, reported behaviours and psychological facets while interacting with an AV at crossings. Pedestrian profiling allows targeting preventative measures for groups based on unique characteristics, maximising efficiency thereof. Furthermore, pedestrian profiling can inform AV’s driving style to support safer road interactions. This is salient for resolute pedestrians, who take more risks, which may lead to severe RTCs. Full article
(This article belongs to the Special Issue Human-Computer Interaction: Advances, Challenges and Opportunities)
Show Figures

Figure 1

20 pages, 724 KB  
Article
Validation and Application of an Online Self-Assessment Questionnaire for the Assessment of Perception of Functional Foods: A Cross-Sectional Psychometric Study in Adults
by Leandro Oliveira, Ahmed Othman Alsabih, Hani A. Alfheeaid, Najla A. Albaridi, Sehad N. Alarifi, Nada Alqarawi, Ibrahim Alasqah and António Raposo
Nutrients 2025, 17(18), 2938; https://doi.org/10.3390/nu17182938 - 12 Sep 2025
Viewed by 556
Abstract
Background/Objectives: The increasing interest in functional foods has highlighted the need to better understand consumer perceptions and their influence on dietary behaviours. This study aimed to evaluate the psychometric properties of the Questionnaire for the Assessment of Perception of Functional Foods (QAPAF) and [...] Read more.
Background/Objectives: The increasing interest in functional foods has highlighted the need to better understand consumer perceptions and their influence on dietary behaviours. This study aimed to evaluate the psychometric properties of the Questionnaire for the Assessment of Perception of Functional Foods (QAPAF) and apply it to a Portuguese adult population to explore associations with sociodemographic and lifestyle factors. Methods: Participants were recruited through convenience sampling; the achieved sample was predominantly female and highly educated. The 17-item QAPAF was assessed through exploratory factor analysis (EFA), internal consistency (Cronbach’s alpha), and test–retest reliability. Associations between QAPAF scores and participant characteristics were analysed using non-parametric tests. Results: EFA supported a four-factor structure, explaining 58.8% of total variance. Internal consistency was acceptable (α = 0.70), and test–retest analysis (n = 25) showed no significant score differences, indicating temporal stability. QAPAF scores were significantly higher among participants with higher education and among non-smokers and non-drinkers. No associations were found with sex, BMI, or income. Participants with correct understanding of functional foods were more likely to reject misconceptions and express trust in professional recommendations. Conclusions: The QAPAF is a valid and reliable tool for assessing functional food perceptions. Its application provides insights into consumer attitudes and may support the design of targeted food literacy interventions. Generalizability is limited by the convenience sampling and by the predominance of female and highly educated participants; external validation in more diverse samples and cultural contexts is warranted. Full article
(This article belongs to the Special Issue Food Literacy and Public Health Nutrition)
Show Figures

Figure 1

31 pages, 467 KB  
Article
Sustaining Consumer Excitement: The Role of Online Customer Experience and Engagement in Shaping Behavioural Intentions in Food Social Commerce
by Hesty Nurul Utami, Muhammad Okiba Jauhari Elfa, Sulistyodewi Nur Wiyono, Dwi Novanda Sari and Tomy Perdana
Sustainability 2025, 17(17), 8061; https://doi.org/10.3390/su17178061 - 7 Sep 2025
Viewed by 1591
Abstract
This study examines the determinants of online customer engagement (OCE) and its role in influencing the repurchase intention of healthy food through social commerce (s-commerce) platforms. Using the Stimulus-Organism-Response (S-O-R) framework, 300 Indonesian urban shoppers were surveyed to explore the impact of customer [...] Read more.
This study examines the determinants of online customer engagement (OCE) and its role in influencing the repurchase intention of healthy food through social commerce (s-commerce) platforms. Using the Stimulus-Organism-Response (S-O-R) framework, 300 Indonesian urban shoppers were surveyed to explore the impact of customer internal and external buying stimuli through online content quality (OCQ) and customer experiences, encompassing hedonic and social value. PLS-SEM analysis highlights the significance of OCQ in enhancing customer trust and engagement while underscoring the importance of emotional gratification and perceived social benefits mediating customer engagement in building repurchase intentions. The analysis also reveals the insignificant direct effect between social value and repurchase intention, suggesting a more nuanced mechanism in consumer behavioural response. The findings provide theoretical insights into s-commerce research and practical implications for designing online food services to retain customers, emphasising the need for integrative strategies incorporating emotional, social, and informational elements. This research contributes to a deeper understanding of consumer behaviour in using social media for healthy food marketing. It offers sustainable and actionable recommendations for the digital era. Full article
Show Figures

Figure 1

22 pages, 4003 KB  
Article
Numerical Modelling of Rock Fragmentation in Landslide Propagation: A Test Case
by Claudia Zito, Massimo Mangifesta, Mirko Francioni, Luigi Guerriero, Diego Di Martire, Domenico Calcaterra, Corrado Cencetti, Antonio Pasculli and Nicola Sciarra
Geosciences 2025, 15(9), 354; https://doi.org/10.3390/geosciences15090354 - 7 Sep 2025
Viewed by 518
Abstract
Landslides and rockfalls can negatively impact human activities and cause radical changes to the surrounding environment. For example, they can destroy entire buildings and roadway infrastructure, block waterways and create sudden dams, resulting in upstream flooding and increased flood risk downstream. In extreme [...] Read more.
Landslides and rockfalls can negatively impact human activities and cause radical changes to the surrounding environment. For example, they can destroy entire buildings and roadway infrastructure, block waterways and create sudden dams, resulting in upstream flooding and increased flood risk downstream. In extreme cases, they can even cause loss of life. External factors such as weathering, vegetation and mechanical stress alterations play a decisive role in their evolution. These actions can reduce strength, which can have an adverse impact on the slope’s ability to withstand failure. For rockfalls, this process also affects fragmentation, creating variations in the size, shape and volume of detached blocks, which influences propagation and impact on the slope. In this context, the Morino-Rendinara landslide is a clear example of rockfall propagation influenced by fragmentation. In this case, fragmentation results from tectonic stresses acting on the materials as well as specific climatic conditions affecting rock mass properties. This study explores how different fragmentation scales influence both velocity and landslide propagation along the slope. Using numerical models, based on lumped mass approach and stochastic analyses, various scenarios of rock material fracturing were examined and their impact on runout was assessed. Different scenarios were defined, varying only the fragmentation degree and different random seed sets at the beginning of simulations, carried out using the Rock-GIS tool. The results suggest that rock masses with high fracturing show reduced cohesion along joints and cracks, which significantly lowers their shear strength and makes them more prone to failure. Increased fragmentation further decreases the bonding between rock blocks, thereby accelerating landslide propagation. Conversely, less fragmented rocks retain higher resistance, which limits the extent of movement. These processes are influenced by uncertainties related to the distribution and impact of different alteration grades, resulting from variable tectonic stresses and/or atmospheric weathering. Therefore, a stochastic distribution model was developed to integrate the results of all simulations and to reconstruct both the landslide propagation and the evolution of its deposits. This study emphasizes the critical role of fragmentation and the volume involved in rockfalls and their runout behaviour. Furthermore, the method provides a framework for enhancing risk assessment in complex geological environments and for developing mitigation strategies, particularly regarding runout distance and block size. Full article
(This article belongs to the Section Natural Hazards)
Show Figures

Figure 1

20 pages, 5176 KB  
Article
Experimental Study on the Bending Behaviour of GFRP Laminates Repaired with Stainless-Steel Wire Mesh
by Hamza Taş and Hasan Yavuz Ünal
Polymers 2025, 17(17), 2417; https://doi.org/10.3390/polym17172417 - 5 Sep 2025
Viewed by 765
Abstract
This study experimentally investigates the use of stainless-steel woven wire mesh (SSWWM) as a patch material for repairing damaged glass fibre-reinforced (GFR) composite laminates. The effects of several factors on the three-point bending (3PB) behaviour of the parent laminate were examined, including the [...] Read more.
This study experimentally investigates the use of stainless-steel woven wire mesh (SSWWM) as a patch material for repairing damaged glass fibre-reinforced (GFR) composite laminates. The effects of several factors on the three-point bending (3PB) behaviour of the parent laminate were examined, including the repair method (the plugging of open hole and the external patch repair), the mesh count of the SSWWM, and the number of SSWWM layers. According to the findings, all parameters considered in this study play a pivotal role in 3PB behaviour. Employing SSWWM as a patch material can recover 66.02–129.2% of the undamaged 3PB failure load, depending on the repair method, mesh count of the SSWWM, and number of SSWWM layers. Overall, decreasing the mesh count and increasing the number of SSWWM layers and applying an external patch repair method yield better results in terms of failure load and patch efficiency. This can be attributed to the increased wire diameter, improved bending rigidity, and better load distribution over a wider area. The SSWWM bridges the damaged zone, ensuring effective load transfer between the patch and parent laminate while preventing crack propagation. Utilising SSWWM as a patch material provides a quick, reliable solution for damage scenarios in engineering applications. Full article
(This article belongs to the Section Polymer Composites and Nanocomposites)
Show Figures

Figure 1

36 pages, 633 KB  
Systematic Review
Contributors to Adherence to Exercise Therapy in Non-Specific Chronic Low Back Pain: A Systematic Review of Qualitative and Quantitative Research
by Iris Meuwissen, Rob Vanderstraeten, Nathalie Anne Roussel, Mira Meeus, Julie Sylvie Van Eetvelde, Timo Meus, Annick A. A. Timmermans and Jonas Verbrugghe
J. Clin. Med. 2025, 14(17), 6251; https://doi.org/10.3390/jcm14176251 - 4 Sep 2025
Viewed by 1985
Abstract
Background/Objectives: Chronic low back pain is the leading global cause of disability, with a growing prevalence and socioeconomic burden. Despite strong evidence supporting exercise therapy (ET) as a primary treatment, adherence rates remain low, compromising outcomes and increasing healthcare costs. Research on [...] Read more.
Background/Objectives: Chronic low back pain is the leading global cause of disability, with a growing prevalence and socioeconomic burden. Despite strong evidence supporting exercise therapy (ET) as a primary treatment, adherence rates remain low, compromising outcomes and increasing healthcare costs. Research on contributing factors to adherence to ET in non-specific chronic low back pain (nsCLBP) is limited. This systematic review aimed to reconceptualise contributors to adherence, using a conceptual framework to explore their interrelations and complexity by integrating quantitative and qualitative research. Methods: PubMed, Web of Science and Scopus were searched, followed by a two-phase screening process. Risk of Bias (RoB), certainty assessment and level of evidence were assessed independently. Results: Eight qualitative and eleven quantitative studies were included, the latter divided into nine RCTs and two cohort studies. Overall, eight included studies showed low RoB, seven showed some concerns, and four presented high RoB. Synthesis identified internal, external, and intervention-related contributing factors. These factors were presented in a conceptual framework figure, highlighting that adherence should not be viewed as a binary concept but rather as a dynamic behaviour shaped by interrelated factors. Moderate-certainty evidence supports the impact of psychosocial factors, healthcare professional (HCP) characteristics, environmental and time-related factors, program design, progression, home-exercise program (HEP), modalities, and follow-up. Low-to-moderate-certainty evidence suggests beliefs, patient-related characteristics, and treatment setting also impact adherence. Low-certainty evidence indicates that feedback, symptoms and impairments, and confidence possibly impact adherence. Conclusions: This systematic review highlights the complex, context-dependent interplay of factors impacting adherence to ET in individuals with nsCLBP. Overall, these findings underscore the need for personalised, context-sensitive interventions that address the broad spectrum of factors, while future research should focus on validated adherence assessment tools. Full article
(This article belongs to the Section Clinical Pediatrics)
Show Figures

Figure 1

26 pages, 3150 KB  
Case Report
Metabolic Disorders in Transition Dairy Cows in a 500-Cow Herd—Analysis, Prevention and Follow-Up
by Melanie Schären-Bannert, Benno Waurich, Fanny Rachidi, Adriana Wöckel, Wolf Wippermann, Julia Wittich, Guntram Hermenau, Erik Bannert, Peter Hufe, Detlef May, Sven Dänicke, Hermann Swalve and Alexander Starke
Dairy 2025, 6(5), 49; https://doi.org/10.3390/dairy6050049 - 1 Sep 2025
Viewed by 947
Abstract
Managing transition cows and preventing diseases related to this period is challenging due to the latter’s multifactorial nature. The aim of this applied observational case study is to illustrate and discuss the different aspects involved and provide an approach to analysis and the [...] Read more.
Managing transition cows and preventing diseases related to this period is challenging due to the latter’s multifactorial nature. The aim of this applied observational case study is to illustrate and discuss the different aspects involved and provide an approach to analysis and the resulting management solutions using a real-life case within a 500-cow herd. The initial assessment, involving the collection of data on the level of production, animal health and behaviour, and metabolic indicators, as well as management and housing key indicators, revealed key risk factors, including overcrowding, suboptimal feeding strategies, inadequate water supply, and insufficient disease monitoring. These factors contributed to increased cases of metabolic disorders such as hypocalcemia (annual incidence 7.8%), excessive lipomobilisation, and displaced abomasum (annual incidence 5.2%). A holistic approach combining feeding adjustments, disease monitoring, facility improvements, and long-term management strategies was implemented to address these challenges. Short-term interventions, such as optimizing the dietary cation–anion balance and enhancing disease detection protocols, led to noticeable improvements. However, structural constraints and external factors, such as extreme weather conditions (heat stress) and economic limitations, created significant hurdles in achieving immediate and sustained success. The farm ultimately opted for infrastructural improvements, including a new transition cow facility, to provide a long-term solution to these recurring issues. This case highlights the complexity of transition cow management, demonstrating that long-term success depends on continuous monitoring, interdisciplinary collaboration, and adaptability in response to evolving challenges in dairy production. Full article
Show Figures

Figure 1

15 pages, 373 KB  
Article
Diagnosing Structural Change in Digital Interventions: A Configurational Evaluation Framework
by Nachiket Mor, Ritika Ramasuri and Divya Saraf
Information 2025, 16(9), 714; https://doi.org/10.3390/info16090714 - 22 Aug 2025
Viewed by 919
Abstract
Digital interventions are widely promoted as levers of institutional change, yet their effects often prove fragile. We examine why some interventions persist while others fade. Using crisp-set Qualitative Comparative Analysis (csQCA) on 13 large-scale cases from India and abroad, we identify the configurations [...] Read more.
Digital interventions are widely promoted as levers of institutional change, yet their effects often prove fragile. We examine why some interventions persist while others fade. Using crisp-set Qualitative Comparative Analysis (csQCA) on 13 large-scale cases from India and abroad, we identify the configurations of conditions under which digital systems become self-sustaining. We conceptualise persistence as a shift in the Nash equilibrium: when incentives realign, the new behaviour maintains itself without continuing external push. The analysis shows that software openness is neither necessary nor sufficient for durable change. Instead, six non-technological conditions—regulatory enablement, a credible revenue model, substantial scale, a clearly targeted systemic barrier, presence of enabling prerequisites, and sufficient time—are each necessary and, in combination, sufficient for an equilibrium shift; no single condition is enough on its own. Successful cases (e.g., Aadhaar, UPI, Chalo, Swiggy) meet these conditions in combination, whereas others (e.g., ONDC, DIKSHA, ICDS-CAS) illustrate how missing elements limit institutional embedding. The paper contributes a theory-informed diagnostic that links game-theoretic stability to configurational evaluation and provides practical “if–then” decision rules for appraisal. We argue that policy and investment decisions should prioritise incentive-compatible ecosystems over software attributes, and judge success by whether interventions reconfigure the rules of the game rather than by short-term uptake. This perspective clarifies when digital systems can contribute to sustainable, inclusive institutional transformation. Full article
Show Figures

Figure 1

20 pages, 502 KB  
Article
The Effect of Gymnema Sylvestre on Motivation to Consume Sweet Foods—A Qualitative Investigation
by Imogen Nelson, Rozanne Kruger, David Hsiao, Eric Stice and Ajmol Ali
Nutrients 2025, 17(17), 2718; https://doi.org/10.3390/nu17172718 - 22 Aug 2025
Viewed by 2607
Abstract
Background/Objectives: Excessive intake of sugar-sweetened food (SSF) increases obesity risk. Various psychological, physiological, and environmental factors may drive high consumption of SSF. Due to blocking sweet tastes, the herb Gymnema sylvestre (GS) has been shown to reduce SSF consumption, but its impact on [...] Read more.
Background/Objectives: Excessive intake of sugar-sweetened food (SSF) increases obesity risk. Various psychological, physiological, and environmental factors may drive high consumption of SSF. Due to blocking sweet tastes, the herb Gymnema sylvestre (GS) has been shown to reduce SSF consumption, but its impact on motivation to eat SSF is unknown. This research aimed to qualitatively investigate adults’ perceptions regarding effects of GS on their motivation to eat SSF when administered systematically (three times/day in-between meals, i.e., GS-SYS treatment) or ad libitum (up to six times/day at participants’ discretion, i.e., GS-ADLIB) over 14 days, compared to placebo (taste-matched mint; PLAC-SYS). Methods: This study represents the qualitative investigation of a placebo-controlled randomised cross-over trial, conducted as three 14-day phases. The qualitative investigation included interviews at baseline and three post-testing phases. Seven participants (mean age 34.7 ± 13.8 years; two males, five females) agreed to participate. Twenty-eight interviews (across phases) were thematically analysed using NVivo software, identifying themes and highlighting changes in motivation to eat SSFs across the study. Results: The GS-SYS and GS-ADLIB treatments made SSFs unpleasant to eat and increased mindful eating, subsequently increasing motivation to avoid SSFs. External factors could increase or decrease motivation, depending on individual circumstances. Participants preferred GS-SYS and GS-ADLIB over PLAC-SYS, feeling it was more effective at changing behaviours related to SSF intake. Self-control over SSF intake changed during the study, mostly due to external factors, and in part GS-ADLIB. Conclusions: Participants found both GS administrations successful as motivation to avoid SSF; GS-ADLIB was considered most effective. Full article
(This article belongs to the Section Phytochemicals and Human Health)
Show Figures

Figure 1

Back to TopTop