Sign in to use this feature.

Years

Between: -

Subjects

remove_circle_outline
remove_circle_outline
remove_circle_outline
remove_circle_outline
remove_circle_outline
remove_circle_outline
remove_circle_outline
remove_circle_outline
remove_circle_outline

Journals

Article Types

Countries / Regions

Search Results (88)

Search Parameters:
Keywords = external knowledge graph

Order results
Result details
Results per page
Select all
Export citation of selected articles as:
19 pages, 912 KB  
Article
Large Language Model and Knowledge Graph-Driven AJCC Staging of Prostate Cancer Using Pathology Reports
by Eunbeen Jo, Tae Il Noh and Hyung Joon Joo
Diagnostics 2025, 15(19), 2474; https://doi.org/10.3390/diagnostics15192474 - 27 Sep 2025
Viewed by 269
Abstract
Background/Objectives: To develop an automated American Joint Committee on Cancer (AJCC) staging system for radical prostatectomy pathology reports using large language model-based information extraction and knowledge graph validation. Methods: Pathology reports from 152 radical prostatectomy patients were used. Five additional parameters [...] Read more.
Background/Objectives: To develop an automated American Joint Committee on Cancer (AJCC) staging system for radical prostatectomy pathology reports using large language model-based information extraction and knowledge graph validation. Methods: Pathology reports from 152 radical prostatectomy patients were used. Five additional parameters (Prostate-specific antigen (PSA) level, metastasis stage (M-stage), extraprostatic extension, seminal vesicle invasion, and perineural invasion) were extracted using GPT-4.1 with zero-shot prompting. A knowledge graph was constructed to model pathological relationships and implement rule-based AJCC staging with consistency validation. Information extraction performance was evaluated using a local open-source large language model (LLM) (Mistral-Small-3.2-24B-Instruct) across 16 parameters. The LLM-extracted information was integrated into the knowledge graph for automated AJCC staging classification and data consistency validation. The developed system was further validated using pathology reports from 88 radical prostatectomy patients in The Cancer Genome Atlas (TCGA) dataset. Results: Information extraction achieved an accuracy of 0.973 and an F1-score of 0.986 on the internal dataset, and 0.938 and 0.968, respectively, on external validation. AJCC staging classification showed macro-averaged F1-scores of 0.930 and 0.833 for the internal and external datasets, respectively. Knowledge graph-based validation detected data inconsistencies in 5 of 150 cases (3.3%). Conclusions: This study demonstrates the feasibility of automated AJCC staging through the integration of large language model information extraction and knowledge graph-based validation. The resulting system enables privacy-protected clinical decision support for cancer staging applications with extensibility to broader oncologic domains. Full article
(This article belongs to the Section Machine Learning and Artificial Intelligence in Diagnostics)
Show Figures

Figure 1

29 pages, 651 KB  
Systematic Review
Retrieval-Augmented Generation (RAG) in Healthcare: A Comprehensive Review
by Fnu Neha, Deepshikha Bhati and Deepak Kumar Shukla
AI 2025, 6(9), 226; https://doi.org/10.3390/ai6090226 - 11 Sep 2025
Viewed by 3306
Abstract
Retrieval-Augmented Generation (RAG) enhances large language models (LLMs) by integrating external knowledge retrieval to improve factual consistency and reduce hallucinations. Despite growing interest, its use in healthcare remains fragmented. This paper presents a Systematic Literature Review (SLR) following PRISMA guidelines, synthesizing 30 peer-reviewed [...] Read more.
Retrieval-Augmented Generation (RAG) enhances large language models (LLMs) by integrating external knowledge retrieval to improve factual consistency and reduce hallucinations. Despite growing interest, its use in healthcare remains fragmented. This paper presents a Systematic Literature Review (SLR) following PRISMA guidelines, synthesizing 30 peer-reviewed studies on RAG in clinical domains, focusing on three of its most prevalent and promising applications in diagnostic support, electronic health record (EHR) summarization, and medical question answering. We synthesize the existing architectural variants (naïve, advanced, and modular) and examine their deployment across these applications. Persistent challenges are identified, including retrieval noise (irrelevant or low-quality retrieved information), domain shift (performance degradation when models are applied to data distributions different from their training set), generation latency, and limited explainability. Evaluation strategies are compared using both standard metrics and clinical-specific metrics, FactScore, RadGraph-F1, and MED-F1, which are particularly critical for ensuring factual accuracy, medical validity, and clinical relevance. This synthesis offers a domain-focused perspective to guide researchers, healthcare providers, and policymakers in developing reliable, interpretable, and clinically aligned AI systems, laying the groundwork for future innovation in RAG-based healthcare solutions. Full article
Show Figures

Figure 1

24 pages, 2159 KB  
Article
Agentic RAG-Driven Multi-Omics Analysis for PI3K/AKT Pathway Deregulation in Precision Medicine
by Micheal Olaolu Arowolo, Sulaiman Olaniyi Abdulsalam, Rafiu Mope Isiaka, Kingsley Theophilus Igulu, Bukola Fatimah Balogun, Mihail Popescu and Dong Xu
Algorithms 2025, 18(9), 545; https://doi.org/10.3390/a18090545 - 30 Aug 2025
Viewed by 658
Abstract
The phosphoinositide 3-kinase (PI3K)/AKT signaling pathway is a crucial regulator of cellular metabolism, proliferation, and survival. It is frequently dysregulated in metabolic, cardiovascular, and neoplastic disorders. Despite the advancements in multi-omics technology, existing methods often fail to provide real-time, pathway-specific insights for precision [...] Read more.
The phosphoinositide 3-kinase (PI3K)/AKT signaling pathway is a crucial regulator of cellular metabolism, proliferation, and survival. It is frequently dysregulated in metabolic, cardiovascular, and neoplastic disorders. Despite the advancements in multi-omics technology, existing methods often fail to provide real-time, pathway-specific insights for precision medicine and drug repurposing. We offer Agentic RAG-Driven Multi-Omics Analysis (ARMOA), an autonomous, hypothesis-driven system that integrates retrieval-augmented generation (RAG), large language models (LLMs), and agentic AI to thoroughly analyze genomic, transcriptomic, proteomic, and metabolomic data. Through the use of graph neural networks (GNNs) to model complex interactions within the PI3K/AKT pathway, ARMOA enables the discovery of novel biomarkers, probable candidates for drug repurposing, and customized therapy responses to address the complexities of PI3K/AKT dysregulation in disease states. ARMOA dynamically gathers and synthesizes knowledge from multiple sources, including KEGG, TCGA, and DrugBank, to guarantee context-aware insights. Through adaptive reasoning, it gradually enhances predictions, achieving 91% accuracy in external testing and 92% accuracy in cross-validation. Case studies in breast cancer and type 2 diabetes demonstrate that ARMOA can identify synergistic drug combinations with high clinical relevance and predict therapeutic outcomes specific to each patient. The framework’s interpretability and scalability are greatly enhanced by its use of multi-omics data fusion and real-time hypothesis creation. ARMOA provides a cutting-edge example for precision medicine by integrating multi-omics data, clinical judgment, and AI agents. Its ability to provide valuable insights on its own makes it a powerful tool for advancing biomedical research and treatment development. Full article
(This article belongs to the Special Issue Advanced Algorithms for Biomedical Data Analysis)
Show Figures

Figure 1

28 pages, 10019 KB  
Article
The Impact of Urban Knowledge Networks in Facilitating Green Innovation Diffusion: A Multi-Layer Network Study
by Xiaoyi Shi, Feixue Sui and Chenhui Ding
Sustainability 2025, 17(17), 7672; https://doi.org/10.3390/su17177672 - 26 Aug 2025
Viewed by 798
Abstract
Against the backdrop of green and sustainable development, green innovation has become a central issue of concern for both society and academia. Based on regional innovation system and network theories, this study conceptualizes the urban knowledge base as a network structure rather than [...] Read more.
Against the backdrop of green and sustainable development, green innovation has become a central issue of concern for both society and academia. Based on regional innovation system and network theories, this study conceptualizes the urban knowledge base as a network structure rather than a simple collection of isolated knowledge elements. Using green patent licensing data, a multi-layer network is constructed, and the Exponential Random Graph Model (ERGM) is employed to examine the impact of urban knowledge network structures on city-level innovation diffusion. The study finds that in the green ICT field, cities’ deep embedding in knowledge networks weakens their ability to absorb external innovations, while broad embedding facilitates the introduction of external innovations. In the green transportation field, deep embedding in knowledge networks enhances the absorption of external innovations, whereas broad embedding has no significant effect. In both fields, knowledge combination potential and knowledge uniqueness promote the outward diffusion of local innovations but weaken the inflow of external innovations. This study not only offers theoretical insights into innovation diffusion at the city level but also provides guidance for policymakers in developing targeted urban sustainable development strategies. Full article
(This article belongs to the Special Issue Knowledge Management and Digital Transformation in Sustainability)
Show Figures

Figure 1

20 pages, 1818 KB  
Article
Image Captioning Model Based on Multi-Step Cross-Attention Cross-Modal Alignment and External Commonsense Knowledge Augmentation
by Liang Wang, Meiqing Jiao, Zhihai Li, Mengxue Zhang, Haiyan Wei, Yuru Ma, Honghui An, Jiaqi Lin and Jun Wang
Electronics 2025, 14(16), 3325; https://doi.org/10.3390/electronics14163325 - 21 Aug 2025
Viewed by 945
Abstract
To address the semantic mismatch between limited textual descriptions in image captioning training datasets and the multi-semantic nature of images, as well as the underutilized external commonsense knowledge, this article proposes a novel image captioning model based on multi-step cross-attention cross-modal alignment and [...] Read more.
To address the semantic mismatch between limited textual descriptions in image captioning training datasets and the multi-semantic nature of images, as well as the underutilized external commonsense knowledge, this article proposes a novel image captioning model based on multi-step cross-attention cross-modal alignment and external commonsense knowledge enhancement. The model employs a backbone architecture comprising CLIP’s ViT visual encoder, Faster R-CNN, BERT text encoder, and GPT-2 text decoder. It incorporates two core mechanisms: a multi-step cross-attention mechanism that iteratively aligns image and text features across multiple rounds, progressively enhancing inter-modal semantic consistency for more accurate cross-modal representation fusion. Moreover, the model employs Faster R-CNN to extract region-based object features. These features are mapped to corresponding entities within the dataset through entity probability calculation and entity linking. External commonsense knowledge associated with these entities is then retrieved from the ConceptNet knowledge graph, followed by knowledge embedding via TransE and multi-hop reasoning. Finally, the fused multimodal features are fed into the GPT-2 decoder to steer caption generation, enhancing the lexical richness, factual accuracy, and cognitive plausibility of the generated descriptions. In the experiments, the model achieves CIDEr scores of 142.6 on MSCOCO and 78.4 on Flickr30k. Ablations confirm both modules enhance caption quality. Full article
Show Figures

Figure 1

25 pages, 2296 KB  
Article
Multimedia Graph Codes for Fast and Semantic Retrieval-Augmented Generation
by Stefan Wagenpfeil
Electronics 2025, 14(12), 2472; https://doi.org/10.3390/electronics14122472 - 18 Jun 2025
Viewed by 1272
Abstract
Retrieval-Augmented Generation (RAG) has become a central approach to enhance the factual consistency and domain specificity of large language models (LLMs) by incorporating external context at inference time. However, most existing RAG systems rely on dense vector-based similarity, which fails to capture complex [...] Read more.
Retrieval-Augmented Generation (RAG) has become a central approach to enhance the factual consistency and domain specificity of large language models (LLMs) by incorporating external context at inference time. However, most existing RAG systems rely on dense vector-based similarity, which fails to capture complex semantic structures, relational dependencies, and multimodal content. In this paper, we introduce Graph Codes—a matrix-based encoding of Multimedia Feature Graphs—as an alternative retrieval paradigm. Graph Codes preserve semantic topology by explicitly encoding entities and their typed relationships from multimodal documents, enabling structure-aware and interpretable retrieval. We evaluate our system in two domains: multimodal scene understanding (200 annotated image-question pairs) and clinical question answering (150 real-world medical queries with 10,000 structured knowledge snippets). Results show that our method outperforms dense retrieval baselines in precision (+9–15%), reduces hallucination rates by over 30%, and yields higher expert-rated answer quality. Theoretically, this work demonstrates that symbolic similarity over typed semantic graphs provides a more faithful alignment mechanism than latent embeddings. Practically, it enables interpretable, modality-agnostic retrieval pipelines deployable in high-stakes domains such as medicine or law. We conclude that Graph Code-based RAG bridges the gap between structured knowledge representation and neural generation, offering a robust and explainable alternative to existing approaches. Full article
(This article belongs to the Special Issue AI Synergy: Vision, Language, and Modality)
Show Figures

Figure 1

36 pages, 3927 KB  
Article
Hybrid Multi-Agent GraphRAG for E-Government: Towards a Trustworthy AI Assistant
by George Papageorgiou, Vangelis Sarlis, Manolis Maragoudakis and Christos Tjortjis
Appl. Sci. 2025, 15(11), 6315; https://doi.org/10.3390/app15116315 - 4 Jun 2025
Viewed by 6072
Abstract
As public institutions increasingly adopt AI-driven virtual assistants to support transparency and citizen engagement, the need for explainable, accurate, and context-aware language systems becomes vital. While traditional retrieval-augmented generation (RAG) frameworks effectively integrate external knowledge into Large Language Models (LLMs), their reliance on [...] Read more.
As public institutions increasingly adopt AI-driven virtual assistants to support transparency and citizen engagement, the need for explainable, accurate, and context-aware language systems becomes vital. While traditional retrieval-augmented generation (RAG) frameworks effectively integrate external knowledge into Large Language Models (LLMs), their reliance on flat, unstructured document retrieval limits multi-hop reasoning and interpretability, especially with complex, structured e-government datasets. This study introduces a modular, extensible, multi-agent graph retrieval-augmented generation (GraphRAG) framework designed to enhance policy-focused question answering. This research aims to provide an overview of hybrid multi-agent GraphRAG architecture designed for operational deployment in e-government settings to support explainable AI systems. The study focuses on how the hybrid integration of standard RAG, embedding-based retrieval, real-time web search, and LLM-generated structured Graphs can optimize knowledge discovery from public e-government data, thereby reinforcing factual grounding, reducing hallucinations, and enhancing the quality of complex responses. To validate the proposed approach, we implement and evaluate the framework using the European Commission’s Press Corner as a data source, constructing graph-based knowledge representations and embeddings, and incorporating web search. This work establishes a reproducible blueprint for deploying AI systems in e-government that require structured reasoning in comprehensive and factually accurate question answering. Full article
Show Figures

Figure 1

34 pages, 3932 KB  
Article
Augmenting Orbital Debris Identification with Neo4j-Enabled Graph-Based Retrieval-Augmented Generation for Multimodal Large Language Models
by Daniel S. Roll, Zeyneb Kurt, Yulei Li and Wai Lok Woo
Sensors 2025, 25(11), 3352; https://doi.org/10.3390/s25113352 - 26 May 2025
Cited by 2 | Viewed by 2079
Abstract
This preliminary study covers the construction and application of a Graph-based Retrieval-Augmented Generation (GraphRAG) system integrating a multimodal LLM, Large Language and Vision Assistant (LLaVA) with graph database software (Neo4j) to enhance LLM output quality through structured knowledge retrieval. This is aimed at [...] Read more.
This preliminary study covers the construction and application of a Graph-based Retrieval-Augmented Generation (GraphRAG) system integrating a multimodal LLM, Large Language and Vision Assistant (LLaVA) with graph database software (Neo4j) to enhance LLM output quality through structured knowledge retrieval. This is aimed at the field of orbital debris detection, proposed to support the current intelligent methods for such detection by introducing the beneficial properties of both LLMs and a corpus of external information. By constructing a dynamic knowledge graph from relevant research papers, context-aware retrieval is enabled, improving factual accuracy and minimizing hallucinations. The system extracts, summarizes, and embeds research papers into a Neo4j graph database, with API-powered LLM-generated relationships enriching interconnections. Querying this graph allows for contextual ranking of relevant documents, which are then provided as context to the LLM through prompt engineering during the inference process. A case study applying the technology to a synthetic image of orbital debris is discussed. Qualitative results indicate that the inclusion of GraphRAG and external information result in successful retrieval of information and reduced hallucinations. Further work to refine the system is necessary, as well as establishing benchmark tests to assess performance quantitatively. This approach offers a scalable and interpretable method for enhanced domain-specific knowledge retrieval, improving the qualitative quality of the LLM’s output when tasked with description-based activities. Full article
(This article belongs to the Special Issue Feature Papers in Smart Sensing and Intelligent Sensors 2025)
Show Figures

Figure 1

20 pages, 1902 KB  
Article
Distantly Supervised Relation Extraction Method Based on Multi-Level Hierarchical Attention
by Zhaoxin Xuan, Hejing Zhao, Xin Li and Ziqi Chen
Information 2025, 16(5), 364; https://doi.org/10.3390/info16050364 - 29 Apr 2025
Cited by 1 | Viewed by 668
Abstract
Distantly Supervised Relation Extraction (DSRE) aims to automatically identify semantic relationships within large text corpora by aligning with external knowledge bases. Despite the success of current methods in automating data annotation, they introduce two main challenges: label noise and data long-tail distribution. Label [...] Read more.
Distantly Supervised Relation Extraction (DSRE) aims to automatically identify semantic relationships within large text corpora by aligning with external knowledge bases. Despite the success of current methods in automating data annotation, they introduce two main challenges: label noise and data long-tail distribution. Label noise results in inaccurate annotations, which can undermine the quality of relation extraction. The long-tail problem, on the other hand, leads to an imbalanced model that struggles to extract less frequent, long-tail relations. In this paper, we introduce a novel relation extraction framework based on multi-level hierarchical attention. This approach utilizes Graph Attention Networks (GATs) to model the hierarchical structure of the relations, capturing the semantic dependencies between relation types and generating relation embeddings that reflect the overall hierarchical framework. To improve the classification process, we incorporate a multi-level classification structure guided by hierarchical attention, which enhances the accuracy of both head and tail relation extraction. A local probability constraint is introduced to ensure coherence across the classification levels, fostering knowledge transfer from frequent to less frequent relations. Experimental evaluations on the New York Times (NYT) dataset demonstrate that our method outperforms existing baselines, particularly in the context of long-tail relation extraction, offering a comprehensive solution to the challenges of DSRE. Full article
Show Figures

Figure 1

15 pages, 3027 KB  
Article
TQAgent: Enhancing Table-Based Question Answering with Knowledge Graphs and Tree-Structured Reasoning
by Jianbin Zhao, Pengfei Zhang, Yuzhen Wang, Rui Xin, Xiuyuan Lu, Ripeng Li, Shuai Lyu, Zhonghong Ou and Meina Song
Appl. Sci. 2025, 15(7), 3788; https://doi.org/10.3390/app15073788 - 30 Mar 2025
Cited by 1 | Viewed by 2158
Abstract
Table-based question answering (TableQA) has emerged as an important task in natural language processing, yet existing models face challenges in handling complex reasoning and mitigating hallucinations, especially when dealing with diverse table structures. We introduce TQAgent, a framework designed to enhance table-based reasoning [...] Read more.
Table-based question answering (TableQA) has emerged as an important task in natural language processing, yet existing models face challenges in handling complex reasoning and mitigating hallucinations, especially when dealing with diverse table structures. We introduce TQAgent, a framework designed to enhance table-based reasoning by incorporating knowledge graphs and tree-structured reasoning paths. TQAgent reduces hallucinations and improves model reliability by grounding reasoning in external knowledge and dynamically sampling high-confidence paths. Additionally, it employs knowledge distillation techniques for lightweight deployment. Experimental results on the TabFact, WikiTQ, and FeTaQA datasets show significant performance improvements, with accuracy increases of up to 4% over baseline models. TQAgent’s dynamic operation planning and knowledge graph integration enable effective multi-step reasoning and better handling of diverse table data. Furthermore, the framework achieves state-of-the-art results, surpassing traditional large-scale models in both reasoning accuracy and computational efficiency. These findings open new avenues for future research in table-based question answering and model deployment optimization. Full article
Show Figures

Figure 1

19 pages, 3392 KB  
Article
Tension-Aware Motion Planning for Tethered Robots
by Rogério R. Lima and Guilherme A. S. Pereira
Robotics 2025, 14(2), 11; https://doi.org/10.3390/robotics14020011 - 28 Jan 2025
Viewed by 1348
Abstract
This paper presents a path-planning approach for tethered robots. The proposed planner finds paths that minimize the tether tension due to tether–obstacle and tether–floor interaction. The method assumes that the tether is managed externally by a tether management system and pulled by the [...] Read more.
This paper presents a path-planning approach for tethered robots. The proposed planner finds paths that minimize the tether tension due to tether–obstacle and tether–floor interaction. The method assumes that the tether is managed externally by a tether management system and pulled by the robot. The planner is initially formulated for ground robots in a 2D environment and then extended for 3D scenarios, where it can be applied to tethered aerial and underwater vehicles. The proposed approach assumes a taut tether between two consecutive contact points and knowledge of the coefficient of friction of the obstacles present in the environment. The method first computes the visibility graph of the environment, in which each node represents a vertex of an obstacle. Then, a second graph, named the tension-aware graph, is built so that the tether–environment interaction, formulated in terms of tension, is computed and used as the cost of the edges. A graph search algorithm (e.g., Dijkstra) is then used to compute a path with minimum tension, which can help the tethered robot reach longer distances by minimizing the tension required to drag the tether along the way. This paper presents simulations and a real-world experiment that illustrate the characteristics of the method. Full article
(This article belongs to the Special Issue Autonomous Robotics for Exploration)
Show Figures

Figure 1

19 pages, 913 KB  
Article
SC-TKGR: Temporal Knowledge Graph-Based GNN for Recommendations in Supply Chains
by Mingjie Wang, Yifan Huo, Junhong Zheng and Lili He
Electronics 2025, 14(2), 222; https://doi.org/10.3390/electronics14020222 - 7 Jan 2025
Cited by 2 | Viewed by 2638
Abstract
Graph neural networks (GNNs) are widely used in recommendation systems to improve prediction performance, especially in scenarios with diverse behaviors and complex user interactions within supply chains. However, while existing models have achieved certain success in capturing the temporal and dynamic aspects of [...] Read more.
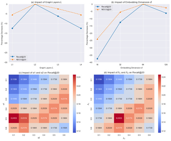
Graph neural networks (GNNs) are widely used in recommendation systems to improve prediction performance, especially in scenarios with diverse behaviors and complex user interactions within supply chains. However, while existing models have achieved certain success in capturing the temporal and dynamic aspects of supply chain behaviors, challenges remain in effectively addressing the time-sensitive fluctuations of market demands and user preferences. Motivated by these challenges, we propose SC-TKGR, a supply chain recommendation framework based on temporal knowledge graphs. It employs enhanced time-sensitive graph embedding methods to model behavioral temporal characteristics, incorporates external factors to capture market dynamics, and utilizes contrastive learning to handle sparse information efficiently. Additionally, static feature knowledge graph embeddings are incorporated to complement temporal modeling by capturing complex retailer–product relationships. Experiments on real-world electrical equipment industry datasets demonstrate that SC-TKGR achieves superior performance in NDCG and Recall metrics, offering a robust approach for capturing trend-level demand shifts and market dynamics in supply chain recommendations, thereby aiding strategic planning at a monthly scale and operational adjustments. Full article
Show Figures

Figure 1

22 pages, 1078 KB  
Article
An Event Causality Identification Framework Using Ensemble Learning
by Xiaoyang Wang, Wenjie Luo and Xiudan Yang
Information 2025, 16(1), 32; https://doi.org/10.3390/info16010032 - 7 Jan 2025
Cited by 2 | Viewed by 1262
Abstract
Event causality identification is an upstream operation for many tasks, including knowledge graphs and intelligent question-and-answer systems. The latest models introduce external knowledge and then use deep learning for causality prediction. However, event causality recognition still faces problems such as data imbalance and [...] Read more.
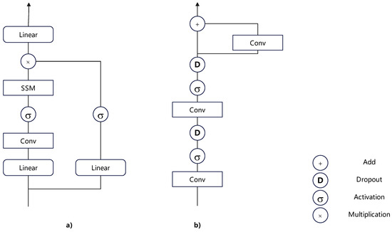
Event causality identification is an upstream operation for many tasks, including knowledge graphs and intelligent question-and-answer systems. The latest models introduce external knowledge and then use deep learning for causality prediction. However, event causality recognition still faces problems such as data imbalance and insufficient event content richness. Additionally, previous frameworks have utilized a single model, but these frequently produce unsatisfactory outcomes such as lower precision rates and lower recall rates. We propose the concept of ensemble learning, which combines multiple models to achieve frameworks that perform as well as or better than the latest models. This framework combines the advantages of Mamba, a temporal convolutional network, and graph computation to identify event causality more effectively and accurately. After comparing our framework to standard datasets, our F1-scores (measures of model accuracy) are essentially the same as those of the state-of-the-art (SOTA) methods on one dataset. Full article
(This article belongs to the Section Artificial Intelligence)
Show Figures

Figure 1

23 pages, 1267 KB  
Article
KELLM: Knowledge-Enhanced Label-Wise Large Language Model for Safe and Interpretable Drug Recommendation
by Tianhan Xu and Bin Li
Electronics 2025, 14(1), 154; https://doi.org/10.3390/electronics14010154 - 2 Jan 2025
Cited by 2 | Viewed by 2029
Abstract
The proliferation of electronic health records (EHRs) and advances in deep learning have enabled personalized drug combination recommendations. However, traditional deep learning models often lack the contextual understanding and medical knowledge integration necessary for accurate predictions. While large language model (LLM)-based approaches address [...] Read more.
The proliferation of electronic health records (EHRs) and advances in deep learning have enabled personalized drug combination recommendations. However, traditional deep learning models often lack the contextual understanding and medical knowledge integration necessary for accurate predictions. While large language model (LLM)-based approaches address some of these challenges, they still fall short in incorporating critical medical knowledge, addressing comprehensive safety constraints such as multi-disease drug contraindications (MDCs), and providing sufficient interpretability of the causal mechanisms behind their outputs. To overcome these limitations, we propose KELLM, a knowledge-enhanced LLM framework for drug recommendations. By linking medical entities in EHRs to an external medical knowledge graph, inputs are enriched with causal chains, enhancing both prediction accuracy and interpretability. Additionally, we introduce a fine-tuned label-wise LLaMA model designed for multi-label classification, which incorporates safety considerations such as drug-drug interactions (DDIs) and MDCs to ensure clinically accurate and safe recommendations. Experimental results show that KELLM achieves state-of-the-art performance in effectiveness and safety metrics, while also providing evidence-based insights through causal chains that clarify its reasoning process. This establishes a new benchmark for trustworthy, interpretable drug combination recommendations. Full article
(This article belongs to the Special Issue Advanced Natural Language Processing Technology and Applications)
Show Figures

Figure 1

17 pages, 3169 KB  
Article
Knowledge Reasoning- and Progressive Distillation-Integrated Detection of Electrical Construction Violations
by Bin Ma, Gang Liang, Yufei Rao, Wei Guo, Wenjie Zheng and Qianming Wang
Sensors 2024, 24(24), 8216; https://doi.org/10.3390/s24248216 - 23 Dec 2024
Cited by 1 | Viewed by 897
Abstract
To address the difficulty in detecting workers’ violation behaviors in electric power construction scenarios, this paper proposes an innovative method that integrates knowledge reasoning and progressive multi-level distillation techniques. First, standards, norms, and guidelines in the field of electric power construction are collected [...] Read more.
To address the difficulty in detecting workers’ violation behaviors in electric power construction scenarios, this paper proposes an innovative method that integrates knowledge reasoning and progressive multi-level distillation techniques. First, standards, norms, and guidelines in the field of electric power construction are collected to build a comprehensive knowledge graph, aiming to provide accurate knowledge representation and normative analysis. Then, the knowledge graph is combined with the object-detection model in the form of triplets, where detected objects and their interactions are represented as subject–predicate–object relationship. These triplets are embedded into the model using an adaptive connection network, which dynamically weights the relevance of external knowledge to enhance detection accuracy. Furthermore, to enhance the model’s performance, the paper designs a progressive multi-level distillation strategy. On one hand, knowledge transfer is conducted at the object level, region level, and global level, significantly reducing the loss of contextual information during distillation. On the other hand, two teacher models of different scales are introduced, employing a two-stage distillation strategy where the advanced teacher guides the primary teacher in the first stage, and the primary teacher subsequently distills this knowledge to the student model in the second stage, effectively bridging the scale differences between the teacher and student models. Experimental results demonstrate that under the proposed method, the model size is reduced from 14.5 MB to 3.8 MB, and the floating-point operations (FLOPs) are reduced from 15.8 GFLOPs to 5.9 GFLOPs. Despite these optimizations, the AP50 reaches 92.4%, showing a 1.8% improvement compared to the original model. These results highlight the method’s effectiveness in accurately detecting workers’ violation behaviors, providing a quantitative basis for its superiority and offering a novel approach for safety management and monitoring at construction sites. Full article
Show Figures

Figure 1

Back to TopTop