SC-TKGR: Temporal Knowledge Graph-Based GNN for Recommendations in Supply Chains
Abstract
1. Introduction
- We propose a Hierarchical Service Module that aggregates supply information from service providers, suppliers, manufacturers, and retailers using hierarchical GNNs. This module explores complex relationships among supply chain entities, enhancing the model’s ability to capture global supply chain dynamics.
- We develop a temporal knowledge graph module to capture retailer demand variations over time. By incorporating contrastive learning and temporal sequence loss functions, the model enhances the sensitivity and discriminability of temporal embeddings, dynamically adjusting recommendations to better reflect real-time retailer demands.
- We propose a joint optimization framework that effectively integrates supply chain information, temporal dynamics, and recommendation needs. By leveraging self-supervised learning, the framework improves the model’s ability to handle data sparsity and heterogeneity, enhancing recommendation adaptability and quality under complex conditions.
2. Related Work
2.1. Graph Neural Networks for Recommendation
2.2. Temporal Knowledge Graphs and Recommendations
2.3. Contrastive Learning and Recommendations
3. Preliminaries
- Hierarchical Service Graph: The hierarchical service graph is a weighted directed graph , where includes service providers , suppliers , manufacturers , and retailers . The edge set represents hierarchical service relationships, and the edge weights indicate the quantity of services or physical products provided at a specific time point.
- Temporal Knowledge Graph: The temporal knowledge graph consists of quadruples , where h and t are entities, r is a behavioral relationship (e.g., “purchase”), and is the timestamp of the interaction. This graph captures the temporal behaviors of retailers and integrates external influence subgraphs to reflect dynamic factors.
- Static Feature Knowledge Graph: The static feature knowledge graph is composed of triples , where s is the subject entity, p is the predicate, and o is the object entity. This graph represents the static attributes of retailers and products.
- Task Definition: Based on the above definitions, the recommendation task is formulated as follows:
- −
- Input: A hierarchical service graph with supply weights, a temporal knowledge graph with external influences , and a static feature knowledge graph .
- −
- Output: Predict the recommendation score for each retailer and product .
4. Methodology
4.1. Hierarchical Service Module
4.2. Static Feature Module
4.3. Temporal Behavior Enhancement Module
4.4. Joint Optimization Module
5. Experimental Evaluation
5.1. Experimental Design
5.1.1. Dataset
5.1.2. Baselines
- BPR-MF [34]: Enhances pairwise matrix factorization for implicit feedback by optimizing with Bayesian Personalized Ranking (BPR) loss, effectively learning user–item implicit interactions.
- LightGCN [11]: A lightweight graph neural network that simplifies GCN operations to focus solely on neighbor aggregation, making it highly scalable for large recommendation tasks.
- NGCF [35]: A graph-based framework incorporating collaborative filtering signals into message passing, capturing higher-order connectivity between users and items.
- KGAT [22]: Introduces an attention mechanism to learn high-order dependencies within knowledge graphs, enhancing representation of users and items.
- KGIN [23]: A GNN-based model that captures relational structures in knowledge graphs, modeling user preferences with auxiliary semantic signals.
- KGCL [30]: Utilizes contrastive learning to refine knowledge graph representations, mitigating noise and addressing long-tail item challenges.
- NMTR [36]: A cascaded model designed to capture user behavior dependencies, improving multi-behavior recommendation performance.
- MBGCN [37]: Leverages graph convolutional networks to perform behavior-aware embedding propagation, effectively modeling multiple user interactions.
- CML [28]: Integrates contrastive learning into multi-behavior recommendation and leverages losses to extract knowledge across behavior types.
5.1.3. Evaluation Metrics
5.1.4. Experimental Setup
5.2. Performance Comparison
5.2.1. Recommendation Performance Overview
5.2.2. Computational Efficiency and Memory Usage
5.3. Ablation Study
- w/o-SC: Removes the Hierarchical Service Module.
- w/o-BH: Removes the temporal behavior enhancement module.
- w/o-ST: Removes the static feature module.
5.4. Impact of Temporal Dynamics
5.4.1. Effect of Different Time Window Sizes
5.4.2. Effect of Temporal Sensitivity Enhancements
- w/o-TCL: Removes the temporal contrastive loss while retaining the base TKG embedding.
- w/o-TOL: Removes the temporal order loss to assess its impact on performance.
- w/o-TS: Removes both temporal contrastive loss and temporal order loss to evaluate the combined effect.
- w/o-EXT: Excludes the external factors module to evaluate its contribution to the model’s robustness and overall performance.
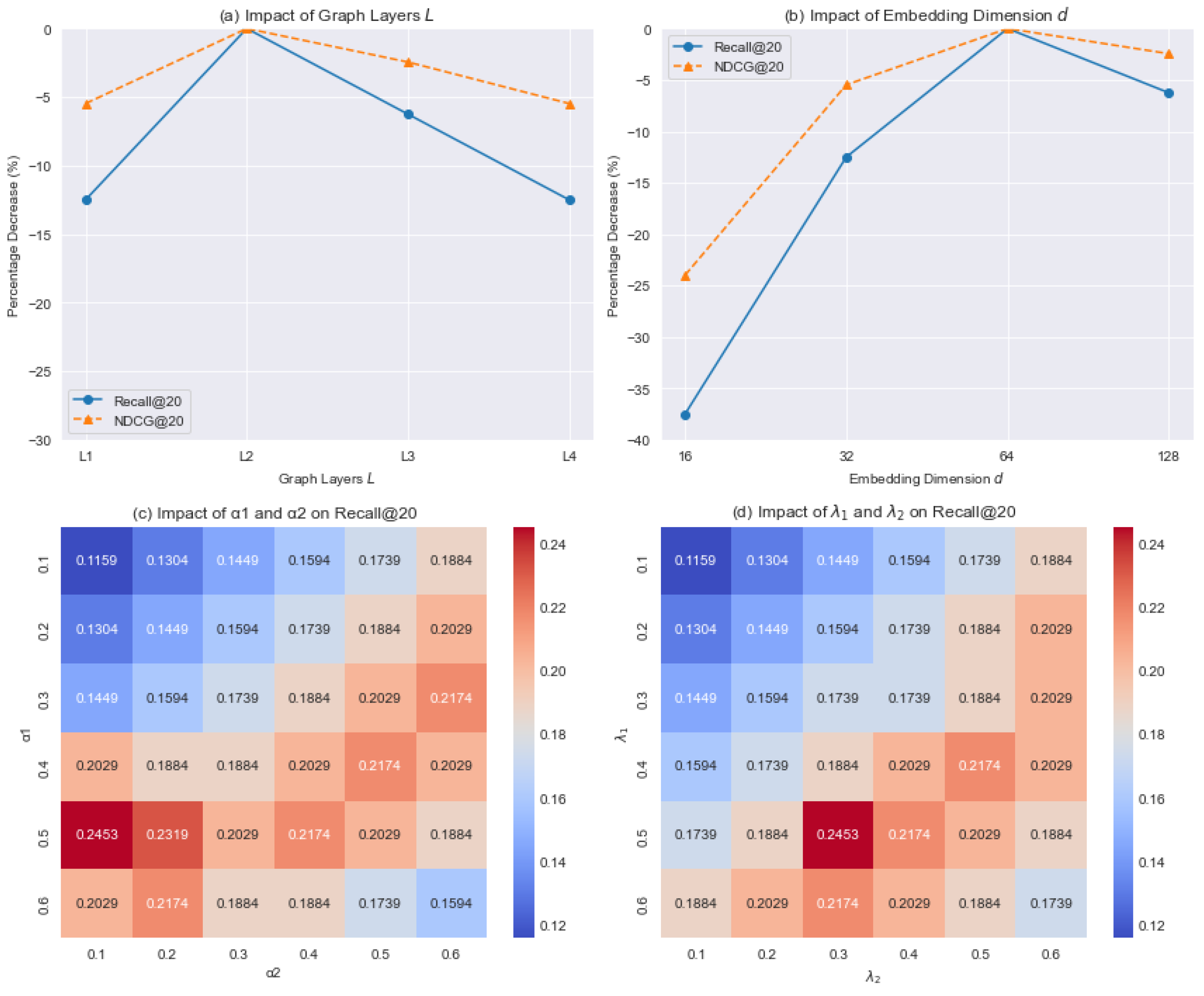
5.5. Hyperparameter Study
6. Conclusions
Author Contributions
Funding
Institutional Review Board Statement
Informed Consent Statement
Data Availability Statement
Conflicts of Interest
References
- He, X.; Liao, L.; Zhang, H.; Nie, L.; Hu, X.; Chua, T.S. Neural collaborative filtering. In Proceedings of the 26th International Conference on World Wide Web, Perth, Australia, 3–7 April 2017; pp. 173–182. [Google Scholar]
- Liu, C.H.; Xu, J.; Tang, J.; Crowcroft, J. Social-Aware Sequential Modeling of User Interests: A Deep Learning Approach. IEEE Trans. Knowl. Data Eng. 2019, 31, 2200–2212. [Google Scholar] [CrossRef]
- Raza, S.; Rahman, M.; Kamawal, S.; Toroghi, A.; Raval, A.; Navah, F.; Kazemeini, A. A Comprehensive Review of Recommender Systems: Transitioning from Theory to Practice. arXiv 2024, arXiv:2407.13699. [Google Scholar]
- Steck, H.; Baltrunas, L.; Elahi, E.; Liang, D.; Raimond, Y.; Basilico, J. Deep learning for recommender systems: A Netflix case study. AI Mag. 2021, 42, 7–18. [Google Scholar] [CrossRef]
- Xia, L.; Huang, C.; Xu, Y.; Dai, P.; Bo, L. Multi-behavior graph neural networks for recommender system. IEEE Trans. Neural Netw. Learn. Syst. 2022, 35, 5473–5487. [Google Scholar] [CrossRef] [PubMed]
- Sun, J.; Gao, L.; Shen, X.; Liu, S.; Liang, R.; Du, S.; Liu, S. Separated graph neural networks for recommendation systems. IEEE Trans. Ind. Inform. 2022, 19, 382–393. [Google Scholar] [CrossRef]
- Mai, P.; Pang, Y. Vertical federated graph neural network for recommender system. In Proceedings of the International Conference on Machine Learning, PMLR, Honolulu, HI, USA, 23–29 July 2023; pp. 23516–23535. [Google Scholar]
- Peng, T.; Gan, M.; Ou, Q.; Yang, X.; Wei, L.; Ler, H.R.; Yu, H. Railway cold chain freight demand forecasting with graph neural networks: A novel GraphARMA-GRU model. Expert Syst. Appl. 2024, 255, 124693. [Google Scholar] [CrossRef]
- Kim, S.; Park, E. STAD-GCN: Spatial–Temporal Attention-based Dynamic Graph Convolutional Network for retail market price prediction. Expert Syst. Appl. 2024, 255, 124553. [Google Scholar] [CrossRef]
- Mao, K.; Zhu, J.; Xiao, X.; Lu, B.; Wang, Z.; He, X. UltraGCN: Ultra simplification of graph convolutional networks for recommendation. In Proceedings of the 30th ACM International Conference on Information & Knowledge Management, Online, 1–5 November 2021; pp. 1253–1262. [Google Scholar]
- He, X.; Deng, K.; Wang, X.; Li, Y.; Zhang, Y.; Wang, M. Lightgcn: Simplifying and powering graph convolution network for recommendation. In Proceedings of the 43rd International ACM SIGIR Conference on Research and Development in Information Retrieval, Virtual, 25–30 July 2020; pp. 639–648. [Google Scholar]
- Tang, J.; Qu, M.; Wang, M.; Zhang, M.; Yan, J.; Mei, Q. Line: Large-scale information network embedding. In Proceedings of the 24th International Conference on World Wide Web, Florence, Italy, 18–22 May 2015; pp. 1067–1077. [Google Scholar]
- Wu, Z.; Pan, S.; Chen, F.; Long, G.; Zhang, C.; Philip, S.Y. A comprehensive survey on graph neural networks. IEEE Trans. Neural Networks Learn. Syst. 2020, 32, 4–24. [Google Scholar] [CrossRef] [PubMed]
- Mezni, H. Temporal knowledge graph embedding for effective service recommendation. IEEE Trans. Serv. Comput. 2021, 15, 3077–3088. [Google Scholar] [CrossRef]
- Chen, W.; Wan, H.; Guo, S.; Huang, H.; Zheng, S.; Li, J.; Lin, S.; Lin, Y. Building and exploiting spatial–temporal knowledge graph for next POI recommendation. Knowl.-Based Syst. 2022, 258, 109951. [Google Scholar] [CrossRef]
- Zhang, X.; Zhang, L.; Bi, X.; Yu, G.; Cao, R.; Chen, Y. TKMBR: Temporal Knowledge Graph-based Multi-Behavior Recommendation. In Proceedings of the 2024 International Joint Conference on Neural Networks (IJCNN), Yokohama, Japan, 30 June–5 July 2024; IEEE: New York, NY, USA, 2024; pp. 1–8. [Google Scholar]
- Zou, D.; Wei, W.; Mao, X.L.; Wang, Z.; Qiu, M.; Zhu, F.; Cao, X. Multi-level cross-view contrastive learning for knowledge-aware recommender system. In Proceedings of the 45th International ACM SIGIR Conference on Research and Development in Information Retrieval, Madrid, Spain, 11–15 July 2022; pp. 1358–1368. [Google Scholar]
- Yang, Y.; Huang, C.; Xia, L.; Li, C. Knowledge graph contrastive learning for recommendation. In Proceedings of the 45th International ACM SIGIR Conference on Research and Development in Information Retrieval, Madrid, Spain, 11–15 July 2022; pp. 1434–1443. [Google Scholar]
- Xie, X.; Sun, F.; Liu, Z.; Wu, S.; Gao, J.; Zhang, J.; Ding, B.; Cui, B. Contrastive learning for sequential recommendation. In Proceedings of the 2022 IEEE 38th International Conference on Data Engineering (ICDE), Virtual, 9–12 May 2022; IEEE: New York, NY, USA, 2022; pp. 1259–1273. [Google Scholar]
- Wang, W.; Zhang, W.; Liu, S.; Liu, Q.; Zhang, B.; Lin, L.; Zha, H. Incorporating link prediction into multi-relational item graph modeling for session-based recommendation. IEEE Trans. Knowl. Data Eng. 2021, 35, 2683–2696. [Google Scholar] [CrossRef]
- Tu, Y.; Li, W.; Song, X.; Gong, K.; Liu, L.; Qin, Y.; Liu, S.; Liu, M. Using graph neural network to conduct supplier recommendation based on large-scale supply chain. Int. J. Prod. Res. 2024, 62, 8595–8608. [Google Scholar] [CrossRef]
- Wang, X.; He, X.; Cao, Y.; Liu, M.; Chua, T.S. Kgat: Knowledge graph attention network for recommendation. In Proceedings of the 25th ACM SIGKDD International Conference on Knowledge Discovery & Data Mining, Anchorage, AK, USA, 4–8 August 2019; pp. 950–958. [Google Scholar]
- Wang, X.; Huang, T.; Wang, D.; Yuan, Y.; Liu, Z.; He, X.; Chua, T.S. Learning intents behind interactions with knowledge graph for recommendation. In Proceedings of the Web Conference 2021, Virtual, 12–23 April 2021; pp. 878–887. [Google Scholar]
- Trivedi, R.; Dai, H.; Wang, Y.; Song, L. Know-evolve: Deep temporal reasoning for dynamic knowledge graphs. In Proceedings of the International Conference on Machine Learning, PMLR, Sydney, Australia, 6–11 August 2017; pp. 3462–3471. [Google Scholar]
- Jin, W.; Qu, M.; Jin, X.; Ren, X. Recurrent event network: Autoregressive structure inference over temporal knowledge graphs. arXiv 2019, arXiv:1904.05530. [Google Scholar]
- Jia, M.; Liu, F.; Li, X.; Zhuang, X. Hybrid graph neural network recommendation based on Multi-Behavior interaction and time sequence awareness. Electronics 2023, 12, 1223. [Google Scholar] [CrossRef]
- Xu, Y.; Ou, J.; Xu, H.; Fu, L. Temporal knowledge graph reasoning with historical contrastive learning. In Proceedings of the AAAI Conference on Artificial Intelligence, Washington, DC, USA, 7–14 February 2023; Volume 37, pp. 4765–4773. [Google Scholar]
- Wei, W.; Huang, C.; Xia, L.; Xu, Y.; Zhao, J.; Yin, D. Contrastive meta learning with behavior multiplicity for recommendation. In Proceedings of the Fifteenth ACM International Conference on Web Search and Data Mining, Virtual, 21–25 February 2022; pp. 1120–1128. [Google Scholar]
- Cai, X.; Huang, C.; Xia, L.; Ren, X. LightGCL: Simple yet effective graph contrastive learning for recommendation. arXiv 2023, arXiv:2302.08191. [Google Scholar]
- Zhang, X.; Ma, H.; Yang, F.; Li, Z.; Chang, L. KGCL: A Knowledge-enhanced Graph Contrastive learning framework for session-based recommendation. Eng. Appl. Artif. Intell. 2023, 124, 106512. [Google Scholar] [CrossRef]
- Yu, J.; Xia, X.; Chen, T.; Cui, L.; Hung, N.Q.V.; Yin, H. XSimGCL: Towards extremely simple graph contrastive learning for recommendation. IEEE Trans. Knowl. Data Eng. 2023, 36, 913–926. [Google Scholar] [CrossRef]
- Li, H.; Zheng, J.; Jin, B.; Zhu, H. Adaptive Knowledge Contrastive Learning with Dynamic Attention for Recommender Systems. Electronics 2024, 13, 3594. [Google Scholar] [CrossRef]
- Lin, Y.; Liu, Z.; Sun, M.; Liu, Y.; Zhu, X. Learning entity and relation embeddings for knowledge graph completion. In Proceedings of the AAAI Conference on Artificial Intelligence, Austin, TX, USA, 25–30 January 2015; Volume 29. [Google Scholar]
- Rendle, S.; Freudenthaler, C.; Gantner, Z.; Schmidt-Thieme, L. BPR: Bayesian personalized ranking from implicit feedback. arXiv 2012, arXiv:1205.2618. [Google Scholar]
- Wang, X.; He, X.; Wang, M.; Feng, F.; Chua, T.S. Neural graph collaborative filtering. In Proceedings of the 42nd International ACM SIGIR Conference on Research and Development in Information Retrieval, Paris, France, 21–25 July 2019; pp. 165–174. [Google Scholar]
- Gao, C.; He, X.; Gan, D.; Chen, X.; Feng, F.; Li, Y.; Chua, T.S.; Jin, D. Neural multi-task recommendation from multi-behavior data. In Proceedings of the 2019 IEEE 35th International Conference on Data Engineering (ICDE), Macau, China, 8–11 April 2019; IEEE: New York, NY, USA, 2019; pp. 1554–1557. [Google Scholar]
- Jin, B.; Gao, C.; He, X.; Jin, D.; Li, Y. Multi-behavior recommendation with graph convolutional networks. In Proceedings of the 43rd International ACM SIGIR Conference on Research and Development in Information Retrieval, Virtual, 25–30 July 2020; pp. 659–668. [Google Scholar]
- Kingma, D.P. Adam: A method for stochastic optimization. arXiv 2014, arXiv:1412.6980. [Google Scholar]


| Category | Type | Quantity |
|---|---|---|
| Retailers | Retailer Count | 9512 |
| Manufacturers | Manufacturer Count | 5843 |
| Service Providers | Service Provider Count | 21,563 |
| Suppliers | Supplier Count | 18,524 |
| Products | Product Types | 8950 |
| Interactions | Retailer Interaction Records | 4,345,723 |
| Model | Recall@10 | NDCG@10 | Recall@20 | NDCG@20 | Recall@50 | NDCG@50 |
|---|---|---|---|---|---|---|
| BPR-MF | 0.0435 | 0.4085 | 0.1014 | 0.4065 | 0.2464 | 0.3756 |
| LightGCN | 0.0580 | 0.4249 | 0.1159 | 0.4601 | 0.2609 | 0.3950 |
| NGCF | 0.0725 | 0.5392 | 0.1304 | 0.4978 | 0.2754 | 0.4390 |
| NMTR | 0.0580 | 0.4815 | 0.1449 | 0.5246 | 0.3043 | 0.4473 |
| MBGCN | 0.0725 | 0.5396 | 0.1594 | 0.5618 | 0.3188 | 0.4585 |
| KGAT | 0.0870 | 0.5587 | 0.1739 | 0.5825 | 0.3333 | 0.4973 |
| KGIN | 0.1014 | 0.6004 | 0.2174 | 0.6734 | 0.3478 | 0.5110 |
| KGCL | 0.1014 | 0.6189 | 0.2029 | 0.6525 | 0.3623 | 0.5276 |
| CML | 0.0870 | 0.5649 | 0.1884 | 0.6176 | 0.3768 | 0.5426 |
| SC-TKGR | 0.1159 | 0.6487 | 0.2453 | 0.6974 | 0.4043 | 0.5891 |
| Model | Training (m) | Inference (s) | Memory (Training, GB) | Memory (Inference, GB) |
|---|---|---|---|---|
| BPR-MF | 22 | 0.28 | 2.37 | 0.25 |
| LightGCN | 31 | 0.35 | 4.18 | 0.43 |
| NGCF | 52 | 0.46 | 5.43 | 0.54 |
| NMTR | 68 | 0.42 | 7.52 | 0.81 |
| MBGCN | 43 | 0.56 | 6.89 | 0.91 |
| KGAT | 72 | 0.68 | 7.83 | 1.14 |
| KGIN | 84 | 0.62 | 8.23 | 1.03 |
| KGCL | 63 | 0.73 | 8.52 | 1.26 |
| CML | 47 | 0.51 | 6.05 | 0.85 |
| SC-TKGR | 65 | 0.67 | 7.34 | 0.96 |
| Model | Recall@10 | NDCG@10 | Recall@20 | NDCG@20 | Recall@50 | NDCG@50 |
|---|---|---|---|---|---|---|
| w/o-SC | 0.0870 | 0.5734 | 0.1739 | 0.5896 | 0.3623 | 0.5243 |
| w/o-BH | 0.0725 | 0.5465 | 0.1884 | 0.6187 | 0.3188 | 0.4657 |
| w/o-ST | 0.1014 | 0.6173 | 0.2029 | 0.6503 | 0.3478 | 0.5147 |
| SC-TKGR | 0.1159 | 0.6487 | 0.2453 | 0.6974 | 0.4043 | 0.5891 |
| Time | Recall@10 | NDCG@10 | Recall@20 | NDCG@20 | Recall@50 | NDCG@50 |
|---|---|---|---|---|---|---|
| 1W | 0.1014 | 0.6192 | 0.2317 | 0.6785 | 0.3768 | 0.5483 |
| 1M | 0.1159 | 0.6487 | 0.2453 | 0.6974 | 0.4043 | 0.5891 |
| 3M | 0.0870 | 0.5637 | 0.2029 | 0.6612 | 0.3333 | 0.5037 |
| Model | Recall@10 | NDCG@10 | Recall@20 | NDCG@20 | Recall@50 | NDCG@50 |
|---|---|---|---|---|---|---|
| w/o-TCL | 0.1014 | 0.6104 | 0.2029 | 0.6489 | 0.3623 | 0.5281 |
| w/o-TOL | 0.1014 | 0.6058 | 0.2174 | 0.6782 | 0.3478 | 0.5176 |
| w/o-TS | 0.0870 | 0.5613 | 0.1884 | 0.6124 | 0.3333 | 0.5042 |
| w/o-EXT | 0.1159 | 0.6314 | 0.2319 | 0.6827 | 0.3768 | 0.5485 |
| SC-TKGR | 0.1159 | 0.6487 | 0.2453 | 0.6974 | 0.4043 | 0.5891 |
Disclaimer/Publisher’s Note: The statements, opinions and data contained in all publications are solely those of the individual author(s) and contributor(s) and not of MDPI and/or the editor(s). MDPI and/or the editor(s) disclaim responsibility for any injury to people or property resulting from any ideas, methods, instructions or products referred to in the content. |
© 2025 by the authors. Licensee MDPI, Basel, Switzerland. This article is an open access article distributed under the terms and conditions of the Creative Commons Attribution (CC BY) license (https://creativecommons.org/licenses/by/4.0/).
Share and Cite
Wang, M.; Huo, Y.; Zheng, J.; He, L. SC-TKGR: Temporal Knowledge Graph-Based GNN for Recommendations in Supply Chains. Electronics 2025, 14, 222. https://doi.org/10.3390/electronics14020222
Wang M, Huo Y, Zheng J, He L. SC-TKGR: Temporal Knowledge Graph-Based GNN for Recommendations in Supply Chains. Electronics. 2025; 14(2):222. https://doi.org/10.3390/electronics14020222
Chicago/Turabian StyleWang, Mingjie, Yifan Huo, Junhong Zheng, and Lili He. 2025. "SC-TKGR: Temporal Knowledge Graph-Based GNN for Recommendations in Supply Chains" Electronics 14, no. 2: 222. https://doi.org/10.3390/electronics14020222
APA StyleWang, M., Huo, Y., Zheng, J., & He, L. (2025). SC-TKGR: Temporal Knowledge Graph-Based GNN for Recommendations in Supply Chains. Electronics, 14(2), 222. https://doi.org/10.3390/electronics14020222

