Sign in to use this feature.

Years

Between: -

Subjects

remove_circle_outline
remove_circle_outline
remove_circle_outline
remove_circle_outline
remove_circle_outline
remove_circle_outline
remove_circle_outline
remove_circle_outline
remove_circle_outline

Journals

Article Types

Countries / Regions

Search Results (24)

Search Parameters:
Keywords = event-related spectral perturbation

Order results
Result details
Results per page
Select all
Export citation of selected articles as:
12 pages, 1025 KB  
Article
Detecting Event-Related Spectral Perturbations in Right-Handed Sensorimotor Cortical Responses Using OPM-MEG
by Hao Lu, Yong Li, Min Xiang, Yuyu Ma, Yang Gao and Xiaolin Ning
Bioengineering 2025, 12(10), 1022; https://doi.org/10.3390/bioengineering12101022 - 25 Sep 2025
Viewed by 381
Abstract
The optically pumped magnetometer, OPM-MEG, has the potential to replace the traditional low-temperature superconducting quantum interference device, SQUID-MEG. Event-related spectral perturbations (ERSPs) can be used to examine the temporal- and frequency-domain characteristics of a signal. In this paper, a finger-tapping movement paradigm based [...] Read more.
The optically pumped magnetometer, OPM-MEG, has the potential to replace the traditional low-temperature superconducting quantum interference device, SQUID-MEG. Event-related spectral perturbations (ERSPs) can be used to examine the temporal- and frequency-domain characteristics of a signal. In this paper, a finger-tapping movement paradigm based on auditory cues is adopted, and OPM-MEG is used to measure the functional signals of the brain. The event-related spectral perturbation values of the right and left hands of right-handed people were calculated and compared. The results showed that there was a significant difference in the event-related spectral perturbations between the right and left hands of right-handed people. In summary, OPM-MEG has the ability to measure the event-related spectral perturbations of the brain during finger movements and verify the asymmetry of motor skills. Full article
Show Figures

Figure 1

19 pages, 2770 KB  
Article
Intentional or Designed? The Impact of Stance Attribution on Cognitive Processing of Generative AI Service Failures
by Dong Lv, Rui Sun, Qiuhua Zhu, Jiajia Zuo, Shukun Qin and Yue Cheng
Brain Sci. 2024, 14(10), 1032; https://doi.org/10.3390/brainsci14101032 - 17 Oct 2024
Cited by 1 | Viewed by 2490
Abstract
Background: With the rapid expansion of the generative AI market, conducting in-depth research on cognitive conflicts in human–computer interaction is crucial for optimizing user experience and improving the quality of interactions with AI systems. However, existing studies insufficiently explore the role of user [...] Read more.
Background: With the rapid expansion of the generative AI market, conducting in-depth research on cognitive conflicts in human–computer interaction is crucial for optimizing user experience and improving the quality of interactions with AI systems. However, existing studies insufficiently explore the role of user cognitive conflicts and the explanation of stance attribution in the design of human–computer interactions. Methods: This research, grounded in mental models theory and employing an improved version of the oddball paradigm, utilizes Event-Related Spectral Perturbations (ERSP) and functional connectivity analysis to reveal how task types and stance attribution explanations in generative AI influence users’ unconscious cognitive processing mechanisms during service failures. Results: The results indicate that under design stance explanations, the ERSP and Phase Locking Value (PLV) in the theta frequency band were significantly lower for emotional task failures than mechanical task failures. In the case of emotional task failures, the ERSP and PLV in the theta frequency band induced by intentional stance explanations were significantly higher than those induced by design stance explanations. Conclusions: This study found that stance attribution explanations profoundly affect users’ mental models of AI, which determine their responses to service failure. Full article
(This article belongs to the Section Neural Engineering, Neuroergonomics and Neurorobotics)
Show Figures

Figure 1

16 pages, 3456 KB  
Article
Cognitive State Classification Using Convolutional Neural Networks on Gamma-Band EEG Signals
by Nuphar Avital, Elad Nahum, Gal Carmel Levi and Dror Malka
Appl. Sci. 2024, 14(18), 8380; https://doi.org/10.3390/app14188380 - 18 Sep 2024
Cited by 14 | Viewed by 3542
Abstract
This study introduces a novel methodology for classifying cognitive states using convolutional neural networks (CNNs) on electroencephalography (EEG) data of 41 students, aimed at streamlining the traditionally labor-intensive analysis procedures utilized in EEGLAB. Concentrating on the 30–40 Hz frequency range within the gamma [...] Read more.
This study introduces a novel methodology for classifying cognitive states using convolutional neural networks (CNNs) on electroencephalography (EEG) data of 41 students, aimed at streamlining the traditionally labor-intensive analysis procedures utilized in EEGLAB. Concentrating on the 30–40 Hz frequency range within the gamma band, we developed a CNN model to analyze EEG signals recorded from the inferior parietal lobule during various cognitive tasks. The model demonstrated substantial efficacy, achieving an accuracy of 91.42%, precision of 71.41%, and recall of 72.51%, effectively distinguishing between high and low gamma activity states. This performance surpasses traditional machine learning methods for EEG analysis, such as support vector machines and random forests, which typically achieve accuracies between 70–85% for similar tasks. Our approach offers significant time savings over manual EEGLAB methods. The integration of event-related spectral perturbation (ERSP) analysis with a novel CNN architecture enables capture of both fine-grained and broad spectral EEG features, advancing the field of computational neuroscience. This research has implications for brain-computer interfaces, clinical diagnostics, and cognitive monitoring, offering a more efficient and accurate alternative to current EEG analysis methods. Full article
(This article belongs to the Special Issue Interdisciplinary Approaches and Applications of Optics & Photonics)
Show Figures

Figure 1

22 pages, 3190 KB  
Article
Sustainable Impact of Stance Attribution Design Cues for Robots on Human–Robot Relationships—Evidence from the ERSP
by Dong Lv, Rui Sun, Qiuhua Zhu, Jiajia Zuo and Shukun Qin
Sustainability 2024, 16(17), 7252; https://doi.org/10.3390/su16177252 - 23 Aug 2024
Cited by 1 | Viewed by 1409
Abstract
With the development of large language model technologies, the capability of social robots to interact emotionally with users has been steadily increasing. However, the existing research insufficiently examines the influence of robot stance attribution design cues on the construction of users’ mental models [...] Read more.
With the development of large language model technologies, the capability of social robots to interact emotionally with users has been steadily increasing. However, the existing research insufficiently examines the influence of robot stance attribution design cues on the construction of users’ mental models and their effects on human–robot interaction (HRI). This study innovatively combines mental models with the associative–propositional evaluation (APE) model, unveiling the impact of the stance attribution explanations of this design cue on the construction of user mental models and the interaction between the two types of mental models through EEG experiments and survey investigations. The results found that under the influence of intentional stance explanations (compared to design stance explanations), participants displayed higher error rates, higher θ- and β-band Event-Related Spectral Perturbations (ERSPs), and phase-locking value (PLV). Intentional stance explanations trigger a primarily associatively based mental model of users towards robots, which conflicts with the propositionally based mental models of individuals. Users might adjust or “correct” their immediate reactions caused by stance attribution explanations after logical analysis. This study reveals that stance attribution interpretation can significantly affect users’ mental model construction of robots, which provides a new theoretical framework for exploring human interaction with non-human agents and provides theoretical support for the sustainable development of human–robot relations. It also provides new ideas for designing robots that are more humane and can better interact with human users. Full article
Show Figures

Figure 1

27 pages, 8263 KB  
Article
How the Degree of Anthropomorphism of Human-like Robots Affects Users’ Perceptual and Emotional Processing: Evidence from an EEG Study
by Jinchun Wu, Xiaoxi Du, Yixuan Liu, Wenzhe Tang and Chengqi Xue
Sensors 2024, 24(15), 4809; https://doi.org/10.3390/s24154809 - 24 Jul 2024
Cited by 5 | Viewed by 4690
Abstract
Anthropomorphized robots are increasingly integrated into human social life, playing vital roles across various fields. This study aimed to elucidate the neural dynamics underlying users’ perceptual and emotional responses to robots with varying levels of anthropomorphism. We investigated event-related potentials (ERPs) and event-related [...] Read more.
Anthropomorphized robots are increasingly integrated into human social life, playing vital roles across various fields. This study aimed to elucidate the neural dynamics underlying users’ perceptual and emotional responses to robots with varying levels of anthropomorphism. We investigated event-related potentials (ERPs) and event-related spectral perturbations (ERSPs) elicited while participants viewed, perceived, and rated the affection of robots with low (L-AR), medium (M-AR), and high (H-AR) levels of anthropomorphism. EEG data were recorded from 42 participants. Results revealed that H-AR induced a more negative N1 and increased frontal theta power, but decreased P2 in early time windows. Conversely, M-AR and L-AR elicited larger P2 compared to H-AR. In later time windows, M-AR generated greater late positive potential (LPP) and enhanced parietal-occipital theta oscillations than H-AR and L-AR. These findings suggest distinct neural processing phases: early feature detection and selective attention allocation, followed by later affective appraisal. Early detection of facial form and animacy, with P2 reflecting higher-order visual processing, appeared to correlate with anthropomorphism levels. This research advances the understanding of emotional processing in anthropomorphic robot design and provides valuable insights for robot designers and manufacturers regarding emotional and feature design, evaluation, and promotion of anthropomorphic robots. Full article
(This article belongs to the Section Biomedical Sensors)
Show Figures

Figure 1

16 pages, 5473 KB  
Article
Modality-Attention Promotes the Neural Effects of Precise Timing Prediction in Early Sensory Processing
by Jiayuan Meng, Xiaoyu Li, Yingru Zhao, Rong Li, Minpeng Xu and Dong Ming
Brain Sci. 2023, 13(4), 610; https://doi.org/10.3390/brainsci13040610 - 3 Apr 2023
Cited by 1 | Viewed by 2124
Abstract
Precise timing prediction (TP) enables the brain to accurately predict the occurrence of upcoming events in millisecond timescale, which is fundamental for adaptive behaviors. The neural effect of the TP within a single sensory modality has been widely studied. However, less is known [...] Read more.
Precise timing prediction (TP) enables the brain to accurately predict the occurrence of upcoming events in millisecond timescale, which is fundamental for adaptive behaviors. The neural effect of the TP within a single sensory modality has been widely studied. However, less is known about how precise TP works when the brain is concurrently faced with multimodality sensory inputs. Modality attention (MA) is a crucial cognitive function for dealing with the overwhelming information induced by multimodality sensory inputs. Therefore, it is necessary to investigate whether and how the MA influences the neural effects of the precise TP. This study designed a visual–auditory temporal discrimination task, in which the MA was allocated to visual or auditory modality, and the TP was manipulated into no timing prediction (NTP), matched timing prediction (MTP), and violated timing prediction (VTP) conditions. Behavioral and electroencephalogram (EEG) data were recorded from 27 subjects, event-related potentials (ERP), time–frequency distributions of inter-trial coherence (ITC), and event-related spectral perturbation (ERSP) were analyzed. In the visual modality, precise TP led to N1 amplitude and 200–400 ms theta ITC variations. Such variations only emerged when the MA was attended. In auditory modality, the MTP had the largest P2 amplitude and delta ITC than other TP conditions when the MA was attended, whereas the distinctions disappeared when the MA was unattended. The results suggest that the MA promoted the neural effects of the precise TP in early sensory processing, which provides more neural evidence for better understanding the interactions between the TP and MA. Full article
(This article belongs to the Section Sensory and Motor Neuroscience)
Show Figures

Figure 1

23 pages, 8261 KB  
Article
Modulations of Cortical Power and Connectivity in Alpha and Beta Bands during the Preparation of Reaching Movements
by Davide Borra, Silvia Fantozzi, Maria Cristina Bisi and Elisa Magosso
Sensors 2023, 23(7), 3530; https://doi.org/10.3390/s23073530 - 28 Mar 2023
Cited by 15 | Viewed by 3710
Abstract
Planning goal-directed movements towards different targets is at the basis of common daily activities (e.g., reaching), involving visual, visuomotor, and sensorimotor brain areas. Alpha (8–13 Hz) and beta (13–30 Hz) oscillations are modulated during movement preparation and are implicated in correct motor functioning. [...] Read more.
Planning goal-directed movements towards different targets is at the basis of common daily activities (e.g., reaching), involving visual, visuomotor, and sensorimotor brain areas. Alpha (8–13 Hz) and beta (13–30 Hz) oscillations are modulated during movement preparation and are implicated in correct motor functioning. However, how brain regions activate and interact during reaching tasks and how brain rhythms are functionally involved in these interactions is still limitedly explored. Here, alpha and beta brain activity and connectivity during reaching preparation are investigated at EEG-source level, considering a network of task-related cortical areas. Sixty-channel EEG was recorded from 20 healthy participants during a delayed center-out reaching task and projected to the cortex to extract the activity of 8 cortical regions per hemisphere (2 occipital, 2 parietal, 3 peri-central, 1 frontal). Then, we analyzed event-related spectral perturbations and directed connectivity, computed via spectral Granger causality and summarized using graph theory centrality indices (in degree, out degree). Results suggest that alpha and beta oscillations are functionally involved in the preparation of reaching in different ways, with the former mediating the inhibition of the ipsilateral sensorimotor areas and disinhibition of visual areas, and the latter coordinating disinhibition of the contralateral sensorimotor and visuomotor areas. Full article
(This article belongs to the Special Issue EEG Signal Processing Techniques and Applications)
Show Figures

Figure 1

12 pages, 3996 KB  
Article
Electroencephalography Reflects User Satisfaction in Controlling Robot Hand through Electromyographic Signals
by Hyeonseok Kim, Makoto Miyakoshi, Yeongdae Kim, Sorawit Stapornchaisit, Natsue Yoshimura and Yasuharu Koike
Sensors 2023, 23(1), 277; https://doi.org/10.3390/s23010277 - 27 Dec 2022
Cited by 8 | Viewed by 2715
Abstract
This study addresses time intervals during robot control that dominate user satisfaction and factors of robot movement that induce satisfaction. We designed a robot control system using electromyography signals. In each trial, participants were exposed to different experiences as the cutoff frequencies of [...] Read more.
This study addresses time intervals during robot control that dominate user satisfaction and factors of robot movement that induce satisfaction. We designed a robot control system using electromyography signals. In each trial, participants were exposed to different experiences as the cutoff frequencies of a low-pass filter were changed. The participants attempted to grab a bottle by controlling a robot. They were asked to evaluate four indicators (stability, imitation, response time, and movement speed) and indicate their satisfaction at the end of each trial by completing a questionnaire. The electroencephalography signals of the participants were recorded while they controlled the robot and responded to the questionnaire. Two independent component clusters in the precuneus and postcentral gyrus were the most sensitive to subjective evaluations. For the moment that dominated satisfaction, we observed that brain activity exhibited significant differences in satisfaction not immediately after feeding an input but during the later stage. The other indicators exhibited independently significant patterns in event-related spectral perturbations. Comparing these indicators in a low-frequency band related to the satisfaction with imitation and movement speed, which had significant differences, revealed that imitation covered significant intervals in satisfaction. This implies that imitation was the most important contributing factor among the four indicators. Our results reveal that regardless of subjective satisfaction, objective performance evaluation might more fully reflect user satisfaction. Full article
(This article belongs to the Special Issue EEG Signal Processing Techniques and Applications)
Show Figures

Figure 1

12 pages, 1446 KB  
Article
Responses at Individual Gamma Frequencies Are Related to the Processing Speed but Not the Inhibitory Control
by Inga Griškova-Bulanova, Marko Živanović, Aleksandras Voicikas, Evaldas Pipinis, Vytautas Jurkuvėnas and Jovana Bjekić
J. Pers. Med. 2023, 13(1), 26; https://doi.org/10.3390/jpm13010026 - 23 Dec 2022
Cited by 5 | Viewed by 2769
Abstract
The link between the state of networks underlying the generation of periodic responses at gamma ranges and cognitive outcomes is still poorly understood. In this study, we tested the idea that the individual differences in the ability to generate responses to auditory stimulation [...] Read more.
The link between the state of networks underlying the generation of periodic responses at gamma ranges and cognitive outcomes is still poorly understood. In this study, we tested the idea that the individual differences in the ability to generate responses to auditory stimulation at gamma frequencies may underlie the individual differences in the inhibitory control. We focused on the processing speed and accuracy in the Bivalent Shape Task (a cognitive inhibition task assessing attentional interference) and explored the relationship with responses at 40 Hz and at individual gamma frequencies (IGFs, assessed utilizing auditory envelope-following responses in 30–60 Hz range). In a sample of 70 subjects, we show that individual measures (phase-locking index and event-related spectral perturbation) of the ability to generate gamma-range activity are not related to the individual differences in inhibitory control but rather reflect basic information processing speed in healthy young subjects. With the individualized approach (at IGFs), the observed associations were found to be somewhat stronger. These findings have important implications for the interpretation of gamma activity in neuropsychiatric disorders. Full article
Show Figures

Figure 1

31 pages, 4424 KB  
Article
Neurocognitive Dynamics of Prosodic Salience over Semantics during Explicit and Implicit Processing of Basic Emotions in Spoken Words
by Yi Lin, Xinran Fan, Yueqi Chen, Hao Zhang, Fei Chen, Hui Zhang, Hongwei Ding and Yang Zhang
Brain Sci. 2022, 12(12), 1706; https://doi.org/10.3390/brainsci12121706 - 12 Dec 2022
Cited by 11 | Viewed by 3133
Abstract
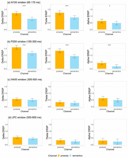
How language mediates emotional perception and experience is poorly understood. The present event-related potential (ERP) study examined the explicit and implicit processing of emotional speech to differentiate the relative influences of communication channel, emotion category and task type in the prosodic salience effect. [...] Read more.
How language mediates emotional perception and experience is poorly understood. The present event-related potential (ERP) study examined the explicit and implicit processing of emotional speech to differentiate the relative influences of communication channel, emotion category and task type in the prosodic salience effect. Thirty participants (15 women) were presented with spoken words denoting happiness, sadness and neutrality in either the prosodic or semantic channel. They were asked to judge the emotional content (explicit task) and speakers’ gender (implicit task) of the stimuli. Results indicated that emotional prosody (relative to semantics) triggered larger N100, P200 and N400 amplitudes with greater delta, theta and alpha inter-trial phase coherence (ITPC) and event-related spectral perturbation (ERSP) values in the corresponding early time windows, and continued to produce larger LPC amplitudes and faster responses during late stages of higher-order cognitive processing. The relative salience of prosodic and semantics was modulated by emotion and task, though such modulatory effects varied across different processing stages. The prosodic salience effect was reduced for sadness processing and in the implicit task during early auditory processing and decision-making but reduced for happiness processing in the explicit task during conscious emotion processing. Additionally, across-trial synchronization of delta, theta and alpha bands predicted the ERP components with higher ITPC and ERSP values significantly associated with stronger N100, P200, N400 and LPC enhancement. These findings reveal the neurocognitive dynamics of emotional speech processing with prosodic salience tied to stage-dependent emotion- and task-specific effects, which can reveal insights into understanding language and emotion processing from cross-linguistic/cultural and clinical perspectives. Full article
(This article belongs to the Section Neurolinguistics)
Show Figures

Figure 1

19 pages, 3238 KB  
Article
Machine Learning Based on Event-Related EEG of Sustained Attention Differentiates Adults with Chronic High-Altitude Exposure from Healthy Controls
by Haining Liu, Ruijuan Shi, Runchao Liao, Yanli Liu, Jiajun Che, Ziyu Bai, Nan Cheng and Hailin Ma
Brain Sci. 2022, 12(12), 1677; https://doi.org/10.3390/brainsci12121677 - 7 Dec 2022
Cited by 9 | Viewed by 2375
Abstract
(1) Objective: The aim of this study was to examine the effect of high altitude on inhibitory control processes that underlie sustained attention in the neural correlates of EEG data, and explore whether the EEG data reflecting inhibitory control contain valuable information to [...] Read more.
(1) Objective: The aim of this study was to examine the effect of high altitude on inhibitory control processes that underlie sustained attention in the neural correlates of EEG data, and explore whether the EEG data reflecting inhibitory control contain valuable information to classify high-altitude chronic hypoxia and plain controls. (2) Methods: 35 chronic high-altitude hypoxic adults and 32 matched controls were recruited. They were required to perform the go/no-go sustained attention task (GSAT) using event-related potentials. Three machine learning algorithms, namely a support vector machine (SVM), logistic regression (LR), and a decision tree (DT), were trained based on the related ERP components and neural oscillations to build a dichotomous classification model. (3) Results: Behaviorally, we found that the high altitude (HA) group had lower omission error rates during all observation periods than the low altitude (LA) group. Meanwhile, the ERP results showed that the HA participants had significantly shorter latency than the LAs for sustained potential (SP), indicating vigilance to response-related conflict. Meanwhile, event-related spectral perturbation (ERSP) analysis suggested that lowlander immigrants exposed to high altitudes may have compensatory activated prefrontal cortexes (PFC), as reflected by slow alpha, beta, and theta frequency-band neural oscillations. Finally, the machine learning results showed that the SVM achieved the optimal classification F1 score in the later stage of sustained attention, with an F1 score of 0.93, accuracy of 92.54%, sensitivity of 91.43%, specificity of 93.75%, and area under ROC curve (AUC) of 0.97. The results proved that SVM classification algorithms could be applied to identify chronic high-altitude hypoxia. (4) Conclusions: Compared with other methods, the SVM leads to a good overall performance that increases with the time spent on task, illustrating that the ERPs and neural oscillations may provide neuroelectrophysiological markers for identifying chronic plateau hypoxia. Full article
Show Figures

Figure 1

16 pages, 3350 KB  
Article
Activation Patterns of Functional Brain Network in Response to Action Observation-Induced and Non-Induced Motor Imagery of Swallowing: A Pilot Study
by Hao Xiong, Jin-Jin Chen, John M. Gikaro, Chen-Guang Wang and Feng Lin
Brain Sci. 2022, 12(10), 1420; https://doi.org/10.3390/brainsci12101420 - 21 Oct 2022
Cited by 4 | Viewed by 2439
Abstract
Action observation (AO) combined with motor imagery (MI) was verified as more effective in improving limb function than AO or MI alone, while the underlying mechanism of swallowing was ambiguous. The study aimed at exploring the efficacy of AO combined with MI in [...] Read more.
Action observation (AO) combined with motor imagery (MI) was verified as more effective in improving limb function than AO or MI alone, while the underlying mechanism of swallowing was ambiguous. The study aimed at exploring the efficacy of AO combined with MI in swallowing. In this study, twelve subjects performed the motor imagery of swallowing (MI-SW) during magnetoencephalography (MEG) scanning, and trials were divided into three groups: the non-induced group (control group, CG), male AO-induced group (M-AIG), and female AO-induced group (F-AIG). We used event-related spectral perturbations (ERSPs) and phase locking value (PLV) to assess the degree of activation and connectivity of the brain regions during MI-SW in the three groups. The results showed that compared to CG, F-AIG and M-AIG significantly activated more brain regions in the frontoparietal, attention, visual, and cinguloopercular systems. In addition, M-AIG significantly activated the sensorimotor cortex compared to CG and F-AIG. For the brain network, F-AIG and M-AIG increased the diffusion of non-hub hot spots and cold hubs to the bilateral hemispheres which enhanced interhemispheric functional connectivity and information transmission efficiency in the MI-SW task. This study provided supporting evidence that AO induction could enhance the effect of MI-SW and supported the application of AO-induced MI-SW in clinical rehabilitation. Full article
(This article belongs to the Section Neurorehabilitation)
Show Figures

Figure 1

24 pages, 7091 KB  
Article
Utility of Cognitive Neural Features for Predicting Mental Health Behaviors
by Ryosuke Kato, Pragathi Priyadharsini Balasubramani, Dhakshin Ramanathan and Jyoti Mishra
Sensors 2022, 22(9), 3116; https://doi.org/10.3390/s22093116 - 19 Apr 2022
Cited by 13 | Viewed by 3902
Abstract
Cognitive dysfunction underlies common mental health behavioral symptoms including depression, anxiety, inattention, and hyperactivity. In this study of 97 healthy adults, we aimed to classify healthy vs. mild-to-moderate self-reported symptoms of each disorder using cognitive neural markers measured with an electroencephalography (EEG). We [...] Read more.
Cognitive dysfunction underlies common mental health behavioral symptoms including depression, anxiety, inattention, and hyperactivity. In this study of 97 healthy adults, we aimed to classify healthy vs. mild-to-moderate self-reported symptoms of each disorder using cognitive neural markers measured with an electroencephalography (EEG). We analyzed source-reconstructed EEG data for event-related spectral perturbations in the theta, alpha, and beta frequency bands in five tasks, a selective attention and response inhibition task, a visuospatial working memory task, a Flanker interference processing task, and an emotion interference task. From the cortical source activation features, we derived augmented features involving co-activations between any two sources. Logistic regression on the augmented feature set, but not the original feature set, predicted the presence of psychiatric symptoms, particularly for anxiety and inattention with >80% sensitivity and specificity. We also computed current flow closeness and betweenness centralities to identify the “hub” source signal predictors. We found that the Flanker interference processing task was the most useful for assessing the connectivity hubs in general, followed by the inhibitory control go-nogo paradigm. Overall, these interpretable machine learning analyses suggest that EEG biomarkers collected on a rapid suite of cognitive assessments may have utility in classifying diverse self-reported mental health symptoms. Full article
(This article belongs to the Special Issue Biomedical Signal Acquisition and Processing Using Sensors)
Show Figures

Figure 1

17 pages, 13377 KB  
Article
Validating Poly(3,4-ethylene dioxythiophene) Polystyrene Sulfonate-Based Textile Electroencephalography Electrodes by a Textile-Based Head Phantom
by Granch Berhe Tseghai, Benny Malengier, Kinde Anlay Fante and Lieva Van Langenhove
Polymers 2021, 13(21), 3629; https://doi.org/10.3390/polym13213629 - 21 Oct 2021
Cited by 8 | Viewed by 3164
Abstract
It is important to go through a validation process when developing new electroencephalography (EEG) electrodes, but it is impossible to keep the human mind constant, making the process difficult. It is also very difficult to identify noise and signals as the input signal [...] Read more.
It is important to go through a validation process when developing new electroencephalography (EEG) electrodes, but it is impossible to keep the human mind constant, making the process difficult. It is also very difficult to identify noise and signals as the input signal is unknown. In this work, we have validated textile-based EEG electrodes constructed from a poly(3,4-ethylene dioxythiophene) polystyrene sulfonate:/polydimethylsiloxane coated cotton fabric using a textile-based head phantom. The performance of the textile-based electrode has also been compared against a commercial dry electrode. The textile electrodes collected a signal to a smaller skin-to-electrode impedance (−18.9%) and a higher signal-to-noise ratio (+3.45%) than Ag/AgCl dry electrodes. From an EEGLAB, it was observed that the inter-trial coherence and event-related spectral perturbation graphs of the textile-based electrodes were identical to the Ag/AgCl electrodes. Thus, these textile-based electrodes can be a potential alternative to monitor brain activity. Full article
(This article belongs to the Special Issue Advances in Conductive Polymers)
Show Figures

Graphical abstract

15 pages, 6138 KB  
Article
Neural Dynamics of Target Detection via Wireless EEG in Embodied Cognition
by Congying He, Rupesh Kumar Chikara, Chia-Lung Yeh and Li-Wei Ko
Sensors 2021, 21(15), 5213; https://doi.org/10.3390/s21155213 - 31 Jul 2021
Cited by 19 | Viewed by 5430
Abstract
Embodied cognitive attention detection is important for many real-world applications, such as monitoring attention in daily driving and studying. Exploring how the brain and behavior are influenced by visual sensory inputs becomes a major challenge in the real world. The neural activity of [...] Read more.
Embodied cognitive attention detection is important for many real-world applications, such as monitoring attention in daily driving and studying. Exploring how the brain and behavior are influenced by visual sensory inputs becomes a major challenge in the real world. The neural activity of embodied mind cognitive states can be understood through simple symbol experimental design. However, searching for a particular target in the real world is more complicated than during a simple symbol experiment in the laboratory setting. Hence, the development of realistic situations for investigating the neural dynamics of subjects during real-world environments is critical. This study designed a novel military-inspired target detection task for investigating the neural activities of performing embodied cognition tasks in the real-world setting. We adopted independent component analysis (ICA) and electroencephalogram (EEG) dipole source localization methods to study the participant’s event-related potentials (ERPs), event-related spectral perturbation (ERSP), and power spectral density (PSD) during the target detection task using a wireless EEG system, which is more convenient for real-life use. Behavioral results showed that the response time in the congruent condition (582 ms) was shorter than those in the incongruent (666 ms) and nontarget (863 ms) conditions. Regarding the EEG observation, we observed N200-P300 wave activation in the middle occipital lobe and P300-N500 wave activation in the right frontal lobe and left motor cortex, which are associated with attention ERPs. Furthermore, delta (1–4 Hz) and theta (4–7 Hz) band powers in the right frontal lobe, as well as alpha (8–12 Hz) and beta (13–30 Hz) band powers in the left motor cortex were suppressed, whereas the theta (4–7 Hz) band powers in the middle occipital lobe were increased considerably in the attention task. Experimental results showed that the embodied body function influences human mental states and psychological performance under cognition attention tasks. These neural markers will be also feasible to implement in the real-time brain computer interface. Novel findings in this study can be helpful for humans to further understand the interaction between the brain and behavior in multiple target detection conditions in real life. Full article
(This article belongs to the Special Issue Embodied Minds: From Cognition to Artificial Intelligence)
Show Figures

Figure 1

Back to TopTop