Sign in to use this feature.

Years

Between: -

Subjects

remove_circle_outline
remove_circle_outline
remove_circle_outline
remove_circle_outline
remove_circle_outline
remove_circle_outline
remove_circle_outline
remove_circle_outline
remove_circle_outline

Journals

Article Types

Countries / Regions

Search Results (74)

Search Parameters:
Keywords = entropy of low-dimensional system

Order results
Result details
Results per page
Select all
Export citation of selected articles as:
15 pages, 535 KB  
Article
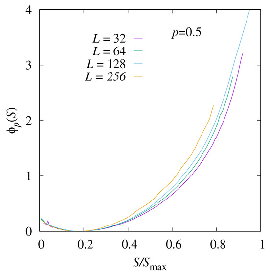
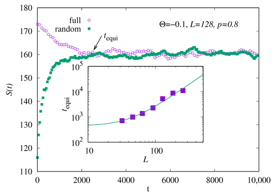
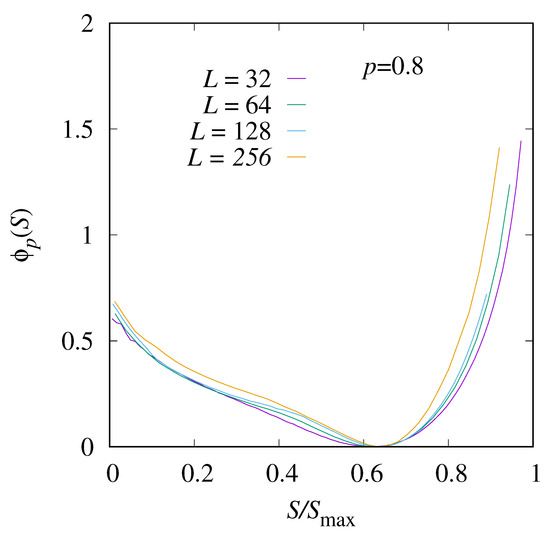
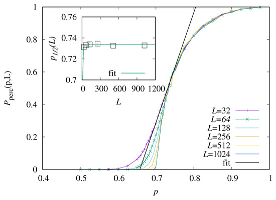
Distribution of the Number of Paths in Two-Dimensional Directed Percolation
by Leon Seeger and Alexander K. Hartmann
Entropy 2025, 27(10), 1008; https://doi.org/10.3390/e27101008 - 26 Sep 2025
Viewed by 255
Abstract
In a percolating system, there are typically exponentially many spanning paths. Here, we study numerically, for a two-dimensional L×L diluted system, restricted to percolating realizations, the number N of directed percolating paths. First, we study the average entropy [...] Read more.
In a percolating system, there are typically exponentially many spanning paths. Here, we study numerically, for a two-dimensional L×L diluted system, restricted to percolating realizations, the number N of directed percolating paths. First, we study the average entropy S=logN as a function of the occupation density p and compare with mathematical results from the literature. Furthermore, we investigate the distribution P(S). By using large-deviation approaches, we are able to obtain P(S) down to the very low-probability tail reaching probabilities as small as 10300. We consider the percolating phase, the (typically) non-percolating phase, and the critical point. Finally, we also analyze the structure of the realizations for some values of S and p. Full article
(This article belongs to the Special Issue Percolation in the 21st Century)
Show Figures

Figure 1

20 pages, 1914 KB  
Article
Entropy and Chaos-Based Modeling of Nonlinear Dependencies in Commodity Markets
by Irina Georgescu and Jani Kinnunen
Entropy 2025, 27(9), 955; https://doi.org/10.3390/e27090955 - 14 Sep 2025
Viewed by 472
Abstract
This study explores the nonlinear dynamics and interdependencies among major commodity markets—Gold, Oil, Natural Gas, and Silver—by employing advanced chaos theory and information-theoretic tools. Using daily data from 2020 to 2024, we estimate key complexity measures including Lyapunov exponents, correlation dimension, Shannon and [...] Read more.
This study explores the nonlinear dynamics and interdependencies among major commodity markets—Gold, Oil, Natural Gas, and Silver—by employing advanced chaos theory and information-theoretic tools. Using daily data from 2020 to 2024, we estimate key complexity measures including Lyapunov exponents, correlation dimension, Shannon and Rényi entropy, and mutual information. We also apply the stochastic SO(2) Lie group method to model dynamic correlations, and wavelet coherence analysis to detect time-frequency co-movements. Our findings reveal evidence of low-dimensional deterministic chaos and time-varying nonlinear relationships, especially among pairs like Gold–Silver and Oil–Gas. These results highlight the importance of using nontraditional approaches to uncover hidden structure and co-movement dynamics in commodity markets, providing useful insights for portfolio diversification and systemic risk assessment. Full article
(This article belongs to the Section Information Theory, Probability and Statistics)
Show Figures

Figure 1

37 pages, 5256 KB  
Review
Carbon/High-Entropy Alloy Nanocomposites: Synergistic Innovations and Breakthrough Challenges for Electrochemical Energy Storage
by Li Sun, Hangyu Li, Yu Dong, Wan Rong, Na Zhou, Rui Dang, Jianle Xu, Qigao Cao and Chunxu Pan
Batteries 2025, 11(9), 317; https://doi.org/10.3390/batteries11090317 - 23 Aug 2025
Viewed by 788
Abstract
Against the backdrop of accelerating global energy transition, developing high-performance energy-storage systems is crucial for achieving carbon neutrality. Traditional electrode materials are limited by a single densification storage mechanism and low conductivity, struggling to meet demands for high energy/power density and a long [...] Read more.
Against the backdrop of accelerating global energy transition, developing high-performance energy-storage systems is crucial for achieving carbon neutrality. Traditional electrode materials are limited by a single densification storage mechanism and low conductivity, struggling to meet demands for high energy/power density and a long cycle life. Carbon/high-entropy alloy nanocomposites provide an innovative solution through multi-component synergistic effects and cross-scale structural design: the “cocktail effect” of high-entropy alloys confers excellent redox activity and structural stability, while the three-dimensional conductive network of the carbon skeleton enhances charge transfer efficiency. Together, they achieve synergistic enhancement via interfacial electron coupling, stress buffering, and dual storage mechanisms. This review systematically analyzes the charge storage/attenuation mechanisms and performance advantages of this composite material in diverse energy-storage devices (lithium-ion batteries, lithium-sulfur batteries, etc.), evaluates the characteristics and limitations of preparation techniques such as mechanical alloying and chemical vapor deposition, identifies five major challenges (including complex and costly synthesis, ambiguous interfacial interaction mechanisms, lagging theoretical research, performance-cost trade-offs, and slow industrialization processes), and prospectively proposes eight research directions (including multi-scale structural regulation and sustainable preparation technologies, etc.). Through interdisciplinary perspectives, this review aims to provide a theoretical foundation for deepening the understanding of carbon/high-entropy alloy composite energy-storage mechanisms and guiding industrial applications, thereby advancing breakthroughs in electrochemical energy-storage technology under the energy transition. Full article
Show Figures

Graphical abstract

16 pages, 1396 KB  
Article
Multi-Dimensional Control Rules and Assessment Methods for Surface Engineering Data Quality in Oil and Gas Field
by Taiwu Xia, Feng Wang, Zhan Huang, Wei Zhang, Gangping Chen, Jun Zhou and Cui Liu
Information 2025, 16(8), 701; https://doi.org/10.3390/info16080701 - 18 Aug 2025
Viewed by 508
Abstract
The current digital delivery of surface engineering in oil and gas fields faces challenges such as difficulty in integrating multiple heterogeneous data sources, low efficiency in quality reviews, and a lack of unified evaluation standards, which seriously restrict the implementation of intelligent operation [...] Read more.
The current digital delivery of surface engineering in oil and gas fields faces challenges such as difficulty in integrating multiple heterogeneous data sources, low efficiency in quality reviews, and a lack of unified evaluation standards, which seriously restrict the implementation of intelligent operation and maintenance. Based on this, this study constructs multi-dimensional control rules for data quality covering the entire lifecycle. Based on the characteristics of structured, semi-structured, and unstructured data, five-dimensional review criteria and quantification methods for normative, integrity, consistency, accuracy, and timeliness were developed. At the same time, by integrating the analytic hierarchy process (AHP) and the entropy weight method (EWM), a combined subjective and objective weight evaluation model was established to achieve scientific quantitative calculation of quality indicators. Verification with a project by Southwest Oil and Gas Field shows that the system effectively achieves quantifiable diagnosis and traceability of engineering data quality, revealing the differentiation characteristics of different data types in the quality dimension. The research results provide core methodological support for the establishment of an integrated data governance paradigm of “collection—review—operation and maintenance” in oil and gas fields, facilitating the implementation of intelligent operation and maintenance. Full article
Show Figures

Figure 1

19 pages, 12670 KB  
Article
Risk Assessment of Flood Disasters with Multi-Source Data and Its Spatial Differentiation Characteristics
by Wenxia Jing, Yinghua Song, Wei Lv and Junyi Yang
Sustainability 2025, 17(15), 7149; https://doi.org/10.3390/su17157149 - 7 Aug 2025
Viewed by 612
Abstract
The changing global climate and rapid urbanization make extreme rainstorm events frequent, and the flood disaster caused by rainstorm has become a prominent problem of urban public safety in China, which severely restricts the healthy and sustainable development of social economy. The weight [...] Read more.
The changing global climate and rapid urbanization make extreme rainstorm events frequent, and the flood disaster caused by rainstorm has become a prominent problem of urban public safety in China, which severely restricts the healthy and sustainable development of social economy. The weight calculation method of traditional risk assessment model is single and ignores the difference of multi-dimensional information space involved in risk analysis. This study constructs a flood risk assessment model by incorporating natural, social, and economic factors into an indicator system structured around four dimensions: hazard, exposure, vulnerability, and disaster prevention and mitigation capacity. A combination of the Analytic Hierarchy Process (AHP) and the entropy weight method is employed to optimize both subjective and objective weights. Taking the central urban area of Wuhan with a high flood risk as an example, based on the risk assessment values, spatial autocorrelation analysis, cluster analysis, outlier analysis, and hotspot analysis are applied to explore the spatial clustering characteristics of risks. The results show that the overall assessment level of flood hazard in central urban area of Wuhan is medium, the overall assessment level of exposure and vulnerability is low, and the overall disaster prevention and mitigation capability is medium. The overall flood risk levels in Wuchang and Jianghan are the highest, while some areas in Qingshan and Hanyang have the lowest levels. The spatial characteristics of each dimension evaluation index show obvious autocorrelation and spatial differentiation. These findings aim to provide valuable suggestions and references for reducing urban disaster risks and achieving sustainable urban development. Full article
(This article belongs to the Special Issue Sustainable Transport and Land Use for a Sustainable Future)
Show Figures

Figure 1

30 pages, 15717 KB  
Article
Channel Amplitude and Phase Error Estimation of Fully Polarimetric Airborne SAR with 0.1 m Resolution
by Jianmin Hu, Yanfei Wang, Jinting Xie, Guangyou Fang, Huanjun Chen, Yan Shen, Zhenyu Yang and Xinwen Zhang
Remote Sens. 2025, 17(15), 2699; https://doi.org/10.3390/rs17152699 - 4 Aug 2025
Viewed by 528
Abstract
In order to achieve 0.1 m resolution and fully polarimetric observation capabilities for airborne SAR systems, the adoption of stepped-frequency modulation waveform combined with the polarization time-division transmit/receive (T/R) technique proves to be an effective technical approach. Considering the issue of range resolution [...] Read more.
In order to achieve 0.1 m resolution and fully polarimetric observation capabilities for airborne SAR systems, the adoption of stepped-frequency modulation waveform combined with the polarization time-division transmit/receive (T/R) technique proves to be an effective technical approach. Considering the issue of range resolution degradation and paired echoes caused by multichannel amplitude–phase mismatch in fully polarimetric airborne SAR with 0.1 m resolution, an amplitude–phase error estimation algorithm based on echo data is proposed in this paper. Firstly, the subband amplitude spectrum correction curve is obtained by the statistical average of the subband amplitude spectrum. Secondly, the paired-echo broadening function is obtained by selecting high-quality sample points after single-band imaging and the nonlinear phase error within the subbands is estimated via Sinusoidal Frequency Modulation Fourier Transform (SMFT). Thirdly, based on the minimum entropy criterion of the synthesized compressed pulse image, residual linear phase errors between subbands are quickly acquired. Finally, two-dimensional cross-correlation of the image slice is utilized to estimate the positional deviation between polarization channels. This method only requires high-quality data samples from the echo data, then rapidly estimates both intra-band and inter-band amplitude/phase errors by using SMFT and the minimum entropy criterion, respectively, with the characteristics of low computational complexity and fast convergence speed. The effectiveness of this method is verified by the imaging results of the experimental data. Full article
Show Figures

Graphical abstract

20 pages, 619 KB  
Article
A Complexity-Based Approach to Quantum Observable Equilibration
by Marcos G. Alpino, Tiago Debarba, Reinaldo O. Vianna and André T. Cesário
Entropy 2025, 27(8), 824; https://doi.org/10.3390/e27080824 - 3 Aug 2025
Viewed by 593
Abstract
We investigate the role of a statistical complexity measure to assign equilibration in isolated quantum systems. While unitary dynamics preserve global purity, expectation values of observables often exhibit equilibration-like behavior, raising the question of whether a measure of complexity can track this process. [...] Read more.
We investigate the role of a statistical complexity measure to assign equilibration in isolated quantum systems. While unitary dynamics preserve global purity, expectation values of observables often exhibit equilibration-like behavior, raising the question of whether a measure of complexity can track this process. In addition to examining observable equilibration, we extend our analysis to study how the complexity of the quantum states evolves, providing insight into the transition from initial coherence to equilibrium. We define a classical statistical complexity measure based on observable entropy and deviation from equilibrium, which captures the dynamical progression towards equilibration and effectively distinguishes between complex and non-complex trajectories. In particular, our measure is sensitive to non-complex dynamics. Such dynamics include the quasi-periodic behavior exhibited by low-dimensional initial states, where the system explores a limited region of Hilbert space while preserving coherence. Numerical simulations of an Ising-like non-integrable Hamiltonian spin-chain model support these findings. Our work provides new insight into the emergence of equilibrium behavior from unitary dynamics and advances complexity as a meaningful tool in the study of the emergence of classicality in microscopic systems. Full article
(This article belongs to the Special Issue Quantum Nonstationary Systems—Second Edition)
Show Figures

Figure 1

24 pages, 90648 KB  
Article
An Image Encryption Method Based on a Two-Dimensional Cross-Coupled Chaotic System
by Caiwen Chen, Tianxiu Lu and Boxu Yan
Symmetry 2025, 17(8), 1221; https://doi.org/10.3390/sym17081221 - 2 Aug 2025
Cited by 1 | Viewed by 642
Abstract
Chaotic systems have demonstrated significant potential in the field of image encryption due to their extreme sensitivity to initial conditions, inherent unpredictability, and pseudo-random behavior. However, existing chaos-based encryption schemes still face several limitations, including narrow chaotic regions, discontinuous chaotic ranges, uneven trajectory [...] Read more.
Chaotic systems have demonstrated significant potential in the field of image encryption due to their extreme sensitivity to initial conditions, inherent unpredictability, and pseudo-random behavior. However, existing chaos-based encryption schemes still face several limitations, including narrow chaotic regions, discontinuous chaotic ranges, uneven trajectory distributions, and fixed pixel processing sequences. These issues substantially hinder the security and efficiency of such algorithms. To address these challenges, this paper proposes a novel hyperchaotic map, termed the two-dimensional cross-coupled chaotic map (2D-CFCM), derived from a newly designed 2D cross-coupled chaotic system. The proposed 2D-CFCM exhibits enhanced randomness, greater sensitivity to initial values, a broader chaotic region, and a more uniform trajectory distribution, thereby offering stronger security guarantees for image encryption applications. Based on the 2D-CFCM, an innovative image encryption method was further developed, incorporating efficient scrambling and forward and reverse random multidirectional diffusion operations with symmetrical properties. Through simulation tests on images of varying sizes and resolutions, including color images, the results demonstrate the strong security performance of the proposed method. This method has several remarkable features, including an extremely large key space (greater than 2912), extremely high key sensitivity, nearly ideal entropy value (greater than 7.997), extremely low pixel correlation (less than 0.04), and excellent resistance to differential attacks (with the average values of NPCR and UACI being 99.6050% and 33.4643%, respectively). Compared to existing encryption algorithms, the proposed method provides significantly enhanced security. Full article
(This article belongs to the Special Issue Symmetry in Chaos Theory and Applications)
Show Figures

Figure 1

30 pages, 9514 KB  
Article
FPGA Implementation of Secure Image Transmission System Using 4D and 5D Fractional-Order Memristive Chaotic Oscillators
by Jose-Cruz Nuñez-Perez, Opeyemi-Micheal Afolabi, Vincent-Ademola Adeyemi, Yuma Sandoval-Ibarra and Esteban Tlelo-Cuautle
Fractal Fract. 2025, 9(8), 506; https://doi.org/10.3390/fractalfract9080506 - 31 Jul 2025
Viewed by 794
Abstract
With the rapid proliferation of real-time digital communication, particularly in multimedia applications, securing transmitted image data has become a vital concern. While chaotic systems have shown strong potential for cryptographic use, most existing approaches rely on low-dimensional, integer-order architectures, limiting their complexity and [...] Read more.
With the rapid proliferation of real-time digital communication, particularly in multimedia applications, securing transmitted image data has become a vital concern. While chaotic systems have shown strong potential for cryptographic use, most existing approaches rely on low-dimensional, integer-order architectures, limiting their complexity and resistance to attacks. Advances in fractional calculus and memristive technologies offer new avenues for enhancing security through more complex and tunable dynamics. However, the practical deployment of high-dimensional fractional-order memristive chaotic systems in hardware remains underexplored. This study addresses this gap by presenting a secure image transmission system implemented on a field-programmable gate array (FPGA) using a universal high-dimensional memristive chaotic topology with arbitrary-order dynamics. The design leverages four- and five-dimensional hyperchaotic oscillators, analyzed through bifurcation diagrams and Lyapunov exponents. To enable efficient hardware realization, the chaotic dynamics are approximated using the explicit fractional-order Runge–Kutta (EFORK) method with the Caputo fractional derivative, implemented in VHDL. Deployed on the Xilinx Artix-7 AC701 platform, synchronized master–slave chaotic generators drive a multi-stage stream cipher. This encryption process supports both RGB and grayscale images. Evaluation shows strong cryptographic properties: correlation of 6.1081×105, entropy of 7.9991, NPCR of 99.9776%, UACI of 33.4154%, and a key space of 21344, confirming high security and robustness. Full article
Show Figures

Figure 1

39 pages, 9517 KB  
Article
Multidimensional Evaluation Framework and Classification Strategy for Low-Carbon Technologies in Office Buildings
by Hongjiang Liu, Yuan Song, Yawei Du, Tao Feng and Zhihou Yang
Buildings 2025, 15(15), 2689; https://doi.org/10.3390/buildings15152689 - 30 Jul 2025
Cited by 1 | Viewed by 530
Abstract
The global climate crisis has driven unprecedented agreements among nations on carbon mitigation. With China’s commitment to carbon peaking and carbon neutrality targets, the building sector has emerged as a critical focus for emission reduction, particularly because office buildings account for over 30% [...] Read more.
The global climate crisis has driven unprecedented agreements among nations on carbon mitigation. With China’s commitment to carbon peaking and carbon neutrality targets, the building sector has emerged as a critical focus for emission reduction, particularly because office buildings account for over 30% of building energy consumption. However, a systematic and regionally adaptive low-carbon technology evaluation framework is lacking. To address this gap, this study develops a multidimensional decision-making system to quantify and rank low-carbon technologies for office buildings in Beijing. The method includes four core components: (1) establishing three archetypal models—low-rise (H ≤ 24 m), mid-rise (24 m < H ≤ 50 m), and high-rise (50 m < H ≤ 100 m) office buildings—based on 99 office buildings in Beijing; (2) classifying 19 key technologies into three clusters—Envelope Structure Optimization, Equipment Efficiency Enhancement, and Renewable Energy Utilization—using bibliometric analysis and policy norm screening; (3) developing a four-dimensional evaluation framework encompassing Carbon Reduction Degree (CRD), Economic Viability Degree (EVD), Technical Applicability Degree (TAD), and Carbon Intensity Degree (CID); and (4) conducting a comprehensive quantitative evaluation using the AHP-entropy-TOPSIS algorithm. The results indicate distinct priority patterns across the building types: low-rise buildings prioritize roof-mounted photovoltaic (PV) systems, LED lighting, and thermal-break aluminum frames with low-E double-glazed laminated glass. Mid- and high-rise buildings emphasize integrated PV-LED-T8 lighting solutions and optimized building envelope structures. Ranking analysis further highlights LED lighting, T8 high-efficiency fluorescent lamps, and rooftop PV systems as the top-recommended technologies for Beijing. Additionally, four policy recommendations are proposed to facilitate the large-scale implementation of the program. This study presents a holistic technical integration strategy that simultaneously enhances the technological performance, economic viability, and carbon reduction outcomes of architectural design and renovation. It also establishes a replicable decision-support framework for decarbonizing office and public buildings in cities, thereby supporting China’s “dual carbon” goals and contributing to global carbon mitigation efforts in the building sector. Full article
Show Figures

Figure 1

46 pages, 2219 KB  
Article
Assessment and Improvement Strategies for Sustainable Development in China’s Cultural and Tourism Sector
by Wei Deng, Xuehan Chen and Lisha Jiang
Sustainability 2025, 17(13), 5964; https://doi.org/10.3390/su17135964 - 28 Jun 2025
Viewed by 1211
Abstract
Against the backdrop of sustainable development and from a macro perspective, this paper focuses on the cultural and tourism industry, measures its sustainable development efficiency, analyzes influencing factors, and systematically explores improvement paths. Based on the theoretical perspective of sustainable development, this study [...] Read more.
Against the backdrop of sustainable development and from a macro perspective, this paper focuses on the cultural and tourism industry, measures its sustainable development efficiency, analyzes influencing factors, and systematically explores improvement paths. Based on the theoretical perspective of sustainable development, this study has constructed an evaluation index system for measuring the sustainable development level of the cultural and tourism industry across four dimensions, as follows: cultural and tourism economic construction, cultural and tourism basic resources, social basic support, and ecological environment quality. The range entropy value was adopted to measure the sustainable development level of the cultural and tourism industry in 31 provinces of China from 2006 to 2023. The results show that the sustainable development level of China’s cultural and tourism industry is generally low, but shows an increasing trend. In terms of the annual growth rate of regional scores, the trend is as follows: North China (7.05%) > Central South (6.00%) > East China (5.97%) > Southwest (5.03%) > Northwest (4.56%) > Northeast (2.94%). This indicates considerable room for improvement in the future. Furthermore, this study used kernel density estimation to analyze the distribution dynamics and evolution trends of the sustainable development level of the cultural and tourism industry and its scores at all levels, revealing differences in development levels among provinces and regions. Finally, this study has innovatively adopted the fsQCA method to explore improvement paths for the sustainable development level of the cultural and tourism industry, and identified three implementation paths: “openness–human resources–consumption–environment-driven”, “human resources–consumption–environment-driven”, and “openness–environment-driven”. By constructing a multi-condition combination model, this study breaks through the limitations of traditional single-factor analysis and reveals multiple concurrent causal relationships in complex situations. This approach showcases the differentiated development models of each province under the interacting effects of multi-dimensional factors, and provides policymakers with a basis for precise policy implementation “tailored to local conditions and multi-dimensional collaboration”. Full article
Show Figures

Figure 1

22 pages, 8042 KB  
Article
Assessing Flood Risks of Small Reservoirs in Huangshan, Anhui Province, China
by Ning Yang, Gang Wang, Minglei Ren, Qingqing Sun, Rong Tang, Liping Zhao, Jintang Zhang and Yawei Ning
Water 2025, 17(12), 1786; https://doi.org/10.3390/w17121786 - 14 Jun 2025
Viewed by 890
Abstract
Based on the regional disaster system theory, this study constructed a comprehensive flood risk indicator system for small reservoirs, covering the entire flood disaster process from three dimensions: hazard, vulnerability, and exposure. The analytic hierarchy process (AHP) and entropy weight method (EW) were [...] Read more.
Based on the regional disaster system theory, this study constructed a comprehensive flood risk indicator system for small reservoirs, covering the entire flood disaster process from three dimensions: hazard, vulnerability, and exposure. The analytic hierarchy process (AHP) and entropy weight method (EW) were used to determine indicator weights, and a risk assessment was conducted for small reservoirs in Huangshan City, Anhui Province, China. The results indicate that most reservoirs exhibit medium–low overall risk, yet distinct localized high-risk zones exist. High-economic-density areas such as Tunxi District, the central–eastern parts of Huangshan District, and the central and eastern parts of Qimen County have become high-risk clusters due to prominent exposure indicators (numbers of villages and medical facilities). Reservoirs in western and northern regions exhibit higher hazard levels, primarily driven by rainfall and catchment areas. Dam height and reservoir capacity are the main factors affecting vulnerability, with no significant spatial clustering for high-vulnerability reservoirs. Through the decoupling of three-dimensional indicators, this study reveals the differentiated driving mechanisms of “hazard–vulnerability–exposure,” providing a scientific basis for optimizing flood control engineering (e.g., reservoir capacity expansion, dam reinforcement) and risk zoning management (e.g., emergency evacuation planning in high-exposure areas) for small reservoirs. Full article
(This article belongs to the Special Issue Flood Risk Assessment on Reservoirs)
Show Figures

Figure 1

46 pages, 2221 KB  
Article
A Novel Metaheuristic-Based Methodology for Attack Detection in Wireless Communication Networks
by Walaa N. Ismail
Mathematics 2025, 13(11), 1736; https://doi.org/10.3390/math13111736 - 24 May 2025
Cited by 2 | Viewed by 916
Abstract
The landscape of 5G communication introduces heightened risks from malicious attacks, posing significant threats to network security and availability. The unique characteristics of 5G networks, while enabling advanced communication, present challenges in distinguishing between legitimate and malicious traffic, making it more difficult to [...] Read more.
The landscape of 5G communication introduces heightened risks from malicious attacks, posing significant threats to network security and availability. The unique characteristics of 5G networks, while enabling advanced communication, present challenges in distinguishing between legitimate and malicious traffic, making it more difficult to detect anonymous traffic. Current methodologies for intrusion detection within 5G communication exhibit limitations in accuracy, efficiency, and adaptability to evolving network conditions. In this study, we explore the application of an adaptive optimized machine learning-based framework to improve intrusion detection system (IDS) performance in wireless network access scenarios. The framework used involves developing a lightweight model based on a convolutional neural network with 11 layers, referred to as CSO-2D-CNN, which demonstrates fast learning rates and excellent generalization capabilities. Additionally, an optimized attention-based XGBoost classifier is utilized to improve model performance by combining the benefits of parallel gradient boosting and attention mechanisms. By focusing on the most relevant features, this attention mechanism makes the model suitable for complex and high-dimensional traffic patterns typical of 5G communication. As in previous approaches, it eliminates the need to manually select features such as entropy, payload size, and opcode sequences. Furthermore, the metaheuristic Cat Swarm Optimization (CSO) algorithm is employed to fine-tune the hyperparameters of both the CSO-2D-CNN and the attention-based XGBoost classifier. Extensive experiments conducted on a recent dataset of network traffic demonstrate that the system can adapt to both binary and multiclass classification tasks for high-dimensional and imbalanced data. The results show a low false-positive rate and a high level of accuracy, with a maximum of 99.97% for multilabel attack detection and 99.99% for binary task classification, validating the effectiveness of the proposed framework in the 5G wireless context. Full article
Show Figures

Figure 1

33 pages, 7294 KB  
Article
A Study on the Spatiotemporal Coupling Characteristics and Driving Factors of China’s Green Finance and Energy Efficiency
by Hong Wu, Xuewei Wen, Xifeng Wang and Xuelian Yu
Systems 2025, 13(5), 394; https://doi.org/10.3390/systems13050394 - 20 May 2025
Viewed by 804
Abstract
In the context of global efforts to address climate change and pursue sustainable development, green finance (GF) and energy efficiency (EE) have become key issues of focus for academics and policymakers. This study explores the spatiotemporal coupling characteristics and driving factors of China’s [...] Read more.
In the context of global efforts to address climate change and pursue sustainable development, green finance (GF) and energy efficiency (EE) have become key issues of focus for academics and policymakers. This study explores the spatiotemporal coupling characteristics and driving factors of China’s green finance and energy efficiency from 2011 to 2022, aiming to help China achieve its dual carbon goals. This study used a three-dimensional framework to assess 30 provinces, considering factor inputs, expected outputs, and undesirable outputs. The study employed the global benchmark super-efficiency EBM model, entropy method, coupling coordination model (CCD), Dagum Gini coefficient decomposition, and spatiotemporal geographic weighted regression model (GTWR). Key findings include a “high in the east, low in the west” gradient distribution of both green finance and energy efficiency, expanding regional disparities, and a strong synergistic effect between technological innovation and energy regulation. Based on the findings, this paper proposes a three-tier governance framework: regional adaptation, digital integration, and institutional compensation. This study contributes to a deeper understanding of the coupling theory of environmental financial systems and provides empirical support for optimizing global carbon neutrality pathways. Full article
(This article belongs to the Section Systems Practice in Social Science)
Show Figures

Figure 1

17 pages, 3527 KB  
Article
Research on the Effectiveness of Driving Simulation Systems in Risky Traffic Environments
by Liang Chen, Jie Fang, Jingyan Li and Jiming Xie
Systems 2025, 13(5), 329; https://doi.org/10.3390/systems13050329 - 29 Apr 2025
Cited by 2 | Viewed by 1445
Abstract
Conducting research on the effectiveness of driving simulators is of great significance for enhancing the availability of driving simulator systems. However, in risky environments, traditional methods have the limitation of making it difficult to conduct real vehicle experiments. Therefore, this study proposes a [...] Read more.
Conducting research on the effectiveness of driving simulators is of great significance for enhancing the availability of driving simulator systems. However, in risky environments, traditional methods have the limitation of making it difficult to conduct real vehicle experiments. Therefore, this study proposes a method based on driver physiological indicators to evaluate the effectiveness of driving simulators in risky environments. On the one hand, the two-dimensional extended time to collision theoretical model (2D-TTC) was used to calculate the risk degree. Then, the similarity between the risk degree and the drivers’ electrocardiogram (ECG), electromyogram (EMG), and electrodermal activity (EDA) data sequences was calculated based on the dynamic time warping (DTW) model. On the other hand, we used the complexity and sample entropy of ECG and EMG as indicators to assess the drivers’ physiological load. This paper used intersections as risk scenarios to conduct driving simulation experiments to verify the feasibility of the above method. It was found that changes in drivers’ physiological indicators were consistent with changes in risk degree, with the DTW values of risk degree and drivers’ EDA tending to become smaller and the two sequence values closer to being similar. It was also found that the complexity and the sample entropy of the driver’s ECG and EMG showed higher values in the simulated poor sight intersection scenario compared to the intersection with good sight. In addition, in the simulated heavy traffic intersection scenario, physiological parameters such as EMG complexity and sample entropy, as well as ECG complexity, were higher than in the low traffic flow intersection. These findings are highly consistent with the characteristics of physiological responses in real driving environments, fully demonstrating the effectiveness of the test-driving simulation system in simulating risky traffic scenarios. The method proposed in this paper overcomes the limitations of traditional approaches and effectively validates the effectiveness of driving simulation systems in risky environments. The research results can drive further development and application of driving simulation technology. Full article
(This article belongs to the Section Systems Practice in Social Science)
Show Figures

Figure 1

Back to TopTop