Sign in to use this feature.

Years

Between: -

Subjects

remove_circle_outline
remove_circle_outline
remove_circle_outline
remove_circle_outline
remove_circle_outline
remove_circle_outline
remove_circle_outline
remove_circle_outline
remove_circle_outline

Journals

Article Types

Countries / Regions

Search Results (56)

Search Parameters:
Keywords = endotoxin activity assay

Order results
Result details
Results per page
Select all
Export citation of selected articles as:
18 pages, 4125 KB  
Article
A Safe and Multifunctional γ-PGA Hydrogel Platform: Endotoxin-Controlled Injectable Fillers and Antimicrobial Wound Dressings
by Bingbing Wang, Zejing Chu, Jingyu Wei, Ruixiang Mai, Yuan Wang, Xiaocui Wang, Yi Hou, Na Zheng, Jiao Sun and Biao Dong
Molecules 2025, 30(21), 4205; https://doi.org/10.3390/molecules30214205 - 28 Oct 2025
Viewed by 432
Abstract
In response to the limitations of hyaluronic acid (HA)—such as its high cost, short durability, and instability—in anti-aging aesthetic applications, this study developed a novel injectable micelle system, with a triple network structure. It is the particle size of approximately 400 nm and [...] Read more.
In response to the limitations of hyaluronic acid (HA)—such as its high cost, short durability, and instability—in anti-aging aesthetic applications, this study developed a novel injectable micelle system, with a triple network structure. It is the particle size of approximately 400 nm and the elevated potential that enhance the crosslinking density and mechanical strength of the hydrogel. Importantly, following ultrafiltration and purification processes, the material’s hemolysis rate measured by spectrophotometry was only 3.25%, and endotoxin levels measured by the LAL assay were less than 0.5 EU/mL (test conditions: 37 °C, pH = 7, detection limit: 0.125 EU/mL). Building on this safe and stable material platform, we further designed an antibacterial wound dressing by functionalizing γ-PGA with penicillin or benzalkonium chloride. It reduced the cellular activity of Staphylococcus aureus by 78.9% and 84.2%, respectively. The outstanding safety profile, combined with customizable functionality, positions this γ-PGA-based platform as a promising multifunctional biomaterial meeting practical standards for both aesthetic medicine and wound care applications. Full article
Show Figures

Figure 1

9 pages, 487 KB  
Review
Endotoxin Activity Assay-Guided Patient Selection for Polymyxin B Hemoperfusion: Lessons from the TIGRIS Trial and Future Directions
by Toshiaki Iba, Hideshi Okada, Takahiro Miki, Michio Mineshima and Isao Nagaoka
Healthcare 2025, 13(20), 2603; https://doi.org/10.3390/healthcare13202603 - 16 Oct 2025
Viewed by 679
Abstract
Sepsis and septic shock remain leading global causes of mortality, with endotoxin from Gram-negative bacteria playing a central role in their pathophysiology. Polymyxin B hemoperfusion (PMX-HP) was developed as an adjunctive therapy to directly remove circulating endotoxin in patients with sepsis and septic [...] Read more.
Sepsis and septic shock remain leading global causes of mortality, with endotoxin from Gram-negative bacteria playing a central role in their pathophysiology. Polymyxin B hemoperfusion (PMX-HP) was developed as an adjunctive therapy to directly remove circulating endotoxin in patients with sepsis and septic shock. Early clinical trials yielded conflicting results, largely due to challenges in patient selection. The endotoxin activity assay (EAA) has been investigated as a biomarker to identify patients most likely to benefit, but its limitations include indirect measurement, variability, and poor specificity. The recently completed TIGRIS trial, which enrolled septic shock patients with intermediate EAA values (0.60–0.89) and high organ dysfunction, demonstrated a significant survival benefit, thereby validating a targeted, precision medicine approach. This review critically appraises the role of EAA in guiding PMX-HP, highlights the lessons learned from the TIGRIS trial, and discusses complementary strategies such as integrating additional biomarkers, organ dysfunction scoring, and clinical phenotyping. Future research should embed EAA within multi-dimensional frameworks to optimize patient selection and establish PMX-HP as a precision therapy for endotoxemic sepsis and septic shock. Full article
(This article belongs to the Section Clinical Care)
Show Figures

Figure 1

20 pages, 6718 KB  
Article
Polyporusterone B Alleviates Inflammatory Injury via Suppression of Pro-Inflammatory Cytokine Production
by Dan Song, Yanru Zhang, Jialu Yuan, Xiaohua Hao, Shizhuo Chen, Xinjie Zhao and Yaomeng Yang
Int. J. Mol. Sci. 2025, 26(20), 9957; https://doi.org/10.3390/ijms26209957 - 13 Oct 2025
Viewed by 398
Abstract
Polyporusterone B, a triterpene carboxylic acid isolated from Polyporus umbellatus Fries, exhibits anti-cancer and anti-hemolytic activities; however, its anti-inflammatory properties and underlying mechanisms remain unelucidated. We studied the anti-inflammatory effects of Polyporusterone B using lipopolysaccharide (LPS)-stimulated Raw264.7 murine macrophages (in vitro) and LPS-induced [...] Read more.
Polyporusterone B, a triterpene carboxylic acid isolated from Polyporus umbellatus Fries, exhibits anti-cancer and anti-hemolytic activities; however, its anti-inflammatory properties and underlying mechanisms remain unelucidated. We studied the anti-inflammatory effects of Polyporusterone B using lipopolysaccharide (LPS)-stimulated Raw264.7 murine macrophages (in vitro) and LPS-induced endotoxin shock in C57BL/6 mice (in vivo). Results showed that Polyporusterone B (1, 5, and 10 μM) had no cytotoxicity toward Raw264.7 cells, but significantly inhibited LPS-induced production of nitric oxide (NO) and pro-inflammatory cytokines (tumor necrosis factor (TNF-α), interleukin 1β (IL-1β), and interleukin 6 (IL-6)) in a concentration- and time-dependent manner, as demonstrated by Griess assay, qPCR, and ELISA. Western blot analysis revealed that Polyporusterone B suppressed LPS-induced phosphorylation of mitogen-activated protein kinases (ERK, P38, and NK) and reduced phosphorylation-mediated degradation of inhibitor of κBα (IκBα). Immunofluorescence and immunohistochemical staining further confirmed that Polyporusterone B blocked nuclear translocation of nuclear factor kappa-B (NF-κB)/Rel A in both Raw264.7 cells and mouse tissues. In the in vivo model, Polyporusterone B pretreatment significantly mitigated LPS-induced multi-organ pathological damage (e.g., lung edema, hepatic inflammation, renal hemorrhage) and downregulated tissue levels of TNF-α, IL-1β, and IL-6. These findings suggest that Polyporusterone B exerts anti-inflammatory effects by inhibiting the mitogen-activated protein kinase (MAPK) and NF-κB signaling pathways, suggesting its potential as a therapeutic candidate for inflammatory diseases. Full article
(This article belongs to the Special Issue Cytokines in Inflammation and Health)
Show Figures

Figure 1

21 pages, 2156 KB  
Article
Advancing Pyrogen Testing for Vaccines with Inherent Pyrogenicity: Development of a Novel Reporter Cell-Based Monocyte Activation Test (MAT)
by Sijia Yi, Jenny Xu, Liping Song, Frank Celeste, Christopher J. Wang and Melissa C. Whiteman
Vaccines 2025, 13(10), 1009; https://doi.org/10.3390/vaccines13101009 - 26 Sep 2025
Viewed by 1253
Abstract
Background/Objectives: Pyrogens, fever-inducing substances from biological or environmental sources, are recognized by Toll-like receptors (TLRs) predominantly expressed by human monocytes and represent a critical quality attribute (CQA) for pharmaceutical safety. The rabbit pyrogen test (RPT), widely used for pyrogen assessment, suffers from high [...] Read more.
Background/Objectives: Pyrogens, fever-inducing substances from biological or environmental sources, are recognized by Toll-like receptors (TLRs) predominantly expressed by human monocytes and represent a critical quality attribute (CQA) for pharmaceutical safety. The rabbit pyrogen test (RPT), widely used for pyrogen assessment, suffers from high variability, limited accuracy, and poor reproducibility, particularly for vaccines containing inherent pyrogens such as outer membrane protein complex (OMPC)-based vaccines. Existing in vitro alternatives using peripheral blood mononuclear cells (PBMCs) are challenged by donor-to-donor variability and the operational complexity of ELISA readouts. To support the 3Rs (Refinement, Reduction, Replacement) and provide a more reliable quality control (QC) method, we developed a reporter cell–based monocyte activation test (MAT) suitable for release testing. Methods: We screened human monocytic reporter cell lines engineered with NFκB-responsive promoter elements driving a luminescent reporter. Reporter cells were treated with diverse endotoxin and non-endotoxin pyrogens and luminescence was quantified after stimulation. Selected THP-1-derived reporter cells were used to develop an MAT for OMPC. Assay performance was evaluated following validation guidelines: linearity, accuracy, precision, analytical range (relative to a reference lot), and robustness under deliberate parameter variations. Results: The THP-1 reporter cells could detect a wide range of pyrogens via simple luminescence readouts. For OMPC testing, the MAT demonstrated strong linearity (R2 ≥ 0.99), accuracy with relative bias within ±10.3%, and high precision (overall %RSD ≤ 6.9%) across the 25–300% range. Deliberate variations in assay parameters did not materially affect performance, indicating robustness appropriate for routine release testing. Conclusions: The implementation of reporter cell-based MAT assays enhances consistency, reliability, and efficiency in evaluating the pyrogenicity and safety of drug products, supporting global initiatives to minimize animal testing while ensuring regulatory compliance. Full article
(This article belongs to the Special Issue Vaccines and Antibody-Based Therapeutics Against Infectious Disease)
Show Figures

Figure 1

16 pages, 2234 KB  
Article
Impact of Co-Presence of Endotoxins and Microplastics on Seawater Biophysicochemical Indicators
by Hasan Saygin and Asli Baysal
Int. J. Mol. Sci. 2025, 26(15), 7178; https://doi.org/10.3390/ijms26157178 - 25 Jul 2025
Viewed by 484
Abstract
Micro/nanoplastics (MNP) and endotoxin, typical emerging contaminants, can be found in marine aqueous systems due to various natural and anthropogenic activities, and their co-occurrence may influence the biophysicochemical characteristics of seawater. Moreover, endotoxins may be transported by the micro/nanoplastics or increase the deformation [...] Read more.
Micro/nanoplastics (MNP) and endotoxin, typical emerging contaminants, can be found in marine aqueous systems due to various natural and anthropogenic activities, and their co-occurrence may influence the biophysicochemical characteristics of seawater. Moreover, endotoxins may be transported by the micro/nanoplastics or increase the deformation of these substances, comprising other risks to the ecosystem. However, the impacts of the co-occurrence of micro/nanoplastics and endotoxins in seawater remain unknown. We studied the effects of endotoxin at three concentration levels in seawater and its combined impact with micro/nanoplastics at three doses on biophysicochemical processes in seawater through spectroscopic analysis, leaching indicators (turbidity and humidification index), oxidative potential, antioxidant activity, and biofilm production. The results showed that the UV–VIS spectra of seawater changed with their co-occurrence. The co-presence of MNPs and endotoxins increased the turbidity in seawater, indicating the leaching of micro/nanoplastic in the presence of endotoxins. A higher humification index in seawater showed the formation of dissolved organic substances in micro/nanoplastic and endotoxin seawater compared to the results for untreated seawater. Dithioerythritol assay revealed the differences in oxidative potentials of plain seawater and seawater in the co-presence of micro/nanoplastics and endotoxins. An important biochemical reaction in seawater was tested using biofilm formation. The results showed higher biofilm formation in their co-presence. This study provides new insights into the effects of micro/nanoplastics and their composite pollution with endotoxins on biophysiochemical indicators in seawater. Full article
Show Figures

Figure 1

20 pages, 3062 KB  
Article
Optimal Horseshoe Crab Blood Collection Solution That Inhibits Cellular Exocytosis and Improves Production Yield of Limulus Amoebocyte Lysate for Use in Endotoxin Tests
by Mengmeng Zhang, Sophia Zhang and Jessica Zhang
Int. J. Mol. Sci. 2025, 26(14), 6642; https://doi.org/10.3390/ijms26146642 - 11 Jul 2025
Viewed by 1106
Abstract
Limulus amoebocyte lysate (LAL) assays have emerged as among the most effective approaches for detecting endotoxins and fungi in vitro since they were first tested 50 years ago. Although detailed protocols are publicly available, conventional LAL collection methods (3% sodium chloride) waste as [...] Read more.
Limulus amoebocyte lysate (LAL) assays have emerged as among the most effective approaches for detecting endotoxins and fungi in vitro since they were first tested 50 years ago. Although detailed protocols are publicly available, conventional LAL collection methods (3% sodium chloride) waste as much as 80% of the total LAL during blood accumulation, confirming the incompatibility of these methods with the lasting survival of the American horseshoe crab. For this reason, new implementations of blood collection–suspension buffer combinations are critical. Here, we evaluated the ability of different blood collection solutions to inhibit exocytosis and subsequently treated the cells with CaCl2 to stimulate exocytosis and improve the yield of LAL. Two test methods, chromogenic and turbidimetric tests for LAL activity, were evaluated. Crabs were bled during the bleeding season. The crab blood samples were collected with the following blood collection solutions: citric acid buffer, malic acid buffer, PBS buffer, and PBS–caffeine buffer. The cell pellets were washed with 3% NaCl and subsequently resuspended in LRW or CaCl2 to facilitate degranulation. Both the chromogenic test and the turbidimetric assay were used to evaluate the LAL enzyme activity. Citric acid buffer, malic acid buffer, PBS buffer, and PBS–caffeine buffer blocked exocytosis, resulting in the high yields of LAL. There was no observable effect on the activity output of crab size via a chromogenic test with PBS–caffeine buffer during the bleeding season. This protocol substantially benefited prior processes, as the PBS–caffeine collection mixture decreased amoebocyte aggregation/clot formation during processing. Furthermore, we evaluated the specific biochemical parameters of PBS–caffeine-derived LAL. We developed an accessible, promising phosphate–caffeine-based blood collection buffer that prevents amoebocyte degranulation during blood collection, maximizing the LAL yield. Moreover, our analysis revealed that phosphate–caffeine-derived LAL is uniquely adaptable to compatibility with chromogenic and turbidimetric assay techniques. By employing this method for LAL blood extraction, our same-cost approach fostered significantly greater LAL yields, simultaneously ensuring a healthy limulus polyphemus population. Full article
(This article belongs to the Section Biochemistry)
Show Figures

Figure 1

8 pages, 424 KB  
Communication
Recombinant Factor C as an In Vitro Assay for the Residual Pathogenicity Evaluation of Veterinary Autogenous Vaccines
by Antonella Di Paolo, Rosario Liberti, Lucia Anzalone, Claudia Colabella, Andrea Felici, Giulio Severi and Monica Cagiola
Vet. Sci. 2024, 11(12), 673; https://doi.org/10.3390/vetsci11120673 - 21 Dec 2024
Cited by 1 | Viewed by 2185
Abstract
Background: Veterinary autogenous vaccines, similar to all injectable pharmaceutical products, must be tested to assess endotoxin concentrations. The Limulus Amebocyte Lysate Test (LAL test) is widely used in in vitro quality control assays for endotoxin detection, although it presents some ethical issues related [...] Read more.
Background: Veterinary autogenous vaccines, similar to all injectable pharmaceutical products, must be tested to assess endotoxin concentrations. The Limulus Amebocyte Lysate Test (LAL test) is widely used in in vitro quality control assays for endotoxin detection, although it presents some ethical issues related to the production of reagents and is also characterized by a low specificity due to other contaminants that can activate the reaction. For all these reasons, a new recombinant factor C LAL test was developed. Aim: In this study, we described the comparison between two LAL test methods for in vitro quality control of veterinary autogenous vaccines, with the aim of evaluating the most suitable method and establishing an endotoxin concentration range for two different matrices. Methods: Two hundred batches of two different vaccine matrices were tested using the kinetic chromogenic LAL test and recombinant factor C endotoxin detection assay commercial kits. Results and Conclusions: Statistical analysis conducted after the validation of the recombinant factor C test exhibited a statistically significant correlation between the two methods and for both vaccine matrices, suggesting that the animal-free assay can be used as a routine quality control test for veterinary autogenous vaccines. Full article
(This article belongs to the Section Veterinary Microbiology, Parasitology and Immunology)
Show Figures

Figure 1

13 pages, 1093 KB  
Article
Diagnostic Value of Endotoxin Activity for Acute Postoperative Complications: A Study in Major Abdominal Surgery Patients
by Hye Sung Kim, Gyeo Ra Lee and Eun Young Kim
Biomedicines 2024, 12(12), 2701; https://doi.org/10.3390/biomedicines12122701 - 26 Nov 2024
Viewed by 941
Abstract
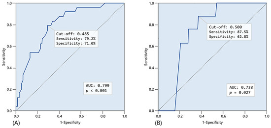
Background/Objectives: Endotoxin, a component of lipopolysaccharide (LPS) from bacteria, disrupts the immune system, potentially leading to multiorgan failure. Unlike previous studies, we enrolled patients with mild clinical conditions after major abdominal surgery and assessed the predictive value of endotoxin activity (EA) levels [...] Read more.
Background/Objectives: Endotoxin, a component of lipopolysaccharide (LPS) from bacteria, disrupts the immune system, potentially leading to multiorgan failure. Unlike previous studies, we enrolled patients with mild clinical conditions after major abdominal surgery and assessed the predictive value of endotoxin activity (EA) levels for acute complications which occur within 7 days postoperatively. Also, the differential diagnostic value of EA was assessed in a subgroup of patients with abnormal liver function during the immediate postoperative period. Methods: Patients admitted to the surgical ICU of our institution following elective abdominal surgery were enrolled. Participants were classified into low/high postoperative EA groups based on EA cutoff values for predicting complications. Additionally, participants were categorized based on liver function assessed at ICU admission using total bilirubin (TB) levels. Abnormal liver function was defined as a TB level > 1.2 mg/dL. Results: 86 patients were analyzed. The EA cutoff for postoperative complications was 0.485, with 49 patients (57%) categorized in the low EA group (EA levels < 0.485) and 37 patients (43%) in the high EA group (EA levels ≥ 0.485). The high EA group experienced statistically worse outcomes, including longer ICU stays and higher mortality rates. Logistic regression analysis confirmed that EA levels and SOFA scores were significant predictors of postoperative complications. For patients with elevated TB, the EA cutoff value for postoperative complications was 0.515, which is higher than those obtained for the total patient cohort. Conclusions: EA level is a viable surveillance tool for detecting postoperative complications in the acute period among ICU patients undergoing major abdominal surgery, and must be interpreted carefully considering the patient’s liver function. Full article
(This article belongs to the Section Molecular and Translational Medicine)
Show Figures

Graphical abstract

18 pages, 4256 KB  
Article
Cloning and Functional Analysis of Skin Host Defense Peptides from Yakushima Tago’s Brown Frog (Rana tagoi yakushimensis) and Development of Serum Endotoxin Detection System
by Taichi Aono, Saki Tamura, Yua Suzuki, Taichi Imanara, Ryosei Niwa, Yoshie Yamane, Tetsuya Kobayashi, Sakae Kikuyama, Itaru Hasunuma and Shawichi Iwamuro
Antibiotics 2024, 13(12), 1127; https://doi.org/10.3390/antibiotics13121127 - 24 Nov 2024
Cited by 1 | Viewed by 1817
Abstract
Background/Objective: Amphibian skin is a valuable source of host defense peptides (HDPs). This study aimed to identify HDPs with novel amino acid sequences from the skin of Rana tagoi yakushimensis and analyze their functions. Methods: cDNAs encoding HDP precursors were cloned and sequenced [...] Read more.
Background/Objective: Amphibian skin is a valuable source of host defense peptides (HDPs). This study aimed to identify HDPs with novel amino acid sequences from the skin of Rana tagoi yakushimensis and analyze their functions. Methods: cDNAs encoding HDP precursors were cloned and sequenced using RT-PCR and 3′-RACE. The novel HDPs were synthesized to evaluate their antimicrobial activity, antioxidant activity, and cytotoxicity. Antimicrobial activity was evaluated by way of broth microdilution and endotoxin- and β-glucan-binding capacity using an enzyme-linked endotoxin binding assay (ELEBA) and a modified ELEBA, respectively. Results: Nine cDNAs encoding precursors for various HDP families, including temporin, ranatuerin-2, brevinin-1, amurin-9, and a novel yakushimin peptide, were identified. Brevinin-1TYa exhibited antibacterial activity against Staphylococcus aureus, and brevinin-1TYa and amurin-9TYa induced morphological changes in Escherichia coli and S. aureus. Yakushimin-TYa, amurin-9TYa, and brevinin-1TYa showed concentration-dependent antibacterial effects against the plant pathogens Xanthomonas oryzae pv. oryzae and Clavibacter michiganensis subsp. michiganensis. Amurin-9TYa demonstrated strong binding affinity to lipopolysaccharide, lipoteichoic acid, and β-glucan, exhibited antioxidant activity, and lacked cytotoxicity, making it a promising therapeutic candidate. Moreover, brevinin-1TYa showed strong cytotoxicity, whereas yakushimin-TYa exhibited weak cytotoxicity. Conclusions: These findings highlight the potential of these peptides, particularly amurin-9TYa, for future applications as antimicrobial and therapeutic agents. Full article
(This article belongs to the Special Issue Development of Antimicrobial Peptides from Amphibian, 2nd Edition)
Show Figures

Graphical abstract

12 pages, 1263 KB  
Article
Gut Permeability and Immune-Mediated Inflammation in Heart Failure
by Maria Perticone, Simona Gigliotti, Ermal Shehaj, Raffaele Maio, Edoardo Suraci, Sofia Miceli, Francesco Andreozzi, Giovanni Matera and Francesco Perticone
Biomedicines 2024, 12(6), 1217; https://doi.org/10.3390/biomedicines12061217 - 30 May 2024
Cited by 8 | Viewed by 2096
Abstract
Heart failure (HF) is characterized by low-grade immune-mediated inflammation due to increased Toll-like receptor (TLR) expression as response to endotoxin increase and dysregulated gut barrier permeability. We investigated TLR expression and possible gut dysbiosis in HF patients compared to a control group. We [...] Read more.
Heart failure (HF) is characterized by low-grade immune-mediated inflammation due to increased Toll-like receptor (TLR) expression as response to endotoxin increase and dysregulated gut barrier permeability. We investigated TLR expression and possible gut dysbiosis in HF patients compared to a control group. We enrolled 80 Caucasian HF patients and 20 controls. Low-grade immune-mediated inflammation was evaluated by TLR expression, while gut dysbiosis by the detection of zonulin and bacterial endotoxin activity in a semi-quantitative (endotoxin activity assay [EAA]) and quantitative (limulus amebocyte lysate [LAL] test) way. Compared to controls, patients with HF showed significantly higher age and blood pressure values, worse metabolic profile and kidney function, higher inflammatory biomarkers levels, and lower levels of zonulin and endotoxin activity. When dividing failing patients in those with reduced ejection fraction (HF-rEF) and those with preserved ejection fraction (HF-pEF), HF-rEF patients showed significantly higher values of inflammatory biomarkers and TLR expression than HF-pEF patients. Gut permeability biomarkers inversely correlated with the severity of HF and positively with renal function. eGFR was retained as an independent predictor of zonulin variation in all the three groups of failing patients. Present data work to extend current knowledge about the role of gut microbiota in immune-mediated inflammation in HF. Full article
(This article belongs to the Special Issue Recent Advances in Gut Microbiome and Heart Failure)
Show Figures

Figure 1

2 pages, 121 KB  
Abstract
The Intake of Sucrose but Not of the Intense Sweetener Sucralose Is Associated with Postprandial Endotoxemia in Healthy Young Adults
by Raphaela Staltner, Anja Baumann and Ina Bergheim
Proceedings 2023, 91(1), 287; https://doi.org/10.3390/proceedings2023091287 - 6 Feb 2024
Viewed by 1453
Abstract
Background and objectives: Similar to saturated fat, a diet rich in sugar may contribute to the development of overweight and obesity and associated metabolic diseases, like type 2 diabetes and metabolic dysfunction associated steatotic liver disease (MASLD). Herein, effects on intestinal microbiota composition [...] Read more.
Background and objectives: Similar to saturated fat, a diet rich in sugar may contribute to the development of overweight and obesity and associated metabolic diseases, like type 2 diabetes and metabolic dysfunction associated steatotic liver disease (MASLD). Herein, effects on intestinal microbiota composition and barrier function subsequently leading to an increased translocation of bacterial endotoxin and activation of Toll-like receptor (TLR) 4-dependent signaling cascade are discussed to be critical. In recent years, the use of artificial sweeteners to sweeten food and beverages has markedly increased despite a still limited knowledge on health effects. Results of animal studies suggest that an extended intake of sweeteners like sucralose may alter intestinal microbiota composition and gut barrier function when consumed at high levels. In the present pilot study, we assessed the effects of an acute intake of sucrose and the artificial sweetener sucralose in physiological relevant doses in beverages on postprandial endotoxemia in healthy, normal-weight young adults. Methods: A total of 11 men and women aged 24–31 year were enrolled in this randomized placebo controlled single-blinded study in cross-over design which was approved by the ethics committee of the University of Vienna (Clinical trial: NCT04788680). After an initial blood collection and a 2 day nutritional standardization, according to the recommendations of the German, Austrian and Swiss (DACH) nutritional societies, and a second fasted blood collection, participants consumed either a beverage containing sucrose (110 g), sucralose (180 mg, iso-sweet) or an isocaloric combination of sucralose (180 mg) + maltodextrin (110 g) in a randomized order along with a standardized breakfast. Blood was collected 1, 2 and 3 h after consumption of the beverage. Bacterial endotoxin levels in plasma were measured using LAL assay. Results: After nutritional standardization, bacterial endotoxin levels were significantly lower than before. Furthermore, 2 h after the intake of the sucrose sweetened beverage, bacterial endotoxin levels were significantly higher in plasma compared to baseline levels. A similar increase in bacterial endotoxin levels in plasma was not detected after the intake of the beverage sweetened with sucralose. Discussion: Our data suggest that the intake of a sucrose but not sucralose sweetened beverage results in post-prandial endotoxemia. Full article
(This article belongs to the Proceedings of The 14th European Nutrition Conference FENS 2023)
13 pages, 1728 KB  
Article
Inflammation in Hypervolemic Hemodialysis Patients: The Roles of RelB and Caspase-4
by Christof Ulrich, Zeynep Canim, Eva Herberger, Matthias Girndt and Roman Fiedler
Int. J. Mol. Sci. 2023, 24(24), 17550; https://doi.org/10.3390/ijms242417550 - 16 Dec 2023
Cited by 4 | Viewed by 1637
Abstract
Hypervolemia is associated with inflammation in hemodialysis (HD) patients. How hypervolemia triggers inflammation is not entirely known. We initiated a cross-sectional study enrolling 40 hemodialysis patients who were categorized into normovolemic (N; 23) and hypervolemic (H; 17) groups by bioimpedance measurement. A caspase [...] Read more.
Hypervolemia is associated with inflammation in hemodialysis (HD) patients. How hypervolemia triggers inflammation is not entirely known. We initiated a cross-sectional study enrolling 40 hemodialysis patients who were categorized into normovolemic (N; 23) and hypervolemic (H; 17) groups by bioimpedance measurement. A caspase activity assay in combination with a specific caspase-4 inhibitor was used to detect caspase-4 activity in isolated peripheral blood mononuclear cells (PBMCs). Transcription factors RelA (pS529) and RelB (pS552) were analyzed by phospho-flow cytometry. Serum endotoxins were detected by an amebocyte lysate-based assay, and IL-6 (interleukin-6) and TNF-α (Tumor necrosis factor-α) gene expression were detected using the ELISA technique. Hypervolemic patients were older, more frequently had diabetes and showed increased CRP and IL-6 levels. Caspase-4 activity, which is linked to intracellular endotoxin detection, was significantly elevated in H patients. While the frequency of RelA-expressing immune cells and the expression density in these cells did not differ, the monocytic frequency of cells positively stained for RelB (pS552) was significantly decreased in H patients. Increased caspase-4 activity in H patients may indicate a cause of inflammation in H patients. The post-translational modification of RelB (pS552) is linked to downregulation of NF-kB activity and may indicate the resolution of inflammation, which is more distinct in N patients compared to H patients. Therefore, both higher inflammatory loads and lower inflammatory resolution capacities are characteristics of H patients. Full article
(This article belongs to the Special Issue Renal Dysfunction, Uremic Compounds, and Other Factors 2.0)
Show Figures

Figure 1

11 pages, 1539 KB  
Review
Endotoxic Septic Shock: Diagnosis and Treatment
by Debra M. Foster and John A. Kellum
Int. J. Mol. Sci. 2023, 24(22), 16185; https://doi.org/10.3390/ijms242216185 - 10 Nov 2023
Cited by 38 | Viewed by 8906
Abstract
Endotoxin, also referred to as lipopolysaccharide (LPS), is a potent stimulator of the inflammatory cascade which may progress to sepsis and septic shock. The term endotoxic septic shock has been used for patients who have a clinical phenotype that is characterized by high [...] Read more.
Endotoxin, also referred to as lipopolysaccharide (LPS), is a potent stimulator of the inflammatory cascade which may progress to sepsis and septic shock. The term endotoxic septic shock has been used for patients who have a clinical phenotype that is characterized by high endotoxin activity in addition to a high burden of organ failure; especially a pattern of organ failure including hepatic dysfunction, acute kidney injury, and various forms of endothelial dysfunction. Endotoxic septic shock has been a target for drug therapy for decades with no success. A likely barrier to their success was the inability to quantify endotoxin in the bloodstream. The Endotoxin Activity Assay (EAA) is positioned to change this landscape. In addition, medical devices using adsorptive technology in an extra-corporeal circulation has been shown to remove large quantities of endotoxin from the bloodstream. Focusing on the use of EAA to determine high concentrations of endotoxin will allow patients with endotoxic septic shock to be identified quickly and these patients may benefit most from removal of endotoxin using extracorporeal methods. Full article
(This article belongs to the Special Issue Sepsis and Septic Shock: From Molecular Mechanisms to Novel Therapies)
Show Figures

Figure 1

9 pages, 2489 KB  
Communication
Human PBMCs Form Lipid Droplets in Response to Spike Proteins
by Kokilavani Sivaraman, Paco Pino, Guillaume Raussin, Stephanie Anchisi, Charles Metayer, Nicolas Dagany, Julia Held, Sabine Wrenger, Tobias Welte, Maria J. Wurm, Florian M. Wurm, Beata Olejnicka and Sabina Janciauskiene
Microorganisms 2023, 11(11), 2683; https://doi.org/10.3390/microorganisms11112683 - 1 Nov 2023
Cited by 1 | Viewed by 2382
Abstract
Intracellular lipid droplets (LDs) can accumulate in response to inflammation, metabolic stresses, and other physiological/pathological processes. Herein, we investigated whether spike proteins of SARS-CoV-2 induce LDs in human peripheral blood mononuclear cells (PBMCs) and in pulmonary microvascular endothelial cells (HPMECs). PBMCs or HPMECs [...] Read more.
Intracellular lipid droplets (LDs) can accumulate in response to inflammation, metabolic stresses, and other physiological/pathological processes. Herein, we investigated whether spike proteins of SARS-CoV-2 induce LDs in human peripheral blood mononuclear cells (PBMCs) and in pulmonary microvascular endothelial cells (HPMECs). PBMCs or HPMECs were incubated alone or with endotoxin-free recombinant variants of trimeric spike glycoproteins (Alpha, Beta, Delta, and Omicron, 12 µg/mL). Afterward, cells were stained with Oil Red O for LDs, cytokine release was determined through ELISA, and the gene expression was analyzed through real-time PCR using TaqMan assays. Our data show that spikes induce LDs in PBMCs but not in HPMECs. In line with this, in PBMCs, spike proteins lower the expression of genes involving lipid metabolism and LD formation, such as SREBF1, HMGCS1, LDLR, and CD36. On the other hand, PBMCs exposed to spikes for 6 or 18 h did not increase in IL-1β, IL-6, IL-8, MCP-1, and TNFα release or expression as compared to non-treated controls. Thus, spike-induced LD formation in PBMCs seems to not be related to cell inflammatory activation. Further detailed studies are warranted to investigate in which specific immune cells spikes induce LDs, and what are the pathophysiological mechanisms and consequences of this induction in vivo. Full article
(This article belongs to the Section Virology)
Show Figures

Figure 1

26 pages, 5421 KB  
Article
Endoplasmic Reticulum Stress Promotes the Expression of TNF-α in THP-1 Cells by Mechanisms Involving ROS/CHOP/HIF-1α and MAPK/NF-κB Pathways
by Nadeem Akhter, Ajit Wilson, Hossein Arefanian, Reeby Thomas, Shihab Kochumon, Fatema Al-Rashed, Mohamed Abu-Farha, Ashraf Al-Madhoun, Fahd Al-Mulla, Rasheed Ahmad and Sardar Sindhu
Int. J. Mol. Sci. 2023, 24(20), 15186; https://doi.org/10.3390/ijms242015186 - 14 Oct 2023
Cited by 51 | Viewed by 7178
Abstract
Obesity and metabolic syndrome involve chronic low-grade inflammation called metabolic inflammation as well as metabolic derangements from increased endotoxin and free fatty acids. It is debated whether the endoplasmic reticulum (ER) stress in monocytic cells can contribute to amplify metabolic inflammation; if so, [...] Read more.
Obesity and metabolic syndrome involve chronic low-grade inflammation called metabolic inflammation as well as metabolic derangements from increased endotoxin and free fatty acids. It is debated whether the endoplasmic reticulum (ER) stress in monocytic cells can contribute to amplify metabolic inflammation; if so, by which mechanism(s). To test this, metabolic stress was induced in THP-1 cells and primary human monocytes by treatments with lipopolysaccharide (LPS), palmitic acid (PA), or oleic acid (OA), in the presence or absence of the ER stressor thapsigargin (TG). Gene expression of tumor necrosis factor (TNF)-α and markers of ER/oxidative stress were determined by qRT-PCR, TNF-α protein by ELISA, reactive oxygen species (ROS) by DCFH-DA assay, hypoxia-inducible factor 1-alpha (HIF-1α), p38, extracellular signal-regulated kinase (ERK)-1,2, and nuclear factor kappa B (NF-κB) phosphorylation by immunoblotting, and insulin sensitivity by glucose-uptake assay. Regarding clinical analyses, adipose TNF-α was assessed using qRT-PCR/IHC and plasma TNF-α, high-sensitivity C-reactive protein (hs-CRP), malondialdehyde (MDA), and oxidized low-density lipoprotein (OX-LDL) via ELISA. We found that the cooperative interaction between metabolic and ER stresses promoted TNF-α, ROS, CCAAT-enhancer-binding protein homologous protein (CHOP), activating transcription factor 6 (ATF6), superoxide dismutase 2 (SOD2), and nuclear factor erythroid 2-related factor 2 (NRF2) expression (p ≤ 0.0183),. However, glucose uptake was not impaired. TNF-α amplification was dependent on HIF-1α stabilization and p38 MAPK/p65 NF-κB phosphorylation, while the MAPK/NF-κB pathway inhibitors and antioxidants/ROS scavengers such as curcumin, allopurinol, and apocynin attenuated the TNF-α production (p ≤ 0.05). Individuals with obesity displayed increased adipose TNF-α gene/protein expression as well as elevated plasma levels of TNF-α, CRP, MDA, and OX-LDL (p ≤ 0.05). Our findings support a metabolic–ER stress cooperativity model, favoring inflammation by triggering TNF-α production via the ROS/CHOP/HIF-1α and MAPK/NF-κB dependent mechanisms. This study also highlights the therapeutic potential of antioxidants in inflammatory conditions involving metabolic/ER stresses. Full article
Show Figures

Figure 1

Back to TopTop