Gut Permeability and Immune-Mediated Inflammation in Heart Failure
Abstract
1. Introduction
2. Materials and Methods
2.1. Echocardiographic Measurements
2.2. Laboratory Determinations
2.3. Serum Zonulin Assay
2.4. Endotoxin Activity Assay
2.5. Limulus Amebocyte Lysate (LAL) Test
2.6. Evaluation of TLR2 and TLR4 Expression
2.7. Statistical Analysis
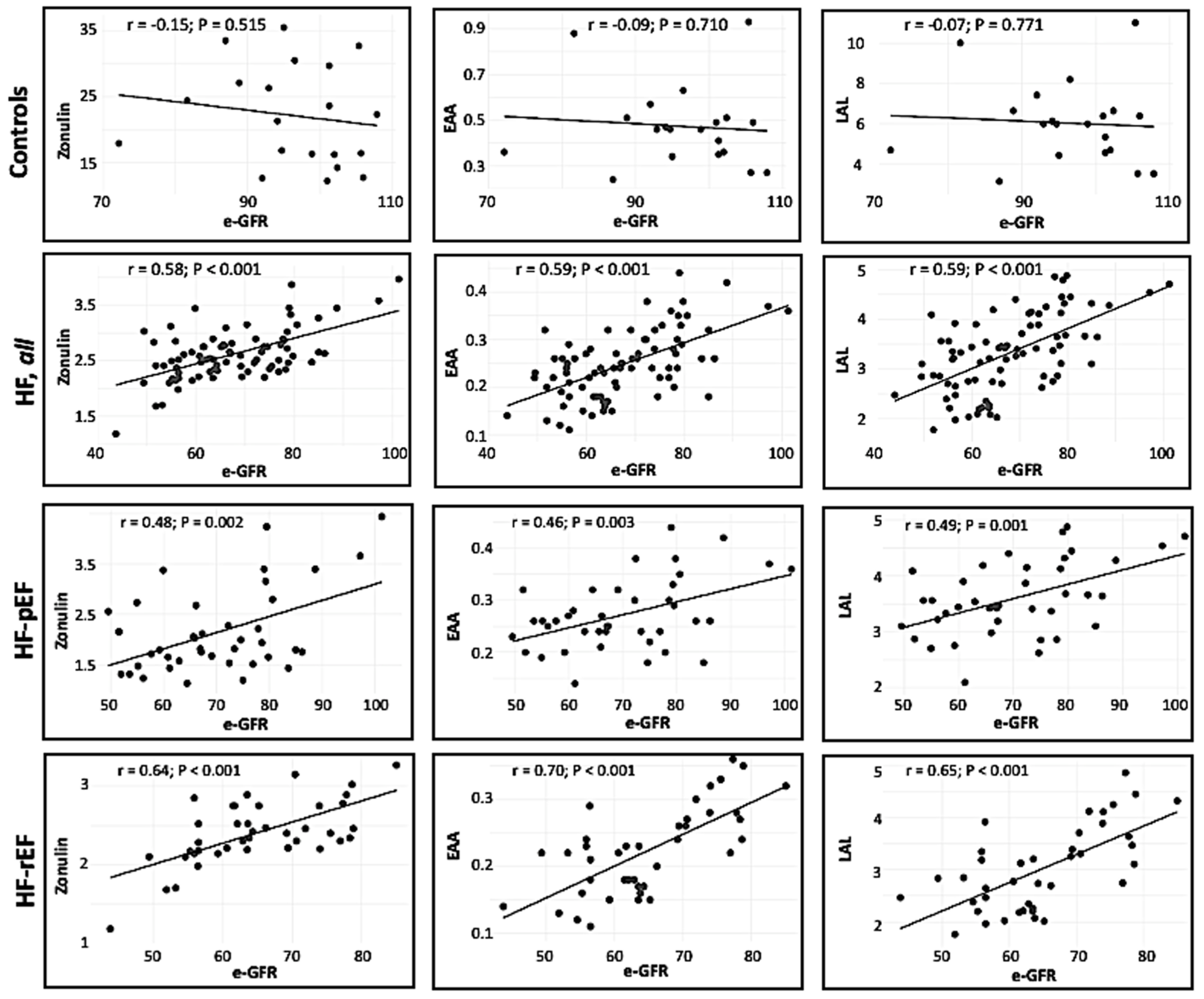
3. Results
4. Discussion
5. Conclusions
Author Contributions
Funding
Institutional Review Board Statement
Informed Consent Statement
Data Availability Statement
Conflicts of Interest
References
- McDonagh, T.A.; Metra, M.; Adamo, M.; Gardner, R.S.; Baumbach, A.; Böhm, M.; Burri, H.; Butler, J.; Čelutkiené, J.; Chioncel, O.; et al. 2021 ESC Guidelines for the diagnosis and treatment of acute and chronic heart failure: Developed by the Task Force for the diagnosis and treatment of acute and chronic heart failure of the European Society of Cardiology (ESC). With the special contribution of the Herat Failure Association (HFA) of the ESC. Eur. Heart J. 2021, 42, 3599–3726. [Google Scholar] [CrossRef] [PubMed]
- Shah, A.D.; Langenberg, C.; Rapsomaniki, E.; Denaxas, S.; Pujades-Rodriguez, M.; Gale, C.P.; Deanfield, J.; Smeeth, L.; Timmis, A.; Hemingway, H. Type 2 diabetes and incidence of cardiovascular diseases: A cohort study in 19 million people. Lancet Diabetes Endocrinol. 2015, 3, 105–113. [Google Scholar] [CrossRef] [PubMed]
- Owan, T.E.; Hodge, D.O.; Herges, R.M.; Jacobsen, S.J.; Roger, V.L.; Redfield, M.M. Trends in prevalence and outcome of heart failure with preserved ejection fraction. N. Engl. J. Med. 2006, 355, 252–259. [Google Scholar] [CrossRef] [PubMed]
- Seferovic, P.M.; Ponikowski, P.; Anker, S.D.; Bauersachs, J.; Chioncel, O.; Cleland, J.G.F.; de Boer, R.A.; Drexel, H.; Gal, T.B.; Hill, L.; et al. Clinical practice update on heart failure 2019: Pharmacotherapy, procedures, devices and patient management. An expert consensus meeting report of the Heart Failure Association of the European Society of Cardiology. Eur. J. Heart Fail. 2019, 21, 1169–1186. [Google Scholar] [CrossRef]
- Piña, I.L.; Allen, L.A.; Desai, N.R. Managing the economic challenges in the treatment of heart failure. BMC Cardiovasc. Disord. 2021, 21, 612. [Google Scholar] [CrossRef] [PubMed]
- Van Linthout, S.; Tschöpe, C. Inflammation—Cause or consequence of heart failure or both? Curr. Heart Fail. Rep. 2017, 14, 251–265. [Google Scholar] [CrossRef] [PubMed]
- Dick, S.A.; Epelman, S. Chronic heart failure and inflammation. What do we really know? Circ. Res. 2016, 119, 159–176. [Google Scholar] [CrossRef]
- Bezhaeva, T.; Karper, J.; Quax, P.H.A.; de Vries, M.R. The intriguing role of TLR accessory molecules in cardiovascular health and disease. Front. Cardiovasc. Med. 2022, 9, 820962. [Google Scholar] [CrossRef]
- Mann, D.L. Innate immunity and the failing heart: The cytokine hypothesis revisited. Circ. Res. 2015, 116, 1254–1268. [Google Scholar] [CrossRef]
- Perticone, M.; Zito, R.; Miceli, S.; Pinto, A.; Suraci, E.; Greco, M.; Gigliotti, S.; Hribal, M.L.; Corrao, S.; Sesti, G.; et al. Immunity, inflammation and heart failure: Their role on cardiac function and iron status. Front. Immunol. 2019, 10, 2315. [Google Scholar] [CrossRef]
- Frantz, S.; Ertl, G.; Bauersachs, J. Mechanisms of disease: Toll-like receptors in cardiovascular disease. Nat. Clin. Pract. Cardiovasc. Med. 2007, 4, 444–454. [Google Scholar] [CrossRef] [PubMed]
- Niebauer, J.; Volk, H.D.; Kemp, M.; Dominguez, M.; Schuhmann, R.R.; Rauchhaus, M.; Poole-Wilson, P.A.; Coats, A.J.; Anker, S.D. Endotoxin and immune activation in chronic heart failure: A prospective cohort study. Lancet 1999, 353, 1838–1842. [Google Scholar] [CrossRef] [PubMed]
- Ebner, N.; Földes, G.; Schomburg, L.; Renko, K.; Springer, J.; Jankowska, E.A.; Sharma, R.; Genth-Zotz, S.; Doehner, W.; Anker, S.D.; et al. Lipopolysaccharide responsiveness is an independent predictor of death in patients with chronic heart failure. J. Mol. Cell. Cardiol. 2015, 87, 48–53. [Google Scholar] [CrossRef] [PubMed]
- Pasini, E.; Aquilani, R.; Testa, C.; Baiardi, P.; Angioletti, S.; Boschi, F.; Verri, M.; Dioguardi, F. Pathogenic gut flora in patients with chronic heart failure. JACC Heart Fail. 2016, 4, 220–227. [Google Scholar] [CrossRef] [PubMed]
- Wang, W.; Zhu, L.J.; Leng, Y.Q.; Wang, Y.W.; Shi, T.; Wang, W.Z.; Sun, J.C. Inflammatory response: A crucial way for gut microbes to regulate cardiovascular diseases. Nutrients 2023, 15, 607. [Google Scholar] [CrossRef] [PubMed]
- Lupu, V.V.; Raileanu, A.A.; Mihai, C.M.; Morariu, I.D.; Lupu, A.; Starcea, I.M.; Frasinariu, O.E.; Mocanu, A.; Dragan, F.; Fotea, S. The implication of the gut microbiome in heart failure. Cells 2023, 12, 1158. [Google Scholar] [CrossRef] [PubMed]
- Fasano, A. Zonulin and its regulation of intestinal barrier function: The biological door to inflammation, autoimmunity, and cancer. Physiol. Rev. 2011, 91, 151–175. [Google Scholar] [CrossRef] [PubMed]
- Jayashree, B.; Bibin, Y.S.; Prabhu, D.; Shanthirani, C.S.; Gokulakrishnan, K.; Lakshmi, B.S.; Mohan, V.; Balasubramanyam, M. Increased circulatory levels of lipopolysaccharide (LPS) and zonulin signify novel biomarkers of proinflammation in patients with type 2 diabetes. Mol. Cell. Biochem. 2014, 388, 203–210. [Google Scholar] [CrossRef]
- Madan, S.; Mehra, M.R. Gut dysbiosis and heart failure: Navigating the universe within. Eur. J. Heart Fail. 2020, 22, 629–637. [Google Scholar] [CrossRef]
- Tang, W.H.W.; Backhed, F.; Landmesser, U.; Hazen, S.L. Intestinal microbiota in cardiovascular health and disease: JACC state-of-the-art review. J. Am. Coll. Cardiol. 2019, 73, 2089–2105. [Google Scholar] [CrossRef]
- Violi, F.; Cammisotto, V.; Bartimoccia, S.; Pignatelli, P.; Carnevale, R.; Nocella, C. Gut-derived low-grade endotoxaemia, atherothrombosis and cardiovascular disease. Nat. Rev. Cardiol. 2023, 20, 24–37. [Google Scholar] [CrossRef] [PubMed]
- Gomes, J.M.G.; de Costa, J.A.; de Alfenas, R.C.G. Metabolic endotoxemia and diabetes mellitus: A systematic review. Metabolism 2017, 68, 133–144. [Google Scholar] [CrossRef] [PubMed]
- Carpino, G.; Del Ben, M.; Pastori, D.; Carnevale, R.; Baratta, F.; Overi, D.; Francis, H.; Cardinale, V.; Onori, P.; Safarikia, S.; et al. Increased liver localization of lipopolysaccharides in human and experimental NAFLD. Hepatology 2020, 72, 470–485. [Google Scholar] [CrossRef]
- Devereux, R.B.; Alonso, D.R.; Lutas, E.M.; Gottlieb, G.J.; Campo, E.; Sachs, I.; Reicheck, N. Echocardiographic assessment of left ventricular hypertrophy: Comparison to necropsy findings. Am. J. Cardiol. 1986, 57, 450–458. [Google Scholar] [CrossRef]
- Liu, L.; Wang, Y.; Cao, Z.Y.; Wang, M.M.; Liu, X.M.; Gao, T.; Hu, Q.K.; Yuan, W.J.; Lin, L. Up-regulated TLR4 in cardiomyocytes exacerbates heart failure after long-term myocardial infarction. J. Cell. Mol. Med. 2015, 19, 2728–2740. [Google Scholar] [CrossRef]
- El Asmar, R.; Panigrahi, P.; Bamford, P.; Berti, I.; Not, T.; Coppa, G.V. Host-dependent zonulin secretion causes the impairment of the small intestine barrier function after bacterial exposure. Gastroenterology 2002, 123, 1607–1615. [Google Scholar] [CrossRef] [PubMed]
- Valitutti, F.; Fasano, A. Breaking Down Barriers: How Understanding Celiac Disease Pathogenesis Informed the Development of Novel Treatments. Dig. Dis. Sci. 2019, 64, 1748–1758. [Google Scholar] [CrossRef]
- Carpes, L.S.; Nicoletto, B.B.; Canani, L.H.; Rheinhemer, J.; Crispim, D.; Souza, G.C. Could serum zonulin be an intestinal permeability marker in diabetes kidney disease? PLoS ONE 2021, 16, e0253501. [Google Scholar] [CrossRef] [PubMed]
- Dschietzig, T.B.; Boschann, F.; Ruppert, J.; Armbruster, F.P.; Meinitzer, A.; Bankovic, D.; Mitrovic, V.; Melzer, C. Plasma Zonulin and its Association with Kidney Function, Severity of Heart Failure, and Metabolic Inflammation. Clin. Lab. 2016, 62, 2443–2447. [Google Scholar] [CrossRef]
- Yuan, J.H.; Xie, Q.S.; Chen, G.C.; Huang, C.L.; Yu, T.; Chen, Q.K.; Li, J.Y. Impaired intestinal barrier function in type 2 diabetic patients measured by serum LPS, Zonulin, and IFABP. J. Diabetes Complicat. 2021, 35, 107766. [Google Scholar] [CrossRef]
- Hasslacher, C.; Kulozik, F.; Platten, I.; Kraft, M.; Siegel, E. Serum zonulin as parameter of intestinal permeability in longstanding type 2 diabetes: Correlations with metabolism parameters and renal function. J. Diabetes Metab. Disord. Control 2018, 5, 58–62. [Google Scholar] [CrossRef]



| Controls (n = 20) | HF (n = 80) | p | HF-rEF (n = 40) | HF-pEF (n = 40) | p | |
|---|---|---|---|---|---|---|
| Gender, m/f | 13/7 | 47/33 | 0.609 | 31/9 | 16/24 | 0.0007 |
| Age, yrs | 54.8 ± 4.9 | 64.5 ± 5.3 | 0.0001 | 64.2 ± 5.9 | 64.9 ± 4.6 | 0.279 |
| SBP, mmHg | 116.7 ± 8.1 | 124.9 ± 10.6 | 0.0001 | 119.5 ± 10.3 | 130.3 ± 7.8 | 0.0001 |
| DBP, mmHg | 75.5 ± 7.3 | 74.8 ± 6.4 | 0.336 | 72.2 ± 6.2 | 77.5 ± 5.6 | 0.0001 |
| Glucose, mg/dL | 88.4 ± 6.1 | 105.0 ± 9.8 | 0.0001 | 102.0 ± 10.5 | 107.9 ± 8.1 | 0.003 |
| Cholesterol, mg/dL | 195.0 ± 19.7 | 217.0 ± 14.9 | 0.0001 | 215.2 ± 16.2 | 218.8 ± 13.3 | 0.140 |
| LDL-Chol, mg/dL | 127.4 ± 20.1 | 142.6 ± 15.2 | 0.0001 | 142.3 ± 18.7 | 142.9 ± 10.9 | 0.431 |
| HDL-Chol, mg/dL | 55.1 ± 15.1 | 46.1 ± 7.5 | 0.0001 | 47.1 ± 6.5 | 45.2 ± 8.3 | 0.129 |
| Triglyceride, mg/dL | 89.4 ± 15.1 | 142.3 ± 20.3 | 0.0001 | 132.0 ± 21.5 | 152.7 ± 12.5 | 0.0001 |
| Creatinine, mg/dL | 0.81 ± 0.13 | 1.05 ± 0.14 | 0.0001 | 1.13 ± 0.13 | 0.97 ± 0.11 | 0.0001 |
| e-GFR, mL/min × 1.73 m2 | 96.3 ± 8.9 | 67.5 ± 11.4 | 0.0001 | 64.8 ± 9.6 | 70.2 ± 12.6 | 0.017 |
| Uric acid, mg/dL | 3.9 ± 0.7 | 6.1 ± 0.7 | 0.0001 | 6.4 ± 0.8 | 5.9 ± 0.4 | 0.0001 |
| NT-proBNP, pg/mL | 62.6 ± 16.1 | 401.1 ± 312.7 | 0.0001 | 683.4 ± 177.8 | 118.9 ± 55.9 | 0.0001 |
| EAA | 0.47 ± 0.18 | 0.25 ± 0.07 | 0.0001 | 0.22 ± 0.07 | 0.27 ± 0.07 | 0.001 |
| LAL, EU/mL | 6.15 ± 2.33 | 3.31 ± 0.95 | 0.0001 | 3.02 ± 0.80 | 3.60 ± 0.66 | 0.0001 |
| Zonulin, ng/dL | 21.9 ± 7.8 | 2.61 ± 0.46 | 0.0001 | 2.40 ± 0.40 | 2.82 ± 0.40 | 0.0001 |
| TLR2, MFI | 974 ± 228 | 1281 ± 310 | 0.0001 | 1409 ± 236 | 1147 ± 247 | 0.0001 |
| TLR4, MFI | 320 ± 152 | 469 ± 161 | 0.0001 | 539 ± 187 | 400 ± 74 | 0.0001 |
| WBCs, 103/uL | 6.25 ± 0.91 | 7.78 ± 1.15 | 0.0001 | 8.78 ± 1.04 | 7.38 ± 1.12 | 0.0001 |
| Neutrophils, % | 60.8 ± 6.8 | 68.1 ± 5.6 | 0.0001 | 71.1 ± 4.9 | 64.9 ± 4.5 | 0.0001 |
| hs-CRP, mg/L | 1.93 ± 0.83 | 4.0 ± 1.6 | 0.0001 | 4.8 ± 1.3 | 3.2 ± 1.4 | 0.0001 |
| Fibrinogen, mg/dL | 137.0 ± 31.2 | 281.2 ± 68.2 | 0.0001 | 320.9 ± 66.1 | 241.5 ± 42.6 | 0.0001 |
| Echocardiographic parameters | ||||||
| EF, % | 66.1 ± 4.8 | 45.6 ± 13.6 | 0.0001 | 32.9 ± 4.7 | 58.3 ± 4.6 | 0.0001 |
| i-LVM, g/m2 | 93.4 ± 10.3 | 135.2 ± 13.7 | 0.0001 | 130.7 ± 9.6 | 139.6 ± 15.8 | 0.001 |
| ed-LVID, mm | 51.1 ± 2.4 | 59.3 ± 5.3 | 0.0001 | 63.7 ± 4.9 | 54.8 ± 5.6 | 0.0001 |
| es-LVID, mm | 35.5 ± 2.1 | 48.3 ± 8.1 | 0.0001 | 55.8 ± 3.0 | 40.9 ± 2.9 | 0.0001 |
| IVS, mm | 9.5 ± 0.9 | 10.7 ± 1.7 | 0.001 | 9.3 ± 0.9 | 12.1 ± 1.2 | 0.0001 |
| PW, mm | 9.6 ± 0.8 | 10.3 ± 1.7 | 0.039 | 9.0 ± 0.6 | 11.7 ± 1.3 | 0.0001 |
| Controls r/p | HF r/p | HF-rEF r/p | HF-pEF r/p | |
|---|---|---|---|---|
| Zonulin | ||||
| Ejection fraction | −0.02/0.923 | 0.43/0.001 | −0.09/0.591 | 0.06/0.702 |
| NT-proBNP | 0.04/0.868 | −0.421/0.0001 | −0.102/0.531 | 0.307/0.054 |
| Age | 0.16/0.512 | −0.03/0.799 | −0.02/0.896 | −0.12/0.449 |
| SBP | 0.03/0.897 | 0.33/0.003 | −0.13/0.410 | 0.44/0.005 |
| hs-CRP | −0.09/0.714 | −0.28/0.012 | 0.06/0.714 | −0.17/0.300 |
| Fibrinogen | 0.19/0.428 | −0.30/0.007 | −0.06/0.725 | −0.01/0.936 |
| TLR2 | 0.187/0.430 | −0.051/0.652 | 0.192/0.235 | 0.248/0.124 |
| TLR4 | 0.206/0.383 | −0.036/0.751 | 0.232/0.150 | 0.239/0.137 |
| EAA | ||||
| Ejection fraction | 0.03/0.911 | 0.31/0.005 | 0.02/0.901 | −0.14/0.389 |
| NT-proBNP | −0.023/0.354 | −0.311/0.005 | −0.036/0.823 | 0.184/0.257 |
| Age | 0.16/0.513 | −0.09/0.449 | −0.13/0.435 | −0.10/0.529 |
| SBP | 0.02/0.985 | 0.33/0.003 | 0.04/0.812 | 0.38/0.016 |
| hs-CRP | −0.30/0.202 | −0.28/0.013 | −0.15/0.352 | −0.09/0.567 |
| Fibrinogen | 0.08/0.751 | −0.27/0.015 | −0.16/0.338 | 0.01/0.945 |
| TLR2 | −0.149/0.532 | 0.226/0.044 | 0.465/0.002 | 0.493/0.001 |
| TLR4 | 0.165/0.486 | 0.221/0.048 | 0.561/0.0001 | 0.330/0.038 |
| LAL | ||||
| Ejection fraction | 0.03/0.911 | 0.35/0.002 | 0.08/0.608 | −0.15/0.367 |
| NT-proBNP | −0.007/0.624 | −0.327/0.003 | −0.011/0.950 | 0.223/0.178 |
| Age | 0.16/0.513 | −0.12/0.289 | −0.17/0.286 | −0.13/0.426 |
| SBP | 0.01/0.987 | 0.35/0.002 | 0.05/0.768 | 0.43/0.005 |
| hs-CRP | −0.30/0.202 | −0.32/0.004 | −0.18/0.254 | −0.14/0.376 |
| Fibrinogen | 0.08/0.751 | −0.33/0.033 | −0.18/0.253 | −0.08/0.645 |
| TLR2 | 0.198/0.121 | 0.127/0.263 | 0.355/0.024 | 0.411/0.008 |
| TLR4 | 0.137/0.174 | 0.206/0.067 | 0.513/0.001 | 0.340/0.032 |
Disclaimer/Publisher’s Note: The statements, opinions and data contained in all publications are solely those of the individual author(s) and contributor(s) and not of MDPI and/or the editor(s). MDPI and/or the editor(s) disclaim responsibility for any injury to people or property resulting from any ideas, methods, instructions or products referred to in the content. |
© 2024 by the authors. Licensee MDPI, Basel, Switzerland. This article is an open access article distributed under the terms and conditions of the Creative Commons Attribution (CC BY) license (https://creativecommons.org/licenses/by/4.0/).
Share and Cite
Perticone, M.; Gigliotti, S.; Shehaj, E.; Maio, R.; Suraci, E.; Miceli, S.; Andreozzi, F.; Matera, G.; Perticone, F. Gut Permeability and Immune-Mediated Inflammation in Heart Failure. Biomedicines 2024, 12, 1217. https://doi.org/10.3390/biomedicines12061217
Perticone M, Gigliotti S, Shehaj E, Maio R, Suraci E, Miceli S, Andreozzi F, Matera G, Perticone F. Gut Permeability and Immune-Mediated Inflammation in Heart Failure. Biomedicines. 2024; 12(6):1217. https://doi.org/10.3390/biomedicines12061217
Chicago/Turabian StylePerticone, Maria, Simona Gigliotti, Ermal Shehaj, Raffaele Maio, Edoardo Suraci, Sofia Miceli, Francesco Andreozzi, Giovanni Matera, and Francesco Perticone. 2024. "Gut Permeability and Immune-Mediated Inflammation in Heart Failure" Biomedicines 12, no. 6: 1217. https://doi.org/10.3390/biomedicines12061217
APA StylePerticone, M., Gigliotti, S., Shehaj, E., Maio, R., Suraci, E., Miceli, S., Andreozzi, F., Matera, G., & Perticone, F. (2024). Gut Permeability and Immune-Mediated Inflammation in Heart Failure. Biomedicines, 12(6), 1217. https://doi.org/10.3390/biomedicines12061217

