Sign in to use this feature.

Years

Between: -

Subjects

remove_circle_outline
remove_circle_outline
remove_circle_outline
remove_circle_outline
remove_circle_outline
remove_circle_outline
remove_circle_outline
remove_circle_outline
remove_circle_outline

Journals

remove_circle_outline
remove_circle_outline
remove_circle_outline
remove_circle_outline
remove_circle_outline

Article Types

Countries / Regions

remove_circle_outline
remove_circle_outline
remove_circle_outline

Search Results (287)

Search Parameters:
Keywords = electromechanical characterization

Order results
Result details
Results per page
Select all
Export citation of selected articles as:
13 pages, 3016 KB  
Article
Scalable Self-Sensing Mechanical Metamaterials by Conformal Coating of 3D-Printed Lattices with Nanocomposites
by Dawn K. D. Veditz, Emma R. Merriman, Sofia Z. Anissian and Long Wang
Sensors 2026, 26(5), 1670; https://doi.org/10.3390/s26051670 - 6 Mar 2026
Viewed by 197
Abstract
Metamaterials possess unique and desirable multiphysical behaviors derived from deliberately arranging conventional materials into designed structural topologies. Multifunctional mechanical metamaterials that can both carry load and provide in situ state awareness are increasingly needed for applications such as structural health monitoring and soft [...] Read more.
Metamaterials possess unique and desirable multiphysical behaviors derived from deliberately arranging conventional materials into designed structural topologies. Multifunctional mechanical metamaterials that can both carry load and provide in situ state awareness are increasingly needed for applications such as structural health monitoring and soft robotic systems. To address the demand for multifunctional metamaterials, this study reports a scalable fabrication strategy for self-sensing lattice metamaterials by conformally dip-coating 3D-printed flexible cells with a carbon nanotube (CNT)–styrene–ethylene–butylene–styrene (SEBS) nanocomposite. Scanning electron microscopy shows that the coating conforms closely to the printed struts with well-dispersed CNT networks. The electromechanical behavior of coated Octet, Kelvin, and auxetic unit cells was characterized under quasi-static cyclic uniaxial compression (0–40% strain). All the coated structures exhibited highly stable, reversible, and repeatable piezoresistive response, with a near-linear relationship between resistance change and strain. Among the tested geometries, the auxetic unit cell achieved the highest strain sensitivity that was approximately four times that of the Octet cell and six times that of the Kelvin cell. To evaluate scalability, auxetic lattices containing eight scaled auxetic unit cells were shown to retain high sensitivity and remained statistically similar to the unit cell. This study demonstrates that the strain sensing performance of nanocomposites can be engineered through lattice topology using a simple dip-coating functionalization approach, enabling scalable self-sensing metamaterials for large-scale and conformal sensing applications. Full article
Show Figures

Figure 1

17 pages, 6861 KB  
Article
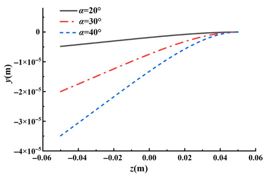
Piezoelectric Analysis of a Hydrofoil Undergoing Vortex-Induced Vibration
by Shiyan Sun, Yong Yang and Qingfeng Wang
J. Mar. Sci. Eng. 2026, 14(4), 385; https://doi.org/10.3390/jmse14040385 - 18 Feb 2026
Viewed by 269
Abstract
This study numerically investigates the piezoelectric behavior of a hydrofoil under vortex-induced excitation. The fluid field, characterized by a Kármán vortex street forming around the hydrofoil, is solved using the finite volume method (FVM) based on viscous flow theory. The resulting vortex-induced pressure [...] Read more.
This study numerically investigates the piezoelectric behavior of a hydrofoil under vortex-induced excitation. The fluid field, characterized by a Kármán vortex street forming around the hydrofoil, is solved using the finite volume method (FVM) based on viscous flow theory. The resulting vortex-induced pressure is then imported to compute the electric field by solving a coupled electromechanical problem within the finite element method (FEM) framework, which links the electric and strain fields. The temporal and spatial distribution of the voltage under the periodic excitation force is provided, and the affecting factors, including the attack angle and the flow velocity, are analyzed in detail. Full article
(This article belongs to the Special Issue Advances in Marine Engineering Hydrodynamics, 2nd Edition)
Show Figures

Figure 1

27 pages, 1204 KB  
Article
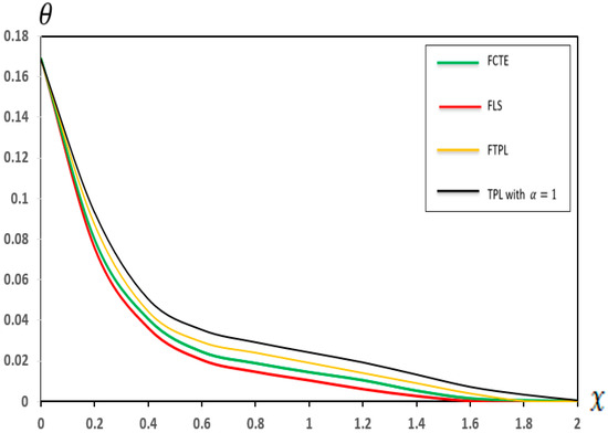
Vibrational Analysis of Thermoelastic Beams on Dual-Parameter Foundations via the Fractional Three-Phase-Lag Approach
by Adam Zakria, Ahmed Yahya, Ibrahim-Elkhalil Ahmed, Ibrahim Omer Ahmed, Abdelgabar Adam Hassan, Muntasir Suhail and Eshraga Salih
Micromachines 2026, 17(2), 241; https://doi.org/10.3390/mi17020241 - 12 Feb 2026
Viewed by 393
Abstract
This study introduces a unified analytical framework for investigating the transient thermoelastic vibration of a micro-scale beam resting on dual-parameter foundations. We apply the fractional three-phase-lag (FTPL) generalized thermoelastic model to accurately characterize scale-dependent coupled thermal and elastic responses by incorporating complex thermal [...] Read more.
This study introduces a unified analytical framework for investigating the transient thermoelastic vibration of a micro-scale beam resting on dual-parameter foundations. We apply the fractional three-phase-lag (FTPL) generalized thermoelastic model to accurately characterize scale-dependent coupled thermal and elastic responses by incorporating complex thermal relaxation effects through the fractional derivative order. By employing the Laplace transform technique and its numerical inversion, we derive the coupled distributions of temperature, displacement, bending moment, and deflection within the beams. A comprehensive parametric analysis is conducted to quantify the distinct influence of the fractional factor and the foundation’s shear and stiffness parameters on the beam’s dynamic stability and propagation characteristics. The calculated results are systematically compared with established classical theories to validate the model’s robustness while simultaneously demonstrating the enhanced predictive capacity of the (FTPL) approach, particularly for characterizing thermal wave dispersion at the micro-scale. This research provides critical design criteria for advanced micro-electromechanical systems (MEMSs) where foundation stiffness and thermal inertial effects are intrinsically linked, offering novel insights into the tailored design of microstructural components. Full article
Show Figures

Figure 1

15 pages, 4990 KB  
Article
Multiscale Structural Modulation and Synergistic Enhancement of Transparency and Relaxor Behavior in La3+-Doped KNN Lead-Free Ceramics
by Xu Yang, Lingzhi Wang, Li Luo, Wenjuan Wu, Bo Wu, Junjie Li, Jie Li, Tixian Zeng and Gengpei Xia
Nanomaterials 2026, 16(2), 149; https://doi.org/10.3390/nano16020149 - 22 Jan 2026
Viewed by 266
Abstract
Lead-free transparent ferroelectric ceramics with integrated opto-electro-mechanical functionalities are pivotal for next-generation multifunctional devices. In this study, K0.48Na0.52NbO3-xLa2O3 (KNN-xLa, x = 0.005 − 0.04) ceramics were fabricated via a conventional [...] Read more.
Lead-free transparent ferroelectric ceramics with integrated opto-electro-mechanical functionalities are pivotal for next-generation multifunctional devices. In this study, K0.48Na0.52NbO3-xLa2O3 (KNN-xLa, x = 0.005 − 0.04) ceramics were fabricated via a conventional solid-state route to investigate the La3+-induced multiscale structural evolution and its modulation of optical and electrical properties. La3+ substitution drives a critical structural transition from an anisotropic orthorhombic phase (Amm2) to a high-symmetry pseudocubic-like tetragonal phase (P4mm) for x ≥ 0.025, characterized by minimal lattice distortion (c/a = 1.0052). This enhanced structural isotropy, coupled with submicron grain refinement (<1 μm) driven by VA-mediated solute drag, effectively suppresses light scattering. Consequently, a high-transparency plateau (T780 ≈ 53–58%, T1700 ≈ 70–72%) is achieved for 0.025 ≤ x ≤ 0.035. Simultaneously, the system undergoes a crossover from normal ferroelectric (FE) to relaxor (RF) state, governed by an FE–RF boundary at x = 0.015. While x = 0.005 exhibits robust piezoelectricity (d33 ≈ 92 pC/N), the x = 0.015 composition facilitates a transitional polar state with large strain (0.179%) and high polarization (Pm ≈ 33.3 μC/cm2, Pr ≈ 15.8 μC/cm2). Piezoresponse force microscopy (PFM) confirms the domain evolution from lamellar macro-domains to speckle-like polar nanoregions (PNRs), elucidating the intrinsic trade-off between optical transparency and piezoelectricity. This work underscores La3+ as a potent structural modifier for tailoring phase boundaries and defect chemistry, providing a cost-effective framework for developing high-performance transparent electromechanical materials. Full article
(This article belongs to the Special Issue Nanostructured Materials for Electric Applications)
Show Figures

Figure 1

11 pages, 2977 KB  
Article
Langasite (LGS) Surface Acoustic Wave (SAW) Pressure Sensor with Kovar Alloy Point-Force Packaging for High-Temperature Environments
by Yabing Ke, Ruoyu Zhang, Chen Fu, Jingting Luo, Zhengxi He and Zhiguang Deng
Sensors 2026, 26(2), 567; https://doi.org/10.3390/s26020567 - 14 Jan 2026
Viewed by 323
Abstract
Langasite (LGS)-based surface acoustic wave (SAW) sensors are promising for high-temperature pressure detection. However, their performance is limited by the low pressure sensitivity of conventional sealed-cavity packaging and temperature-induced measurement drift. To address these issues, this study introduces a novel LGS SAW pressure [...] Read more.
Langasite (LGS)-based surface acoustic wave (SAW) sensors are promising for high-temperature pressure detection. However, their performance is limited by the low pressure sensitivity of conventional sealed-cavity packaging and temperature-induced measurement drift. To address these issues, this study introduces a novel LGS SAW pressure sensor featuring two key innovations: a Kovar alloy point-force packaging structure to amplify pressure-induced LGS substrate deformation, enhancing sensitivity compared to traditional designs, and SAW resonators fabricated on an LGS (0°, 138.5°, 26.7°) cut, selected based on electromechanical simulations for its superior intrinsic pressure sensitivity and monotonic frequency–temperature response, effectively mitigating temperature interference on pressure measurements. Experimental characterizations show the resonator achieves a high Q-value of ~3000 at ~357 MHz. Tested under conditions of 250 °C and 0–0.4 MPa, the sensor exhibits a pressure sensitivity of 0.1866 MHz/MPa with a relative error of only 4.8% versus the finite element method (FEM)-simulated 0.196 MHz/MPa, demonstrating the proposed design’s effectiveness for accurate, stable pressure monitoring in harsh high-temperature environments such as turbine engines and high-temperature manufacturing lines. Full article
(This article belongs to the Special Issue Exploring the Sensing Potential of Acoustic Wave Devices)
Show Figures

Figure 1

15 pages, 8998 KB  
Article
Structure–Function Interplay in Piezoelectric PCL/BaTiO3 Scaffolds Fabricated by Phase Separation: Correlation of Morphology, Mechanics, and Cytocompatibility
by Abdulkareem Alotaibi, Yash Desai, Jacob Miszuk, Jae Hyouk Choi, Konstantinos Michalakis and Alexandros Tsouknidas
Int. J. Mol. Sci. 2026, 27(1), 406; https://doi.org/10.3390/ijms27010406 - 30 Dec 2025
Viewed by 440
Abstract
Bone regeneration relies on the coordinated interplay between mechanical and biological cues. Piezoelectric composites, capable of converting mechanical strain into electrical signals, offer a promising approach to stimulate osteogenesis. This study aimed to develop and characterize polycaprolactone (PCL) and barium titanate (BaTiO3 [...] Read more.
Bone regeneration relies on the coordinated interplay between mechanical and biological cues. Piezoelectric composites, capable of converting mechanical strain into electrical signals, offer a promising approach to stimulate osteogenesis. This study aimed to develop and characterize polycaprolactone (PCL) and barium titanate (BaTiO3) composite scaffolds fabricated through thermally induced phase separation (TIPS), and to systematically evaluate the effects of polymer concentration and ceramic incorporation on scaffold morphology, porosity, mechanical properties, and cytocompatibility were systematically evaluated. The resulting scaffolds exhibited a highly porous, interconnected architecture, with 9% PCL formulation showing the most uniform morphology and consistent mechanical and biological behavior. Incorporation of BaTiO3 did not alter pore structure or compromise cytocompatibility but slightly enhanced stiffness and surface uniformity. SEM-based image analysis confirmed homogeneous BaTiO3 dispersion across all formulations. MTT assays and confocal microscopy demonstrated robust pre-osteoblast adhesion and spreading, particularly on denser composite scaffolds, confirming that the inclusion of BaTiO3 supports a favorable environment for cell proliferation. Overall, optimizing polymer concentration and ceramic dispersion enables fabrication of structurally coherent, cytocompatible scaffolds. The findings establish structure–property–biology relationships that serve as a baseline for future investigations into the electromechanical behavior of PCL/BaTiO3 scaffolds and their potential to promote osteogenic differentiation under physiological loading. Full article
(This article belongs to the Section Materials Science)
Show Figures

Figure 1

47 pages, 31889 KB  
Review
Exploring the Design, Modeling, and Identification of Beneficial Nonlinear Restoring Forces: A Review
by Qinghua Liu
Appl. Sci. 2026, 16(1), 413; https://doi.org/10.3390/app16010413 - 30 Dec 2025
Viewed by 455
Abstract
Exploring the design of beneficial nonlinear restoring force structures has become a highly popular topic due to their extensive applications in energy harvesting, actuation, energy absorption, robotics, etc. However, the current literature lacks a systematic review and classification that addresses the design, modeling, [...] Read more.
Exploring the design of beneficial nonlinear restoring force structures has become a highly popular topic due to their extensive applications in energy harvesting, actuation, energy absorption, robotics, etc. However, the current literature lacks a systematic review and classification that addresses the design, modeling, and parameter identification of nonlinear restoring forces. Thus, the present paper provides a thorough examination of the latest advancements in the design of nonlinear restoring forces, as well as modeling and parameter identification in contemporary beneficial nonlinear designs. The seven design methodologies, namely magnetic coupling, oblique spring linkages, static or dynamic preloading, metamaterials, bio-inspired, MEMS (Micro-Electromechanical Systems) manufacturing, and dry friction applied approaches, are classified. The polynomial, hysteretic, and piecewise linear models are summarized for nonlinear restoring force characterization. The system parameter identification methods covering restoring force surface, Hilbert transform, time-frequency analysis, nonlinear subspace identification, unscented Kalman filter, optimization algorithms, physics-informed neural networks, and data-driven sparse regression are reviewed. Moreover, possible enhancement strategies for nonlinear system identification of nonlinear restoring forces are presented. Finally, broader implications and future directions for the design, characterization, and identification of nonlinear restoring forces are discussed. Full article
(This article belongs to the Special Issue New Challenges in Nonlinear Vibration and Aeroelastic Analysis)
Show Figures

Figure 1

12 pages, 1984 KB  
Article
Electric-Field Actuation of Liquid Crystalline Elastomer Films
by Mizuho Sawada, Kosuke Kaneko, Kiyomi Fuchigami, Kimiyoshi Kaneko, Hirohiko Washiya and Tomonori Hanasaki
Crystals 2026, 16(1), 16; https://doi.org/10.3390/cryst16010016 - 26 Dec 2025
Viewed by 686
Abstract
Liquid crystal elastomers (LCEs) are soft, stimuli-responsive materials capable of converting molecular-scale reorientation of mesogenic groups into macroscopic, reversible deformations. In this study, film-shaped LCEs were fabricated via a thiol–ene click reaction and characterized under varying electric-field strengths and tensile loads. The LCEs [...] Read more.
Liquid crystal elastomers (LCEs) are soft, stimuli-responsive materials capable of converting molecular-scale reorientation of mesogenic groups into macroscopic, reversible deformations. In this study, film-shaped LCEs were fabricated via a thiol–ene click reaction and characterized under varying electric-field strengths and tensile loads. The LCEs exhibited pronounced soft elasticity and large, reversible strains due to reorientation of mesogenic groups, in contrast to non-mesogenic elastomers. Dynamic viscoelastic measurements revealed fully reversible changes in storage modulus upon electric-field application, highlighting the critical role of mesogenic group alignment in electromechanical actuation. Electric-field-induced contraction increased with field strength and decreased with tensile load, reaching a maximum of 15% under minimal load, with additional enhancement resulting from mesogenic group reorientation along the thickness direction. Notably, unlike conventional light- or temperature-driven actuation, which is often limited by slow molecular relaxation or heat diffusion, the electric-field-driven LCE exhibited rapid, fully reversible deformation. These findings demonstrate the potential of electric-field-responsive LCEs for applications requiring fast, controllable, and large-strain actuation, and provide insights into the interplay between mesogenic group orientation, mechanical loading, and external stimuli in designing efficient soft actuators. Full article
(This article belongs to the Special Issue State-of-the-Art Liquid Crystals Research in Japan (2nd Edition))
Show Figures

Figure 1

13 pages, 3049 KB  
Article
A Hybrid Piezoelectric and Photovoltaic Energy Harvester for Power Line Monitoring
by Giacomo Clementi, Luca Tinti, Luca Castellini, Mario Costanza, Igor Neri, Francesco Cottone and Luca Gammaitoni
Actuators 2026, 15(1), 1; https://doi.org/10.3390/act15010001 - 19 Dec 2025
Viewed by 734
Abstract
Monitoring the health of power lines (PL) is essential for ensuring reliable power delivery, facilitating predictive maintenance, and maintaining a resilient grid infrastructure. Given the extensive length of PL networks, large numbers of wireless sensor nodes must be deployed, often in remote and [...] Read more.
Monitoring the health of power lines (PL) is essential for ensuring reliable power delivery, facilitating predictive maintenance, and maintaining a resilient grid infrastructure. Given the extensive length of PL networks, large numbers of wireless sensor nodes must be deployed, often in remote and harsh environments where battery replacement is costly and impractical. To address these limitations, this work proposes a hybrid energy-harvesting approach that combines piezoelectric and photovoltaic (PV) technologies to enable long-term, battery-free PL monitoring. The primary energy source is a compact, tunable, magnetically coupled piezoelectric vibrational energy harvester (VEH) that exploits local magnetic field distribution, inducing mechanical excitation of a cantilever and enabling the harvesting of vibrational energy near the PL at a frequency of 50 Hz. A complementary PV harvester is integrated to ensure operation during power outages or conditions where the piezoelectric excitation is reduced, thereby enhancing system robustness. Electromechanical characterization and a lumped-parameter model show good agreement with experimental results of the proposed VEH. The system is validated both on a PL test bench (5 A–10 A) and through inertial excitation using an electrodynamic shaker, demonstrating stable performance across a wide range of operating conditions. The combined hybrid architecture highlights a promising pathway toward self-sustaining, maintenance-free sensor nodes for next-generation power line monitoring. Finally, we demonstrate the feasibility of using such system for powering a WSN node by comparing the power produced by the proposed system with the power consumption of a potential application. Full article
Show Figures

Figure 1

24 pages, 2233 KB  
Article
Development of a Digital Twin of a DC Motor Using NARX Artificial Neural Networks
by Victor Busher, Valeriy Kuznetsov, Zbigniew Ciekanowski, Artur Rojek, Tomasz Grudniewski, Natalya Druzhinina, Vitalii Kuznetsov, Mykola Tryputen, Petro Hubskyi and Alibek Batyrbek
Energies 2025, 18(24), 6502; https://doi.org/10.3390/en18246502 - 11 Dec 2025
Viewed by 531
Abstract
This study presents the development process of a digital twin for a complex dynamic object using Artificial Neural Networks. A separately excited DC motor is considered as an example, which, despite its well-known electromechanical properties, remains a non-trivial object for neural network modeling. [...] Read more.
This study presents the development process of a digital twin for a complex dynamic object using Artificial Neural Networks. A separately excited DC motor is considered as an example, which, despite its well-known electromechanical properties, remains a non-trivial object for neural network modeling. It is shown that describing the motor using a generalized neural network with various configurations does not yield satisfactory results. The optimal solution was based on a separation into two distinct nonlinear autoregressive with exogenous inputs (NARX) artificial neural networks with cross-connections for the two main machine variables: one for modeling the armature current with exogenous inputs of voltage and armature speed, and another for modeling the angular speed with inputs of voltage and armature current. Both neural networks are characterized by a relatively small number of neurons in the hidden layer and a time delay of no more than 3 time steps. This solution, consistent with the physical understanding of the motor as an object where electromagnetic energy is converted into thermal and mechanical energy (and vice versa), allows the model to be calibrated for the ideal no-load mode and subsequently account for the influence of torque loads of various natures and changes in the control object parameters over a wide range. The study demonstrates that even for modeling an object such as a DC electric drive with cascaded control, reducing errors at the boundaries of the known operating range requires generating test signals covering approximately 120% of the nominal speed range and 250–400% of the nominal current. Analysis of various test signals revealed that training with a sequence of step changes and linear variations across the entire operating range of armature current and speed provides higher accuracy compared to training with random or uniform signals. Furthermore, to ensure the neural network model’s functionality under varying load torque, a mechanical load observer was developed, and a model architecture incorporating an additional input for disturbance was proposed. The SEDCM_NARX_LOAD neural network model demonstrates a theoretically justified response to load application, although dynamic and static errors arise. In the experiment, the current error was 7.4%, and the speed error was 0.5%. The practical significance of the research lies in the potential use of the proposed model for simulating dynamic and static operational modes of electromechanical systems, tuning controllers, and testing control strategies without employing a physical motor. Full article
(This article belongs to the Section F5: Artificial Intelligence and Smart Energy)
Show Figures

Figure 1

16 pages, 2857 KB  
Article
Validation of Pneumatic Actuation for Fast Fatigue Testing of Additive-Manufactured Polymers
by Davide D’Andrea, Giacomo Risitano and Dario Santonocito
Actuators 2025, 14(12), 598; https://doi.org/10.3390/act14120598 - 7 Dec 2025
Viewed by 1833
Abstract
In the modern industrial context, many manufacturers design universal testing machines (UTMs) equipped with servo-hydraulic or electromechanical linear actuators, which offer excellent control capabilities and high-quality force signal measurement, at the expense of high costs due to the need for hydraulic power units [...] Read more.
In the modern industrial context, many manufacturers design universal testing machines (UTMs) equipped with servo-hydraulic or electromechanical linear actuators, which offer excellent control capabilities and high-quality force signal measurement, at the expense of high costs due to the need for hydraulic power units or dedicated electrical networks. The complexity of these systems discourages manufacturers of mechanical components, especially the ones produced through additive manufacturing (AM), from investing in machines for the determination of mechanical properties according to international standards, settling instead for information derived from technical datasheets of the base material (filament or powders), which rarely include information about fatigue life. Within this context, the Fast Fatigue Machine (FFM), designed by KnoWow srl and ItalSigma srl, makes mechanical characterization of materials a process accessible to any organization that may require it. This was made possible by designing a pneumatic benchtop testing machine with a built-in setup for Thermographic Methods (TMs) usage. The aim of this work is to validate pneumatic actuators as a viable alternative to servo-hydraulic systems, demonstrating their effectiveness and reliability. Frequency analysis on both sinusoidal waveforms, root mean square error (RMSE) evaluation, and percentage total harmonic distortion (THD%) calculations showed that, while the servo-hydraulic system closely follows the load signal with a THD of around 5%, regardless of the applied load intensity, the pneumatic system exhibits higher distortion (THD of approximately 9%, strongly dependent on the load levels) and a high-frequency harmonic component, which, however, does not affect the overall results. Life cycle assessment (LCA) analysis confirmed the convenience of the pneumatic system and TMs in material testing and fatigue characterization. Full article
(This article belongs to the Special Issue Nonlinear Control of Mechanical and Robotic Systems)
Show Figures

Figure 1

18 pages, 4114 KB  
Article
Point Defect Influence on Electrical Conductivity of Semiconducting Ferroelectric AlScN
by Xiaoman Zhang, Wangwang Xu, Bipin Bhattarai, Dominic A. Dalba, Dilan M. Gamachchi, Indeewari M. Karunarathne, Yue Yu, Nathan J. Pravda, Ruotian Gong, David Stalla, Chong Zu, W. J. Meng and Andrew C. Meng
Ceramics 2025, 8(4), 146; https://doi.org/10.3390/ceramics8040146 - 3 Dec 2025
Viewed by 1170
Abstract
Aluminum scandium nitride (Al1−xScxN) is a promising ferroelectric material for non-volatile random-access memory devices and electromechanical sensors. However, adverse effects on polarization from electrical leakage are a significant concern for this material. We observed that the electrical conductivity of [...] Read more.
Aluminum scandium nitride (Al1−xScxN) is a promising ferroelectric material for non-volatile random-access memory devices and electromechanical sensors. However, adverse effects on polarization from electrical leakage are a significant concern for this material. We observed that the electrical conductivity of Al1−xScxN thin films grown on epitaxial TiN(111) buffered Si(111) follows an Arrhenius-type behavior versus the growth temperature, suggesting that point defect incorporation during growth influences the electronic properties of the film. Photoluminescence intensity shows an inverse correlation with growth temperature, which is consistent with increased non-radiative recombination from point defects. Further characterization using secondary ion mass spectrometry in a focused ion beam/scanning electron microscope shows a correlation between trace Ti concentrations in Al1−xScxN films and the growth temperature, further suggesting that extrinsic dopants or alloying components potentially contribute to the point defect chemistry to influence electrical transport. Investigation of the enthalpy of formation of nitrogen vacancies in Al1−xScxN using density functional theory yields values that are in line with electrical conductivity measurements. Additionally, the dependence of nitrogen-vacancy formation energy on proximity to Sc atoms suggests that variations in the local structure may contribute to the occurrence of point defects, which, in turn, can impact electrical leakage. Furthermore, we have demonstrated ferroelectric behavior through electrical measurements and piezoresponse force microscopy after dc bias poling of films in spite of electrical conductivity spanning several orders of magnitude. Although electrical leakage remains a challenge in Al1−xScxN, the material holds potential due to tunable electrical conductivity as a semiconducting ferroelectric material. Full article
(This article belongs to the Special Issue Advances in Electronic Ceramics, 2nd Edition)
Show Figures

Figure 1

16 pages, 19484 KB  
Article
A Novel Electromechanical Apparatus for Intermediate Strain-Rate Testing and Validation on Polycarbonate
by Sara Ricci, Andrea Ceccacci, Gabriel Testa, Andrew Ruggiero, Nicola Bonora and Gianluca Iannitti
Appl. Sci. 2025, 15(23), 12797; https://doi.org/10.3390/app152312797 - 3 Dec 2025
Viewed by 437
Abstract
The characterization of material behavior under intermediate deformation rates remains a major challenge, since conventional testing devices are mainly developed for either quasi-static or high strain-rate conditions. Nonetheless, understanding material response in this regime is essential in several applications, such as crashworthiness, bird [...] Read more.
The characterization of material behavior under intermediate deformation rates remains a major challenge, since conventional testing devices are mainly developed for either quasi-static or high strain-rate conditions. Nonetheless, understanding material response in this regime is essential in several applications, such as crashworthiness, bird strike resistance, or metal forming, as well as for the development of reliable constitutive models. In this work, the design and validation of a novel electromechanical apparatus for intermediate strain-rate testing (∼1–102 s−1) of various materials is presented. One of the novelties of the proposed system is the integration of high-performance electromechanical actuators capable of reaching velocities up to 3 m/s, with 16,000 m/s2 acceleration, and impact forces up to 24 kN. During testing, one specimen end is impacted by a striker while the other is in contact with a 14.5 m transmitter bar. Upon impact, the sample deforms, and a compressive stress wave propagates in the transmitter bar. Strain gauges are employed to measure its deformation and, therefore, the force transmitted to the sample. The velocity and displacement of the impact head are instead recorded with high temporal resolution and accuracy by integrating Photon Doppler Velocimetry (PDV) into the system. Validation tests performed on polycarbonate confirmed the accuracy, repeatability, and overall effectiveness of the apparatus. Full article
(This article belongs to the Section Materials Science and Engineering)
Show Figures

Figure 1

13 pages, 2281 KB  
Communication
High-Sensitivity Solidly Mounted Resonator Load Sensor Based on AlN/AlScN Heterostructure
by Wanqing Zuo, Xiyu Gu, Tingting Yang, Qinwen Xu, Haiyang Li, Yao Cai and Chengliang Sun
Sensors 2025, 25(23), 7288; https://doi.org/10.3390/s25237288 - 29 Nov 2025
Viewed by 674
Abstract
Bulk acoustic wave (BAW) resonators, with their exceptional high-frequency performance and excellent quality factor, have become a key driver of advances in sensing technology. This study reports the fabrication and characterization of a force sensor based on a solid mounted resonator (SMR) structure. [...] Read more.
Bulk acoustic wave (BAW) resonators, with their exceptional high-frequency performance and excellent quality factor, have become a key driver of advances in sensing technology. This study reports the fabrication and characterization of a force sensor based on a solid mounted resonator (SMR) structure. This SMR device utilizes a high resonance frequency of 2.257 GHz as its core sensing element. The operational mechanism involves the application of an external load inducing localized downward mechanical deformation in the SMR film at the pin contact region, thereby generating significant in-plane compressive stress within the piezoelectric layer. The applied strain modifies the intrinsic elastic and piezoelectric constants of the film, thereby changing both the acoustic phase velocity and the electromechanical coupling coefficient (Kt2), which ultimately leads to a measurable shift in the resonance frequency. The experimental results reveal a deterministic and robust correlation between the resonance frequency shift and the applied load, which forms a precise function relationship enabling the device to achieve a high sensitivity of 37.79 MHz/N. This indicates that it may possess good application and development potential in various complex industrial fields. Full article
(This article belongs to the Section Physical Sensors)
Show Figures

Figure 1

11 pages, 1306 KB  
Article
Investigating Swelling and Bending Response of pH-Sensitive Chitosan-Based Hydrogels
by Jafar Arash Mehr and Hamed Hatami-Marbini
Macromol 2025, 5(4), 57; https://doi.org/10.3390/macromol5040057 - 27 Nov 2025
Cited by 1 | Viewed by 644
Abstract
Biocompatible electroactive hydrogels with bidirectional pH-responsive bending are important for the creation of biomedical actuators. This study developed chitosan/carboxymethylcellulose (CS/CMC) semi-interpenetrating networks (SIPNs) with different volume ratios, which were crosslinked with glutaraldehyde. The swelling and bending behaviors of SPINs were systematically characterized as [...] Read more.
Biocompatible electroactive hydrogels with bidirectional pH-responsive bending are important for the creation of biomedical actuators. This study developed chitosan/carboxymethylcellulose (CS/CMC) semi-interpenetrating networks (SIPNs) with different volume ratios, which were crosslinked with glutaraldehyde. The swelling and bending behaviors of SPINs were systematically characterized as a function of the pH of the solution and the magnitude of the applied electric field. The hydrogels exhibited pH-dependent bidirectional actuation, with the maximum swelling of 4.67–6.00 at pH ≈ 3.9 and minimum swelling of 1.58–2.53 at pH ≈ 5.7. The SPINs with CS/CMC = 1:1 composition achieved the highest bending angle of 77° at pH ≈ 5.7, while cathodic bending up to an angle of −13.7° was observed in basic conditions. The electromechanical response was significantly enhanced by decreasing the electrode distance and increasing the applied voltage. The observed correlation between the composition, swelling behavior, and bending performance was explained in terms of the electrostatic interactions between NH3+ and COO groups present in the CS/CMC mixtures. These findings provided novel insight into the ongoing efforts for the development of non-toxic electroactive hydrogels with tailored electromechanical bending behavior necessary for use as artificial muscles and biomedical actuators. Full article
Show Figures

Graphical abstract

Back to TopTop