Impacts of Wetland Degradation on Soil Organic Carbon and Carbon Sequestration Function: A Case Study of the Huixian Wetland in the Li River Basin
Abstract
1. Introduction
2. Materials and Methods
2.1. Study Area Overview
2.2. Field Investigation and Sampling
2.2.1. Field Investigation
2.2.2. Measurement of Plant Biomass
2.2.3. CO2 Flux Measurements
- (1)
- Negative NEE values indicate a net uptake of CO2 by the ecosystem (i.e., a carbon sink condition).
- (2)
- Positive NEE values indicate a net release of CO2 to the atmosphere.
- (3)
- ER is always reported as a positive value, representing the total CO2 released by ecosystem respiration.
- (4)
- Gross ecosystem productivity (GEP), representing the total carbon fixed by photosynthesis, was then calculated as:
2.3. Sample Analysis
2.4. Data Analysis
3. Results
3.1. Changes in Plant Biomass Under Different Degrees of Wetland Degradation
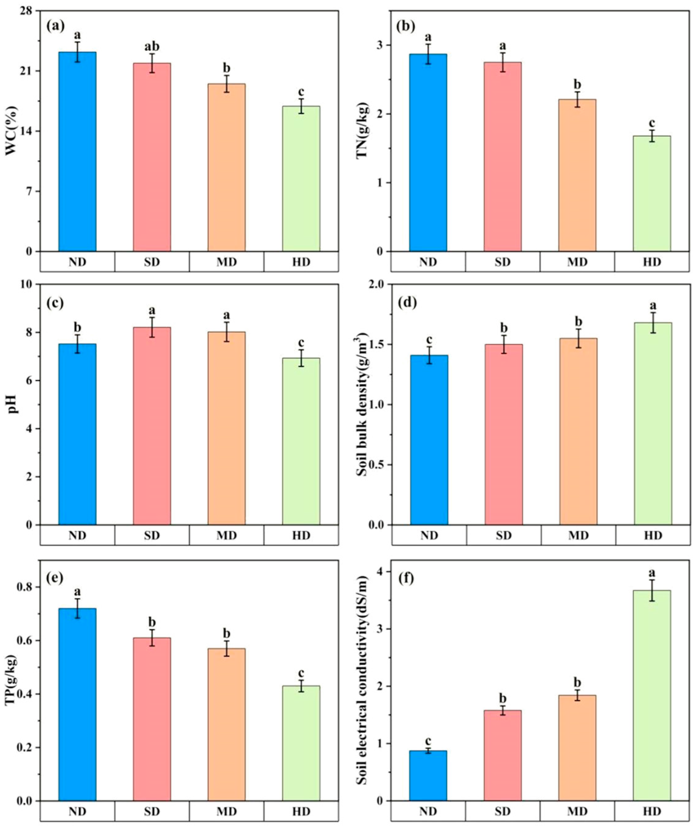
3.2. Changes in Soil Properties Under Different Degrees of Wetland Degradation
3.3. Changes in Soil SOC Under Different Degrees of Wetland Degradation
3.4. Changes in CO2 Flux Under Different Degrees of Wetland Degradation
3.5. Correlations Among Plant Biomass, Soil Properties, Soil Organic Carbon Components, and CO2 Flux
4. Discussion
4.1. Differential Responses of Plant Biomass to Wetland Degradation
4.2. Differential Responses of Soil Properties to Wetland Degradation
4.3. Differential Responses of Soil Organic Carbon Components to Wetland Degradation
4.4. Differential Responses of CO2 Fluxes to Wetland Degradation
4.5. Linking Degradation Impacts to Karst-Specific Hydrological and Biogeochemical Processes
4.6. Impacts of Huixian Wetland Degradation on Carbon Sink Function and Sustainable Restoration Strategies
5. Conclusions
Author Contributions
Funding
Institutional Review Board Statement
Informed Consent Statement
Data Availability Statement
Conflicts of Interest
References
- Mustafa, G.; Hussain, S.; Liu, Y.; Ali, I.; Liu, J.; Bano, H. Microbiology of wetlands and the carbon cycle in coastal wetland mediated by microorganisms. Sci. Total Environ. 2024, 954, 175734. [Google Scholar] [CrossRef]
- Wan, D.; Yu, P.; Kong, L.; Zhang, J.; Chen, Y.; Zhao, D.; Liu, J. Effects of inland salt marsh wetland degradation on plant community characteristics and soil properties. Ecol. Indic. 2024, 159, 111582. [Google Scholar] [CrossRef]
- Villa, J.A.; Bernal, B. Carbon sequestration in wetlands, from science to practice: An overview of the biogeochemical process, measurement methods, and policy framework. Ecol. Eng. 2018, 114, 115–128. [Google Scholar] [CrossRef]
- Mitra, S.; Wassmann, R.; Vlek, P.L.G. An appraisal of global wetland area and its organic carbon stock. Curr. Sci. 2005, 88, 25–35. [Google Scholar]
- Salimi, S.; Almuktar, S.A.; Scholz, M. Impact of climate change on wetland ecosystems: A critical review of experimental wetlands. J. Environ. Manag. 2021, 286, 112160. [Google Scholar] [CrossRef] [PubMed]
- Baldock, J.A. Composition and cycling of organic carbon in soil. In Nutrient Cycling in Terrestrial Ecosystems; Springer: Berlin/Heidelberg, Germany, 2007; pp. 1–35. [Google Scholar]
- Newton, A.; Icely, J.; Cristina, S.; Perillo, G.M.E.; Turner, R.E.; Ashan, D.; Cragg, S.; Luo, Y.; Tu, C.; Li, Y.; et al. Anthropogenic, direct pressures on coastal wetlands. Front. Ecol. Evol. 2020, 8, 144. [Google Scholar] [CrossRef]
- Davidson, N.C. How Much Wetland Has the World Lost? Long-term and Recent Trends in Global Wetland Area. Mar. Freshw. Res. 2014, 65, 934–941. [Google Scholar] [CrossRef]
- Qu, J.; Rose, J.B. Why WE? A Scientific Odyssey for Planetary Sustainability via Water & Ecology. Water Ecol. 2025, 1, 100005. [Google Scholar] [CrossRef]
- Mei, W.; Dong, H.; Qian, L.; Yan, J.; Hu, Y.; Wang, L. Effects of anthropogenic disturbances on the carbon sink function of Yangtze River estuary wetlands: A review of performance, process, and mechanism. Ecol. Indic. 2024, 159, 111643. [Google Scholar] [CrossRef]
- Han, J.Y.; Kim, D.-H.; Oh, S.; Moon, H.S. Effects of water level and vegetation on nitrate dynamics at varying sediment depths in laboratory-scale wetland mesocosms. Sci. Total Environ. 2020, 703, 134741. [Google Scholar] [CrossRef]
- Dungait, J.A.J.; Hopkins, D.W.; Gregory, A.S.; Whitmore, A.P. Soil organic matter turnover is governed by accessibility not recalcitrance. Glob. Change Biol. 2012, 18, 1781–1796. [Google Scholar] [CrossRef]
- Bhattacharya, S.S.; Kim, K.-H.; Das, S.; Uchimiya, M.; Jeon, B.H.; Kwon, E.; Szulejko, J.E. A review on the role of organic inputs in maintaining the soil carbon pool of the terrestrial ecosystem. J. Environ. Manag. 2016, 167, 214–227. [Google Scholar] [CrossRef]
- Chen, X.; Chen, H.Y.; Chen, X.; Wang, J.; Chen, B.; Wang, D.; Guan, Q. Soil labile organic carbon and carbon-cycle enzyme activities under different thinning intensities in Chinese fir plantations. Appl. Soil Ecol. 2016, 107, 162–169. [Google Scholar] [CrossRef]
- Ma, W.; Li, G.; Wu, J.; Xu, G.; Wu, J. Response of soil labile organic carbon fractions and carbon-cycle enzyme activities to vegetation degradation in a wet meadow on the Qinghai–Tibet Plateau. Geoderma 2020, 377, 114565. [Google Scholar] [CrossRef]
- Wang, M.; Wang, S.; Cao, Y.; Jiang, M.; Wang, G.; Dong, Y. The effects of hummock-hollow microtopography on soil organic carbon stocks and soil labile organic carbon fractions in a sedge peatland in Changbai Mountain, China. Catena 2021, 201, 105204. [Google Scholar] [CrossRef]
- Zhang, H.; Tang, J.; Liang, S.; Li, Z.; Wang, J.; Wang, S. Early thawing after snow removal and no straw mulching accelerates organic carbon cycling in a paddy soil in Northeast China. J. Environ. Manag. 2018, 209, 336–345. [Google Scholar] [CrossRef] [PubMed]
- Shi, X.; Zhao, S.; Li, C.; Sun, B.; Wu, Y.; Fan, C. The carbon storage and distribution patterns of wetland in Hulun Buir. Ecol. Sci. 2015, 34, 110–118. [Google Scholar]
- An, Y.; Gao, Y.; Liu, X.; Tong, S.; Liu, B.; Song, T.; Qi, Q. Soil organic carbon and nitrogen variations with vegetation succession in passively restored freshwater wetlands. Wetlands 2021, 41, 11. [Google Scholar] [CrossRef]
- Hao, Q.; Song, Z.; Zhang, X.; He, D.; Guo, L.; van Zwieten, L.; Yu, C.; Wang, Y.; Wang, W.; Fang, Y.; et al. Organic blue carbon sequestration in vegetated coastal wetlands: Processes and influencing factors. Earth Sci. Rev. 2024, 255, 104853. [Google Scholar] [CrossRef]
- Zhang, Z.; Gao, X.; Zhang, S.; Gao, H.; Huang, J.; Sun, S.; Song, X.; Fry, E.; Tian, H.; Xia, X. Urban development enhances soil organic carbon storage through increasing urban vegetation. J. Environ. Manag. 2022, 312, 114922. [Google Scholar] [CrossRef]
- Dash, P.; Bhattacharyya, P.; Roy, K.; Neogi, S.; Nayak, A. Environmental constraints’ sensitivity of soil organic carbon decomposition to temperature, management practices and climate change. Ecol. Indic. 2019, 107, 105644. [Google Scholar] [CrossRef]
- Hu, M.; Yan, R.; Wu, H.; Ni, R.; Zhang, D.; Zou, S. Linking soil phosphorus availability and phosphatase functional genes to coastal marsh erosion: Implications for nutrient cycling and wetland restoration. Sci. Total Environ. 2023, 898, 165559. [Google Scholar] [CrossRef]
- Bentley, S.B.; Tomscha, S.A.; Deslippe, J.R. Indictors of wetland health improve following small-scale ecological restoration on private land. Sci. Total Environ. 2022, 837, 155760. [Google Scholar] [CrossRef] [PubMed]
- Li, M.; Zhang, K.; Yan, Z.; Liu, L.; Kang, E.; Kang, X. Soil water content shapes microbial community along gradients of wetland degradation on the Tibetan plateau. Front. Microbiol. 2022, 13, 824267. [Google Scholar] [CrossRef] [PubMed]
- Chen, Y.; Wei, T.; Ren, K.; Sha, G.; Guo, X.; Fu, Y.; Yu, H. The coupling interaction of soil organic carbon stock and water storage after vegetation restoration on the Loess Plateau, China. J. Environ. Manag. 2022, 306, 114481. [Google Scholar] [CrossRef] [PubMed]
- Jiang, J.; Wang, Y.-P.; Liu, F.; Du, Y.; Zhuang, W.; Chang, Z.; Yu, M.; Yan, J. Antagonistic and additive interactions dominate the responses of belowground carbon-cycling processes to nitrogen and phosphorus additions. Soil Biol. Biochem. 2021, 156, 108216. [Google Scholar] [CrossRef]
- Neubauer, S.C.; Megonigal, J.P. Biogeochemistry of wetland carbon preservation and flux. In Wetland Carbon and Environmental Management; Wiley: Hoboken, NJ, USA, 2021; pp. 33–71. [Google Scholar]
- DeSuo, C.; Zulu, M.; Zhao, X.-G.; Wang, K. Remote sensing supervision on spatio-temporal evolution of Karst wetland in recent 40 years in Huixian district of Guilin, China. J. Guangxi Norm. Univ. 2009, 26, 111–117. [Google Scholar]
- Solon, J.; Roo-Zielińska, E.; Degorski, M. Landscape scale of topography-soil-vegetation relationship: Influence of land use and land form. Pol. J. Ecol. 2012, 60, 3. [Google Scholar]
- Zhang, J. Responses of Plant Community Change on Wetland Degradation in Yellow River Delta Region. In Coastal Saline Soil Rehabilitation and Utilization Based on Forestry Approaches in China; Springer: Berlin/Heidelberg, Germany, 2014; pp. 165–179. [Google Scholar]
- Wu, G.; Li, X.; Gao, J. The evolution of hummock–depressionmicro-topography in an alpine marshy wetland in Sanjiangyuan as inferred from vegetation and soil characteristics. Ecol. Evol. 2021, 11, 3901–3916. [Google Scholar] [CrossRef]
- Robertson, G.P.; Coleman, D.C.; Bledsoe, C.S.; Sollins, P. Standard Soil Methods for Long-Term Ecological Research; Oxford University Press: Oxford, UK, 2015; pp. 55–78. [Google Scholar]
- Bremner, J.M. Nitrogen-total. In Methods of Soil Analysis, Part 3: Chemical Methods; Sparks, D.L., Page, A.L., Helmke, P.A., Loeppert, R.H., Eds.; SSSA Book Series No. 5; Soil Science Society of America: Madison, WI, USA, 1996; pp. 1085–1121. [Google Scholar]
- Murphy, J.; Riley, J.P. A modified single solution method for the determination of phosphate in natural waters. Anal. Chim. Acta 1962, 27, 31–36. [Google Scholar] [CrossRef]
- Walkley, A.; Black, I.A. An examination of the Degtjareff method for determining soil organic matter, and a proposed modification of the chromic acid titration method. Soil Sci. 1934, 37, 29–38. [Google Scholar] [CrossRef]
- Rovira, P.; Vallejo, V.R. Labile and recalcitrant pools of carbon and nitrogen in organic matter decomposing at different depths in soil: An acid hydrolysis approach. Geoderma 2002, 107, 109–141. [Google Scholar] [CrossRef]
- Gregorich, E.G.; Beare, M.H.; McKim, U.F.; Skjemstad, J.O. Chemical and biological characteristics of physically uncomplexed organic matter. Soil Sci. Soc. Am. J. 2006, 70, 975–985. [Google Scholar] [CrossRef]
- Vance, E.D.; Brookes, P.C.; Jenkinson, D.S. An extraction method for measuring soil microbial biomass C. Soil Biol. Biochem. 1987, 19, 703–707. [Google Scholar] [CrossRef]
- Jones, D.L.; Willett, V.B. Experimental evaluation of methods to quantify dissolved organic nitrogen (DON) and dissolved organic carbon (DOC) in soil. Soil Biol. Biochem. 2006, 38, 991–999. [Google Scholar] [CrossRef]
- ASTM D4972-19; Standard Test Method for pH of Soils. ASTM International: West Conshohocken, PA, USA, 2019.
- Song, Y.; Song, T.; An, Y.; Shan, L.; Su, X.; Yu, S. Soil ecoenzyme activities coupled with soil properties and plant biomass strongly influence the variation in soil organic carbon components in semi-arid degraded wetlands. Sci. Total Environ. 2024, 922, 171361. [Google Scholar] [CrossRef]
- Doudová, J.; Douda, J. Along with intraspecific functional trait variation, individual performance is key to resolving community assembly processes. Funct. Ecol. 2020, 34, 2362–2374. [Google Scholar] [CrossRef]
- Abulaizi, M.; Chen, M.; Yang, Z.; Hu, Y.; Zhu, X.; Jia, H. Response of soil bacterial community to alpine wetland degradation in arid Central Asia. Front. Plant Sci. 2023, 13, 990597. [Google Scholar] [CrossRef]
- Song, A.; Liang, S.; Li, H.; Yan, B. Effects of biodiversity on functional stability of freshwater wetlands: A systematic review. Front. Microbiol. 2024, 15, 1397683. [Google Scholar] [CrossRef]
- Wan, J.; Yuan, X.; Han, L.; Ye, H.; Yang, X. Characteristics and distribution of organic phosphorus fractions in the surface sediments of the inflow rivers around Hongze Lake, China. Int. J. Environ. Res. Public Health 2020, 17, 648. [Google Scholar] [CrossRef]
- Wang, G.-P.; Liu, J.-S.; Wang, J.-D.; Yu, J.-B. Soil phosphorus forms and their variations in depressional and riparian freshwater wetlands (Sanjiang Plain, Northeast China). Geoderma 2006, 132, 59–74. [Google Scholar] [CrossRef]
- Xu, G.; Shao, H.; Sun, J.; Chang, S.X. Phosphorus fractions and profile distribution in newly formed wetland soils along a salinity gradient in the Yellow River Delta in China. J. Plant Nutr. Soil Sci. 2012, 175, 721–728. [Google Scholar] [CrossRef]
- Yu, J.; Qu, F.; Wu, H.; Meng, L.; Du, S.; Xie, B. Soil phosphorus forms and profile distributions in the tidalriver network region in the yellow river delta estuary. Sci. World J. 2014, 2014, 912083. [Google Scholar]
- Wang, W.-Q.; Sardans, J.; Zeng, C.-S.; Tong, C.; Wang, C.; Peñuelas, J. Impact of plant invasion and increasing floods on total soil phosphorus and its fractions in the Minjiang river estuarine wetlands, China. Wetlands 2016, 36, 21–36. [Google Scholar]
- Zhai, J.; Zhou, H.; Wu, Y.; Wang, G.; Xue, S. Effect of Nitrogen and Phosphorus on Soil Enzyme Activities and Organic Carbon Stability in Qinghai–Tibet Plateau. Agronomy 2024, 14, 1376. [Google Scholar] [CrossRef]
- Shi, Y.; Sheng, L.; Wang, Z.; Zhang, X.; He, N.; Yu, Q. Responses of soil enzyme activity and microbial community compositions to nitrogen addition in bulk and microaggregate soil in the temperate steppe of Inner Mongolia. Eurasian Soil Sci. 2016, 49, 1149–1160. [Google Scholar] [CrossRef]
- Lehmann, J.; Kleber, M. The contentious nature of soil organic matter. Nature 2015, 528, 60–68. [Google Scholar] [CrossRef] [PubMed]
- Luan, J.; Cui, L.; Xiang, C.; Wu, J.; Song, H.; Ma, Q. Soil carbon stocks and quality across intact and degraded alpine wetlands in Zoige, east Qinghai-Tibet Plateau. Wetl. Ecol. Manag. 2014, 22, 427–438. [Google Scholar] [CrossRef]
- Song, Y.; Song, C.; Yang, G.; Miao, Y.; Wang, J.; Guo, Y. Changes in labile organic carbon fractions and soil enzyme activities after marshland reclamation and restoration in the Sanjiang Plain in Northeast China. Environ. Manag. 2012, 50, 418–426. [Google Scholar] [CrossRef] [PubMed]
- Wang, K.; Bi, B.; Zhu, K.; Wen, M.; Han, F. Responses of soil dissolved organic carbon properties to the desertification of desert wetlands in the Mu Us Sandy Land. J. Environ. Manag. 2024, 354, 120318. [Google Scholar] [CrossRef]
- Abulaizi, M.; Chen, M.; Tian, Y.; Hu, Y.; Han, D.; Hu, Y.; Zhou, J.; Yang, Z.; Jia, H. Response of Soil Organic Carbon and Its Components to Alpine Wetland Degradation in Arid Central Asia. Land 2025, 14, 387. [Google Scholar] [CrossRef]
- Lin, C.-Y.; Li, X.-L.; Zhang, J.; Sun, H.-F.; Zhang, J.; Han, H.-B.; Wang, Q.-H.; Ma, C.-B.; Li, C.-Y.; Zhang, Y.-X.; et al. Effects of degradation succession of alpine wetland on soil organic carbon and total nitrogen in the Yellow River source zone, west China. J. Mt. Sci. 2021, 18, 694–705. [Google Scholar] [CrossRef]
- Wu, Y.; Xu, N.; Wang, H.; Li, J.; Zhong, H.; Dong, H.; Zeng, Z.; Zong, C. Variations in the diversity of the soil microbial community and structure under various categories of degraded wetland in Sanjiang Plain, northeastern China. Land Degrad. Dev. 2021, 32, 2143–2156. [Google Scholar]
- Li, C.Y.; Li, X.L.; Su, X.X.; Yang, Y.W.; Li, H.L. Effects of alpine wetland degradation on soil microbial structure and diversity on the Qinghai Tibet plateau. Eurasian Soil Sci. 2021, 54, S33–S41. [Google Scholar] [CrossRef]
- Zhu, J.; Zhang, F.; Li, H.; He, H.; Li, Y.; Yang, Y.; Zhang, G.; Wang, C.; Luo, F. Seasonal and interannual variations of CO2 fluxes over 10 years in an alpine wetland on the Qinghai-Tibetan Plateau. J. Geophys. Res. Biogeosci. 2020, 125, e2020JG006011. [Google Scholar] [CrossRef]
- Zhang, Y.; Liu, L.; Luo, H.; Wang, W.; Li, P. Characteristics of Carbon Fluxes and Their Environmental Control in Chenhu Wetland, China. Water 2024, 16, 3169. [Google Scholar] [CrossRef]
- Ma, Q.; Zhang, C.; Chen, L.; Yao, M.; Yang, F.; Yan, H.; Li, W. Carbon Dioxide Fluxes and Influencing Factors in the Momoge Salt Marsh Ecosystem, Jilin Province, China. Appl. Sci. 2023, 13, 11604. [Google Scholar] [CrossRef]
- Anderson, F.E.; Bergamaschi, B.; Sturtevant, C.; Knox, S.; Hastings, L.; Windham-Myers, L.; Detto, M.; Hestir, E.L.; Drexler, J.; Miller, R.L.; et al. Variation of energy and carbon fluxes from a restored temperate freshwater wetland and implications for carbon marketverification protocols. J. Geophys. Res. Biogeosci. 2016, 121, 777–795. [Google Scholar]
- Roehm, C.L.; Roulet, N.T. Seasonal contribution of CO2 fluxes in the annual C budget of a northern bog. Glob. Biogeochem. Cycles 2003, 17, 1029. [Google Scholar]
- Li, Z.; Jin, Z.; Li, Q. Changes in land use and their effects on soil properties in Huixian Karst wetland system. Pol. J. Environ. Stud. 2017, 26, 699–707. [Google Scholar] [CrossRef]
- Yin, S.; Bai, J.; Wang, W.; Zhang, G.; Jia, J.; Cui, B.; Liu, X. Effects of soil moisture on carbon mineralization in floodplain wetlands with different flooding frequencies. J. Hydrol. 2019, 574, 1074–1084. [Google Scholar] [CrossRef]
- Gao, H.; Chen, H.; Jin, Y.; Gao, R.; Wei, C.; Zhang, C.; Zhang, W. Occurrence and Speciation of Pollutants in Guilin Huixian Wetland: Nutrients, Microplastics, Heavy Metals, and Emerging Contaminants. Water 2024, 16, 2816. [Google Scholar] [CrossRef]
- Yin, X.; Yu, X.; Qin, L.; Jiang, M.; Lu, X.; Zou, Y. Reclamation leads to loss of soil organic carbon and molecular complexity: Evidence from natural to reclaimed wetlands. Soil Tillage Res. 2025, 248, 106436. [Google Scholar] [CrossRef]
- Zhao, Y.; Zou, S.Z.; Shen, H.Y.; Lan, F.N.; Xie, H.; Li, J. Sources and control factors of main ions and dissolved inorganic carbon in karst water of the Huixian karst wetland, Guangxi. Geol. China 2024, 51, 1701–1713. [Google Scholar]
- Ge, J.; Qi, Y.; Yi, Y.; Ma, C.; Yao, W.; Liu, X.; Wang, H.; Li, K.; Yue, F.-J.; Peng, T.; et al. Rainfall shapes CO2 emission and dissolved organic matter dynamics in a karst catchment: Controlling factors revealed by isotopic and molecular signatures. Water Res. 2025, 289, 124875. [Google Scholar] [CrossRef] [PubMed]
- Zhu, X.; Shen, Y.; Yuan, X.; Yuan, C.; Jin, L.; Zhao, Z.; Chen, F.; Yang, B.; Jiang, X.; Liu, W. High levels of soil calcium and clay facilitate the recovery and stability of organic carbon: Insights from different land uses in the karst of China. Environ. Sci. Pollut. Res. 2024, 31, 34234–34248. [Google Scholar] [CrossRef] [PubMed]
- Lu, M.; Zou, Y.; Xun, Q.; Yu, Z.; Jiang, M.; Sheng, L.; Lu, X.; Wang, D. Anthropogenic disturbances caused declines in the wetland area and carbon pool in China during the last four decades. Glob. Change Biol. 2021, 27, 3837–3845. [Google Scholar]
- Huo, L.; Zou, Y.; Lyu, X.; Zhang, Z.; Wang, X.; An, Y. Effect of wetland reclamation on soil organic carbon stability in peat mire soil around Xingkai Lake in Northeast China. Chin. Geogr. Sci. 2018, 28, 325–336. [Google Scholar] [CrossRef]
- Lan, J.; Jiang, Y.; Huang, M. Vegetation restoration enhances soil organic carbon accumulation in Southwest China’s karst region: The role of aggregation, calcium, and microbes. Catena 2025, 257, 109184. [Google Scholar] [CrossRef]
- Zhou, J.; Zhao, Y.; Huang, P.; Zhao, X.; Feng, W.; Li, Q.; Xue, D.; Dou, J.; Shi, W.; Wei, W.; et al. Impacts of ecological restoration projects on the ecosystem carbon storage of inland river basin in arid area, China. Ecol. Indic. 2020, 118, 106803. [Google Scholar] [CrossRef]
- Fu, B.; Li, S.; Yu, X.; Yang, P.; Yu, G.; Feng, R.; Zhuang, X. Chinese ecosystem research network: Progress and perspectives. Ecol. Complex. 2010, 7, 225–233. [Google Scholar] [CrossRef]
- Qu, J.; Peng, J. Significance and enlightenment of implementing water ecological assessment. Water Ecol. 2025, 1, 100002. [Google Scholar] [CrossRef]






Disclaimer/Publisher’s Note: The statements, opinions and data contained in all publications are solely those of the individual author(s) and contributor(s) and not of MDPI and/or the editor(s). MDPI and/or the editor(s) disclaim responsibility for any injury to people or property resulting from any ideas, methods, instructions or products referred to in the content. |
© 2026 by the authors. Licensee MDPI, Basel, Switzerland. This article is an open access article distributed under the terms and conditions of the Creative Commons Attribution (CC BY) license.
Share and Cite
Wang, Y.; Tian, M.; Dai, J.; Wan, Z.; Xu, B. Impacts of Wetland Degradation on Soil Organic Carbon and Carbon Sequestration Function: A Case Study of the Huixian Wetland in the Li River Basin. Sustainability 2026, 18, 2940. https://doi.org/10.3390/su18062940
Wang Y, Tian M, Dai J, Wan Z, Xu B. Impacts of Wetland Degradation on Soil Organic Carbon and Carbon Sequestration Function: A Case Study of the Huixian Wetland in the Li River Basin. Sustainability. 2026; 18(6):2940. https://doi.org/10.3390/su18062940
Chicago/Turabian StyleWang, Yongkang, Minghao Tian, Junfeng Dai, Zupeng Wan, and Baoli Xu. 2026. "Impacts of Wetland Degradation on Soil Organic Carbon and Carbon Sequestration Function: A Case Study of the Huixian Wetland in the Li River Basin" Sustainability 18, no. 6: 2940. https://doi.org/10.3390/su18062940
APA StyleWang, Y., Tian, M., Dai, J., Wan, Z., & Xu, B. (2026). Impacts of Wetland Degradation on Soil Organic Carbon and Carbon Sequestration Function: A Case Study of the Huixian Wetland in the Li River Basin. Sustainability, 18(6), 2940. https://doi.org/10.3390/su18062940

