Sign in to use this feature.

Years

Between: -

Subjects

remove_circle_outline
remove_circle_outline
remove_circle_outline
remove_circle_outline
remove_circle_outline
remove_circle_outline
remove_circle_outline
remove_circle_outline
remove_circle_outline

Journals

remove_circle_outline
remove_circle_outline
remove_circle_outline
remove_circle_outline
remove_circle_outline
remove_circle_outline
remove_circle_outline
remove_circle_outline
remove_circle_outline
remove_circle_outline
remove_circle_outline
remove_circle_outline
remove_circle_outline
remove_circle_outline
remove_circle_outline
remove_circle_outline
remove_circle_outline
remove_circle_outline
remove_circle_outline
remove_circle_outline
remove_circle_outline
remove_circle_outline
remove_circle_outline
remove_circle_outline
remove_circle_outline
remove_circle_outline
remove_circle_outline
remove_circle_outline
remove_circle_outline
remove_circle_outline
remove_circle_outline
remove_circle_outline
remove_circle_outline

Article Types

Countries / Regions

remove_circle_outline
remove_circle_outline
remove_circle_outline
remove_circle_outline
remove_circle_outline
remove_circle_outline
remove_circle_outline
remove_circle_outline
remove_circle_outline
remove_circle_outline
remove_circle_outline

Search Results (14,781)

Search Parameters:
Keywords = effective surface temperature

Order results
Result details
Results per page
Select all
Export citation of selected articles as:
15 pages, 4548 KB  
Article
Influence Mechanism of Process Parameters on Nanosecond Laser Polishing Quality of Ti6Al4V Titanium Alloy
by Xulin Wang and Jianwei Ma
J. Manuf. Mater. Process. 2026, 10(2), 73; https://doi.org/10.3390/jmmp10020073 (registering DOI) - 20 Feb 2026
Abstract
This study presents a novel numerical framework that elucidates the critical, yet previously underexplored, role of Marangoni vortex dynamics in determining the final surface quality during the laser polishing of Ti6Al4V (TC4). TC4 titanium alloy is widely used in aerospace, biomedicine, and other [...] Read more.
This study presents a novel numerical framework that elucidates the critical, yet previously underexplored, role of Marangoni vortex dynamics in determining the final surface quality during the laser polishing of Ti6Al4V (TC4). TC4 titanium alloy is widely used in aerospace, biomedicine, and other high-precision applications due to its excellent specific strength, corrosion resistance, and biocompatibility. However, its surface quality directly affects the fatigue life and service performance of parts, and traditional polishing methods suffer from low efficiency and high pollution. As a non-contact, controllable surface treatment technology, nanosecond laser polishing has demonstrated unique advantages in balancing processing efficiency and surface quality. This study systematically discussed the influence of key process parameters (spot overlap rate, laser power, and scanning times) on the nanosecond laser polishing of TC4 titanium alloy. It revealed the internal physical mechanism by analyzing the temperature and velocity fields and vortex dynamics during molten-pool evolution. It is found that the polishing effect is determined by the process parameters, which adjust the thermal–fluid coupling physical field (temperature distribution, melt flow, and vortex structure) in the molten pool. There is an optimal combination of parameters (spot overlap rate of 79%, laser power of 0.8 W, scanning speed of 5 m/min, scanning 3 times) that can place the molten pool in an optimal dynamic balance state and achieve effective flatness. The experimental results show that, under this parameter, the surface roughness of the specimen with an initial roughness of 1.223 μm is reduced by about 32%. The research further clarified the mechanism by which the initial roughness of the base metal influences the molten pool: the greater the initial roughness, the more pronounced the “peak shaving and valley filling” effect. Under the same parameters, the improvement rate of the specimen with the initial roughness of 1.623 μm could reach about 40%. This study not only establishes the optimized process window but also reveals the essential relationship between “process parameters–bath behavior–surface quality” from the level of the physical field of the molten pool. The findings provide a practical guideline for parameter optimization, directly applicable to the high-precision laser finishing of critical titanium components in the aerospace and biomedical industries. Full article
Show Figures

Figure 1

16 pages, 3300 KB  
Article
Maritime-Oriented Analysis of Heat Transfer Enhancement in Jeffrey Nanofluid Flow over a Stretching Sheet Embedded in a Porous Medium
by Nourhan I. Ghoneim, A. M. Amer, Seyed Behbood Issa-Zadeh and Ahmed M. Megahed
Eng 2026, 7(2), 98; https://doi.org/10.3390/eng7020098 (registering DOI) - 19 Feb 2026
Abstract
This study numerically investigates the hydrothermal behaviour of a Jeffrey nanofluid with relevance to maritime thermal systems. The coupled nonlinear governing equations for momentum, heat, and mass transport are solved using a shooting technique that accounts for magnetohydrodynamic effects, Darcy porous-media resistance, viscous [...] Read more.
This study numerically investigates the hydrothermal behaviour of a Jeffrey nanofluid with relevance to maritime thermal systems. The coupled nonlinear governing equations for momentum, heat, and mass transport are solved using a shooting technique that accounts for magnetohydrodynamic effects, Darcy porous-media resistance, viscous dissipation, and spatially varying internal heat generation. Variable thermophysical properties, including temperature-dependent viscosity and density, are also considered. The results reveal that porous resistance, fluid elasticity, and thermophysical variations significantly influence velocity, temperature, and concentration fields. The combined effects of porous drag and variable properties markedly alter the characteristics of heat and mass transfer. These findings provide insights into thermal and mass-transport performance, including skin friction, heat transfer, and concentration distributions, which are critical metrics for porous heat exchangers and nanofluid-based maritime coatings. Here, maritime relevance is represented via a generalised porous nanofluid model rather than a specific material. Among the key findings, increasing the slip velocity factor can reduce the surface skin-friction coefficient by approximately 48.7%, while the heat-transfer rate increases by nearly 27.1%, accompanied by a decrease of about 18.9% in the Sherwood number. Conversely, raising the density factor enhances the skin friction coefficient by roughly 103.8% and also augments the heat and mass transfer rates by about 61.3% and 106.1%, respectively. Likewise, at zero relaxation–retardation ratio, the flow reduces to the Newtonian case. Increasing this factor reduces the local Nusselt number by about 1.45%, indicating a slight weakening of heat transfer due to elastic effects. Furthermore, the reliability of the current numerical framework is established through a dual-validation approach, including an analytical assessment of limiting cases and a rigorous comparison with established data from the literature. Full article
Show Figures

Figure 1

15 pages, 1669 KB  
Article
Impact of Large-Scale Wildfires and Meteorological Factors on PM Concentrations in Agricultural Regions: Non-Linear Relationship Analysis Using GAM
by Hee-Jin Kim, Ki-Youn Kim and Jin-Ho Kim
Atmosphere 2026, 17(2), 216; https://doi.org/10.3390/atmos17020216 - 19 Feb 2026
Abstract
The intensification of large-scale wildfires, driven by climate change, presents a critical threat to agricultural ecosystems, specifically during the vulnerable sowing season in March. Departing from the prevailing focus on urban air quality, this study elucidates the spatiotemporal dynamics of particulate matter (PM) [...] Read more.
The intensification of large-scale wildfires, driven by climate change, presents a critical threat to agricultural ecosystems, specifically during the vulnerable sowing season in March. Departing from the prevailing focus on urban air quality, this study elucidates the spatiotemporal dynamics of particulate matter (PM) in eight major Korean agricultural regions during the March 2025 wildfires. By employing a Generalized Additive Model (GAM), we characterized the complex non-linear interactions between PM concentrations and meteorological variables. The analysis reveals a substantial elevation in PM levels during the wildfire event relative to the pre-fire baseline. Most notably, the Sangju region experienced the most acute accumulation, with PM-10 and PM-2.5 concentrations surging by 74% and 46%, respectively; this intensification was significantly compounded by topographic trapping and surface inversion phenomena. Furthermore, GAM results identified temperature and relative humidity as the primary determinants of PM retention, whereas wind speed demonstrated a distinct non-linear, U-shaped effect, facilitating particulate resuspension at higher velocities. These findings quantitatively underscore the susceptibility of agricultural environments to wildfire-induced aerosols and highlight the imperative for establishing agriculture-specific monitoring networks and early warning protocols to safeguard crop productivity. Full article
(This article belongs to the Section Air Quality)
Show Figures

Figure 1

19 pages, 8955 KB  
Article
Comparative Wear and Friction Assessment of Nano-Additive Lubricants on Diesel Motors
by Recep Çağrı Orman
Lubricants 2026, 14(2), 94; https://doi.org/10.3390/lubricants14020094 - 19 Feb 2026
Abstract
In this study, boron carbide (B4C), hexagonal boron nitride (hBN), holy super graphene (HSG), and hybrid (B4C+hBN+HSG) nano-additives were added to SAE 15W-40 diesel engine oil at a range of 0.03–0.24 g per 30 mL of oil, and reciprocating [...] Read more.
In this study, boron carbide (B4C), hexagonal boron nitride (hBN), holy super graphene (HSG), and hybrid (B4C+hBN+HSG) nano-additives were added to SAE 15W-40 diesel engine oil at a range of 0.03–0.24 g per 30 mL of oil, and reciprocating tribological tests were conducted on a GG25 (EN-GJL-250) gray cast iron-based diesel piston surface in contact with an Al2O3 ball (Ø6 mm) at a load of 20 N, a sliding distance of 500 m, and a temperature of 75 °C. XRD analysis showed that the dominant phase on the piston surface was the α-Fe matrix and that no significant new phase had formed. The results obtained revealed that the nano-additive effect is strongly dependent on both the additive type and the additive level. At a low level (0.03 g/30 mL) of B4C additive, the average COF decreased by approximately 19%, while at a low level (0.03 g/30 mL) of hBN additive, this decrease amounted to approximately 54%. In the HSG additive, at the highest level (0.24 g/30 mL), the coefficient of friction (COF) decreased to ≈0.032, achieving a friction reduction of approximately 75% compared to the base oil. In the hybrid oil series, COF values remained in the range of approximately 0.082–0.087 at all additive levels and were generally 25–28% lower than those of the base oil. SEM/EDS examinations showed that a tribofilm with high carbon content formed in the HSG-additive oils, while a tribofilm layer containing C, B, and N elements together formed in the hybrid-additive oils. Overall, it was concluded that selecting the appropriate additive type and level can reduce friction and wear losses at the piston interface, thereby contributing to engine efficiency by extending the life of engine components and limiting friction-induced energy losses. Full article
Show Figures

Figure 1

20 pages, 1978 KB  
Article
Investigating the Green and Thermal Environmental Quality of Educational Institutions in an Urban Planning Context: A Debreceni Case Study
by György Csomós, Boglárka Bertalan-Balázs and Jenő Zsolt Farkas
Buildings 2026, 16(4), 836; https://doi.org/10.3390/buildings16040836 - 19 Feb 2026
Abstract
Since children spend a significant portion of their developmental years in educational settings, the environmental quality of these institutions—specifically, the extent to which they expose their occupants to green space and heat stress—is a critical determinant of well-being and academic performance. This study [...] Read more.
Since children spend a significant portion of their developmental years in educational settings, the environmental quality of these institutions—specifically, the extent to which they expose their occupants to green space and heat stress—is a critical determinant of well-being and academic performance. This study assesses the green environmental quality of 121 educational institutions (kindergartens, and elementary and secondary schools) in Debrecen, Hungary. The main objective of the research is to identify educational institutions that require immediate intervention to address their lack of green spaces, improve the green environment, and mitigate the urban heat island (UHI) effect. A further aim of the study is to understand how different urban planning practices over the past century have led to the current situation. Therefore, we utilized high-resolution geospatial data (specifically, WorldView-2 imagery) to classify schoolyard vegetation; Landsat data to derive Land Surface Temperature (LST); and the Hoover index to quantify institutions’ spatial concentration. We developed a composite indicator to categorize green environmental quality and heat stress exposure. Our results reveal deep spatial and institutional inequalities. 47.5% of students attend institutions with low environmental quality. While kindergartens typically offer green-rich environments, secondary schools with significant student populations—which are primarily concentrated in the dense historical downtown—are trapped in “grey” zones possessing poor environmental quality. Furthermore, we identify a “green paradox” in socialist housing estates: despite abundant surrounding greenery, schools here record high LST values due to the heat-trapping morphology of vertical concrete structures. The study also highlights institutional maladaptation, such as converting schoolyards into parking lots and using rubber pavements for safety reasons, which contributes to the deterioration of environmental quality. We conclude that current urban planning and school architecture must shift paradigms, treating schoolyards as integral components of the public green infrastructure network through climate-adaptive design. In addition, stakeholders should develop the green environment of educational institutions comprehensively, taking into account both on-site and surrounding green spaces. Full article
(This article belongs to the Section Architectural Design, Urban Science, and Real Estate)
Show Figures

Figure 1

15 pages, 6132 KB  
Article
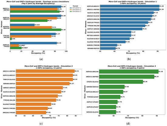
AI-Guided Binding Mechanisms and Molecular Dynamics for MERS-CoV
by Pradyumna Kumar, Lingtao Chen, Rachel Yuanbao Chen, Yin Chen, Seyedamin Pouriyeh, Progyateg Chakma, Abdur Rahman Mohd Abul Basher and Yixin Xie
Int. J. Mol. Sci. 2026, 27(4), 1989; https://doi.org/10.3390/ijms27041989 - 19 Feb 2026
Abstract
The MERS-CoV (Middle East respiratory syndrome coronavirus) is a zoonotic virus with a high mortality rate and a lack of antiviral drugs, underscoring the need for effective therapeutic methods. Viral entry depends on interactions between viral surface proteins and human receptors, with Dipeptidyl [...] Read more.
The MERS-CoV (Middle East respiratory syndrome coronavirus) is a zoonotic virus with a high mortality rate and a lack of antiviral drugs, underscoring the need for effective therapeutic methods. Viral entry depends on interactions between viral surface proteins and human receptors, with Dipeptidyl Peptidase-4 (DPP4), a transmembrane glycoprotein, acting as the receptor for MERS-CoV. We employed Molecular Dynamics (MD) Simulations to identify critical interface residues under a high-performance computing (HPC) workflow for accelerated results. Target residue pairs were identified through analysis of salt bridge and hydrogen bond occupancy. The stability of these residues was confirmed through three independent MD Simulations at human body temperature and constant pressure. Additionally, binding affinity predictions were calculated to determine the interaction strength between the virus and human receptors. Applying the scientific threshold criteria, we narrowed our results to seven key interaction pairs; two of the identified pairs (Asp510-Arg317, and Arg511-Asp393) are consistent with findings published in previous research studies, and five novel interactions are proposed for future experimental studies with our active collaborators in Pharmacology. The results provide a molecular basis for targeted mutation-based experiments and support the rational design of structure-based inhibitors aimed at disrupting the MERS-CoV-DPP4 complex, thereby facilitating the translation of computational findings into antiviral drug discovery. Full article
Show Figures

Figure 1

33 pages, 2619 KB  
Article
Magnetic Activated Carbon Functionalized with Polyaniline for Efficient Pb (II) Adsorption from Aqueous Solutions
by Mahmoud M. Youssif, Kamil Kornaus and Marek Wojnicki
Coatings 2026, 16(2), 259; https://doi.org/10.3390/coatings16020259 - 19 Feb 2026
Abstract
Lead (Pb) contamination in water poses a significant threat to both human health and the environment as it is toxic even at very minimal concentrations. In the scope of this study, a novel magnetic composite material, AC/Fe3O4/PANI-SDS, was synthesized [...] Read more.
Lead (Pb) contamination in water poses a significant threat to both human health and the environment as it is toxic even at very minimal concentrations. In the scope of this study, a novel magnetic composite material, AC/Fe3O4/PANI-SDS, was synthesized to efficiently eliminate Pb2+ ions from polluted water. Each component of the composite has a significant impact: the activated carbon provides a large surface area for adsorption, the magnetic iron oxide (Fe3O4) allows easy magnetic recovery from water systems using a magnet, and the polyaniline (PANI) and sodium dodecyl sulfate (SDS) improve the capability of the material to attract and hold onto Pb2+ ions. To assess the surface, magnetic, and structural properties of the prepared material, several characterization techniques were applied, such as FTIR, XRD, SEM-EDS, BET analysis, VSM, and zeta potential measurements. These tests confirmed that the composite has the right structure and functional groups to perform as a capable and efficient adsorbent. Batch adsorption studies were used to evaluate the effects of pH, interaction time, initial Pb2+ ion concentration, and temperature on removal efficiency. The findings highlight the composite’s remarkable adsorption efficiency after 220 min under optimal conditions, specifically at pH 6. Adsorption kinetic studies demonstrated strong agreement with the pseudo-second-order model, while isotherm analysis showed that the Langmuir model provided the highest correlation coefficient within the investigated concentration range. This fitting suggested apparent Langmuir-type adsorption behavior, with a maximum adsorption capacity of 348.39 mg/g. Thermodynamic assessment demonstrated that the elimination of Pb2+ ions is an endothermic and spontaneous process. In addition, the composite can be reused and recycled repeatedly without significantly reducing its effectiveness, offering an economical and ecologically sustainable approach. The findings of this research highlight the potential of the AC/Fe3O4/PANI-SDS composite as a new, efficient, and eco-friendly adsorbent for the elimination of Pb2+ ions from solutions. In real-world applications, its high capacity for adsorption, ease of separation, and reusability make it a promising treatment for heavy metal contamination. Full article
17 pages, 3179 KB  
Review
Host–Guest Chemistry as a Supramolecular Engine for Iontronic Transduction in Nanochannels
by L. Miguel Hernández Parra, Angel L. Huamani, Ignacio T. Matelo, M. Lorena Cortez, Matías Rafti, Gregorio Laucirica, Waldemar Marmisollé and Omar Azzaroni
Molecules 2026, 31(4), 713; https://doi.org/10.3390/molecules31040713 - 19 Feb 2026
Abstract
Since the first synthetic macrocyclic receptors were shown to bind ions selectively, supramolecular host–guest chemistry has enabled the translation of molecular recognition events into physical signals. Early coupling of such receptors to ion-sensitive field-effect transistors established a bridge between supramolecular chemistry and solid-state [...] Read more.
Since the first synthetic macrocyclic receptors were shown to bind ions selectively, supramolecular host–guest chemistry has enabled the translation of molecular recognition events into physical signals. Early coupling of such receptors to ion-sensitive field-effect transistors established a bridge between supramolecular chemistry and solid-state electronics. Today, this bridge is rebuilt in iontronics, where ions carry information through nanoconfined media and ionic transport becomes highly sensitive to electrostatic gradients, surface charge, and surface molecular interactions. As a result, ionic flux can serve as an efficient transduction mechanism that responds precisely, reversibly, and rapidly to changes in the chemical environment. Within this regime, host–guest chemistry offers a powerful means to exert direct control over ionic behavior, allowing molecular recognition to modulate conductance, rectification, and ion selectivity, thereby conferring practical function to nanofluidic systems. This review highlights systems in which host molecules act as chemical actuators that modulate nanochannel surface chemistry, thereby regulating ionic flux and enabling reversible, tunable, and stimulus-responsive behaviors. We survey architectures in which crown ethers, calixcrowns, pillararenes, and related hosts are integrated into solid-state nanochannels, emphasizing representative achievements such as biological-level Na+/K+ selectivity in crown ether-based systems and nanomolar-level detection of ions using calixcrowns- and pillararene-functionalized nanochannels. Finally, we discuss how temperature, pH, light, and redox state act as external stimuli that reversibly switch between conductive states, yielding ion-selective platforms for sensing and ion sieving. Full article
Show Figures

Graphical abstract

12 pages, 2983 KB  
Article
Enhanced Synergistic Catalytic Effect of a CTF-Based Composite via Constructing of a Binary Oxide System for Thermal Decomposition of Ammonium Perchlorate
by Bo Kou, Wei Chen, Xianliang Chen, Bowei Gao and Linghua Tan
Nanomaterials 2026, 16(4), 270; https://doi.org/10.3390/nano16040270 - 19 Feb 2026
Abstract
As a widely used catalyst class, transition metal oxides (TMOs) face the challenges of detrimental nanoparticle agglomeration. The newly developing two-dimensional (2D) covalent triazine frameworks (CTFs) offer a promising solution as catalyst supports, capable of yielding composites with excellent dispersibility and synergistic catalytic [...] Read more.
As a widely used catalyst class, transition metal oxides (TMOs) face the challenges of detrimental nanoparticle agglomeration. The newly developing two-dimensional (2D) covalent triazine frameworks (CTFs) offer a promising solution as catalyst supports, capable of yielding composites with excellent dispersibility and synergistic catalytic enhancement. Building on this, and employing a hydroxylation functional modification strategy, this article introduces a binary oxide system to construct a CTF/CuO–NiO composite that exhibits excellent catalytic performance for the thermal decomposition of ammonium perchlorate (AP). Specifically, polyvinyl alcohol (PVA) was first employed to introduce -OH anchoring sites onto the CTF surface. A subsequent co-precipitation yielded a uniform dispersion of CuO–NiO nanoparticles across the functionalized CTF support. DSC analysis revealed that incorporating merely 2 wt% of the CTF/CuO–NiO composite into AP significantly alters its high-temperature decomposition (HTD) peak temperature, shifting it from 404.6 °C to 332.1 °C. This work highlights the construction of a binary oxide system through an effective dispersion strategy to enhance the synergistic catalytic performance of CTF-based composites. Full article
(This article belongs to the Special Issue Structural Regulation and Performance Assessment of Nanocatalysts)
Show Figures

Figure 1

15 pages, 4969 KB  
Article
Interactions Between Snow Cover and Forest Composition Drive Seasonal and Regional Variability in Soil Thermal Regimes of Hemiboreal Forests in the Eastern Baltic Region
by Andris Seipulis, Kristīne Riekstiņa, Kārlis Bičkovskis, Didzis Elferts, Endijs Bāders, Roberts Matisons and Oskars Krišāns
Forests 2026, 17(2), 276; https://doi.org/10.3390/f17020276 - 18 Feb 2026
Viewed by 35
Abstract
Wind disturbance is the major driver of forest damage in Northern Europe, particularly during late autumn and winter when cyclonic activity might coincide with unfrozen soil conditions. We quantified the thermal regime of periodically waterlogged mineral soils in relation to snow cover thickness [...] Read more.
Wind disturbance is the major driver of forest damage in Northern Europe, particularly during late autumn and winter when cyclonic activity might coincide with unfrozen soil conditions. We quantified the thermal regime of periodically waterlogged mineral soils in relation to snow cover thickness (SCT) in hemiboreal forests of Latvia. The study was conducted in 15 forest stands dominated by birch (Betula spp.), Scots pine (Pinus sylvestris L.), and Norway spruce (Picea abies (L.) H. Karst.) during two contrasting winters (2023/2024 and 2024/2025) across two regions differing in local climatic conditions. Soil temperature was monitored at 0, 10, and 20 cm depths, while SCT was measured at five points per plot. Linear mixed-effects models were used to assess the effects of air temperature, precipitation, region, season, and species composition to snow cover thickness (SCT) and effect of the other parameters to soil temperatures. SCT varied strongly between regions and seasons. Snow accumulation was lower in pine- and spruce-dominated stands compared to birch stands. Formation of snow layer increased soil temperatures at the surface, whereas SCT had a more pronounced insulating effect at depths of 10–20 cm, especially during prolonged snow cover (F = 15.43 − 54.25, p < 0.001). Heat transfer from deeper layers further enhanced thawing under waterlogged conditions. Snow cover significantly insulates soil in a depth-dependent manner, with its magnitude varying across regions and seasons. Promoting mixed-species stands and selecting deep-rooted species, such as birch, can enhance the formation of frozen soil, and thus soil–root anchorage, reducing wind damage risk on periodically waterlogged soils. Full article
(This article belongs to the Section Forest Soil)
Show Figures

Figure 1

16 pages, 5695 KB  
Article
Homogenization of Through-Thickness Microstructure and Mechanical Properties in Direct-Quenched High-Nb Q690 Steel via Tempering
by Haonan Wang, Dazhao Li, Yongqing Zhang, Peimao Fu, Haitao Lu, Hejia Zhu, Xingchi Chen, Boyu Guan, Yongan Chen and Shaobin Bai
Materials 2026, 19(4), 792; https://doi.org/10.3390/ma19040792 - 18 Feb 2026
Viewed by 59
Abstract
Manufacturing heavy-gauge high-strength steel plates with uniform through-thickness properties is challenging due to the limited hardenability and significant cooling rate variations inherent to heavy sections. However, the mechanism governing microstructural homogenization across such large cross-sections remains not fully understood. This study investigates the [...] Read more.
Manufacturing heavy-gauge high-strength steel plates with uniform through-thickness properties is challenging due to the limited hardenability and significant cooling rate variations inherent to heavy sections. However, the mechanism governing microstructural homogenization across such large cross-sections remains not fully understood. This study investigates the through-thickness microstructure and mechanical properties of a 60 mm thick high-Nb microalloyed Q690 steel plate processed by direct quenching (AQ) and subsequent tempering at 530 °C and 580 °C. Characterization was performed at the surface (0t), quarter-thickness (1/4t), and core (1/2t) locations. Results revealed a pronounced gradient in the as-quenched state: while the surface consisted of fine lath martensite/bainite, the core formed coarse granular bainite containing blocky martensite–austenite (M-A) constituents. This microstructural heterogeneity resulted in poor core toughness (~24 J). High-temperature tempering at 580 °C promoted the complete decomposition of these metastable M-A constituents into ferrite and fine carbides, significantly improving the core impact energy to ~49 J. However, a toughness gradient persisted compared to the quarter-thickness (>120 J), attributed to the inherited coarse matrix and the formation of grain boundary carbides. Notably, high yield strength was maintained across the thickness despite matrix recovery. This is primarily attributed to a potent anti-softening effect provided by thermally stable (Nb,Ti,Mo)C nanoprecipitates, which generate strong Orowan strengthening. These findings highlight the critical role of optimizing the trade-off between M-A decomposition and carbide evolution in promoting the microstructural and property homogenization of heavy-gauge steels. Full article
(This article belongs to the Special Issue Microstructural and Mechanical Properties of Metal Alloys)
Show Figures

Figure 1

12 pages, 4251 KB  
Article
Optimal Storage Temperature for Maintaining the Solubility of Micellar Casein Powder
by Chong Chen, Yun Chen, Kerong Wang, Yang Song, Shengbo Yu, Xuhui Fan, Shuang Wang, Pengjie Wang, Weibo Zhang and Zhishen Mu
Polymers 2026, 18(4), 506; https://doi.org/10.3390/polym18040506 - 18 Feb 2026
Viewed by 50
Abstract
Maintaining the solubility of micellar casein (MC) powder during storage is a major practical challenge. This study investigated the effects of storage temperature (−20 to 37 °C) on solubility and structure of MC powder. Results showed that solubility of MC powder was well [...] Read more.
Maintaining the solubility of micellar casein (MC) powder during storage is a major practical challenge. This study investigated the effects of storage temperature (−20 to 37 °C) on solubility and structure of MC powder. Results showed that solubility of MC powder was well preserved at 4 °C and −20 °C over 30 d, whereas higher storage temperatures led to a marked decline. Correspondingly, particle size and stability of rehydrated solution from powders stored at lower temperatures remained unchanged but increased significantly at elevated temperatures, alongside visible precipitation. Structural analysis indicated that surface cross-linking and reduced porosity occurred during storage, resulting in decreased solubility, which were effectively suppressed at 4 °C and −20 °C. These findings demonstrate that refrigerated storage at 4 °C is sufficient to maintain the solubility of MC powder, with no clear additional advantage observed at −20 °C under the tested conditions. This work provides practical guidance for optimizing MC powder storage. Full article
(This article belongs to the Special Issue Polymer Materials in Food Science)
17 pages, 8549 KB  
Article
Print Quality Assessment of QR Code Elements Achieved by the Digital Thermal Transfer Process
by Igor Majnarić, Marija Jelkić, Marko Morić and Krunoslav Hajdek
J. Imaging 2026, 12(2), 86; https://doi.org/10.3390/jimaging12020086 - 18 Feb 2026
Viewed by 52
Abstract
The new European Regulation (EU) 2025/40 includes provisions on modern packaging and packaging waste. It defines the use of image QR codes on packaging (items 71 and 161) and in personal documents, making line barcodes a thing of the past. The definition of [...] Read more.
The new European Regulation (EU) 2025/40 includes provisions on modern packaging and packaging waste. It defines the use of image QR codes on packaging (items 71 and 161) and in personal documents, making line barcodes a thing of the past. The definition of a QR code is precisely specified in ISO/IEC 18004:2024. However, their implementation in printing systems is not specified and remains an important factor for their future application. Digital foil printing is a completely new hybrid printing process for applying information to highly precise applications such as QR codes, security printing, and packaging printing. The technique is characterized by a combination of two printing techniques: drop-on-demand UV inkjet followed by thermal transfer of black foil. Using a matte-coated printing substrate (Garda Matt, 300 g/m2), Konica Minolta KM1024 LHE Inkjet head settings, and a transfer temperature of 100 °C, the size of the square printing elements in QR codes plays a decisive role in the quality of the decoded information. The aim of this work is to investigate the possibility of realizing the basic elements of the QR code image (the profile of square elements and the success of realizing a precisely defined surface) with a variation in the thickness of the UV varnish coating (7, 14 and 21 µm), realized using the MGI JETvarnish 3DS digital machine. The most commonly used rectangular elements with a surface area of 0.01 cm2 were tested: 0.06 cm2, 0.25 cm2, 1 cm2, 4 cm2, and 16 cm2. The results showed that the imprint quality is uneven for the smallest elements (square elements with base lengths of 0.1 cm and 0.25 cm). The effect is especially visible with a minimum UV varnish application of 7 μm (1 drop). By increasing the amount of UV varnish and the application thickness to 14 μm (2 drops) and 21 μm (3 drops), respectively, a significantly more stable, even reproduction of the achromatic image is achieved. The highest technical precision was achieved with a UV varnish thickness of 21 μm. Full article
Show Figures

Figure 1

19 pages, 1888 KB  
Article
Synergistic Role of ZrO2 Promoter and Ni–NiO–ZrO2 Networks in Improving Ni Catalysts for Dry Methane Reforming at Low Temperature
by Tanakorn Ratana, Sabaithip Tungkamani, Sornsawan Srisuwan, Onnipha Sithalo and Monrudee Phongaksorn
Catalysts 2026, 16(2), 190; https://doi.org/10.3390/catal16020190 - 18 Feb 2026
Viewed by 39
Abstract
In this work, a rational catalyst design based on interfacial architecture engineering is proposed for low-temperature dry methane reforming (DMR) at 550 °C. Ni-based catalysts containing 10 wt% Ni were developed on a γ-Al2O3 support modified with 9 wt% MgO–1 [...] Read more.
In this work, a rational catalyst design based on interfacial architecture engineering is proposed for low-temperature dry methane reforming (DMR) at 550 °C. Ni-based catalysts containing 10 wt% Ni were developed on a γ-Al2O3 support modified with 9 wt% MgO–1 wt% ZrO2. Zirconia promoters were introduced either by dry impregnation or via an ammonia vapor-assisted route to construct a Ni–NiO–ZrO2 interfacial network. The effects of ZrO2 content (0, 1, and 3 wt%) and synthesis route on metal–support interactions, oxygen mobility, and coke resistance were systematically investigated. ZrO2 promotion increased the fraction of reducible Ni species and preferentially enhanced CO2 activation, thereby promoting the reverse water–gas shift (RWGS) reaction and lowering the H2/CO ratio. In contrast, ammonia vapor-assisted preparation induced the formation of an LDH-derived Ni–NiO–ZrO2 surface network, which increased the concentration of surface-accessible Ni species, suppressed excessive zirconia coverage, and significantly improved apparent oxygen mobility. These synergistic structural features are consistent with enhanced oxygen-assisted carbon removal and improved coke management through regulation of the nature of carbon species, leading to more balanced activation of CH4 and CO2. Overall, this study provides insights into interfacial structure–performance relationships for designing efficient Ni-based catalysts for CO2 utilization. Full article
15 pages, 9768 KB  
Article
Synthesis and Tribological Characteristics of High-Performance Self-Lubricating CoCrFeNiMox-Ni/MoS2-Ag-Cr2O3 Composites
by Bei Sun, Zhiming Gao and Zhongtang Gao
Materials 2026, 19(4), 783; https://doi.org/10.3390/ma19040783 - 18 Feb 2026
Viewed by 47
Abstract
High-temperature self-lubricating materials with stable tribological performance across a wide temperature range are essential for advanced mechanical systems under extreme conditions. However, balancing mechanical strength and lubrication efficiency remains a key challenge. This study fabricated CoCrFeNiMox-Ni/MoS2-Ag-Cr2O3 composites ( [...] Read more.
High-temperature self-lubricating materials with stable tribological performance across a wide temperature range are essential for advanced mechanical systems under extreme conditions. However, balancing mechanical strength and lubrication efficiency remains a key challenge. This study fabricated CoCrFeNiMox-Ni/MoS2-Ag-Cr2O3 composites (x = 0.2, 0.5, 1) via spark plasma sintering, aiming to investigate the effect of Mo content on their microstructure, mechanical properties, and tribological behavior. Microstructural analysis showed that the as-sintered composites mainly consist of FCC phase, Cr2O3, Ag, and Ni/MoS2. Increasing Mo content from 0.2 to 1 wt.% significantly promoted the formation of hard σ-phase intermetallics, leading to increased hardness (up to 546 HV) and yield strength (peaking at 502 MPa). Tribological tests at 25–800 °C indicated continuous lubrication behavior in all composites. The minimum friction coefficient was 0.23, and wear rates remained below 10−6 mm3/N·m. In the low-to-medium temperature range, lubrication was dominated by the synergistic effect of Ni/MoS2 and Ag: Ni/MoS2 formed low-shear-strength films, while Ag reduced surface adhesion. Meanwhile, the Mo solid solution strengthened and the σ-phase enhanced wear resistance by improving hardness and inhibiting plastic deformation. At high temperatures, tribochemical reactions generated lubricating films composed of oxides and molybdates, which maintained tribological performance by reducing direct contact between friction pairs. This study demonstrates that Mo-doped high-entropy alloy composites can serve as high-performance wide-temperature self-lubricating materials, providing a basis for designing “matrix-lubricant” systems for extreme-temperature applications. Full article
(This article belongs to the Section Advanced Composites)
Show Figures

Figure 1

Back to TopTop