AI-Guided Binding Mechanisms and Molecular Dynamics for MERS-CoV
Abstract
1. Introduction
2. Results and Discussion
2.1. Protein Structure Analysis
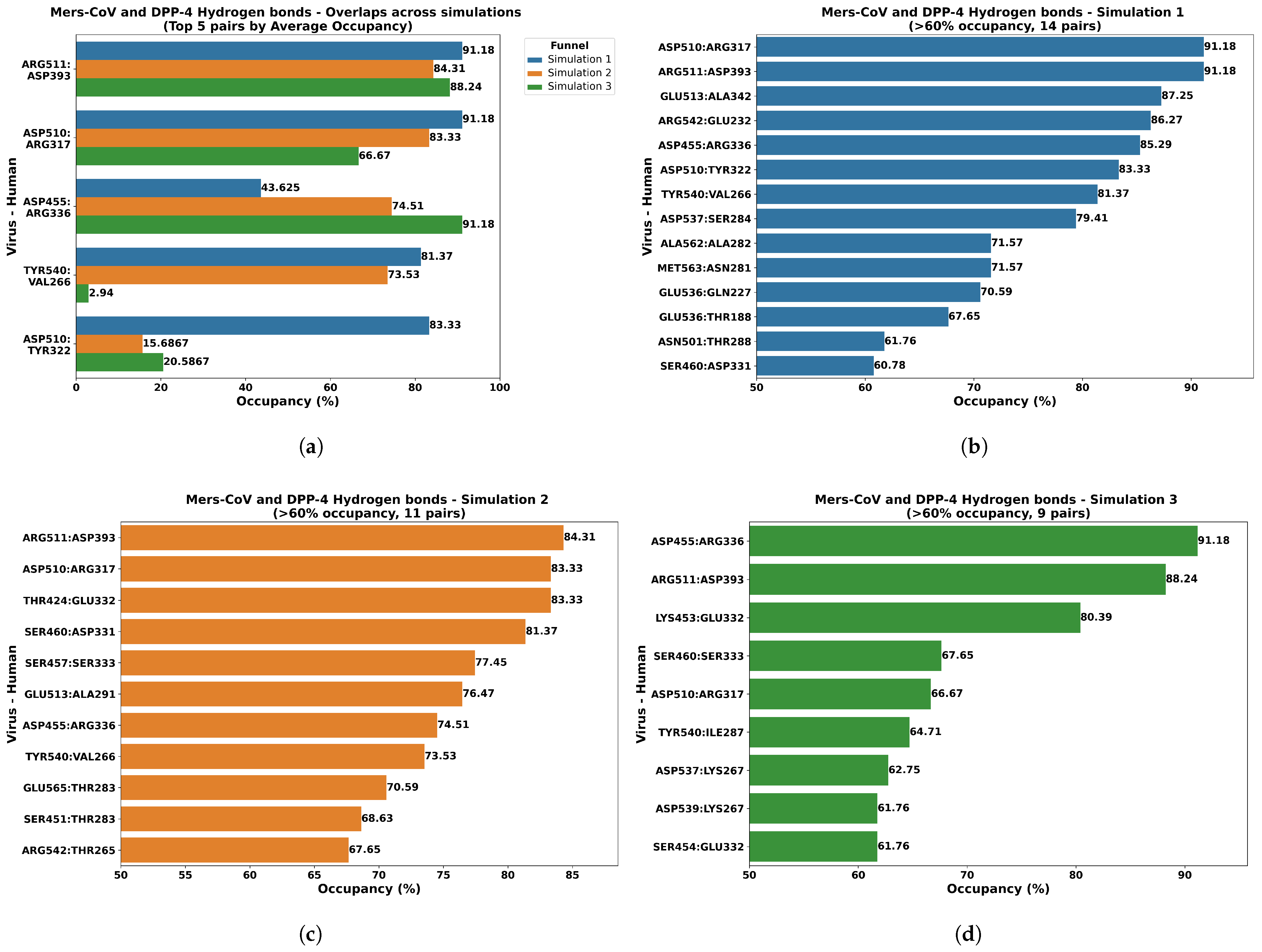
2.2. Hydrogen Bond Analysis
2.3. Root Mean Squared Deviation (RMSD) Analysis
2.4. Salt Bridge Analysis
2.5. Binding Affinity Predictions
3. Materials and Methods
3.1. Preparing Protein Structures
3.2. Molecular Dynamics Simulation
3.3. Salt Bridge and Hydrogen Bond Analysis
3.4. Visualizing the Salt Bridge and Hydrogen Bonds
3.5. Computing Resources
3.6. Binding Affinity Prediction
4. Conclusions
Author Contributions
Funding
Institutional Review Board Statement
Informed Consent Statement
Data Availability Statement
Acknowledgments
Conflicts of Interest
References
- WHO. Middle East Respiratory Syndrome Coronavirus (MERS-CoV) Dashboard. Available online: https://data.who.int/dashboards/mers (accessed on 5 November 2025).
- Alagaili, A.N.; Briese, T.; Mishra, N.; Kapoor, V.; Sameroff, S.C.; Burbelo, P.D.; de Wit, E.; Munster, V.J.; Hensley, L.E.; Zalmout, I.S.; et al. Middle East Respiratory Syndrome Coronavirus Infection in Dromedary Camels in Saudi Arabia. mBio 2014, 5, e00884-14, Correction in mBio 2014, 5, e01002-14. https://doi.org/10.1128/mBio.01002-14. [Google Scholar] [CrossRef] [PubMed]
- Briese, T.; Mishra, N.; Jain, K.; Zalmout, I.S.; Jabado, O.J.; Karesh, W.B.; Daszak, P.; Mohammed, O.B.; Alagaili, A.N.; Lipkin, W.I. Middle East Respiratory Syndrome Coronavirus Quasispecies That Include Homologues of Human Isolates Revealed through Whole-Genome Analysis and Virus Cultured from Dromedary Camels in Saudi Arabia. mBio 2014, 5, e01146-14. [Google Scholar] [CrossRef] [PubMed]
- WHO. Middle East Respiratory Syndrome Coronavirus (MERS-CoV). Available online: https://www.who.int/news-room/fact-sheets/detail/middle-east-respiratory-syndrome-coronavirus-(mers-cov) (accessed on 5 November 2025).
- Wang, N.; Shi, X.; Jiang, L.; Zhang, S.; Wang, D.; Tong, P.; Guo, D.; Fu, L.; Cui, Y.; Liu, X.; et al. Structure of MERS-CoV spike receptor-binding domain complexed with human receptor DPP4. Cell Res. 2013, 23, 986–993. [Google Scholar] [CrossRef] [PubMed]
- Du, L.; Jiang, S. Subunit Vaccines Against Emerging Pathogenic Human Coronaviruses. Front. Microbiol. 2020, 11, 00298. [Google Scholar] [CrossRef]
- Abbad, A.; Anga, L.; Faouzi, A.; Iounes, N.; Nourlil, J. Effect of identified non-synonymous mutations in DPP4 receptor binding residues among highly exposed human population in Morocco to MERS-CoV through computational approach. PLoS ONE 2021, 16, e0258750. [Google Scholar] [CrossRef]
- Klemann, C.; Wagner, L.; Stephan, M.; von Hörsten, S. Cut to the chase: A review of CD26/dipeptidyl peptidase-4’s (DPP4) entanglement in the immune system. Clin. Exp. Immunol. 2016, 185, 1–21. [Google Scholar] [CrossRef]
- Raj, V.S.; Mou, H.; Smits, S.L.; Dekkers, D.H.; Müller, M.A.; Dijkman, R.; Muth, D.; Demmers, J.A.A.; Zaki, A.; Fouchier, R.A.M.; et al. Dipeptidyl peptidase 4 is a functional receptor for the emerging human coronavirus-EMC. Nature 2013, 495, 251–254. [Google Scholar] [CrossRef]
- Bojadzic, D.; Alcazar, O.; Chen, J.; Chuang, S.T.; Condor Capcha, J.M.; Shehadeh, L.A.; Buchwald, P. Small-molecule inhibitors of the coronavirus spike: ACE2 protein–protein interaction as blockers of viral attachment and entry for SARS-CoV-2. ACS Infect. Dis. 2021, 7, 1519–1534. [Google Scholar] [CrossRef]
- Lu, G.; Hu, Y.; Wang, Q.; Qi, J.; Gao, G.F. Molecular basis of binding between MERS-CoV and DPP4 receptor. Nature 2013, 500, 227–231. [Google Scholar] [CrossRef]
- Peck, K.M.; Cockrell, A.S.; Yount, B.L.; Scobey, T.; Baric, R.S.; Heise, M.T. Glycosylation of Mouse DPP4 Plays a Role in Inhibiting Middle East Respiratory Syndrome Coronavirus Infection. J. Virol. 2015, 89, 4696. [Google Scholar] [CrossRef]
- Li, Y.; Zhang, Z.; Yang, L.; Lian, X.; Xie, Y.; Li, S.; Xin, S.; Cao, P.; Lu, J. The MERS-CoV Receptor DPP4 as a Candidate Binding Target of the SARS-CoV-2 Spike. IScience 2020, 23, 101160, Correction in IScience 2020, 23, 101400. https://doi.org/10.1016/j.isci.2020.101400. [Google Scholar] [CrossRef]
- Xia, S.; Liu, Q.; Wang, Q.; Sun, Z.; Su, S.; Du, L.; Ying, T.; Lu, L.; Jiang, S. Middle East respiratory syndrome coronavirus (MERS-CoV) entry inhibitors targeting spike protein. Virus Res. 2014, 194, 200–210. [Google Scholar] [CrossRef]
- Dahhas, M.A.; Alkahtani, H.M.; Malik, A.; Almehizia, A.A.; Bakheit, A.H.; Ansar, S.A.; AlAbdulkarim, A.S.; SAlrasheed, L.; Alsenaidy, M.A. Screening and identification of potential MERS-CoV papain-like protease (PLpro) inhibitors; Steady-state kinetic and Molecular dynamic studies. Saudi Pharm. J. (SPJ) 2022, 31, 228. [Google Scholar] [CrossRef] [PubMed]
- Yu, W.; Zhong, N.; Li, X.; Ren, J.; Wang, Y.; Li, C.; Yao, G.; Zhu, R.; Wang, X.; Jia, Z.; et al. Structure based affinity maturation and characterizing of SARS-CoV antibody CR3022 against SARS-CoV-2 by computational and experimental approaches. Viruses 2022, 14, 186. [Google Scholar] [CrossRef] [PubMed]
- Alamri, M.A.; ul Qamar, M.T.; Mirza, M.U.; Alqahtani, S.M.; Froeyen, M.; Chen, L.L. Discovery of human coronaviruses pan-papain-like protease inhibitors using computational approaches. J. Pharm. Anal. 2020, 10, 546–559. [Google Scholar] [CrossRef] [PubMed]
- Roy, A.N.; Gupta, A.M.; Banerjee, D.; Chakrabarti, J.; Raghavendra, P.B. Unraveling DPP4 receptor interactions with SARS-CoV-2 variants and MERS-CoV: Insights into pulmonary disorders via immunoinformatics and molecular dynamics. Viruses 2023, 15, 2056. [Google Scholar] [CrossRef]
- Song, W.; Wang, Y.; Wang, N.; Wang, D.; Guo, J.; Fu, L.; Shi, X. Identification of residues on human receptor DPP4 critical for MERS-CoV binding and entry. Virology 2014, 471, 49–53. [Google Scholar] [CrossRef]
- Gupta, G.; Verkhivker, G. Exploring Binding Pockets in the Conformational States of the SARS-CoV-2 Spike Trimers for the Screening of Allosteric Inhibitors Using Molecular Simulations and Ensemble-Based Ligand Docking. Int. J. Mol. Sci. 2024, 25, 4955. [Google Scholar] [CrossRef]
- Xie, Y.; Karki, C.B.; Du, D.; Li, H.; Wang, J.; Sobitan, A.; Teng, S.; Tang, Q.; Li, L. Spike proteins of SARS-CoV and SARS-CoV-2 utilize different mechanisms to bind with human ACE2. Front. Mol. Biosci. 2020, 7, 591873. [Google Scholar] [CrossRef]
- Xie, Y.; Guo, W.; Lopez-Hernadez, A.; Teng, S.; Li, L. The pH effects on SARS-CoV and SARS-CoV-2 spike proteins in the process of binding to hACE2. Pathogens 2022, 11, 238. [Google Scholar] [CrossRef]
- Liu, T.; Lu, D.; Zhang, H.; Zheng, M.; Yang, H.; Xu, Y.; Luo, C.; Zhu, W.; Yu, K.; Jiang, H. Applying high-performance computing in drug discovery and molecular simulation. Natl. Sci. Rev. 2016, 3, 49–63. [Google Scholar] [CrossRef]
- Chen, J.; Chen, L.; Quan, H.; Lee, S.; Khan, K.F.; Xie, Y.; Li, Q.; Valero, M.; Dai, Z.; Xie, Y. A comparative analysis of sars-cov-2 variants of concern (voc) spike proteins interacting with hace2 enzyme. Int. J. Mol. Sci. 2024, 25, 8032. [Google Scholar] [CrossRef]
- Pettersen, E.F.; Goddard, T.D.; Huang, C.C.; Couch, G.S.; Greenblatt, D.M.; Meng, E.C.; Ferrin, T.E. UCSF Chimera—A visualization system for exploratory research and analysis. J. Comput. Chem. 2004, 25, 1605–1612. [Google Scholar] [CrossRef]
- Chen, L.; Nasif, K.F.A.; Deng, B.; Niu, S.; Xie, C.Y. Predicting protein-protein binding affinity with deep learning: A comparative analysis of cnn and transformer models. In Proceedings of the 2024 IEEE 36th International Conference on Tools with Artificial Intelligence (ICTAI); IEEE: Piscataway, NJ, USA, 2024; pp. 548–555. [Google Scholar] [CrossRef]
- Du, L.; Yang, Y.; Zhou, Y.; Lu, L.; Li, F.; Jiang, S. MERS-CoV spike protein: A key target for antivirals. Expert Opin. Ther. Targets 2017, 21, 131–143. [Google Scholar] [CrossRef]
- Kolybalov, D.S.; Kadtsyn, E.D.; Arkhipov, S.G. Computer Aided Structure-Based Drug Design of Novel SARS-CoV-2 Main Protease Inhibitors: Molecular Docking and Molecular Dynamics Study. Computation 2024, 12, 18. [Google Scholar] [CrossRef]
- Berman, H.M.; Battistuz, T.; Bhat, T.N.; Bluhm, W.F.; Bourne, P.E.; Burkhardt, K.; Feng, Z.; Gilliland, G.L.; Iype, L.; Jain, S.; et al. The protein data bank. Biol. Crystallogr. 2002, 58, 899–907. [Google Scholar] [CrossRef]
- Leach, A.R. Molecular Modelling: Principles and Applications; Pearson Education: London, UK, 2001. [Google Scholar]
- Michaud-Agrawal, N.; Denning, E.J.; Woolf, T.B.; Beckstein, O. MDAnalysis: A toolkit for the analysis of molecular dynamics simulations. J. Comput. Chem. 2011, 32, 2319–2327. [Google Scholar] [CrossRef]
- Singh, B.; Singh, A.K.; Kumar, A.; Kumar, P.; Yadav, J.P.; Mejía-Méndez, J.L.; Verma, A. Molecular Dynamics Study of Polyphenolic and Flavonoids of Momordica charantia with Glucagon-Like Peptide-1 (GLP-1) of Dipeptidyl Peptidase-4 (DPP4). ResearchSquare, 2024; preprint. [Google Scholar] [CrossRef]
- Perrin-Cocon, L.; Diaz, O.; Jacquemin, C.; Barthel, V.; Ogire, E.; Ramière, C.; André, P.; Lotteau, V.; Vidalain, P.O. The current landscape of coronavirus-host protein–protein interactions. J. Transl. Med. 2020, 18, 319. [Google Scholar] [CrossRef]
- Rosell, M.; Fernández-Recio, J. Docking-based identification of small-molecule binding sites at protein-protein interfaces. Comput. Struct. Biotechnol. J. 2020, 18, 3750–3761. [Google Scholar] [CrossRef]
- Eastman, P.; Swails, J.; Chodera, J.D.; McGibbon, R.T.; Zhao, Y.; Beauchamp, K.A.; Wang, L.P.; Simmonett, A.C.; Harrigan, M.P.; Stern, C.D.; et al. OpenMM 7: Rapid development of high performance algorithms for molecular dynamics. PLoS Comput. Biol. 2017, 13, e1005659. [Google Scholar] [CrossRef] [PubMed]
- Talagayev, V.; Chen, Y.; Doering, N.P.; Obendorf, L.; Denzinger, K.; Puls, K.; Lam, K.; Liu, S.; Wolf, C.A.; Noonan, T.; et al. Openmmdl-simplifying the complex: Building, simulating, and analyzing protein–ligand systems in openmm. J. Chem. Inf. Model. 2025, 65, 1967–1978. [Google Scholar] [CrossRef] [PubMed]
- Dickson, C.J.; Madej, B.D.; Skjevik, Å.A.; Betz, R.M.; Teigen, K.; Gould, I.R.; Walker, R.C. Lipid14: The amber lipid force field. J. Chem. Theory Comput. 2014, 10, 865–879. [Google Scholar] [CrossRef]
- Onufriev, A.V.; Izadi, S. Water models for biomolecular simulations. Wiley Interdiscip. Rev. Comput. Mol. Sci. 2018, 8, e1347. [Google Scholar] [CrossRef]
- da Cruz Freire, J.E.; Júnior, J.E.M.; Pinheiro, D.P.; da Cruz Paiva Lima, G.E.; do Amaral, C.L.; Veras, V.R.; Madeira, M.P.; Freire, E.B.L.; Ozório, R.G.; Fernandes, V.O.; et al. Evaluation of the anti-diabetic drug sitagliptin as a novel attenuate to SARS-CoV-2 evidence-based in silico: Molecular docking and molecular dynamics. 3 Biotech 2022, 12, 344. [Google Scholar] [CrossRef]
- Dermawan, D.; Alotaiq, N. Computational analysis of antimicrobial peptides targeting key receptors in infection-related cardiovascular diseases: Molecular docking and dynamics insights. Sci. Rep. 2025, 15, 8896. [Google Scholar] [CrossRef]
- Gyebi, G.A.; Ogunyemi, O.M.; Ibrahim, I.M.; Ogunro, O.B.; Adegunloye, A.P.; Afolabi, S.O. SARS-CoV-2 host cell entry: An in silico investigation of potential inhibitory roles of terpenoids. J. Genet. Eng. Biotechnol. 2021, 19, 113. [Google Scholar] [CrossRef]
- Parmar, M.; Thumar, R.; Patel, B.; Athar, M.; Jha, P.C.; Patel, D. Structural differences in 3C-like protease (Mpro) from SARS-CoV and SARS-CoV-2: Molecular insights revealed by Molecular Dynamics Simulations. Struct. Chem. 2023, 34, 1309–1326. [Google Scholar] [CrossRef]
- Hung, T.I.; Hsieh, Y.J.; Lu, W.L.; Wu, K.P.; Chang, C.e.A. What strengthens protein-protein interactions: Analysis and applications of residue correlation networks. J. Mol. Biol. 2023, 435, 168337. [Google Scholar] [CrossRef]
- Mishra, S.; Kumar, S.; Choudhuri, K.S.R.; Longkumer, I.; Koyyada, P.; Kharsyiemiong, E.T. Structural exploration with AlphaFold2-generated STAT3α structure reveals selective elements in STAT3α-GRIM-19 interactions involved in negative regulation. Sci. Rep. 2021, 11, 23145. [Google Scholar] [CrossRef]
- Alazmi, M.; Motwalli, O. Molecular basis for drug repurposing to study the interface of the S protein in SARS-CoV-2 and human ACE2 through docking, characterization, and molecular dynamics for natural drug candidates. J. Mol. Model. 2020, 26, 338. [Google Scholar] [CrossRef]
- Waskom, M.L. Seaborn: Statistical data visualization. J. Open Source Softw. 2021, 6, 3021. [Google Scholar] [CrossRef]
- Zhang, Y.; Kandwal, S.; Fayne, D.; Stevenson, N. MERS-CoV-nsp5 expression in human epithelial BEAS 2b cells attenuates type I interferon production by inhibiting IRF3 nuclear translocation. Cell. Mol. Life Sci. 2024, 81, 433. [Google Scholar] [CrossRef]
- Kerry, R.G.; Naik, H.; Mahapatra, S.R.; Nayak, S.; Behera, A.; Pattanaik, K.P.; Ranjan, S.; Misra, N.; Rout, J.R.; Das, G.; et al. Exploring the therapeutic potential of Rutin and Morin in Type 2 Diabetes: A transcriptomics and molecular dynamics simulation for proteins. ResearchSquare, 2024; preprint. [Google Scholar] [CrossRef]
- Huang, J.; Lemkul, J.A.; Eastman, P.K.; MacKerell, A.D., Jr. Molecular dynamics simulations using the drude polarizable force field on GPUs with OpenMM: Implementation, validation, and benchmarks. J. Comput. Chem. 2018, 39, 1682–1689. [Google Scholar] [CrossRef]
- Gropp, W.; Boerner, T.; Bode, B.; Bauer, G. Delta: Balancing GPU Performance with Advanced System Interfaces; National Center for Supercomputing Applications (NCSA): Urbana, IL, USA, 2023. [Google Scholar]
- Paiardi, G.; Richter, S.; Oreste, P.; Urbinati, C.; Rusnati, M.; Wade, R.C. The binding of heparin to spike glycoprotein inhibits SARS-CoV-2 infection by three mechanisms. J. Biol. Chem. 2022, 298, 101507. [Google Scholar] [CrossRef]
- Páll, S.; Zhmurov, A.; Bauer, P.; Abraham, M.; Lundborg, M.; Gray, A.; Hess, B.; Lindahl, E. Heterogeneous parallelization and acceleration of molecular dynamics simulations in GROMACS. J. Chem. Phys. 2020, 153, 134110. [Google Scholar] [CrossRef]
- Chen, L.; Nasif, K.F.A.; Yang, M.; Niu, S.; Deng, B.; Xie, Y. Automatic Molecular Dynamics Simulation with Binding Affinity Prediction Using Deep Learning. In Proceedings of the 2025 IEEE 37th International Conference on Tools with Artificial Intelligence (ICTAI); IEEE: Piscataway, NJ, USA, 2025; pp. 292–298. [Google Scholar] [CrossRef]
- Ghosh, A.; Sufian, A.; Sultana, F.; Chakrabarti, A.; De, D. Fundamental Concepts of Convolutional Neural Network. In Recent Trends and Advances in Artificial Intelligence and Internet of Things; Balas, V.E., Kumar, R., Srivastava, R., Eds.; Springer International Publishing: Cham, Switzerland, 2020; pp. 519–567. [Google Scholar] [CrossRef]
- Liu, Z.; Su, M.; Han, L.; Liu, J.; Yang, Q.; Li, Y.; Wang, R. Forging the basis for developing protein–ligand interaction scoring functions. Acc. Chem. Res. 2017, 50, 302–309. [Google Scholar] [CrossRef]
- Vangone, A.; Bonvin, A.M. Contacts-based prediction of binding affinity in protein–protein complexes. eLife 2015, 4, e07454. [Google Scholar] [CrossRef]
- Xue, L.C.; Rodrigues, J.P.; Kastritis, P.L.; Bonvin, A.M.; Vangone, A. PRODIGY: A web server for predicting the binding affinity of protein–protein complexes. Bioinformatics 2016, 32, 3676–3678. [Google Scholar] [CrossRef]
- Breugem, T.I.; Riesebosch, S.; Zhang, J.; Mykytyn, A.Z.; Krabbendam, L.; Groen, N.; Baptista Varela, S.; Schipper, D.; van den Doel, P.B.; van Acker, R.; et al. Variable DPP4 expression in multiciliated cells of the human nasal epithelium as a determinant for MERS-CoV tropism. Proc. Natl. Acad. Sci. USA 2025, 122, e2410630122. [Google Scholar] [CrossRef]
- MA Basher, A.R.; Hallinan, C.; Lee, K. Heterogeneity-preserving discriminative feature selection for disease-specific subtype discovery. Nat. Commun. 2025, 16, 3593. [Google Scholar] [CrossRef]
- Zhou, Z.; Hui, K.P.; So, R.T.; Lv, H.; Perera, R.A.; Chu, D.K.; Gelaye, E.; Oyas, H.; Njagi, O.; Abayneh, T.; et al. Phenotypic and genetic characterization of MERS coronaviruses from Africa to understand their zoonotic potential. Proc. Natl. Acad. Sci. USA 2021, 118, e2103984118. [Google Scholar] [CrossRef]






| MERS-CoV Residues | DPP4 Residues | Average Inter-Molecular Residue Distances (Å) |
|---|---|---|
| LYS453 | GLU332 | 3.70 * |
| ASP455 | ARG336 | 3.74 |
| ASP510 | ARG317 | 3.56 |
| ARG511 | ASP393 | 3.63 |
| ASP539 | LYS267 | 5.43 |
| ARG542 | ASP297 | 5.96 |
| ARG542 | GLU232 | 4.77 * |
| Model (Target: ) | Error Metrics | Correlation Coefficients | ||||
|---|---|---|---|---|---|---|
| MAE | MSE | RMSE | MAPE | Pearson (r) | Spearman () | |
| Prodigy All (259 samples, 3 failed) | 18.05 | 1207.12 | 34.74 | 2.05 | 0.141 | 0.1319 |
| Prodigy Two-chain (75 samples) | 2.79 | 13.58 | 3.68 | 0.485 | 0.1201 | 0.1283 |
| Light V1 (ours) All (259 samples) | 1.97 | 5.83 | 2.41 | 0.256 | 0.2936 | 0.2644 |
| Light V1 (ours) Two-chain (75 samples) | 1.9684 | 6.21 | 2.49 | 0.310 | 0.3149 | 0.2382 |
Disclaimer/Publisher’s Note: The statements, opinions and data contained in all publications are solely those of the individual author(s) and contributor(s) and not of MDPI and/or the editor(s). MDPI and/or the editor(s) disclaim responsibility for any injury to people or property resulting from any ideas, methods, instructions or products referred to in the content. |
© 2026 by the authors. Licensee MDPI, Basel, Switzerland. This article is an open access article distributed under the terms and conditions of the Creative Commons Attribution (CC BY) license.
Share and Cite
Kumar, P.; Chen, L.; Chen, R.Y.; Chen, Y.; Pouriyeh, S.; Chakma, P.; Mohd Abul Basher, A.R.; Xie, Y. AI-Guided Binding Mechanisms and Molecular Dynamics for MERS-CoV. Int. J. Mol. Sci. 2026, 27, 1989. https://doi.org/10.3390/ijms27041989
Kumar P, Chen L, Chen RY, Chen Y, Pouriyeh S, Chakma P, Mohd Abul Basher AR, Xie Y. AI-Guided Binding Mechanisms and Molecular Dynamics for MERS-CoV. International Journal of Molecular Sciences. 2026; 27(4):1989. https://doi.org/10.3390/ijms27041989
Chicago/Turabian StyleKumar, Pradyumna, Lingtao Chen, Rachel Yuanbao Chen, Yin Chen, Seyedamin Pouriyeh, Progyateg Chakma, Abdur Rahman Mohd Abul Basher, and Yixin Xie. 2026. "AI-Guided Binding Mechanisms and Molecular Dynamics for MERS-CoV" International Journal of Molecular Sciences 27, no. 4: 1989. https://doi.org/10.3390/ijms27041989
APA StyleKumar, P., Chen, L., Chen, R. Y., Chen, Y., Pouriyeh, S., Chakma, P., Mohd Abul Basher, A. R., & Xie, Y. (2026). AI-Guided Binding Mechanisms and Molecular Dynamics for MERS-CoV. International Journal of Molecular Sciences, 27(4), 1989. https://doi.org/10.3390/ijms27041989

