Sign in to use this feature.

Years

Between: -

Subjects

remove_circle_outline
remove_circle_outline
remove_circle_outline
remove_circle_outline
remove_circle_outline
remove_circle_outline
remove_circle_outline

Journals

Article Types

Countries / Regions

Search Results (12)

Search Parameters:
Keywords = dynamic timetable model

Order results
Result details
Results per page
Select all
Export citation of selected articles as:
17 pages, 6305 KB  
Article
A Collaborative Dynamic Transit Scheduling Method Integrating Timetable Adjustment and Control-Oriented Trajectory Guidance
by Kunmin Teng, Haiqing Liu and Xiao Lu
Actuators 2026, 15(2), 112; https://doi.org/10.3390/act15020112 - 12 Feb 2026
Viewed by 298
Abstract
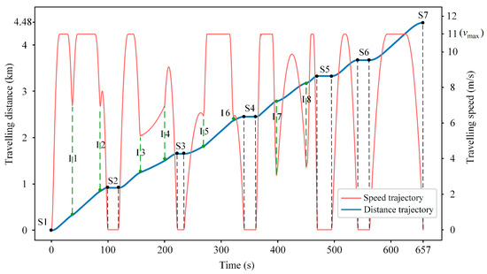
Dynamic scheduling of public transit is crucial for enhancing comprehensive operational benefits such as service quality and operating costs. However, uncertain passenger demands and the uncontrolled block effects of signalized intersections can lead to timetable deviation, significantly affecting scheduling efficiency. This paper proposes [...] Read more.
Dynamic scheduling of public transit is crucial for enhancing comprehensive operational benefits such as service quality and operating costs. However, uncertain passenger demands and the uncontrolled block effects of signalized intersections can lead to timetable deviation, significantly affecting scheduling efficiency. This paper proposes a collaborative dynamic transit scheduling method to mitigate the negative coupling effect. A passenger demand-aware dynamic timetable scheduling strategy is developed to improve timetable adherence and operational homogeneity. A control-oriented trajectory guidance strategy is established to enhance the effectiveness of the timetable scheduling strategy and reduce the operating costs considering the blocking effects of signalized intersections and transit actuator constraints. Integrating the two strategies, a collaborative optimization framework using a multi-objective nonlinear programming model is constructed to present an optimal comprehensive benefit scheduling scheme. Simulation results demonstrate that, compared to traditional methods within the same simulation scenarios, the proposed method improves the performance of operational homogeneity, timetable adherence, and energy efficiency by up to 67.6%, 71.03%, and 27.5%, respectively. In addition, it also enables the transit to pass through multiple signalized intersections without stopping, significantly enhancing the transit’s operational stability and operating cost. Full article
(This article belongs to the Section Actuators for Surface Vehicles)
Show Figures

Figure 1

18 pages, 2781 KB  
Article
Enhancing the Resilience of Intercity Transit System by Integrated Multimodal Emergency Dispatching and Passenger Assignment
by Xiaoyou Wang, Jiahe Tian and Enze Liu
Sustainability 2025, 17(13), 5717; https://doi.org/10.3390/su17135717 - 21 Jun 2025
Viewed by 783
Abstract
After the disruption of intercity railways, in order to effectively enhance system resilience and improve the sustainability of the intercity transit system, this paper studies the emergency response problem of multimodal collaboration based on the intercity multimodal transit system. Considering the constraints of [...] Read more.
After the disruption of intercity railways, in order to effectively enhance system resilience and improve the sustainability of the intercity transit system, this paper studies the emergency response problem of multimodal collaboration based on the intercity multimodal transit system. Considering the constraints of the disrupted network structure, multimodal emergency resources, dynamic passenger demand, and passenger participation willingness, a bi-level optimization model is established for maximizing system resilience and minimizing the deviation of passengers’ desired arrival time. This paper integrally determines the transit capacity, timetable, and passenger quantity on each line of each mode. A hybrid genetic and ant colony algorithm is designed to solve the problem. Taking the regional disruption of the Beijing–Tianjin–Hebei intercity railway network as a case study, the research results show that 59% of demand can be met with a single attempt and 70% of the arrival time is within the planned period. Based on this resilience-enhancement strategy, the imbalance between travel demand and transit capacity can be sustainably alleviated after railway disruption. Full article
(This article belongs to the Section Sustainable Transportation)
Show Figures

Figure 1

23 pages, 4357 KB  
Article
Slot Optimization Based on Coupled Airspace Capacity of Multi-Airport System
by Sichen Liu, Shuce Wang, Minghua Hu and Lei Yang
Appl. Sci. 2025, 15(12), 6759; https://doi.org/10.3390/app15126759 - 16 Jun 2025
Viewed by 1263
Abstract
An airport slot is the core resource in the air transportation system. In most busy airports in China, airline demand significantly exceeds the available slot capacity. Scientific and reasonable slot allocation techniques and methods can improve the operational efficiency and benefits of multi-airport [...] Read more.
An airport slot is the core resource in the air transportation system. In most busy airports in China, airline demand significantly exceeds the available slot capacity. Scientific and reasonable slot allocation techniques and methods can improve the operational efficiency and benefits of multi-airport systems. Existing research has predominantly addressed slot allocation optimization for individual airports; however, there are differences in the functional positioning and resource allocation during multi-airport slot optimization, which makes cooperative optimization in the context of multi-airport slot allocation difficult. The dynamic sharing of airspace capacity in multi-airport systems is crucial for optimizing airport slot allocation and improving resource utilization efficiency. This study develops a multi-objective optimization model incorporating coupled airspace capacity relationships within multi-airport systems and the fairness of airlines and airports in order to realize the optimal utilization of multi-airport system resources, considering specialized 24 h airport slot coordination parameter patterns and slot firebreaks in China. Finally, the validity and scalability of the model are verified using real flight data from three airports in the Beijing airport terminal area, and simulations are conducted to verify the model. The findings provide a solid reference for the optimization of airport slot timetables in multi-airport systems, having both important theoretical value and practical significance. Full article
(This article belongs to the Section Transportation and Future Mobility)
Show Figures

Figure 1

25 pages, 7009 KB  
Article
Modular Scheduling Optimization of Multi-Scenario Intelligent Connected Buses Under Reservation-Based Travel
by Wei Shen, Honglu Cao and Jiandong Zhao
Sustainability 2025, 17(6), 2645; https://doi.org/10.3390/su17062645 - 17 Mar 2025
Viewed by 1493
Abstract
In the context of big data and intelligent connectivity, optimizing scheduled bus dispatch can enhance urban transit efficiency and passenger experience, which is vital for the sustainable development of urban transportation. This paper, based on existing fixed bus stops, integrates traditional demand-responsive transit [...] Read more.
In the context of big data and intelligent connectivity, optimizing scheduled bus dispatch can enhance urban transit efficiency and passenger experience, which is vital for the sustainable development of urban transportation. This paper, based on existing fixed bus stops, integrates traditional demand-responsive transit and travel booking models, considering the spatiotemporal variations in scheduled travel demands and passenger flows and addressing the combined scheduling issues of fixed-capacity bus models and skip-stop strategies. By leveraging intelligent connected technologies, it introduces a dynamic grouping method, proposes an intelligent connected bus dispatching model, and optimizes bus timetables and dispatch control strategies. Firstly, the inherent travel characteristics of potential reservation users are analyzed based on actual transit data, subsequently extracting demand data from reserved passengers. Secondly, a two-stage optimization program is proposed, detailing passenger boarding and alighting at each stop and section passenger flow conditions. The first stage introduces a precise bus–traveler matching dispatch model within a spatial–temporal–state framework, incorporating ride matching to minimize parking frequency in scheduled travel scenarios. The second stage addresses spatiotemporal variations in passenger demand and station congestion by employing a skip-stop and bus operation control strategy. This strategy enables the creation of an adaptable bus operation optimization model for temporal dynamics and station capacity. Finally, a dual-layer optimization model using an adaptive parameter grid particle swarm optimization algorithm is proposed. Based on Beijing’s Route 300 operational data, the simulation-driven study implements contrasting scenarios of different bus service patterns. The results demonstrate that this networked dispatching system with dynamic vehicle grouping reduces operational costs by 29.7% and decreases passenger waiting time by 44.15% compared to baseline scenarios. Full article
(This article belongs to the Special Issue Innovative and Sustainable Development of Transportation)
Show Figures

Figure 1

23 pages, 5360 KB  
Article
Bus Rescheduling for Long-Term Benefits: An Integrated Model Focusing on Service Capability and Regularity
by Sen Deng, Zhaocheng He, Jiaming Zhong and Jiemin Xie
Appl. Sci. 2024, 14(5), 1872; https://doi.org/10.3390/app14051872 - 24 Feb 2024
Cited by 5 | Viewed by 1798
Abstract
Unplanned disruptions, such as vehicle breakdowns, in a public transportation system can lead to severe delays and even service interruptions, preventing the successful implementation of subsequent plans and the overall stability of transit services. A common solution to address such issues is implementing [...] Read more.
Unplanned disruptions, such as vehicle breakdowns, in a public transportation system can lead to severe delays and even service interruptions, preventing the successful implementation of subsequent plans and the overall stability of transit services. A common solution to address such issues is implementing a bus bridging service using an experience-based response strategy, involving the deployment of spare buses to continue affected services. However, with this approach, it becomes impractical and challenging to generate a feasible and rational rescheduling scheme for the remaining transit services when spare buses are insufficient or widespread disruptions occur. In response to this challenge, we propose an innovative model that integrates service capability and regularity, aiming to minimize rescheduling costs through timetable adjustments and scheduling reassignments. We apply dynamic programming to comprehensively consider the hysteresis effects of disruptions and achieve a long-term optimal rescheduling scheme. To efficiently solve the proposed model, the large neighborhood search algorithm is improved by incorporating operational rules. Finally, several experiments are conducted under an actual transit operation scenario in Shenzhen. The results demonstrate that our method significantly reduces trip cancellations and, simultaneously, diminishes the increase in the departure interval resulting from the adjusted schedule by 23.27%. Full article
Show Figures

Figure 1

13 pages, 2608 KB  
Article
Entropy Model of Dynamic Bus Dispatching Based on the Prediction of Back-Station Time
by Liang Zou, Li Guo, Lingxiang Zhu and Zhitian Yu
Sustainability 2023, 15(4), 2983; https://doi.org/10.3390/su15042983 - 7 Feb 2023
Cited by 1 | Viewed by 1861
Abstract
In the actual operation of a bus, due to the influences of the passenger flow, traffic conditions and other factors, the vehicle back-station time is often delayed, which brings difficulties in commuting according to a timetable that results in the discontinuity of the [...] Read more.
In the actual operation of a bus, due to the influences of the passenger flow, traffic conditions and other factors, the vehicle back-station time is often delayed, which brings difficulties in commuting according to a timetable that results in the discontinuity of the bus. This is also the main disadvantage of static bus scheduling. Therefore, the “Entropy model of dynamic bus dispatching based on the prediction of back-station time” is proposed, which can be used for decreasing the passive effect of discontinuity by extending the departure interval of an early bus in advance, and to realize fairness in adjustments of the departure interval by using entropy theory. Finally, the model is validated by two examples, and the results show that the model can match the distribution pattern of the bus departure interval before and after an adjustment and as far as possible, it can reduce bus breaks, balance the occupancy rate and improve the stability of bus operations. Full article
Show Figures

Figure 1

22 pages, 1546 KB  
Article
Energy-Saving Optimization Method of Urban Rail Transit Based on Improved Differential Evolution Algorithm
by Guancheng Lu, Deqiang He and Jinlai Zhang
Sensors 2023, 23(1), 378; https://doi.org/10.3390/s23010378 - 29 Dec 2022
Cited by 7 | Viewed by 3424
Abstract
The transformation of railway infrastructure and traction equipment is an ideal way to realize energy savings of urban rail transit trains. However, upgrading railway infrastructure and traction equipment is a high investment and difficult process. To produce energy-savings in the urban rail transit [...] Read more.
The transformation of railway infrastructure and traction equipment is an ideal way to realize energy savings of urban rail transit trains. However, upgrading railway infrastructure and traction equipment is a high investment and difficult process. To produce energy-savings in the urban rail transit system without changing the existing infrastructure, we propose an energy-saving optimization method by optimizing the traction curve of the train. Firstly, after analyzing the relationship between the idle distance and running energy-savings, an optimization method of traction energy-savings based on the combination of the inertia motion and energy optimization is established by taking the maximum idle distance as the objective; and the maximum allowable running speed, passenger comfort, train timetable, maximum allowable acceleration and kinematics equation as constraints. Secondly, a solution method based on the combination of the adaptive dynamic multimodal differential evolution algorithm and the Q learning algorithm is applied to solve the optimization model of energy-savings. Finally, numeric experiments are conducted to verify the proposed method. Extensive experiments demonstrate the effectiveness of the proposed method. The results show that the method has significant energy-saving properties, saving energy by about 11.2%. Full article
(This article belongs to the Section Vehicular Sensing)
Show Figures

Figure 1

12 pages, 8012 KB  
Article
Dwell Time Estimation Using Real-Time Train Operation and Smart Card-Based Passenger Data: A Case Study in Seoul, South Korea
by Yoonseok Oh, Young-Ji Byon, Ji Young Song, Ho-Chan Kwak and Seungmo Kang
Appl. Sci. 2020, 10(2), 476; https://doi.org/10.3390/app10020476 - 9 Jan 2020
Cited by 9 | Viewed by 5382
Abstract
Dwell time is a critical factor in constructing and adjusting railway timetables for efficient and accurate operation of railways. This paper develops dwell time estimation models for a Shinbundang line (S line) in Seoul, South Korea using support vector regression (SVR), multiple linear [...] Read more.
Dwell time is a critical factor in constructing and adjusting railway timetables for efficient and accurate operation of railways. This paper develops dwell time estimation models for a Shinbundang line (S line) in Seoul, South Korea using support vector regression (SVR), multiple linear regression (MLR), and random forest (RF) techniques utilizing archived real-time metro operation data along with smart card-based passenger information. In the first phase of this research, the collected data are processed to extract boarding and alighting passenger counts and observed dwell times of each train at all stations of the S line under the current operational environment. In the second phase, we develop SVR, MLR, and RF-based dwell time estimation models. It is found that the SVR-based model successfully estimates the dwell times within 10 s of differences for 84.4% of observed data. The results of this paper are especially beneficial for autonomous railway operations that need constructing and maintaining dynamic railway timetables that require reliable dwell time predictions in real-time. Full article
(This article belongs to the Section Civil Engineering)
Show Figures

Figure 1

16 pages, 568 KB  
Article
Multimodal Dynamic Journey-Planning
by Kalliopi Giannakopoulou, Andreas Paraskevopoulos and Christos Zaroliagis
Algorithms 2019, 12(10), 213; https://doi.org/10.3390/a12100213 - 13 Oct 2019
Cited by 20 | Viewed by 5869
Abstract
In this paper, a new model, known as the multimodal dynamic timetable model (DTM), is presented for computing optimal multimodal journeys in schedule-based public transport systems. The new model constitutes an extension of the dynamic timetable model (DTM), which was developed originally [...] Read more.
In this paper, a new model, known as the multimodal dynamic timetable model (DTM), is presented for computing optimal multimodal journeys in schedule-based public transport systems. The new model constitutes an extension of the dynamic timetable model (DTM), which was developed originally for a different setting (unimodal journey-planning). Multimodal DTM demonstrates a very fast query algorithm that meets the requirement for real-time response to best journey queries, and an ultra-fast update algorithm for updating the timetable information in case of delays of scheduled-based vehicles. An experimental study on real-world metropolitan networks demonstrates that the query and update algorithms of Multimodal DTM compare favorably with other state-of-the-art approaches when public transport, including unrestricted—with respect to departing time—traveling (e.g., walking and electric vehicles) is considered. Full article
Show Figures

Figure 1

15 pages, 1892 KB  
Article
Train Regulation Combined with Passenger Control Model Based on Approximate Dynamic Programming
by Sijia Hao, Rui Song, Shiwei He and Zekang Lan
Symmetry 2019, 11(3), 303; https://doi.org/10.3390/sym11030303 - 1 Mar 2019
Cited by 11 | Viewed by 2972
Abstract
Rescheduling is often needed when trains stay in segments or stations longer than specified in the timetable due to disturbances. Under crowded situations, it is more challenging to return to normal with heavy passenger flow. Considering making a trade-off between passenger loss and [...] Read more.
Rescheduling is often needed when trains stay in segments or stations longer than specified in the timetable due to disturbances. Under crowded situations, it is more challenging to return to normal with heavy passenger flow. Considering making a trade-off between passenger loss and operating costs, we present a train regulation combined with a passenger control model by analyzing the interactive relationship between passenger behaviors and train operation. In this paper, we convert the problem into a Markov decision process and then propose the management strategy of regulating the running time and controlling the number of boarding passengers. Owing to the high dimensions of the large-scale problem, we applied the Approximate Dynamic Programming (ADP) approach, which approximates the value function with state features to improve computational efficiency. Finally, we designed three experimental scenarios to verify the effectiveness of our proposed model and approach. The results show that both the proposed model and the approach have a good performance in the cases with different passenger flows and different disturbances. Full article
Show Figures

Figure 1

21 pages, 1046 KB  
Article
A New Approach for Real Time Train Energy Efficiency Optimization
by Agostinho Rocha, Armando Araújo, Adriano Carvalho and João Sepulveda
Energies 2018, 11(10), 2660; https://doi.org/10.3390/en11102660 - 5 Oct 2018
Cited by 28 | Viewed by 5311
Abstract
Efficient use of energy is currently a very important issue. As conventional energy resources are limited, improving energy efficiency is, nowadays, present in any government policy. Railway systems consume a huge amount of energy, during normal operation, some routes working near maximum energy [...] Read more.
Efficient use of energy is currently a very important issue. As conventional energy resources are limited, improving energy efficiency is, nowadays, present in any government policy. Railway systems consume a huge amount of energy, during normal operation, some routes working near maximum energy capacity. Therefore, maximizing energy efficiency in railway systems has, recently, received attention from railway operators, leading to research for new solutions that are able to reduce energy consumption without timetable constraints. In line with these goals, this paper proposes a Simulated Annealing optimization algorithm that minimizes train traction energy, constrained to existing timetable. For computational effort minimization, re-annealing is not used, the maximum number of iterations is one hundred, and generation of cruising and braking velocities is carefully made. A Matlab implementation of the Simulated Annealing optimization algorithm determines the best solution for the optimal speed profile between stations. It uses a dynamic model of the train for energy consumption calculations. Searching for optimal speed profile, as well as scheduling constraints, also uses line shape and velocity limits. As results are obtained in seconds, this new algorithm can be used as a real-time driver advisory system for energy saving and railway capacity increase. For now, a standalone version, with line data previously loaded, was developed. Comparison between algorithm results and real data, acquired in a railway line, proves its success. An implementation of the developed work as a connected driver advisory system, enabling scheduling and speed constraint updates in real time, is currently under development. Full article
Show Figures

Figure 1

20 pages, 4454 KB  
Article
Optimizing the Energy-Efficient Metro Train Timetable and Control Strategy in Off-Peak Hours with Uncertain Passenger Demands
by Jia Feng, Xiamiao Li, Haidong Liu, Xing Gao and Baohua Mao
Energies 2017, 10(4), 436; https://doi.org/10.3390/en10040436 - 29 Mar 2017
Cited by 15 | Viewed by 5686
Abstract
How to reduce the energy consumption of metro trains by optimizing both the timetable and control strategy is a major focus. Due to the complexity and difficulty of the combinatorial operation problem, the commonly-used method to optimize the train operation problem is based [...] Read more.
How to reduce the energy consumption of metro trains by optimizing both the timetable and control strategy is a major focus. Due to the complexity and difficulty of the combinatorial operation problem, the commonly-used method to optimize the train operation problem is based on an unchanged dwelling time for all trains at a specific station. Here, we develop a simulation-based method to design an energy-efficient train control strategy under the optimized timetable constraints, which assign the dwelling time margin to the running time. This time margin is caused by dynamically uncertain passenger demands in off-peak hours. Firstly, we formulate a dwelling time calculation model to minimize the passenger boarding and alighting time. Secondly, we design an optimal train control strategy with fixed time and develop a time-based model to describe mass-belt train movement. Finally, based on this simulation module, we present numerical examples based on the real-world operation data from the Beijing metro Line 2, in which the energy consumption of one train can be reduced by 21.9%. These results support the usefulness of the proposed approach. Full article
Show Figures

Figure 1

Back to TopTop