A Collaborative Dynamic Transit Scheduling Method Integrating Timetable Adjustment and Control-Oriented Trajectory Guidance
Abstract
1. Introduction
2. Literature Review
3. Problem Statement
4. Methodology
4.1. Dynamic Timetable Scheduling
4.2. Control-Oriented Transit Trajectory Optimization and Guidance
4.3. Collaborative Optimization Modeling
4.3.1. Optimization Objective
4.3.2. Constraints
4.3.3. Model Solution
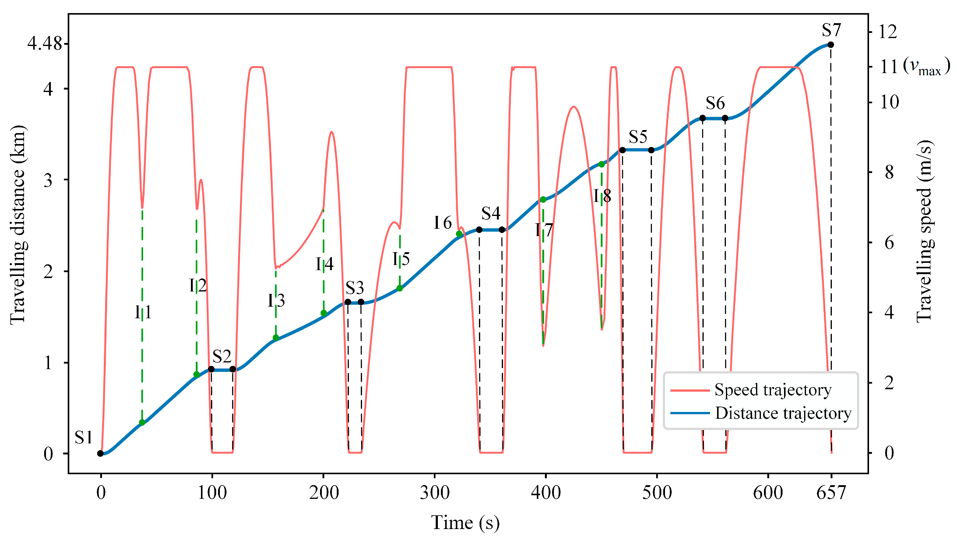
5. Simulation Analysis
5.1. Simulation Scenario and Configurations
5.2. Simulation Results and Analysis
6. Conclusions and Future Work
Author Contributions
Funding
Institutional Review Board Statement
Informed Consent Statement
Data Availability Statement
Conflicts of Interest
References
- Liu, H.; Teng, K.; Rai, L.; Xing, J. Transit Signal Priority Controlling Method Considering Non-Transit Traffic Benefits and Coordinated Phase States for Multi-Rings Timing Plan at Isolated Intersections. IEEE Trans. Intell. Transport. Syst. 2021, 22, 913–936. [Google Scholar] [CrossRef]
- Dou, X.; Li, T. Multi-Objective Bus Timetable Coordination Considering Travel Time Uncertainty. Processes 2023, 11, 574. [Google Scholar] [CrossRef]
- Mahmoudi, R.; Saidi, S.; Wirasinghe, S.C. Optimal Vehicle Capacity and Dispatching Policy Considering Crowding in Public Bus Transit Services. Transp. A Transp. Sci. 2025, 21, 2258996. [Google Scholar] [CrossRef]
- Hao, M.; Bie, Y.; Zhang, L.; Mao, C. Improving Schedule Adherence Based on Dynamic Signal Control and Speed Guidance in Connected Bus System. J. Intell. Connect. Veh. 2020, 3, 79–88. [Google Scholar] [CrossRef]
- de Souza, F.; Sebastiani, M.T. Improving Resilience of Bus Bunching Holding Strategy through a Rolling Horizon Approach. J. Transp. Eng. Part A Syst. 2021, 147, 04021074. [Google Scholar] [CrossRef]
- Ai, G.; Zuo, X.; Chen, G.; Wu, B. Deep Reinforcement Learning Based Dynamic Optimization of Bus Timetable. Appl. Soft Comput. 2022, 131, 109752. [Google Scholar] [CrossRef]
- He, S.; Dong, J.; Liang, S.; Yuan, P. An Approach to Improve the Operational Stability of a Bus Line by Adjusting Bus Speeds on the Dedicated Bus Lanes. Transp. Res. Part C Emerg. Technol. 2019, 107, 54–69. [Google Scholar] [CrossRef]
- He, Y.; Lv, J.; Tang, T. Communication-Based Train Control with Dynamic Headway Based on Trajectory Prediction. Actuators 2022, 11, 237. [Google Scholar] [CrossRef]
- Cheng, G.; He, Y. Enhancing Passenger Comfort and Operator Efficiency through Multi-Objective Bus Timetable Optimization. Electron. Res. Arch. 2024, 32, 565–583. [Google Scholar] [CrossRef]
- Tang, J.; Yang, Y.; Hao, W.; Liu, F.; Wang, Y. A Data-Driven Timetable Optimization of Urban Bus Line Based on Multi-Objective Genetic Algorithm. IEEE Trans. Intell. Transport. Syst. 2021, 22, 2417–2429. [Google Scholar] [CrossRef]
- He, S.; Liang, S.; Dong, J.; Zhang, D.; He, J.; Yuan, P. A Holding Strategy to Resist Bus Bunching with Dynamic Target Headway. Comput. Ind. Eng. 2020, 140, 106237. [Google Scholar] [CrossRef]
- Wang, J.; Sun, L. Dynamic Holding Control to Avoid Bus Bunching: A Multi-Agent Deep Reinforcement Learning Framework. Transp. Res. Part C Emerg. Technol. 2020, 116, 102661. [Google Scholar] [CrossRef]
- Liang, S.; He, S.; Zhang, H.; Ma, M. Optimal Holding Time Calculation Algorithm to Improve the Reliability of High Frequency Bus Route Considering the Bus Capacity Constraint. Reliab. Eng. Syst. Saf. 2021, 212, 107632. [Google Scholar] [CrossRef]
- Li, M.; Li, Y. Bus Predictive-Control Method Considering the Impact of Traffic Lights. J. Adv. Transp. 2022, 2022, 5280109. [Google Scholar] [CrossRef]
- Drabicki, A.; Kucharski, R.; Cats, O. Mitigating Bus Bunching with Real-Time Crowding Information. Transportation 2023, 50, 1003–1030. [Google Scholar] [CrossRef]
- Farrando, R.; Farhi, N.; Christoforou, Z.; Urban, A. A Max-plus Model Deriving the Effect of a Skip-Stop Policy on the Frequency of a Mass Transit Line. Transp. A Transp. Sci. 2025, 2509109. [Google Scholar] [CrossRef]
- Li, H.; Wu, X.; Hou, U.L.; Kou, K.P. Near-Optimal Scheduling for Crowdsourced Transit System With Skip-Stop Tactic. IEEE Trans. Knowl. Data Eng. 2023, 35, 11668–11680. [Google Scholar] [CrossRef]
- Wang, Y.; Shang, P. Shuttle Bus Rerouting and Rescheduling Problem Considering Daily Demand Fluctuation. Math. Probl. Eng. 2022, 2022, 2917240. [Google Scholar] [CrossRef]
- Liu, Y.; Zuo, X.; Ai, G.; Liu, Y. A Reinforcement Learning-Based Approach for Online Bus Scheduling. Knowl.-Based Syst. 2023, 271, 110584. [Google Scholar] [CrossRef]
- Li, S.; Liu, R.; Yang, L.; Gao, Z. Robust Dynamic Bus Controls Considering Delay Disturbances and Passenger Demand Uncertainty. Transp. Res. Part B Methodol. 2019, 123, 88–109. [Google Scholar] [CrossRef]
- Varga, B.; Tettamanti, T.; Kulcsár, B. Optimally Combined Headway and Timetable Reliable Public Transport System. Transp. Res. Part C Emerg. Technol. 2018, 92, 1–26. [Google Scholar] [CrossRef]
- Wang, W.; Hu, J.; Ji, Y.; Du, Y. Improving Fuel Efficiency of Connected and Automated Transit Buses on Signallised Corridors. IET Intell. Transp. Syst. 2019, 13, 870–879. [Google Scholar] [CrossRef]
- He, J.; Li, Y.; Long, S.; Xu, Y.; Chen, J. Energy-Efficient Tram Speed Trajectory Optimization Considering the Influence of the Traffic Light. Front. Energy Res. 2022, 10, 963275. [Google Scholar] [CrossRef]
- Varga, B.; Tettamanti, T.; Kulcsár, B. Energy-Aware Predictive Control for Electrified Bus Networks. Appl. Energy 2019, 252, 113477. [Google Scholar] [CrossRef]
- Liu, Y.; Luo, X.; Cheng, S.; Yu, Y.; Tang, J. Dynamic Bus Scheduling of Multiple Routes Based on Joint Optimization of Departure Time and Speed. Discret. Dyn. Nat. Soc. 2021, 2021, 4213837. [Google Scholar] [CrossRef]
- Chen, W.; Zhang, H.; Chen, C.; Wei, X. An Integrated Bus Holding and Speed Adjusting Strategy Considering Passenger’s Waiting Time Perceptions. Sustainability 2021, 13, 5529. [Google Scholar] [CrossRef]
- Imran, A.M.; Van Oort, N.; Cats, O.; Hoogendoorn, S.; Van Der Pot, P. Combining Speed Adjustment and Holding Control for Regularity-Based Transit Operations. In Proceedings of the Mt-Its 2019: 2019 6th International Conference on Models and Technologies for Intelligent Transportation Systems (Mt-Its), Cracow, Poland, 5–7 June 2019; IEEE: New York, NY, USA, 2019. [Google Scholar]
- Xue, Y.; Zhong, M.; Xue, L.; Tu, H.; Tan, C.; Kong, Q.; Guan, H. A Real-Time Control Strategy for Bus Operation to Alleviate Bus Bunching. Sustainability 2022, 14, 7870. [Google Scholar] [CrossRef]
- Zhu, K.; Wang, Z.; Ding, D.; Hu, J.; Dong, H. Cloud-Based Collision Avoidance Adaptive Cruise Control for Autonomous Vehicles Under External Disturbances With Token Bucket Shapers. IEEE Trans. Ind. Inf. 2025, 21, 8759–8769. [Google Scholar] [CrossRef]
- Zhu, K.; Wang, Z.; Li, Z.; Xu, C.-Z. Secure Observer-Based Collision-Free Control for Autonomous Vehicles Under Non-Gaussian Noises. IEEE Trans. Ind. Inf. 2025, 21, 2184–2193. [Google Scholar] [CrossRef]
- Ren, Y.; Zhao, J.; Zhou, X. Optimal Design of Scheduling for Bus Rapid Transit by Combining with Passive Signal Priority Control. Int. J. Sustain. Transp. 2021, 15, 407–418. [Google Scholar] [CrossRef]
- Xin, Q.; Fu, R.; Yu, S.; Ukkusuri, S.V.; Jiang, R. Modeling Bus Bunching and Anti-Bunching Control Accounting for Signal Control and Passenger Swapping Behavior. J. Public Transp. 2021, 23, 31–62. [Google Scholar] [CrossRef]
- Li, J.; Bai, Y.; Chen, Y.; Yang, L.; Wang, Q. A Two-Stage Stochastic Optimization Model for Integrated Tram Timetable and Speed Control with Uncertain Dwell Times. Energy 2022, 260, 125059. [Google Scholar] [CrossRef]
- Hu, W.; Deng, Z.; Yang, Y.; Zhang, P.; Cao, K.; Chu, D.; Zhang, B.; Cao, D. Socially Game-Theoretic Lane-Change for Autonomous Heavy Vehicle Based on Asymmetric Driving Aggressiveness. IEEE Trans. Veh. Technol. 2025, 74, 17005–17018. [Google Scholar] [CrossRef]
- Deng, Z.; Hu, W.; Sun, C.; Chu, D.; Huang, T.; Li, W.; Yu, C.; Pirani, M.; Cao, D.; Khajepour, A. Eliminating Uncertainty of Driver’s Social Preferences for Lane Change Decision-Making in Realistic Simulation Environment. IEEE Trans. Intell. Transport. Syst. 2025, 26, 1583–1597. [Google Scholar] [CrossRef]
- Bakibillah, A.S.M.; Kamal, M.A.S.; Imura, J.; Mukai, M.; Yamada, K. Eco-Driving on Hilly Roads in a Mixed Traffic Environment: A Model Predictive Control Approach. Actuators 2024, 13, 144. [Google Scholar] [CrossRef]
- Zhou, F.; Tao, K.; Chen, B.; Li, S.; Zhu, Z.; Yang, Y. Distributed Cooperative Cruise Control for High-Speed Trains with Energy-Saving Optimization. Actuators 2023, 12, 207. [Google Scholar] [CrossRef]
- Liu, D.; Yan, G.; Zhou, J.; Chen, B. MPC-Based Speed Tracking Control for Subway Trains Under Actuator Constraints. Actuators 2025, 14, 134. [Google Scholar] [CrossRef]










| Stops | Location (m) | Arrival Time (s) | Departure Time (s) | Alighting Passenger | Boarding Passenger |
|---|---|---|---|---|---|
| S1 | 0 | - | 0 | - | - |
| S2 | 915 | 100 | 118 | P(9) | P(5) |
| S3 | 1650 | 223 | 234 | P(6) | P(3) |
| S4 | 2450 | 341 | 361 | P(5) | P(9) |
| S5 | 3328 | 470 | 492 | P(11) | P(6) |
| S6 | 3670 | 542 | 557 | P(8) | P(4) |
| S7 | 4480 | 657 | - | - | - |
| Parameter | Value | Parameter | Value |
|---|---|---|---|
| 0.01 | 11 (m/s) | ||
| 12,600 (kg) | 7 (m/s) | ||
| g | 9.8 (m/s2) | 2 (m/s2) | |
| 1.29 (kg/m3) | −2.5 (m/s2) | ||
| 0.79 | 0.5 (m/s3) | ||
| 7.6 (m2) | −0.5 (m/s3) | ||
| [0, 30] | [−30, 30] |
| Departure Sequence | Scheme | Headway Deviation (s) | |||||
|---|---|---|---|---|---|---|---|
| S2 | S3 | S4 | S5 | S6 | S7 | ||
| No. 2–No. 1 | NDI | 0 | 19 | 39 ↓ | 45 ↓ | 50 ↓ | 45 ↓ |
| GES | 0 | 0 | 0 | 46 | 34 | 25 | |
| CDTS | 0 | 0 | 0 | 28 | 24 | 12 | |
| No. 3–No. 2 | NDI | 0 | 29 ↓ | 19 ↓ | 45 ↓ | 47 ↓ | 45 ↓ |
| GES | 0 | 0 | 0 | 40 ↓ | 34 ↓ | 25 ↓ | |
| CDTS | 0 | 0 | 0 | 28 ↓ | 26 | 16 ↓ | |
| No. 4–No. 3 | NDI | 0 | 22 ↓ | 4 | 42 | 46 | 34 |
| GES | 0 | 6 | 0 | 37 | 32 | 15 | |
| CDTS | 0 | 3 | 0 | 36 | 21 | 5 | |
| No. 5–No. 4 | NDI | 0 | 11 | 3 | 45 ↓ | 48 ↓ | 43 ↓ |
| GES | 0 | 6 ↓ | 0 | 43 ↓ | 32 ↓ | 15 ↓ | |
| CDTS | 0 | 0 | 0 | 14 ↓ | 12 ↓ | 8 ↓ | |
| No. 6–No. 5 | NDI | 0 | 22 | 6 | 42 | 51 | 49 |
| GES | 0 | 0 | 0 | 40 | 37 | 23 | |
| CDTS | 0 | 0 | 0 | 18 | 12 | 9 | |
| Departure Sequence | Scheme | Time Deviation (s) | |||||
|---|---|---|---|---|---|---|---|
| S2 | S3 | S4 | S5 | S6 | S7 | ||
| No. 1 | NDI | 0 | 0 | 36 | 96 | 89 | 76 |
| GES | 0 | 0 | 0 | 0 | 0 | 0 | |
| CDTS | 0 | 0 | 0 | 0 | 0 | 0 | |
| No. 2 | NDI | 0 | 19 | 3 ↑ | 51 | 39 | 31 |
| GES | 0 | 0 | 0 | 46 | 34 | 25 | |
| CDTS | 0 | 0 | 0 | 30 | 23 | 14 | |
| No. 3 | NDI | 0 | 10 ↑ | 22 ↑ | 6 | 8 ↑ | 14 ↑ |
| GES | 0 | 0 | 0 | 6 | 0 | 0 | |
| CDTS | 0 | 0 | 0 | 0 | 4 | 8 | |
| No. 4 | NDI | 0 | 32 ↑ | 18 ↑ | 48 | 38 | 20 |
| GES | 0 | 6 | 0 | 43 | 32 | 15 | |
| CDTS | 0 | 1 | 0 | 38 | 21 | 13 | |
| No. 5 | NDI | 0 | 21 ↑ | 15 ↑ | 3 | 10 ↑ | 23 ↑ |
| GES | 0 | 0 | 0 | 0 | 0 | 0 | |
| CDTS | 0 | 0 | 0 | 34 | 21 | 8 | |
| No. 6 | NDI | 0 | 1 | 9 ↓ | 45 | 41 | 26 |
| GES | 0 | 0 | 0 | 40 | 37 | 23 | |
| CDTS | 0 | 0 | 0 | 33 | 23 | 9 | |
| Schemes | Operation Indicator | |||||
|---|---|---|---|---|---|---|
| AveHD (s) | Improvement | AveTD (s) | Improvement | AveNS | Improvement | |
| NDI | 23.64 | - | 15.67 | - | 3.33 | - |
| GES | 13.61 | −42.42% | 4.64 | −70.39% | 1.5 | −54.95% |
| CDTS | 7.66 | −67.60% | 4.54 | −71.03% | 0 | −100% |
Disclaimer/Publisher’s Note: The statements, opinions and data contained in all publications are solely those of the individual author(s) and contributor(s) and not of MDPI and/or the editor(s). MDPI and/or the editor(s) disclaim responsibility for any injury to people or property resulting from any ideas, methods, instructions or products referred to in the content. |
© 2026 by the authors. Licensee MDPI, Basel, Switzerland. This article is an open access article distributed under the terms and conditions of the Creative Commons Attribution (CC BY) license.
Share and Cite
Teng, K.; Liu, H.; Lu, X. A Collaborative Dynamic Transit Scheduling Method Integrating Timetable Adjustment and Control-Oriented Trajectory Guidance. Actuators 2026, 15, 112. https://doi.org/10.3390/act15020112
Teng K, Liu H, Lu X. A Collaborative Dynamic Transit Scheduling Method Integrating Timetable Adjustment and Control-Oriented Trajectory Guidance. Actuators. 2026; 15(2):112. https://doi.org/10.3390/act15020112
Chicago/Turabian StyleTeng, Kunmin, Haiqing Liu, and Xiao Lu. 2026. "A Collaborative Dynamic Transit Scheduling Method Integrating Timetable Adjustment and Control-Oriented Trajectory Guidance" Actuators 15, no. 2: 112. https://doi.org/10.3390/act15020112
APA StyleTeng, K., Liu, H., & Lu, X. (2026). A Collaborative Dynamic Transit Scheduling Method Integrating Timetable Adjustment and Control-Oriented Trajectory Guidance. Actuators, 15(2), 112. https://doi.org/10.3390/act15020112

