Sign in to use this feature.

Years

Between: -

Subjects

remove_circle_outline
remove_circle_outline
remove_circle_outline
remove_circle_outline
remove_circle_outline
remove_circle_outline
remove_circle_outline
remove_circle_outline
remove_circle_outline

Journals

remove_circle_outline
remove_circle_outline
remove_circle_outline
remove_circle_outline
remove_circle_outline
remove_circle_outline
remove_circle_outline
remove_circle_outline
remove_circle_outline
remove_circle_outline
remove_circle_outline
remove_circle_outline
remove_circle_outline
remove_circle_outline
remove_circle_outline
remove_circle_outline
remove_circle_outline
remove_circle_outline

Article Types

Countries / Regions

remove_circle_outline
remove_circle_outline
remove_circle_outline
remove_circle_outline
remove_circle_outline

Search Results (1,497)

Search Parameters:
Keywords = dynamic information flow

Order results
Result details
Results per page
Select all
Export citation of selected articles as:
22 pages, 6573 KB  
Article
Power Prediction for Marine Gas Turbine Plants Using a Condition-Adaptive Physics-Informed LSTM Model
by Jinwei Chen, Zhenchao Hu and Huisheng Zhang
J. Mar. Sci. Eng. 2026, 14(6), 532; https://doi.org/10.3390/jmse14060532 - 12 Mar 2026
Viewed by 29
Abstract
The accurate prediction of gas turbine output power is critical for flexible scheduling and shipboard microgrid resilience. However, purely data-driven models suffer from poor generalization and physical inconsistency in complex marine environments, especially under unseen operation conditions. This paper proposes a condition-adaptive physics-informed [...] Read more.
The accurate prediction of gas turbine output power is critical for flexible scheduling and shipboard microgrid resilience. However, purely data-driven models suffer from poor generalization and physical inconsistency in complex marine environments, especially under unseen operation conditions. This paper proposes a condition-adaptive physics-informed long short-term memory (CAPI-LSTM) framework to ensure physical consistency across the full operation envelope. In the proposed framework, an MLP-based condition-adaptive regulator is developed to dynamically adjust the compressor air flow rate within the embedded physics-informed loss function. The proposed CAPI-LSTM model is verified using the operation data from an LM2500+ gas turbine. The comparison results demonstrate the superiority of the proposed method over traditional architectures. The CAPI-LSTM model achieves the lowest root mean square error of 0.177 MW, and its error distribution is the most concentrated near zero among all compared models. The robustness of the CAPI-LSTM model is further verified under the unseen operation conditions. The CAPI-LSTM still maintains excellent generalization capability compared to both purely data-driven models and standard physics-informed models, with an average error of only 0.218 MW and a narrow interquartile range of [0.058, 0.363]. The paired t-test results confirm that the improvement of the CAPI-LSTM model is statistically significant. The CAPI-LSTM model achieves competitive computational efficiency despite the integration of the physics-informed loss function with a condition-adaptive regulator. Furthermore, the CAPI-LSTM model achieves superior performance in noise immunity and transferability to other types of gas turbines. In summary, the proposed CAPI-LSTM model provides an effective and practical solution for marine gas turbine output power prediction. Full article
(This article belongs to the Section Ocean Engineering)
Show Figures

Figure 1

21 pages, 1673 KB  
Article
Emergence of the 2nd Law in an Exactly Solvable Model of a Quantum Wire
by Marco Antonio Jimenez-Valencia and Charles Allen Stafford
Entropy 2026, 28(3), 316; https://doi.org/10.3390/e28030316 - 11 Mar 2026
Viewed by 98
Abstract
As remarked by Boltzmann, the Second Law of Thermodynamics is notable for the fact that it is readily proved using elementary statistical arguments, but becomes harder and harder to verify the more precise the microscopic description of a system. In this article, we [...] Read more.
As remarked by Boltzmann, the Second Law of Thermodynamics is notable for the fact that it is readily proved using elementary statistical arguments, but becomes harder and harder to verify the more precise the microscopic description of a system. In this article, we investigate one particular realization of the 2nd Law, namely Joule heating in a wire under electrical bias. We analyze the production of entropy in an exactly solvable model of a quantum wire wherein the conserved flow of entropy under unitary quantum evolution is taken into account using an exact formula for the entropy current of a system of independent quantum particles. In this exact microscopic description of the quantum dynamics, the entropy production due to Joule heating does not arise automatically. Instead, we show that the expected entropy production is realized in the limit of a large number of local measurements by a series of floating thermoelectric probes along the length of the wire, which inject entropy into the system as a result of the information obtained via their continuous measurements of the system. The decoherence resulting from inelastic processes introduced by the local measurements is essential to the phenomenon of entropy production due to Joule heating, and would be expected to arise due to inelastic scattering in real systems of interacting particles. Full article
Show Figures

Figure 1

26 pages, 5380 KB  
Article
Analyzing Characteristics of Public Transport Complex Networks Based on Multi-Source Big Data Fusion: A Case Study of Cangzhou, China
by Linfang Zhou, Yongsheng Chen, Dongpu Ren and Qing Lan
Future Internet 2026, 18(3), 144; https://doi.org/10.3390/fi18030144 - 11 Mar 2026
Viewed by 65
Abstract
Quantitative evaluation of public transit networks (PTNs) with complex-network models informs route optimization and operational adjustments. Prior studies emphasize large cities and pay limited attention to small-sized urban systems. This study examines the bus network of Cangzhou City, Hebei Province, China, to broaden [...] Read more.
Quantitative evaluation of public transit networks (PTNs) with complex-network models informs route optimization and operational adjustments. Prior studies emphasize large cities and pay limited attention to small-sized urban systems. This study examines the bus network of Cangzhou City, Hebei Province, China, to broaden the empirical scope and characterize PTNs in smaller cities. The dataset for this study comprises route and stop records, passenger boarding logs, and bus GPS traces. We develop a general workflow for bus data cleaning and completion. To characterize the dynamic bus network and compare it with the static network, we construct a static network and Directed Weighted Dynamic Network I (DWDN I) using the L-space method, and we construct Directed Weighted Dynamic Network II (DWDN II) using the P-space method. We calculated network metrics including degree, weighted degree, clustering coefficient, path length, network diameter, network efficiency, and small-world coefficient. The principal results show that: (1) at the macroscopic level, the dynamic PTN tracks passenger demand, as the average degree, weighted average degree, and clustering coefficient fluctuate in concert with passenger flows; (2) key stations concentrate in the urban core, and stations with high weighted degree display pronounced spatial autocorrelation; (3) the exponential form of the weighted-degree distribution indicates that the examined bus network is not scale-free, while the dynamic network’s small-world coefficient exceeds that of the static network across time periods, reflecting stronger small-world characteristics. This study integrates network and spatial attributes of the PTN to offer an exploratory case for investigating public transit networks in third-tier cities. The findings can inform comparable studies and offer practical guidance for bus operators. Full article
(This article belongs to the Section Big Data and Augmented Intelligence)
Show Figures

Figure 1

35 pages, 7787 KB  
Article
LLM-ROM: A Novel Framework for Efficient Spatiotemporal Prediction of Urban Pollutant Dispersion
by Pin Wu, Zhiyi Qin and Yiguo Yang
AI 2026, 7(3), 104; https://doi.org/10.3390/ai7030104 - 11 Mar 2026
Viewed by 145
Abstract
Deep learning-based flow field prediction for microclimate pollutant dispersion represents an emerging and promising methodology, where effectively integrating meteorological, spatial, and temporal information remains a critical challenge. To address this, we propose a novel non-intrusive reduced-order model (ROM) that synergizes a Dilated Convolutional [...] Read more.
Deep learning-based flow field prediction for microclimate pollutant dispersion represents an emerging and promising methodology, where effectively integrating meteorological, spatial, and temporal information remains a critical challenge. To address this, we propose a novel non-intrusive reduced-order model (ROM) that synergizes a Dilated Convolutional Autoencoder (DCAE) with pre-trained large language models (LLMs). The DCAE, leveraging nonlinear mapping, was employed for extracting low-dimensional spatiotemporal flow field features. These features were then combined with textual prototypes via text embedding to enable few-shot inference using the LLM-based flow field prediction method. To optimize the utilization of pre-trained LLMs, we designed a specialized textual description template tailored for pollutant dispersion data, which enhances the contextual input of meteorological conditions to guide model predictions. Experimental validation through three-dimensional urban canyon simulations conclusively demonstrated the efficacy of the convolutional autoencoder and LLM-based framework in predicting pollutant dispersion flow fields. The proposed method exhibits remarkable transfer learning capabilities across varying street canyon geometries and meteorological conditions while significantly representing a 9.85× acceleration in prediction compared to Computational Fluid Dynamics (CFD). Full article
Show Figures

Figure 1

30 pages, 2504 KB  
Article
Different Cell Wall Compositions of ESKAPE Isolates on Glass Surfaces Impact Adhesion Adaptability to Dynamic Shear Stress
by Zhuoyi Cui, Anje M. Slomp, Alesia V. Quiroga, Jelly Atema-Smit, Hans J. Kaper and Brandon W. Peterson
Microorganisms 2026, 14(3), 623; https://doi.org/10.3390/microorganisms14030623 - 10 Mar 2026
Viewed by 385
Abstract
Although many studies have focused on the initial adhesion of bacteria, there have been few that looked at responses to changing environmental conditions. To more closely examine the viscoelastic nature of initial adhesion, surface-associated bacteria were quantified and monitored for their Brownian motion [...] Read more.
Although many studies have focused on the initial adhesion of bacteria, there have been few that looked at responses to changing environmental conditions. To more closely examine the viscoelastic nature of initial adhesion, surface-associated bacteria were quantified and monitored for their Brownian motion vibrations. This study used a flow chamber to observe the surface association of Enterobacter cloacae BS 1037, Staphylococcus aureus ATCC 12600, Klebsiella pneumoniae–1, Acinetobacter baumannii–1, Pseudomonas aeruginosa PA O1, and Enterococcus faecalis 1396 to glass under dynamic shear rates of 7–15–30 s−1, 15–30–60 s−1, and 30–15–7 s−1. Comparing increasing and decreasing shear rates, information about retention and recovery became apparent. Coccoid bacteria primarily reacted to directional changes in shear rates with changes in either surface-associated bacterial densities or surface-associated strength independently. A. baumannii and E. faecalis did not change their associated strength, whereas S. aureus did not change its associated density. Bacillus bacteria demonstrated differences in both associations with directional changes in shear rates. We demonstrate that retention and recovery are different methods of adaptation to environmental conditions utilised by different bacterial species. These adaptations may form the basis of upregulation and downregulation responses used for survival. Full article
(This article belongs to the Section Environmental Microbiology)
Show Figures

Graphical abstract

24 pages, 7190 KB  
Article
Effects of Loading Direction on Mechanical Behavior of Core–Shell Cu-Al Nanoparticles Under Uniform Compressive Loading-Molecular Dynamics Study
by Phillip Tomich, Michael Zawadzki and Iman Salehinia
Crystals 2026, 16(3), 186; https://doi.org/10.3390/cryst16030186 - 10 Mar 2026
Viewed by 149
Abstract
The mechanical behavior of metallic core–shell nanoparticles is critical for their use as reinforcement particles and additive manufacturing feedstocks, yet their deformation mechanisms remain incompletely understood. This study employs molecular dynamics simulations to investigate the compressive response of a Cu-core/Al-shell nanoparticle and compares [...] Read more.
The mechanical behavior of metallic core–shell nanoparticles is critical for their use as reinforcement particles and additive manufacturing feedstocks, yet their deformation mechanisms remain incompletely understood. This study employs molecular dynamics simulations to investigate the compressive response of a Cu-core/Al-shell nanoparticle and compares it with solid Cu, solid Al, and a hollow Al shell of the same size under uniaxial loading along ⟨100⟩, ⟨110⟩, ⟨111⟩, and ⟨112⟩ directions. The single-material nanoparticles show strong anisotropy: solid Cu exhibits orientation-dependent transitions from dislocation slip to deformation twinning, while introducing a void to form a hollow Al shell reduces stiffness and strength, confines plasticity to the shell wall, and suppresses extended load-bearing twins. The Cu–Al core–shell nanoparticle combines these behaviors in an orientation-dependent manner. Under ⟨110⟩ and ⟨112⟩ loading, deformation is largely shell-dominated, whereas ⟨100⟩ and ⟨111⟩ loading more strongly activates the Cu core. Mechanistically, ⟨100⟩ is characterized by Shockley partial activity and junction/lock formation in the Al shell coupled with twinning in the Cu core; ⟨110⟩ shows primarily shell partials with limited core involvement; ⟨111⟩ promotes partial-dislocation activity in both shell and core; and ⟨112⟩ produces localized, twin-dominated bands in the Al shell with shell-thickness-dependent twin extension into the Cu core. These trends are rationalized using Schmid factor considerations for 111110 slip and 111112 partial/twinning shear, together with the effects of faceted free surfaces and the Cu–Al interface. The core–shell geometry enables two concurrent interface-mediated pathways, i.e., (i) stress transfer and reduced cross-interface transmission and (ii) circumferential bypass within the shell, which together yield only slight flow-stress increases over solid Al while markedly reducing stress serrations compared with both solid Cu and solid Al. Across all orientations, the core–shell structures also exhibit delayed yielding (higher yield strain) relative to solid Cu, indicating enhanced ductility. The results provide an atomistic basis for designing Cu–Al core–shell nanoparticles for robust particle-based processing and additive manufacturing feedstock, and for informing multiscale models with mechanism-resolved, orientation-dependent inputs. Full article
Show Figures

Figure 1

25 pages, 16570 KB  
Article
Effective Flow Ratio: A Novel Efficiency Metric for Heterogeneous Traffic in a Signalized Urban Intersection with Aerial Computer Vision
by Abu Anas Ibn Samad, Tanvir Ahmed and Md Nazmul Huda
Big Data Cogn. Comput. 2026, 10(3), 80; https://doi.org/10.3390/bdcc10030080 - 6 Mar 2026
Viewed by 260
Abstract
Intelligent Transportation Systems (ITS) primarily rely on flow rate and occupancy to estimate traffic states. However, in heterogeneous traffic conditions characterized by weak lane discipline and diverse vehicle classes, these conventional metrics fail to capture the true operational efficiency of signalized intersections. High [...] Read more.
Intelligent Transportation Systems (ITS) primarily rely on flow rate and occupancy to estimate traffic states. However, in heterogeneous traffic conditions characterized by weak lane discipline and diverse vehicle classes, these conventional metrics fail to capture the true operational efficiency of signalized intersections. High flow rates can mask underlying inefficiencies, while low flow rates do not necessarily indicate free-flow conditions. This paper introduces a novel computer vision-based metric, the Effective Flow Ratio (EFR), designed to quantify the actual discharge efficiency of mixed traffic. By leveraging Bird’s-Eye View (BEV) vehicle tracking using You Only Look Once version 11 (YOLOv11) and ByteTrack, EFR distinguishes between kinematic movement and effective discharge, resolving the ambiguity of “moving but not clearing” states. We analyze 21 days of continuous footage from a rooftop-mounted camera overlooking a congested intersection in Dhaka, Bangladesh, exhibiting distinct non-linear behaviors compared to raw flow counts. Our results demonstrate that: (i) Flow rate and discharge efficiency are dynamically decoupled, evidenced by significant variance in EFR within identical flow bins; (ii) Temporal rolling correlations reveal transient regimes where traditional signal control logic would misinterpret congestion severity; and (iii) EFR provides a more robust proxy for intersection performance than occupancy or volume alone. The proposed metric offers a granular, physics-informed input for next-generation adaptive traffic signal control in developing urban environments. Full article
(This article belongs to the Special Issue AI, Computer Vision and Human–Robot Interaction)
Show Figures

Figure 1

28 pages, 4247 KB  
Article
BiMS-Pose: Enhancing Human Pose Estimation in Orchard Spraying Scenarios via Bidirectional Multi-Scale Collaboration
by Yuhang Ren, Zichen Yang, Hanxin Chen, Zhuochao Chen and Daojin Yao
Agriculture 2026, 16(5), 606; https://doi.org/10.3390/agriculture16050606 - 6 Mar 2026
Viewed by 135
Abstract
Most 2D human pose estimation frameworks utilize static designs for multi-scale feature fusion, where information from various scales is integrated using fixed weights. A drawback of these approaches is that they often lead to localization biases in complex scenarios. This paper addresses the [...] Read more.
Most 2D human pose estimation frameworks utilize static designs for multi-scale feature fusion, where information from various scales is integrated using fixed weights. A drawback of these approaches is that they often lead to localization biases in complex scenarios. This paper addresses the issues of multi-scale feature mismatch and joint localization biases in pose estimation. From the perspective of feature processing, multi-scale weights must be adapted to the size and position of joints, while joint predictions should adhere to human anatomical constraints. Existing methods lack effective dynamic adaptation, structural constraints, and bidirectional complementarity between high-level semantics and low-level details. They often experience localization biases in occluded scenarios, and the peaks of their heatmaps demonstrate insufficient consistency with the actual positions of the joints. Through theoretical analysis, we identify the causes of performance gaps and propose directions for narrowing them. We propose Bidirectional Multi-Scale Collaborative Pose Estimation (BiMS-Pose), a framework that introduces dynamic weights to adjust feature proportions, establishes bidirectional topological constraints for joint relationships, and integrates a bidirectional attention flow. The framework filters key information from three dimensions, adjusts filtering strategies in real time, and is enhanced by heatmap optimization to improve localization accuracy. Extensive experiments conducted on COCO, MPII, and our self-built Orchard Spraying Pose Dataset (OSPD) demonstrate the effectiveness of BiMS-Pose. In general scenarios, it achieves a significant 1.2 percentage-point increase in average precision (AP) on the COCO val2017 dataset compared to ViTPose while utilizing the same backbone. In agricultural orchard spraying scenarios, it effectively addresses interference factors such as changes in illumination, occlusion, and varying shooting distances, achieving 75.4% average precision (AP) and 90.7% percent of correct keypoints (PCKh@0.5) on the OSPD dataset. Additionally, it maintains an average frame rate of 18.3 FPS on embedded devices, effectively meeting the requirements for real-time monitoring. This highlights the model’s potential for precise, stable, and practical human pose estimation in both general and agricultural application scenarios. Full article
(This article belongs to the Special Issue Application of Smart Technologies in Orchard Management)
Show Figures

Figure 1

24 pages, 4693 KB  
Article
A Short-Term Photovoltaic Power Prediction Based on Multidimensional Feature Fusion of Satellite Cloud Images
by Lingling Xie, Chunhui Li, Yanjing Luo and Long Li
Processes 2026, 14(5), 846; https://doi.org/10.3390/pr14050846 - 5 Mar 2026
Viewed by 245
Abstract
Clouds are a key factor affecting solar radiation, and their dynamic variations directly cause uncertainty and fluctuations in photovoltaic (PV) power output. To improve PV power prediction accuracy, this paper proposes an enhanced short-term photovoltaic power forecasting approach based on a hybrid neural [...] Read more.
Clouds are a key factor affecting solar radiation, and their dynamic variations directly cause uncertainty and fluctuations in photovoltaic (PV) power output. To improve PV power prediction accuracy, this paper proposes an enhanced short-term photovoltaic power forecasting approach based on a hybrid neural network architecture using features extracted from satellite cloud images. First, a dual-layer image fusion method is developed for satellite cloud images from different wavelengths and spectral bands, effectively improving fusion accuracy. Second, texture descriptors derived from the Gray-Level Co-occurrence Matrix and multiscale information obtained via the wavelet transform are employed for feature extraction from fused images. Combined with a residual network (ResNet), an optical flow method, as well as an LSTM-based temporal modeling module, multidimensional features of the predicted cloud images are obtained. An improved Bayesian optimization (IBO) algorithm is then employed to derive the optimal fused features, thereby improving the matching between cloud image features and PV power. Third, an enhanced hybrid architecture integrating a convolutional neural network and long short-term memory units with a multi-head self-attention mechanism is developed. Numerical weather prediction (NWP) meteorological features are incorporated, and a tilted irradiance model is introduced to calculate the solar irradiance received by PV modules for use in near-term photovoltaic power forecasting. Finally, measurements collected at a photovoltaic power plant located in Hebei Province are used to validate the proposed method. The results show that, relative to the SA-CNN-MSA-LSTM and BO-CNN-LSTM models, the developed approach lowers the RMSE to an extent of 22.56% and 4.32%, while decreasing the MAE by 24.84% and 5.91%, respectively. Overall, the proposed model accurately captures the characteristics of predicted cloud images and effectively improves PV power prediction accuracy. Full article
(This article belongs to the Special Issue Process Safety and Control Strategies for Urban Clean Energy Systems)
Show Figures

Figure 1

20 pages, 359 KB  
Review
Landscape of Measurable Residual Disease in Acute Myeloid Leukemia: From Molecular Detection to Clinical Practice
by Mohammad Shahzaib Qadir and Omer Jamy
Med. Sci. 2026, 14(1), 123; https://doi.org/10.3390/medsci14010123 - 5 Mar 2026
Viewed by 271
Abstract
Measurable residual disease (MRD) has become a central determinant of prognosis and treatment planning in acute myeloid leukemia (AML). MRD assessment is now aided by a wide range of technologies, including next-generation sequencing, PCR-based assays, multiparameter flow cytometry, and emerging approaches such as [...] Read more.
Measurable residual disease (MRD) has become a central determinant of prognosis and treatment planning in acute myeloid leukemia (AML). MRD assessment is now aided by a wide range of technologies, including next-generation sequencing, PCR-based assays, multiparameter flow cytometry, and emerging approaches such as liquid biopsy platforms and imaging-based detection. These modalities differ in sensitivity, applicability, and interpretive framework, yet each offers distinct advantages in specific disease contexts. Beyond technical issues, MRD is becoming increasingly integrated into clinical practice. In non-intensive treatment settings, where targeted and low-intensity regimens rely on dynamic disease monitoring to guide ongoing management, MRD is increasingly being used to inform therapeutic decisions. In the peri-transplant setting, MRD status influences conditioning strategies, donor selection, and the use of post-transplant interventions. Despite the growing evidence supporting the clinical relevance of MRD across these scenarios, challenges remain regarding standardization, optimal timing of assessment, and the interpretation of discordant results. This review summarizes the full landscape of MRD detection methods and examines the evolving role of MRD in contemporary AML management, emphasizing current applications and areas requiring further refinement. Full article
(This article belongs to the Section Cancer and Cancer-Related Research)
17 pages, 3070 KB  
Article
Assessing the Impact of Forests on Wind Flow Dynamics and Wind Turbine Energy Production
by Svetlana Orlova, Nikita Dmitrijevs, Marija Mironova, Edmunds Kamolins and Vitalijs Komasilovs
Wind 2026, 6(1), 10; https://doi.org/10.3390/wind6010010 - 5 Mar 2026
Viewed by 218
Abstract
Forests play a vital role in influencing wind flow by modifying turbulence intensity and vertical wind shear. Because wind turbines are susceptible to these conditions, accurately characterising wind flow in forested environments is vital to ensuring structural reliability and realistic energy-yield assessments. In [...] Read more.
Forests play a vital role in influencing wind flow by modifying turbulence intensity and vertical wind shear. Because wind turbines are susceptible to these conditions, accurately characterising wind flow in forested environments is vital to ensuring structural reliability and realistic energy-yield assessments. In Latvia, where approximately 51.3% of the territory is covered by forests; the likelihood of wind turbine deployment in such areas is considerable. However, wind behaviour within and above forests is complex and strongly influenced by canopy effects, which in turn affect wake dynamics, structural fatigue, and power production. Advancing research in this field is therefore crucial for improving the accuracy of wind resource assessment and supporting evidence-based engineering solutions that enable the sustainable development of wind energy. Wind conditions were evaluated using NORA3 reanalysis data. Wake effects were simulated with the Jensen wake model to estimate annual energy production (AEP), which then informed levelised cost of energy (LCOE) calculations at various hub heights. The results indicate clear seasonal variability and show that increasing hub height leads to higher AEP and lower LCOE, owing to higher wind speeds and reduced turbulence. For forest heights of 0–25 m, the AEP loss increases from 7.8% (hub height = 199 m) to 22.9% (hub height = 114 m). Higher hub heights are also less sensitive to canopy-induced variability, reducing the impact of forest-related turbulence on energy production. Full article
Show Figures

Figure 1

25 pages, 3084 KB  
Article
A Regional Message Scaling Min-Sum Decoding Algorithm for MET-LDPC Codes
by Ying You, Guodong Su and Weiwei Lin
Symmetry 2026, 18(3), 444; https://doi.org/10.3390/sym18030444 - 4 Mar 2026
Viewed by 117
Abstract
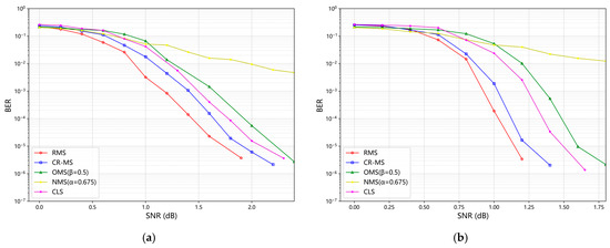
To offer multi-edge type low-density parity-check (MET-LDPC) codes with better performance, this paper proposes a regional message scaling min-sum (RMS) decoding algorithm which improves the performance of the traditional min-sum (MS) decoding algorithm and its modified versions. The contributions of this study are [...] Read more.
To offer multi-edge type low-density parity-check (MET-LDPC) codes with better performance, this paper proposes a regional message scaling min-sum (RMS) decoding algorithm which improves the performance of the traditional min-sum (MS) decoding algorithm and its modified versions. The contributions of this study are as follows. First, based on the edge-type topology of MET-LDPC codes, we fully exploit their inherent structural information to develop a cross-region decoding architecture by dynamically partitioning the edges of the Tanner graph into three functional regions. Second, we introduce cross-region message scaling (CMS) factors to establish an asymmetric information flow control mechanism, which adaptively regulates the intensity of information exchange across regions. Third, by integrating the multi-edge structure, the cross-region decoding architecture, and the asymmetric information flow control mechanism into a unified framework, we propose the RMS decoding algorithm tailored for MET-LDPC codes. For various code lengths, simulation results demonstrate that the proposed algorithm achieves a significantly lower error floor compared to the traditional MS decoding algorithm and its modified versions over the additive white Gaussian noise (AWGN) channel. Full article
(This article belongs to the Section Computer)
Show Figures

Figure 1

23 pages, 3274 KB  
Article
Question-Aware Reasoning Framework via Two-Level Cross-Attention
by Junhui Bai, Jun Wu, Mingyu Li, Shichao Yu, Ziming Jiang and Yinghui Wang
Mathematics 2026, 14(5), 857; https://doi.org/10.3390/math14050857 - 3 Mar 2026
Viewed by 259
Abstract
Multimodal chain-of-thought (CoT) reasoning has emerged as a pivotal research direction in artificial intelligence. However, current approaches predominantly adopt a linear CoT structure with a single reasoning module and complex multi-level gated multi-hop cross-attention mechanisms for modality fusion, which exhibit notable limitations. Specifically, [...] Read more.
Multimodal chain-of-thought (CoT) reasoning has emerged as a pivotal research direction in artificial intelligence. However, current approaches predominantly adopt a linear CoT structure with a single reasoning module and complex multi-level gated multi-hop cross-attention mechanisms for modality fusion, which exhibit notable limitations. Specifically, the inability of linear CoT structures to dynamically select appropriate reasoning modules based on problem characteristics often leads to hallucinations during intermediate reasoning. Moreover, tightly coupled gating and cross-attention mechanisms can inadvertently suppress critical information flow during inter-modal interactions, resulting in erroneous predictions. To address these challenges, we propose a novel multimodal reasoning framework, M-TCM, that integrates a two-level cross-attention fusion mechanism with a single-level gating strategy. This design not only reduces the complexity of modality fusion but also effectively preserves information crucial for intermediate reasoning. Furthermore, M-TCM incorporates a novel module selection strategy. We first construct a new dataset, SQ-GPT4, to complement the existing ScienceQA dataset and facilitate the training of two distinct reasoning modules. Subsequently, the model dynamically selects the most appropriate reasoning module for prediction based on the specific skill requirements of each problem. Experimental results on the ScienceQA benchmark demonstrate the superiority of our proposed model, achieving a prediction accuracy of 88.23%. Full article
(This article belongs to the Topic Intelligent Image Processing Technology)
Show Figures

Figure 1

23 pages, 1148 KB  
Article
Conservation-Consistent Modeling of Time-Varying Transfer Delays with Applications in Energy Systems
by Sara Bysko, Krzysztof Łakomiec and Krzysztof Fujarewicz
Energies 2026, 19(5), 1262; https://doi.org/10.3390/en19051262 - 3 Mar 2026
Viewed by 473
Abstract
Time delays are intrinsic to energy systems, arising from transport phenomena, communication latency, and control dynamics; however, their accurate modeling remains challenging, particularly under variable operating conditions. The most common delays are constant over time and are easy to model and simulate. However, [...] Read more.
Time delays are intrinsic to energy systems, arising from transport phenomena, communication latency, and control dynamics; however, their accurate modeling remains challenging, particularly under variable operating conditions. The most common delays are constant over time and are easy to model and simulate. However, simulation tools of time-varying delay systems rely on signal-delay representations that fail to enforce conservation laws, leading to unphysical results in applications involving mass or energy transport. This study develops a physically consistent mathematical framework for time-varying transfer delays that explicitly couples kinematic evolution with conservation principles through a dynamic gain term. A systematic classification is introduced, distinguishing between signal delays (information transfer) and transfer delays (physical transport), further categorized by the source of variability in time delay into Types R (variable extraction), W (variable supply), and M (variable medium). The proposed formulation was implemented in Simulink through newly developed functional blocks supporting all delay variants and validated against representative heat transport scenarios. Comparative analysis demonstrates that standard signal-delay models violate energy conservation by generating spurious energy, whereas the proposed transfer-delay formulation preserves physical consistency under variable-flow conditions. The framework provides a rigorous foundation for accurate modeling of district heating networks, renewable energy integration with power-to-gas systems, thermal storage, and smart grid communications, supporting the development of reliable control strategies essential for the ongoing energy transition. Full article
(This article belongs to the Special Issue Advances in Heat and Mass Transfer)
Show Figures

Figure 1

26 pages, 446 KB  
Article
A Mathematical Framework for Modeling Global Value Chain Networks
by Georgios Angelidis
Foundations 2026, 6(1), 8; https://doi.org/10.3390/foundations6010008 - 3 Mar 2026
Viewed by 161
Abstract
Global value chains (GVCs) have evolved into highly interconnected and geographically fragmented production networks, increasing exposure to systemic disruptions and revealing the limitations of static input–output and conventional network approaches. This study develops a unified analytical framework for modeling the structure, dynamics, and [...] Read more.
Global value chains (GVCs) have evolved into highly interconnected and geographically fragmented production networks, increasing exposure to systemic disruptions and revealing the limitations of static input–output and conventional network approaches. This study develops a unified analytical framework for modeling the structure, dynamics, and resilience of GVCs by integrating input–output economics with network theory, control theory, optimal transport, information theory, and cooperative game theory. The framework represents GVCs as time-varying, multi-level networks and formalizes shock propagation through stochastic normalization and state-space dynamics. Entropy-regularized optimal transport is employed to model friction-dependent substitution and supply chain reconfiguration, while Koopman operator methods approximate nonlinear adjustment dynamics. Cooperative flow-based indices are introduced to assess systemic importance and bargaining power. The analysis produces a coherent set of structural and dynamic indicators capturing vulnerability, adaptability, and controllability across country–sector nodes. Overall, the framework provides an empirically applicable toolkit for diagnosing structural fragilities, comparing resilience across economies, and supporting scenario-based evaluation of industrial and trade policies in complex global production networks. Full article
(This article belongs to the Section Mathematical Sciences)
Show Figures

Figure 1

Back to TopTop