Sign in to use this feature.

Years

Between: -

Subjects

remove_circle_outline
remove_circle_outline
remove_circle_outline
remove_circle_outline
remove_circle_outline
remove_circle_outline
remove_circle_outline
remove_circle_outline

Journals

Article Types

Countries / Regions

Search Results (23)

Search Parameters:
Keywords = director individual performance

Order results
Result details
Results per page
Select all
Export citation of selected articles as:
17 pages, 1570 KB  
Article
The Burden of Pertussis Disease and Vaccination Coverage in Australian Adults Attending Primary Health Care
by Aye M. Moa, Juan C. Vargas-Zambrano, Hubert Maruszak, Valentina Costantino and C Raina MacIntyre
Vaccines 2025, 13(10), 1029; https://doi.org/10.3390/vaccines13101029 - 2 Oct 2025
Viewed by 1845
Abstract
Background: The reported incidence of pertussis, a vaccine-preventable disease, has been increasing in recent years. This study aimed to estimate the burden of pertussis and the vaccination rate in Australian adults in primary care. Methods: Deidentified data for participants aged ≥18 years were [...] Read more.
Background: The reported incidence of pertussis, a vaccine-preventable disease, has been increasing in recent years. This study aimed to estimate the burden of pertussis and the vaccination rate in Australian adults in primary care. Methods: Deidentified data for participants aged ≥18 years were extracted from the MedicalDirector (MD) primary care software from 2008 to 2019. We estimated the cumulative incidence of diagnosed pertussis in adults by age and risk groups and vaccine coverage in cases and a control group (not diagnosed with pertussis or a coughing illness). We also examined the incidence of unspecified coughing illness in the study population. Results: Of the 764,864 subjects included in the study, 1788 (0.2%) were diagnosed with pertussis between 2008 and 2019, corresponding to an average annual diagnosis rate of 76.9 per 100,000 population. About 31,110 (4.1%) of adults had an unspecified coughing illness. The highest rate was observed in 2011 and higher in females (63.3%), and the diagnosis rate was stable across all age groups. Underlying chronic conditions were more prevalent among pertussis cases than controls (58.7% vs. 18.8%), with asthma or chronic obstructive pulmonary disease (COPD) being the most common. Overall, 14% of cases received a pertussis vaccination during the study period. Diagnostic testing for pertussis was performed in 34.1% of pertussis cases. Estimated conservative costs per pertussis patient ranged from AUD 473 to AUD 909, with higher costs observed in individuals with complications. Conclusions: In the outpatient setting, there was a notable burden of pertussis among adults under 65 years of age, particularly those with underlying medical conditions, such as asthma and COPD, which appear to be significant risk factors. Due to the low rate of pertussis testing among all coughing illnesses, a proportion of non-specific coughing illness may be undiagnosed pertussis. The observed low vaccination rates highlight a need for increased awareness, improved diagnostic efforts, and prevention strategies in primary care. Full article
(This article belongs to the Special Issue Studies of Infectious Disease Epidemiology and Vaccination)
Show Figures

Figure 1

13 pages, 248 KB  
Article
Implementation of an Alzheimer’s Disease Blood Test: Adoption Experience by Memory Care Specialists in a Multi-Center Study
by Mark Monane, Robert M. Carlile, Kim G. Johnson, Darren R. Gitelman, Lawren A. VandeVrede, Demetrius M. Maraganore, David A. Merrill, Leslie Jacobs, Justine Coppinger, Philip B. Verghese, Tim West and Joel B. Braunstein
J. Pers. Med. 2025, 15(10), 469; https://doi.org/10.3390/jpm15100469 - 1 Oct 2025
Viewed by 1795
Abstract
Background/Objectives: A high-performing blood biomarker (BBM) test for Alzheimer’s disease (AD) represents an accurate, accessible, and scalable tool to aid healthcare professionals (HCPs) evaluating patients presenting with signs or symptoms of mild cognitive impairment (MCI) or dementia. However, implementation of AD blood tests [...] Read more.
Background/Objectives: A high-performing blood biomarker (BBM) test for Alzheimer’s disease (AD) represents an accurate, accessible, and scalable tool to aid healthcare professionals (HCPs) evaluating patients presenting with signs or symptoms of mild cognitive impairment (MCI) or dementia. However, implementation of AD blood tests into clinical practice has not been extensively evaluated. The objective of this study was to assess the implementation of the multi-analyte PrecivityAD2™ blood test (C2N Diagnostics, LLC, St. Louis, MO, USA) into the clinical workflow of memory care clinics. Methods: A total of 8 HCPs (neurologists, geriatricians, geriatric psychiatrists) who served as site directors from 8 outpatient sites that evaluated 203 cognitively symptomatic patients were included in this sub-study of the real-world QUIP II Study (NCT06025877). Implementation of this blood test was assessed through surveying these HCPs using published frameworks including the Technology Acceptance Model, net promoter score, and forced choice preference questions. These assessments were analyzed using Wilcoxon signed-rank test, Fisher’s Exact test, and Wilcoxon signed-rank test, respectively. Results: HCPs reported acceptance scores that averaged 9.6 out of 10 (p < 0.0001, effect size 0.840): the test’s contribution to clinical decision-making as well as the ease of understanding test results received the highest ratings. The net promoter score was 75 (p < 0.0001), exceeding the typical benchmark of 30 reported as good levels of satisfaction in healthcare settings. The APS2 results and individual blood analyte results were rated with similar preference around their roles in HCP clinical decision-making. Conclusions: The results indicate early evidence of user acceptance and recognition by HCPs that this AD blood test can personalize the clinical care pathway for evaluating cognitively symptomatic patients. Full article
(This article belongs to the Special Issue Personalized Treatment of Neurological Diseases)
16 pages, 647 KB  
Article
Socio-Economic Structure of Sheep Enterprises in Türkiye: A Micro-Level Analysis
by Alperen Varalan, Burak Barit, Burak Mat, Mustafa Bahadır Çevrimli and Aytekin Günlü
Ruminants 2025, 5(3), 39; https://doi.org/10.3390/ruminants5030039 - 16 Aug 2025
Cited by 1 | Viewed by 2066
Abstract
This study aims to analyze the technical and economic infrastructure of sheep farming enterprises operating in Türkiye. It assesses the demographic characteristics of enterprise owners, enterprise scales, production objectives, marketing strategies, and economic performance. Primary data were collected through face-to-face surveys conducted with [...] Read more.
This study aims to analyze the technical and economic infrastructure of sheep farming enterprises operating in Türkiye. It assesses the demographic characteristics of enterprise owners, enterprise scales, production objectives, marketing strategies, and economic performance. Primary data were collected through face-to-face surveys conducted with 201 sheep farming enterprises during the 2023 production period. The sample was selected based on information provided by the Provincial Directorates of Agriculture and Forestry and the Breeding Sheep and Goat Breeders’ Associations. Data analysis was performed using SPSS 27. Categorical data related to enterprise characteristics and the demographic profiles of enterprise owners were examined. The findings indicate that the majority of enterprise owners are middle-aged or older individuals, have a low level of education, and operate predominantly within an extensive production system. The producers’ marketing methods rely mainly on direct sales. In conclusion, ensuring the sustainability of the sheep farming sector requires encouraging young producers to enter the industry, expanding educational programs, and adopting modern production techniques. Full article
(This article belongs to the Special Issue Feature Papers of Ruminants 2024–2025)
Show Figures

Figure 1

25 pages, 849 KB  
Article
Leadership Is a Driving Factor: Financial Technology Effect in Rural Bank Performance
by Rico Tedyono, Muhammad Madyan, Iman Harymawan and Hendro Margono
J. Risk Financial Manag. 2025, 18(7), 353; https://doi.org/10.3390/jrfm18070353 - 26 Jun 2025
Cited by 2 | Viewed by 2452
Abstract
The study examined the mediating roles of adaptive leadership in the relationship between financial technology innovation and rural bank performance. A survey-based research approach was applied, and the hypotheses were tested using a sample of 305 respondents. A measurement model was employed to [...] Read more.
The study examined the mediating roles of adaptive leadership in the relationship between financial technology innovation and rural bank performance. A survey-based research approach was applied, and the hypotheses were tested using a sample of 305 respondents. A measurement model was employed to evaluate the validity and reliability of the scales used in the study. Partial least squares structural equation modeling (PLS-SEM) was used to analyze the hypothesized relationships and test the mediation effects. The empirical findings support the hypothesized relationship between both financial technology innovation and the director’s individual performance on rural bank performance. Adaptive leadership was found not to mediate the association between financial technology innovation and rural bank performance. The research highlights the importance of financial technology innovation and individual director performance in enhancing rural bank performance. Furthermore, the findings support the notion that developing financial technology innovation is crucial for fostering adaptive leadership. Additionally, adaptive leadership contributes to strengthening director individual performance, which ultimately drives overall performance improvements in rural banks. The integration of these variables offers new empirical insights. It expands the understanding of rural bank performance, highlighting how internal capabilities can be optimized to improve organizational outcomes in this under-researched sector. Full article
(This article belongs to the Section Business and Entrepreneurship)
Show Figures

Figure 1

19 pages, 1092 KB  
Article
Seeing Through Other Eyes: How Language Experience and Cognitive Abilities Shape Theory of Mind
by Manali Pathare, Ester Navarro and Andrew R. A. Conway
Behav. Sci. 2025, 15(6), 755; https://doi.org/10.3390/bs15060755 - 30 May 2025
Viewed by 2015
Abstract
Understanding others’ perspectives, or Theory of Mind (ToM), is a critical cognitive skill essential for social competence and effective interpersonal interactions. Although ToM is present in varying degrees across individuals, recent research indicates that linguistic factors, particularly bilingualism, can significantly influence its expression. [...] Read more.
Understanding others’ perspectives, or Theory of Mind (ToM), is a critical cognitive skill essential for social competence and effective interpersonal interactions. Although ToM is present in varying degrees across individuals, recent research indicates that linguistic factors, particularly bilingualism, can significantly influence its expression. Building on these findings, the current study examined performance on the perspective-taking trials of the Director Task among bilinguals and monolinguals. The results showed a nonsignificant trend in accurate responses as a function of bilingualism; however, a significant effect was found when examining only perspective-taking trials, with bilinguals outperforming monolinguals, suggesting that larger sample sizes are needed to identify this effect. Interestingly, a significant interaction between fluid intelligence and bilingualism was found, suggesting that bilinguals with higher fluid intelligence performed better on perspective-taking trials compared to bilinguals with lower fluid intelligence. The results emphasize the importance of domain-general abilities for the effect of bilingualism on perspective-taking and suggest that bilingualism’s effect on ToM may be more salient in individuals with higher cognitive abilities. Full article
Show Figures

Figure 1

18 pages, 713 KB  
Article
The Moderating Role of Gender and Mediating Role of Hope in the Performance of Healthcare Workers During the COVID-19 Pandemic
by Demet Cakiroglu, Selen Yılmaz Isıkhan and Hamit Coskun
Behav. Sci. 2024, 14(12), 1167; https://doi.org/10.3390/bs14121167 - 5 Dec 2024
Viewed by 1440
Abstract
This study aimed to examine the relationship between resilience and the hope levels of healthcare workers who have experienced the COVID-19 pandemic, the effects of resilience and gender on individual performance, the effects of hope levels on individual performance, and aimed to determine [...] Read more.
This study aimed to examine the relationship between resilience and the hope levels of healthcare workers who have experienced the COVID-19 pandemic, the effects of resilience and gender on individual performance, the effects of hope levels on individual performance, and aimed to determine whether hope mediated the effect of resilience on individual performance. This was a descriptive cross-sectional study. The psychological resilience, hope, and individual performance of healthcare workers affiliated with the Istanbul Provincial Health Directorate were obtained from online questionnaires completed by participants between April 2021 and August 2021. This purpose was served by the Brief Resilience Scale, the continuous hope scale, and the Individual Performance Scales. A hierarchical regression analysis, mediation analysis, and moderation analysis were performed on 412 healthcare workers to test the hypotheses. There was a significant relationship between resilience and hope levels among healthcare professionals. Healthcare professionals’ levels of resilience and hope also had significant effects on their individual performance. The indirect effect of healthcare professionals’ psychological resilience levels on their individual performance through hope was not significant. Gender also had a significant effect on resilience, hope, and agency thinking. Men’s mean scores for resilience, hope, and agency thinking are higher than women’s. The findings show that employees with high hope and resilience are more likely to recover from stressful situations and display better individual performance. This study has significant implications for the advancement of the field of psychosocial assessment of healthcare workers in times of health crisis. It offers both a practical and a theoretical perspective on the effects of hope and resilience on employee performance as psychological capital that can help all healthcare managers and employees, especially in times of crisis such as the COVID-19 pandemic. It can be said that hope is more important than resilience in terms of its propensity to enhance individuals’ performance. Our findings suggest that employees with high levels of hope and resilience are more likely to recover from stressful situations and achieve better personal performance. Organizations should focus more on hope and resilience by promoting positive attitudes among employees and managers to improve their ability to cope with crises. Full article
Show Figures

Figure 1

16 pages, 255 KB  
Article
A Study on the Impact of Board Characteristics on the Environmental, Social, and Governance (ESG) Responsibilities of Listed Companies—Evidence from Chinese Listings
by Haoming Ding, Zerui Wang, Hanyu Xu and Zi Lin
Sustainability 2024, 16(23), 10490; https://doi.org/10.3390/su162310490 - 29 Nov 2024
Cited by 12 | Viewed by 6926
Abstract
Company boards play a critical role in ESG leadership by shaping strategy, ensuring accountability, and driving sustainability practices. However, ineffective board structures can hinder ESG goals, making the identification of board attributes that enhance ESG outcomes essential. Using data from 1931 A-share listed [...] Read more.
Company boards play a critical role in ESG leadership by shaping strategy, ensuring accountability, and driving sustainability practices. However, ineffective board structures can hinder ESG goals, making the identification of board attributes that enhance ESG outcomes essential. Using data from 1931 A-share listed companies between 2009 and 2022, this study investigates how board characteristics, such as independence, independent directors’ overseas experience, board size, and gender diversity, affect environmental, social, and governance (ESG) performance. The analysis reveals that the combined influence of board characteristics positively impacts ESG outcomes. Among individual attributes, board independence and independent directors with overseas education backgrounds significantly enhance ESG ratings, emphasizing the value of independent oversight and global perspectives. In contrast, board size and gender diversity show no significant impact, suggesting that simply increasing board size or representation does not necessarily improve ESG performance. Unlike prior studies focusing on isolated board characteristics, this research comprehensively analyzes how various attributes influence ESG outcomes. This study fills a critical gap in the ESG literature by addressing these complex dynamics. It offers actionable insights for policymakers and corporate governance reformers to improve business practices’ accountability, transparency, and sustainability. Full article
(This article belongs to the Special Issue Sustainable Governance: ESG Practices in the Modern Corporation)
15 pages, 248 KB  
Article
Impact of Corporate Governance on Firms’ Sustainability Performance: Case Study of BIST 50 Index Companies
by Serhii Lehenchuk, Iryna Zhyhlei, Olena Ivashko, Ihor Chulipa and Bogdan Wit
Sustainability 2024, 16(22), 9904; https://doi.org/10.3390/su16229904 - 13 Nov 2024
Cited by 4 | Viewed by 3736
Abstract
Purpose: the purpose of this study is to investigate whether corporate governance mechanisms and attributes influence the sustainability performance of companies included in the BIST 50 Index. Results and contributions: Regression analysis showed that there was a significant positive influence of board tenure [...] Read more.
Purpose: the purpose of this study is to investigate whether corporate governance mechanisms and attributes influence the sustainability performance of companies included in the BIST 50 Index. Results and contributions: Regression analysis showed that there was a significant positive influence of board tenure on sustainability performance and all its types; board size on environmental performance; and a dummy variable for board evaluation externally facilitated and company size on sustainability, environmental, and social performance. A significant negative impact of director attendance at board meetings on social performance was also revealed. This study contributes to the literature on the role of corporate governance in achieving the SDGs for BIST 50 Index companies, highlighting the significant impact of its individual indicators on the achievement of sustainability performance. Methodology: The authors reviewed 45 sustainability reports of BIST 50 Index companies for 2023. Four indices—Sustainability Performance, Environmental Performance, Social Performance, and Corporate Governance Performance Indexes—were developed to characterize sustainability performance and its types based on a content analysis of sustainability disclosures. To analyze the influence of mechanisms and characteristics of the corporate governance system on sustainability performance, eight independent variables were used: board size, number of board meetings, director attendance at board meetings, board independence, board tenure, a dummy variable for board evaluation externally facilitated, a dummy variable for internal auditors present, and a dummy variable for CEO and Chair functions combined. Two control variables, company size and leverage, were used as well. Gap: Today, the scientific literature has no universal approach and understanding of how the corporate governance system should be developed to improve sustainability performance or its individual components. Relevance: Development of a corporate governance system is one of the ways to increase the level of sustainability performance of companies. Impact: The results of the study made it possible to produce several recommendations (expand the number of board members, develop an effective procedure for regular changes of general directors in company boards, introduce independent external control tools in the corporate governance systems of companies) that will lead to the achievement of SDGs 5, 8, 16. Full article
26 pages, 706 KB  
Article
The Interaction Effects of Board Independence and Digital Transformation on Environmental, Social, and Governance Performance: Complementary or Substitutive?
by Jingzhuo Yu and Yong-Sik Hwang
Sustainability 2024, 16(20), 9098; https://doi.org/10.3390/su16209098 - 21 Oct 2024
Cited by 6 | Viewed by 4374
Abstract
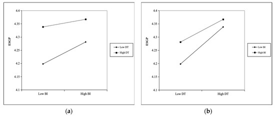
Both board independence (BI) and digital transformation (DT) play important roles in promoting Environmental, Social, and Governance (ESG) performance. However, few studies have focused on their interaction effects on ESG performance (ESGP). The study selected Chinese A-share listed companies from 2013 to 2023 [...] Read more.
Both board independence (BI) and digital transformation (DT) play important roles in promoting Environmental, Social, and Governance (ESG) performance. However, few studies have focused on their interaction effects on ESG performance (ESGP). The study selected Chinese A-share listed companies from 2013 to 2023 as the research sample and used a moderating effect model to test the complementary or substitutive relationship between the two. The empirical results show that there is a substitutive effect, rather than a complementary one. Further analysis of the individual ESG pillars revealed that the substitutive effect of BI and DT is primarily reflected in corporate governance. Moreover, this substitutive effect is more pronounced in state-owned enterprises and non-manufacturing enterprises, and digital supervision mechanisms may have a stronger substitutive role than traditional independent director oversight mechanisms. These findings uncover the complex relationship between the two governance mechanisms and corporate ESGP, offering important insights for managers; companies need to strike a balance between “human governance” and “digital governance” to maximize ESGP. Full article
Show Figures

Figure 1

11 pages, 1238 KB  
Article
Locating Nesting Sites for Critically Endangered Galápagos Pink Land Iguanas (Conolophus marthae)
by Marco Gargano, Giuliano Colosimo, Lorenzo Garizio, Paolo Gratton, Gregory A. Lewbart, Glenn P. Gerber, Pierpaolo Loreti, Alexandro Catini, Lorenzo Bracciale, Massimiliano De Luca, Francesca Mastrangeli, Christian Sevilla and Gabriele Gentile
Animals 2024, 14(12), 1835; https://doi.org/10.3390/ani14121835 - 20 Jun 2024
Cited by 2 | Viewed by 2259
Abstract
Invasive alien species control is recognized worldwide as a priority action to preserve global biodiversity. However, a lack of general life history knowledge for threatened species can impede the effectiveness of conservation actions. Galápagos pink land iguanas (Conolophus marthae) are endemic [...] Read more.
Invasive alien species control is recognized worldwide as a priority action to preserve global biodiversity. However, a lack of general life history knowledge for threatened species can impede the effectiveness of conservation actions. Galápagos pink land iguanas (Conolophus marthae) are endemic to Wolf Volcano, Galápagos, Ecuador. These iguanas are threatened by invasive alien species, particularly feral cats, that may affect their small population size. To guarantee the long-term survival of C. marthae, the Galápagos National Park Directorate is considering, along with an ongoing campaign of feral cat control, the implementation of a head-start program. However, the success of this management strategy necessarily relies on the identification of pink iguana nesting grounds, which were still unknown at the onset of this study. We modeled the movement patterns of male and female iguanas during the reproductive season, using location data collected from custom-made remote tracking devices installed on adult pink iguanas in April 2021. We first calculated for each individual the vector of distances from its starting location, which was defined as net displacement. We then used net displacement as the response variable in a generalized additive mixed model with day of the year as the predictor. Based on the hypothesis that males and females may behaviorally differ after mating, we looked for female-specific migratory behavior suggesting females were moving toward nesting areas. The results obtained confirmed our hypothesis, as females exhibited a distinct migratory behavior, reaching a small plateau area inside of Wolf Volcano’s caldera and ca. 400 m below the volcano’s northern rim. Moreover, once inside the caldera, females displayed a more aggregated distribution pattern. The movement data obtained allowed Galápagos National Park rangers to locate individual pink iguana nests and subsequently to sight and collect the first observed hatchlings of the species. This work constitutes a necessary baseline to perform dedicated studies of pink iguana nests and emerging hatchling iguanas, which is an essential step toward the development of an effective head-start program. Full article
(This article belongs to the Section Herpetology)
Show Figures

Figure 1

25 pages, 331 KB  
Article
The Impact of Country Characteristics on Board Gender Diversity and Sustainability Performance: A Global Perspective
by Terri Trireksani, Hadrian Geri Djajadikerta, Muhammad Kamran and Pakeezah Butt
Sustainability 2024, 16(7), 3057; https://doi.org/10.3390/su16073057 - 6 Apr 2024
Cited by 7 | Viewed by 4054
Abstract
This study assesses the role of country characteristics on the association between board gender diversity and sustainability performance. It evaluates the significance and relevance of country characteristics in capturing the contextual sensitivity of the relationship between board gender diversity and sustainability performance. Using [...] Read more.
This study assesses the role of country characteristics on the association between board gender diversity and sustainability performance. It evaluates the significance and relevance of country characteristics in capturing the contextual sensitivity of the relationship between board gender diversity and sustainability performance. Using a sample of 5087 firms from 50 countries, the study establishes that the presence of females on corporate boards enhances sustainability performance. However, the strength of this relationship is contingent on the characteristics of the country within which a firm operates. Specifically, the positive relationship between board gender diversity and sustainability performance is more pronounced in countries with higher cultural orientations on individualism, uncertainty avoidance, indulgence, and femininity. More substantial financial development, an application of civil law and legal systems and weaker economic conditions in a country also facilitate female directors in enhancing sustainability performance. The study provides deeper insights into how country factors interact with gender on the board factor in leading the sustainability performance of firms. Full article
13 pages, 389 KB  
Article
Leading beyond the Script: A Cross-Sectional Study Exploring Preparedness of Pharmacy Academic Administrators
by Elizabeth A. Hall, Christopher K. Finch and Katherine L. March
Pharmacy 2024, 12(1), 25; https://doi.org/10.3390/pharmacy12010025 - 1 Feb 2024
Viewed by 2883
Abstract
Limited research exists on the preparedness of pharmacy academic administrators for their roles. This cross-sectional survey aimed to explore the self-perceptions of pharmacy academic administrators, including deans, associate deans, assistant deans, department chairs, and directors, within United States-based Colleges or Schools of Pharmacy. [...] Read more.
Limited research exists on the preparedness of pharmacy academic administrators for their roles. This cross-sectional survey aimed to explore the self-perceptions of pharmacy academic administrators, including deans, associate deans, assistant deans, department chairs, and directors, within United States-based Colleges or Schools of Pharmacy. Participants answered questions regarding their demographics, self-perceived readiness for administrative roles, self-perceived leadership skills, and strategies used to develop these skills. Data were analyzed using descriptive statistics, and subgroup comparisons were made using Student’s t-test for normally distributed continuous variables, Mann–Whitney tests for ordinal variables or non-normally distributed continuous variables, and Chi-squared tests for nominal variables. A total of 193 responses were analyzed. Respondents reported feeling least prepared in two areas: entrepreneurial revenue and handling grievances and appeals. There were gender differences noted in preparedness to conduct performance reviews, manage unit finances, and develop entrepreneurial revenue, with men rating themselves significantly higher than women in all three areas. Despite high self-ratings of leadership skills in the overall cohort, significant gender differences were noted in micromanagement with men rating themselves lower than women. Seeking advice from senior colleagues was the most used development strategy, and women showed a significantly higher preference for programs facilitated by professional organizations. This study contributes valuable insights into the preparedness of pharmacy academic administrators to inform future strategies that better support individuals to be successful in their roles. Full article
(This article belongs to the Section Pharmacy Education and Student/Practitioner Training)
Show Figures

Figure 1

21 pages, 1867 KB  
Article
Siberian Wildrye (Elymus sibiricus) Seed Vigor Estimation for the Prediction of Emergence Performance under Diverse Environmental Conditions
by Qibo Tao, Jiayi Xing, Fansheng Meng, Yaqi Zhang, Xinyu Liu, Shuo Guo, Ye Shan, Shangzhi Zhong, Juan Sun and Yanhua Zhao
Agronomy 2024, 14(1), 173; https://doi.org/10.3390/agronomy14010173 - 12 Jan 2024
Cited by 1 | Viewed by 1973
Abstract
Seed vigor is an important aspect of seed quality. It is critical to predict seed vigor and plant seedling emergence under diverse environmental conditions using the laboratory vigor test. Accordingly, laboratory experiments were conducted to determine the standard germination (SG), early individual counts [...] Read more.
Seed vigor is an important aspect of seed quality. It is critical to predict seed vigor and plant seedling emergence under diverse environmental conditions using the laboratory vigor test. Accordingly, laboratory experiments were conducted to determine the standard germination (SG), early individual counts of radicle emergence (RE), mean germination time (MGT), and vigor index (VI) for 16 commercially available seed lots of Siberian wildrye (Elymus sibiricus), an economically and ecological important grass species. The field emergence (FE) for seed lots was explored using a three-year field trial from 2021 to 2023. Meanwhile, pot experiments were carried out to determine the seedling emergence performance under different environmental conditions, including control, drought, and salinity stress. The correlation and regression analysis were done to investigate the links between laboratory vigor test with emergence performance under both field and pot conditions. The results showed that the SG of 16 seed lots were high, similar, and did not differ significantly between seed lots. However, the seedling emergence performance (emergence percentage, seedling dry weight, and simplified vigor index) differed significantly between seed lots under both field and pot conditions. The SG was not significantly correlated with seedling emergence performance under either the field or pot conditions. The counts of RE at selected timing, MGT, and VI showed a significant relationship with seed vigor as reflected by seedling emergence performance under diverse environmental conditions, and we found that RE at 108 h was highly predictive of seed vigor and seedling emergence. The RE at 108 h and VI were positively related to seed vigor, while MGT was negatively related. The seed lots with low vigor had lower RE at 108 h and VI but longer MGT. Overall, both RE at 108 h, MGT, and VI can be used to estimate seed vigor and predict seedling emergence under different environmental conditions, and we highly recommend RE at 108 h as a quick, precise, and convenient vigor test and early warning sign for seed storage of E. sibiricus. These results will enable seed researchers, plant breeders, farmers, and government program directors to target higher seed vigor more effectively for E. sibiricus and similar grass species. Full article
(This article belongs to the Section Grassland and Pasture Science)
Show Figures

Figure 1

13 pages, 284 KB  
Article
Skill Profiles for Employability: (Mis)Understandings between Higher Education Institutions and Employers
by Luís Sebastião, Filipa Tirapicos, Rita Payan-Carreira and Hugo Rebelo
Educ. Sci. 2023, 13(9), 905; https://doi.org/10.3390/educsci13090905 - 7 Sep 2023
Cited by 11 | Viewed by 3785
Abstract
There is a consensus that employers, when recruiting, look for future employees to have a certain required profile. This profile consists of a set of skills that are considered crucial for the correct performance of the tasks that the employees will be performing. [...] Read more.
There is a consensus that employers, when recruiting, look for future employees to have a certain required profile. This profile consists of a set of skills that are considered crucial for the correct performance of the tasks that the employees will be performing. It is usually easy to identify which hard skills employers require, but it is not so easy to find out which soft skills employees should have. In addition to this difficulty, there is the possibility that higher education institutions may not be preparing students to align with employers’ envisioned skill sets. As part of the European Project “Think4Jobs” (2020-1-EL01-KA203-078797), an exploratory study was conducted to understand whether higher education institutions develop, and employers demand, individuals with the same profiles and to characterise these profiles. For this purpose, eight directors of different higher education programmes and six employers were interviewed. The information from the interviews was processed using the content analysis technique with the support of the NVivo data analysis software. The findings indicate that both educators and employers acknowledge the significance of soft skills, assigning them higher importance than hard skills, and the necessity of coordination between the two skill sets. Respondents also emphasised the importance of training, with course directors focusing more on initial training, while employers highlighted in-job training. Motivation, creativity, interpersonal relationships, communication, initiative and critical thinking were the skills identified by both groups as essential to an employee’s profile. Full article
10 pages, 868 KB  
Article
Improving Medical Student Anatomy Knowledge and Confidence for the Breast Surgical Oncology Rotation
by Chloe Wilder, Lyndsey J. Kilgore, Abbey Fritzel and Kelsey E. Larson
Healthcare 2023, 11(5), 709; https://doi.org/10.3390/healthcare11050709 - 27 Feb 2023
Cited by 6 | Viewed by 3163
Abstract
Background: The anatomy curriculum has undergone considerable reductions in class time, resulting in decreased student anatomical knowledge retention and confidence during their surgical rotations. To counter this deficit in anatomy knowledge, a clinical anatomy mentorship program (CAMP) was developed by fourth-year medical student [...] Read more.
Background: The anatomy curriculum has undergone considerable reductions in class time, resulting in decreased student anatomical knowledge retention and confidence during their surgical rotations. To counter this deficit in anatomy knowledge, a clinical anatomy mentorship program (CAMP) was developed by fourth-year medical student leaders and staff mentors in a near-peer teaching fashion prior to the surgical clerkship. This study analyzed the impact this program had on third-year medical students (MS3s) self-assessed anatomical knowledge and confidence in the operating room on the Breast Surgical Oncology rotation after this near-peer program. Methods: A single-center prospective survey study was performed at an academic medical center. Pre- and post-program surveys were administered to all students who participated in the CAMP and rotated on the breast surgical oncology (BSO) service during the surgery clerkship rotation. A control group of individuals who did not rotate on the CAMP was established, and this group was administered a retrospective survey. A 5-point Likert scale was used to assess surgical anatomy knowledge, confidence in the operating room, and comfort in assisting in the operating room. Control group versus post-CAMP intervention group and pre- versus post-CAMP intervention groups survey results were compared using the Student’s t-test with a p-value of <0.05 statistically significant. Results: All CAMP students rated their surgical anatomy knowledge (p < 0.01), confidence in the operating room (p < 0.01), and comfort in assisting in the operating room (p < 0.01) as greater than those who did not participate in the program. Additionally, the program improved the ability of third-year medical students to prepare for operating room cases going into their third-year breast surgical oncology clerkship (p < 0.03). Conclusions: This near-peer surgical education model appears to be an effective way to prepare third-year medical students for the breast surgical oncology rotation during the surgery clerkship by improving anatomic knowledge and student confidence. The program can serve as a template for medical students, surgical clerkship directors, and other faculty interested in efficiently expanding surgical anatomy at their institution. Full article
(This article belongs to the Special Issue Prevention, Diagnosis, and Treatment of Breast Cancer)
Show Figures

Figure 1

Back to TopTop