Sign in to use this feature.

Years

Between: -

Subjects

remove_circle_outline
remove_circle_outline
remove_circle_outline
remove_circle_outline
remove_circle_outline
remove_circle_outline

Journals

Article Types

Countries / Regions

Search Results (42)

Search Parameters:
Keywords = differential-algebraic equations of motion

Order results
Result details
Results per page
Select all
Export citation of selected articles as:
15 pages, 596 KB  
Article
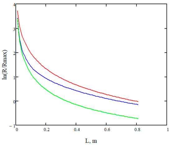
Secular Evolution of a Two-Planet System of Three Bodies with Variable Masses
by Alexander Prokopenya, Mukhtar Minglibayev and Aiken Kosherbayeva
Universe 2025, 11(10), 335; https://doi.org/10.3390/universe11100335 - 10 Oct 2025
Viewed by 423
Abstract
A classical three-body problem with two planets moving around a central star of variable mass on quasi-periodic orbits is considered. The bodies are assumed to attract each other according to Newton’s law of universal gravitation. The star loses its mass anisotropically, and this [...] Read more.
A classical three-body problem with two planets moving around a central star of variable mass on quasi-periodic orbits is considered. The bodies are assumed to attract each other according to Newton’s law of universal gravitation. The star loses its mass anisotropically, and this leads to the appearance of reactive forces. The problem is analyzed in the framework of Newtonian’s formalism, and equations of motion are derived in terms of the osculating elements of aperiodic motion on quasi-conic sections. As equations of motion are not integrable, the perturbation theory is applied with the perturbing forces expanded into power series in terms of eccentricities and inclinations, which are assumed to be small. Averaging these equations over the mean longitudes of the planets in the absence of mean-motion resonances, we obtain the differential equations describing the long-term evolution of orbital elements. Numerical solutions to the evolution equations are obtained and analyzed for three different three-body systems. The obtained results demonstrate clearly that variability of masses may influence essentially the secular evolution of the orbital elements. All the relevant symbolic and numerical calculations are performed with the computer algebra system Wolfram Mathematica. Full article
(This article belongs to the Section Gravitation)
Show Figures

Figure 1

19 pages, 1583 KB  
Article
Modeling, Validation, and Controllability Degradation Analysis of a 2(P-(2PRU–PRPR)-2R) Hybrid Parallel Mechanism Using Co-Simulation
by Qing Gu, Zeqi Wu, Yongquan Li, Huo Tao, Boyu Li and Wen Li
Dynamics 2025, 5(3), 30; https://doi.org/10.3390/dynamics5030030 - 11 Jul 2025
Viewed by 678
Abstract
This work systematically addresses the dual challenges of non-inertial dynamic coupling and kinematic constraint redundancy encountered in dynamic modeling of serial–parallel–serial hybrid robotic mechanisms, and proposes an improved Newton–Euler modeling method with constraint compensation. Taking the Skiing Simulation Platform with 6-DOF as the [...] Read more.
This work systematically addresses the dual challenges of non-inertial dynamic coupling and kinematic constraint redundancy encountered in dynamic modeling of serial–parallel–serial hybrid robotic mechanisms, and proposes an improved Newton–Euler modeling method with constraint compensation. Taking the Skiing Simulation Platform with 6-DOF as the research mechanism, the inverse kinematic model of the closed-chain mechanism is established through GF set theory, with explicit analytical expressions derived for the motion parameters of limb mass centers. Introducing a principal inertial coordinate system into the dynamics equations, a recursive algorithm incorporating force/moment coupling terms is developed. Numerical simulations reveal a 9.25% periodic deviation in joint moments using conventional methods. Through analysis of the mechanism’s intrinsic properties, it is identified that the lack of angular momentum conservation constraints on the end-effector in non-inertial frames leads to system controllability degradation. Accordingly, a constraint compensation strategy is proposed: establishing linearly independent differential algebraic equations supplemented with momentum/angular momentum balance equations for the end platform. Co-Simulation results demonstrate that the optimized model reduces the maximum relative error of actuator joint moments to 0.98%, and maintains numerical stability across the entire configuration space. The constraint compensation framework provides a universal solution for dynamics modeling of complex closed-chain mechanisms, validated through applications in flight simulators and automotive driving simulators. Full article
Show Figures

Figure 1

17 pages, 2390 KB  
Article
Surrogate Model of Hydraulic Actuator for Active Motion Compensation Hydraulic Crane
by Lin Xu, Hongyu Nie, Xiangyang Cheng, Qi Wei, Hongyu Chen and Jianfeng Tao
Electronics 2025, 14(13), 2678; https://doi.org/10.3390/electronics14132678 - 2 Jul 2025
Viewed by 920
Abstract
Offshore cranes equipped with active motion compensation (AMC) systems play a vital role in marine engineering tasks such as offshore wind turbine maintenance, subsea operations, and dynamic load positioning under wave-induced disturbances. These systems rely on complex hydraulic actuators whose strongly nonlinear dynamics—often [...] Read more.
Offshore cranes equipped with active motion compensation (AMC) systems play a vital role in marine engineering tasks such as offshore wind turbine maintenance, subsea operations, and dynamic load positioning under wave-induced disturbances. These systems rely on complex hydraulic actuators whose strongly nonlinear dynamics—often described by differential-algebraic equations (DAEs)—impose significant computational burdens, particularly in real-time applications like hardware-in-the-loop (HIL) simulation, digital twins, and model predictive control. To address this bottleneck, we propose a neural network-based surrogate model that approximates the actuator dynamics with high accuracy and low computational cost. By approximately reducing the original DAE model, we obtain a lower-dimensional ordinary differential equations (ODEs) representation, which serves as the foundation for training. The surrogate model includes three hidden layers, demonstrating strong fitting capabilities for the highly nonlinear characteristics of hydraulic systems. Bayesian regularization is adopted to train the surrogate model, effectively preventing overfitting. Simulation experiments verify that the surrogate model reduces the solving time by 95.33%, and the absolute pressure errors for chambers p1 and p2 are controlled within 0.1001 MPa and 0.0093 MPa, respectively. This efficient and scalable surrogate modeling framework possesses significant potential for integrating high-fidelity hydraulic actuator models into real-time digital and control systems for offshore applications. Full article
Show Figures

Figure 1

14 pages, 840 KB  
Article
Shifted Bernstein Polynomial-Based Dynamic Analysis for Variable Fractional Order Nonlinear Viscoelastic Bar
by Zhongze Li, Lixing Ma, Yiming Chen, Jingguo Qu, Yuhuan Cui and Lei Wang
Fractal Fract. 2025, 9(3), 192; https://doi.org/10.3390/fractalfract9030192 - 20 Mar 2025
Viewed by 845
Abstract
This study presents a shifted Bernstein polynomial-based method for numerically solving the variable fractional order control equation governing a viscoelastic bar. Initially, employing a variable order fractional constitutive relation alongside the equation of motion, the control equation for the viscoelastic bar is derived. [...] Read more.
This study presents a shifted Bernstein polynomial-based method for numerically solving the variable fractional order control equation governing a viscoelastic bar. Initially, employing a variable order fractional constitutive relation alongside the equation of motion, the control equation for the viscoelastic bar is derived. Shifted Bernstein polynomials serve as basis functions for approximating the bar’s displacement function, and the variable fractional derivative operator matrix is developed. Subsequently, the displacement control equation of the viscoelastic bar is transformed into the form of a matrix product. Substituting differential operators into the control equations, the control equations are discretized into algebraic equations by the method of matching points, which in turn allows the numerical solution of the displacement of the variable fractional viscoelastic bar control equation to be solved directly in the time domain. In addition, a convergence analysis is performed. Finally, algorithm precision and efficacy are confirmed via computation. Full article
Show Figures

Figure 1

15 pages, 646 KB  
Article
An Optimal Investment Decision Problem Under the HARA Utility Framework
by Aiyin Wang, Xiao Ji, Lu Zhang, Guodong Li and Wenjie Li
Symmetry 2025, 17(2), 311; https://doi.org/10.3390/sym17020311 - 19 Feb 2025
Cited by 1 | Viewed by 1098
Abstract
This paper is dedicated to studying the optimal investment proportions of three types of assets with symmetry, namely, risky assets, risk-free assets, and wealth management products, when the stochastic expenditure process follows a jump-diffusion model. The stochastic expenditure process is treated as an [...] Read more.
This paper is dedicated to studying the optimal investment proportions of three types of assets with symmetry, namely, risky assets, risk-free assets, and wealth management products, when the stochastic expenditure process follows a jump-diffusion model. The stochastic expenditure process is treated as an exogenous cash flow and is assumed to follow a stochastic differential process with jumps. Under the Cox–Ingersoll–Ross interest rate term structure, it is presumed that the prices of multiple risky assets evolve according to a multi-dimensional geometric Brownian motion. By employing stochastic control theory, the Hamilton–Jacobi–Bellman (HJB) equation for the household portfolio problem is formulated. Considering various risk-preference functions, particularly the Hyperbolic Absolute Risk Aversion (HARA) function, and given the algebraic form of the objective function through the terminal-value maximization condition, an explicit solution for the optimal investment strategy is derived. The findings indicate that when household investment behavior is characterized by random expenditures and symmetry, as the risk-free interest rate rises, the optimal proportion of investment in wealth-management products also increases, whereas the proportion of investment in risky assets continually declines. As the expected future expenditure increases, households will decrease their acquisition of risky assets, and the proportion of risky-asset purchases is sensitive to changes in the expectation of unexpected expenditures. Full article
(This article belongs to the Section Mathematics)
Show Figures

Figure 1

16 pages, 575 KB  
Article
Perturbation Methods in Solving the Problem of Two Bodies of Variable Masses with Application of Computer Algebra
by Alexander Prokopenya, Mukhtar Minglibayev and Aigerim Ibraimova
Appl. Sci. 2024, 14(24), 11669; https://doi.org/10.3390/app142411669 - 13 Dec 2024
Cited by 2 | Viewed by 1260
Abstract
The classical many-body problem is not integrable, so perturbation theory based on an exact solution to the two-body problem is usually applied to investigate the dynamics of planetary systems. However, in the case of variable masses, the two-body problem is not integrable, in [...] Read more.
The classical many-body problem is not integrable, so perturbation theory based on an exact solution to the two-body problem is usually applied to investigate the dynamics of planetary systems. However, in the case of variable masses, the two-body problem is not integrable, in general, and application of perturbation theory is required to investigate it, as well. In the present paper, we use the perturbation theory to derive the differential equations determining the orbital elements of the relative motion of one body around the other. Two models of the perturbed aperiodic motion on conic and quasi-conic sections are considered and compared. Special attention is paid to the practically important case of small eccentricities, when the perturbing forces may be replaced by the corresponding power series expansions. The differential equations of the perturbed motion are averaged over the mean anomaly, and the evolutionary equations describing the behavior of the orbital elements over long periods of time are obtained for two models. Comparing the corresponding solutions to the evolutionary equations, we have shown that both models demonstrate similar behavior with regard to the secular perturbations of the orbital elements. However, the second model, based on the aperiodic motion on a quasi-conic section, is more appropriate for generalization to the many-body problem with variable masses. All the relevant symbolic and numerical calculations are performed with the computer algebra system Wolfram Mathematica. Full article
Show Figures

Figure 1

40 pages, 59857 KB  
Article
Planning Speed Mode of All-Wheel Drive Autonomous Vehicles Considering Complete Constraint Set
by Maksym Diachuk and Said M. Easa
Vehicles 2024, 6(1), 191-230; https://doi.org/10.3390/vehicles6010008 - 12 Jan 2024
Cited by 2 | Viewed by 2112
Abstract
The study aims to improve the technique of motion planning for all-wheel drive (AWD) autonomous vehicles (AVs) by including torque vectoring (TV) models and extended physical constraints. Four schemes for realizing the TV drive were considered: with braking internal wheels, using a rear-axle [...] Read more.
The study aims to improve the technique of motion planning for all-wheel drive (AWD) autonomous vehicles (AVs) by including torque vectoring (TV) models and extended physical constraints. Four schemes for realizing the TV drive were considered: with braking internal wheels, using a rear-axle sport differential (SD), with braking front internal wheel and rear-axle SD, and with SDs on both axles. The mathematical model combines 2.5D vehicle dynamics model and a simplified drivetrain model with the self-locking central differential. The inverse approach implies optimizing the distribution of kinematic parameters by imposing a set of constraints. The optimization procedure uses the sequential quadratic programming (SQP) technique for the nonlinear constrained minimization. The Gaussian N-point quadrature scheme provides numerical integration. The distribution of control parameters (torque, braking moments, SDs’ friction moment) is performed by evaluating linear and nonlinear algebraic equations inside of optimization. The technique proposed demonstrates an essential difference between forecasts built with a pure kinematic model and those considering the vehicle’s drive/control features. Therefore, this approach contributes to the predictive accuracy and widening model properties by increasing the number of references, including for actuators and mechanisms. Full article
(This article belongs to the Topic Vehicle Dynamics and Control)
Show Figures

Figure 1

24 pages, 652 KB  
Article
Unraveling the Dynamics of Singular Stochastic Solitons in Stochastic Fractional Kuramoto–Sivashinsky Equation
by M. Mossa Al-Sawalha, Humaira Yasmin, Rasool Shah, Abdul Hamid Ganie and Khaled Moaddy
Fractal Fract. 2023, 7(10), 753; https://doi.org/10.3390/fractalfract7100753 - 12 Oct 2023
Cited by 19 | Viewed by 2002
Abstract
This work investigates the complex dynamics of the stochastic fractional Kuramoto–Sivashinsky equation (SFKSE) with conformable fractional derivatives. The research begins with the creation of singular stochastic soliton solutions utilizing the modified extended direct algebraic method (mEDAM). Comprehensive contour, 3D, and 2D visual representations [...] Read more.
This work investigates the complex dynamics of the stochastic fractional Kuramoto–Sivashinsky equation (SFKSE) with conformable fractional derivatives. The research begins with the creation of singular stochastic soliton solutions utilizing the modified extended direct algebraic method (mEDAM). Comprehensive contour, 3D, and 2D visual representations clearly depict the categorization of these stochastic soliton solutions as kink waves or shock waves, offering a clear description of these soliton behaviors within the context of the SFKSE framework. The paper also illustrates the flexibility of the transformation-based approach mEDAM for investigating soliton occurrence not only in SFKSE but also in a wide range of nonlinear fractional partial differential equations (FPDEs). Furthermore, the analysis considers the effect of noise, specifically Brownian motion, on soliton solutions and wave dynamics, revealing the significant influence of randomness on the propagation, generation, and stability of soliton in complex stochastic systems and advancing our understanding of extreme behaviors in scientific and engineering domains. Full article
(This article belongs to the Special Issue Fractional Diffusion, Multistability and Control in Complex Systems)
Show Figures

Figure 1

20 pages, 2879 KB  
Article
Investigating the Impact of Electrolyte Flow Velocity on the Resistivity of Vanadium Redox Batteries: A Theoretical Analysis and Experimental Data Comparison
by Roman Kislov, Zekharya Danin and Moshe Averbukh
Materials 2023, 16(13), 4845; https://doi.org/10.3390/ma16134845 - 5 Jul 2023
Viewed by 3336
Abstract
The influence of electrolyte velocity over the ion-exchange membrane surface on ion and vanadium redox batteries’ conductivity was formalized and quantified. The increase in electrolyte velocity dramatically improves proton conductivity, resulting in improved battery efficiency. An analysis of conductivity was carried out using [...] Read more.
The influence of electrolyte velocity over the ion-exchange membrane surface on ion and vanadium redox batteries’ conductivity was formalized and quantified. The increase in electrolyte velocity dramatically improves proton conductivity, resulting in improved battery efficiency. An analysis of conductivity was carried out using a math model considering diffusion and drift ion motion together with their mass transport. The model is represented by the system of partial differential together with algebraic equations describing the steady-state mode of dynamic behavior. The theoretical solution obtained was compared qualitatively with the experimental results that prove the correctness of the submitted math model describing the influence of the electrolyte flow on the resistance of the vanadium redox battery. The presented theoretical approach was employed to conduct a parametric analysis of flow batteries, aiming to estimate the impact of electrolyte velocity on the output characteristics of these batteries. Full article
Show Figures

Figure 1

19 pages, 2205 KB  
Review
Review of Quaternion Differential Equations: Historical Development, Applications, and Future Direction
by Alit Kartiwa, Asep K. Supriatna, Endang Rusyaman and Jumat Sulaiman
Axioms 2023, 12(5), 483; https://doi.org/10.3390/axioms12050483 - 16 May 2023
Cited by 7 | Viewed by 4690
Abstract
Quaternion is a four-dimensional and an extension of the complex number system. It is often viewed from various fields, such as analysis, algebra, and geometry. Several applications of quaternions are related to an object’s rotation and motion in three-dimensional space in the form [...] Read more.
Quaternion is a four-dimensional and an extension of the complex number system. It is often viewed from various fields, such as analysis, algebra, and geometry. Several applications of quaternions are related to an object’s rotation and motion in three-dimensional space in the form of a differential equation. In this paper, we do a systematic literature review on the development of quaternion differential equations. We utilize PRISMA (preferred reporting items for systematic review and meta-analyses) framework in the review process as well as content analysis. The expected result is a state-of-the-art and the gap of concepts or problems that still need to develop or answer. It was concluded that there are still some opportunities to develop a quaternion differential equation using a quaternion function domain. Full article
(This article belongs to the Special Issue Differential Equations and Related Topics)
Show Figures

Figure 1

16 pages, 789 KB  
Article
A Full-Body Relative Orbital Motion of Spacecraft Using Dual Tensor Algebra and Dual Quaternions
by Daniel Condurache
Mathematics 2023, 11(6), 1366; https://doi.org/10.3390/math11061366 - 11 Mar 2023
Cited by 1 | Viewed by 2110
Abstract
This paper proposes a new non-linear differential equation for the six degrees of freedom (6-DOF) relative rigid bodies motion. A representation theorem is provided for the 6-DOF differential equation of motion in the arbitrary non-inertial reference frame. The problem of the 6-DOF relative [...] Read more.
This paper proposes a new non-linear differential equation for the six degrees of freedom (6-DOF) relative rigid bodies motion. A representation theorem is provided for the 6-DOF differential equation of motion in the arbitrary non-inertial reference frame. The problem of the 6-DOF relative motion of two spacecraft in the specific case of Keplerian confocal orbits is proposed. The result is an analytical method without secular terms and singularities. Tensors dual algebra and dual quaternions play a fundamental role, with the solution representation being the relative problem. Furthermore, the representation theorems for the rotation and translation parts of the 6-DOF relative orbital motion problems are obtained. Full article
44 pages, 525 KB  
Article
Integrable Systems: In the Footprints of the Greats
by Velimir Jurdjevic
Mathematics 2023, 11(4), 1063; https://doi.org/10.3390/math11041063 - 20 Feb 2023
Cited by 3 | Viewed by 2384
Abstract
In his 1842 lectures on dynamics C.G. Jacobi summarized difficulties with differential equations by saying that the main problem in the integration of differential equations appears in the choice of right variables. Since there is no general rule for finding the right choice, [...] Read more.
In his 1842 lectures on dynamics C.G. Jacobi summarized difficulties with differential equations by saying that the main problem in the integration of differential equations appears in the choice of right variables. Since there is no general rule for finding the right choice, it is better to introduce special variables first, and then investigate the problems that naturally lend themselves to these variables. This paper follows Jacobi’s prophetic observations by introducing certain “meta” variational problems on semi-simple reductive groups G having a compact subgroup K. We then use the Maximum Principle of optimal control to generate the Hamiltonians whose solutions project onto the extremal curves of these problems. We show that there is a particular sub-class of these Hamiltonians that admit a spectral representation on the Lie algebra of G. As a consequence, the spectral invariants associated with the spectral curve produce a large number of integrals of motion, all in involution with each other, that often meet the Liouville complete integrability criteria. We then show that the classical integrals of motion associated, with the Kowalewski top, the two-body problem of Kepler, and Jacobi’s geodesic problem on the ellipsoid can be all derived from the aforementioned Hamiltonian systems. We also introduce a rolling geodesic problem that admits a spectral representation on symmetric Riemannian spaces and we then show the relevance of the corresponding integrals on the nature of the curves whose elastic energy is minimal. Full article
(This article belongs to the Special Issue Completely Integrable Equations: Algebraic Aspects and Applications)
10 pages, 270 KB  
Article
Gravitational Baryogenesis: Problems and Possible Resolution
by Elena Arbuzova, Alexander Dolgov, Koushik Dutta and Raghavan Rangarajan
Symmetry 2023, 15(2), 404; https://doi.org/10.3390/sym15020404 - 3 Feb 2023
Cited by 9 | Viewed by 1859
Abstract
The coupling of baryonic current to the derivative of the curvature scalar, R, inherent to gravitational baryogenesis (GBG), leads to a fourth-order differential equation of motion for R instead of the algebraic one of general relativity (GR). The fourth-order differential equation is [...] Read more.
The coupling of baryonic current to the derivative of the curvature scalar, R, inherent to gravitational baryogenesis (GBG), leads to a fourth-order differential equation of motion for R instead of the algebraic one of general relativity (GR). The fourth-order differential equation is generically unstable. We consider a possible mechanism of stabilization of GBG by the modification of gravity, introducing an R2 term into the canonical action of GR. It is shown that this mechanism allows for the stabilization of GBG with bosonic and fermionic baryon currents. We establish the region of the model parameters leading to the stabilization of R. Still, the standard cosmology would be noticeably modified. Full article
26 pages, 8804 KB  
Article
Free Vibration Characteristics of Bidirectional Graded Porous Plates with Elastic Foundations Using 2D-DQM
by Ammar Melaibari, Salwa A. Mohamed, Amr E. Assie, Rabab A. Shanab and Mohamed A. Eltaher
Mathematics 2023, 11(1), 46; https://doi.org/10.3390/math11010046 - 22 Dec 2022
Cited by 16 | Viewed by 1972
Abstract
This manuscript develops for the first time a mathematical formulation of the dynamical behavior of bi-directional functionally graded porous plates (BDFGPP) resting on a Winkler–Pasternak foundation using unified higher-order plate theories (UHOPT). The kinematic displacement fields are exploited to fulfill the null shear [...] Read more.
This manuscript develops for the first time a mathematical formulation of the dynamical behavior of bi-directional functionally graded porous plates (BDFGPP) resting on a Winkler–Pasternak foundation using unified higher-order plate theories (UHOPT). The kinematic displacement fields are exploited to fulfill the null shear strain/stress at the bottom and top surfaces of the plate without needing a shear factor correction. The bi-directional gradation of materials is proposed in the axial (x-axis) and transverse (z-axis) directions according to the power-law distribution function. The cosine function is employed to define the distribution of porosity through the transverse z-direction. Equations of motion in terms of displacements and associated boundary conditions are derived in detail using Hamilton’s principle. The two-dimensional differential integral quadrature method (2D-DIQM) is employed to transform partial differential equations of motion into a system of algebraic equations. Parametric analysis is performed to illustrate the effect of kinematic shear relations, gradation indices, porosity type, elastic foundations, geometrical dimensions, and boundary conditions (BCs) on natural frequencies and mode shapes of BDFGPP. The effect of the porosity coefficient on the natural frequency is dependent on the porosity type. The natural frequency is dependent on the coupling of gradation indices, boundary conditions, and shear distribution functions. The proposed model can be used in designing BDFGPP used in nuclear, marine, aerospace, and civil structures based on their topology and natural frequency constraints. Full article
(This article belongs to the Section E: Applied Mathematics)
Show Figures

Figure 1

20 pages, 5492 KB  
Article
Transient Response Sensitivity Analysis of Localized Nonlinear Structure Using Direct Differentiation Method
by Zhifu Cao, Jianyao Yao, Zichu Jia and Daosen Liang
Machines 2022, 10(11), 1039; https://doi.org/10.3390/machines10111039 - 7 Nov 2022
Cited by 1 | Viewed by 2103
Abstract
Based on the direct differentiation method, sensitivity analysis of transient responses with respect to local nonlinearity is developed in this paper. Solutions of nonlinear equations and time-domain integration are combined to compute the response sensitivities, which consist of three steps: firstly, the nonlinear [...] Read more.
Based on the direct differentiation method, sensitivity analysis of transient responses with respect to local nonlinearity is developed in this paper. Solutions of nonlinear equations and time-domain integration are combined to compute the response sensitivities, which consist of three steps: firstly, the nonlinear differential equations of motion are solved using Newton–Raphson iteration to obtain the transient response; secondly, the algebraic equations of the sensitivity are obtained by differentiating the incremental equation of motion with respect to nonlinear coefficients; thirdly, the nonlinear transient response sensitivities are determined using the Newmark-β integration in the interested time range. Three validation studies, including a Duffing oscillator, a nonlinear multiple-degrees-of-freedom (MDOF) system, and a cantilever beam with local nonlinearity, are adopted to illustrate the application of the proposed method. The comparisons among the finite difference method (FDM), the Poincaré method (PCM), the Lindstedt–Poincaré method (LPM), and the proposed method are conducted. The key factors, such as the parameter perturbation step size, the secular term, and the time step, are discussed to verify the accuracy and efficiency. Results show that parameter perturbation selection in the FDM sensitivity analysis is related to the nonlinear features depending on the initial condition; the consistency of the transient response sensitivity can be improved based on the accurate nonlinear response when a small time step is adopted in the proposed method. Full article
(This article belongs to the Section Machine Design and Theory)
Show Figures

Figure 1

Back to TopTop