Sign in to use this feature.

Years

Between: -

Subjects

remove_circle_outline
remove_circle_outline
remove_circle_outline
remove_circle_outline
remove_circle_outline
remove_circle_outline

Journals

Article Types

Countries / Regions

Search Results (17)

Search Parameters:
Keywords = desulfurization flux

Order results
Result details
Results per page
Select all
Export citation of selected articles as:
20 pages, 3162 KB  
Article
Study on Separation of Desulfurization Wastewater in Ship Exhaust Gas Cleaning System with Rotating Dynamic Filtration
by Shiyong Wang, Juan Wu, Yanlin Wu and Wenbo Dong
Membranes 2025, 15(7), 214; https://doi.org/10.3390/membranes15070214 - 18 Jul 2025
Cited by 2 | Viewed by 930
Abstract
Current treatment methods for desulfurization wastewater in the ship exhaust gas cleaning (EGC) system face several problems, including process complexity, unstable performance, large spatial requirements, and high energy consumption. This study investigates rotating dynamic filtration (RDF) as an efficient treatment approach through experimental [...] Read more.
Current treatment methods for desulfurization wastewater in the ship exhaust gas cleaning (EGC) system face several problems, including process complexity, unstable performance, large spatial requirements, and high energy consumption. This study investigates rotating dynamic filtration (RDF) as an efficient treatment approach through experimental testing, theoretical analysis, and pilot-scale validation. Flux increases with temperature and pressure but decreases with feed concentration, remaining unaffected by circulation flow. For a small membrane (152 mm), flux consistently increases with rotational speed across all pressures. For a large membrane (374 mm), flux increases with rotational speed at 300 kPa but firstly increases and then decreases at 100 kPa. Filtrate turbidity in all experiments complies with regulatory standards. Due to the unique hydrodynamic characteristics of RDF, back pressure reduces the effective transmembrane pressure, whereas shear force mitigates concentration polarization and cake layer formation. Separation performance is governed by the balance between these two forces. The specific energy consumption of RDF is only 10–30% that of cross-flow filtration (CFF). Under optimized pilot-scale conditions, the wastewater was concentrated 30-fold, with filtrate turbidity consistently below 2 NTU, outperforming CFF. Moreover, continuous operation proves more suitable for marine environments. Full article
(This article belongs to the Section Membrane Applications for Water Treatment)
Show Figures

Figure 1

17 pages, 5039 KB  
Article
Comparative Study on Pervaporation Performance of Polyphosphazene Membranes with Different Fluorine Side Groups for Thiophene/n-Heptane Separation
by Bingcong Xu, Xingmei Zhang, Wenwen He and Xiaolong Han
Polymers 2025, 17(11), 1573; https://doi.org/10.3390/polym17111573 - 5 Jun 2025
Viewed by 858
Abstract
In recent years, polyphosphazene (POP) membranes have been gaining more and more attention owing to their excellent pervaporation desulfurization performance. To develop new POP membranes, three kinds of POPs with different side groups, Poly[bis(trifluoroethoxy)phosphazene] (PTFEP), Poly[bis(trifluorobutoxy)phosphazene] (PTFBP), and Poly[bis(octafluoropentyloxy)phosphazene] (POFPP), were synthesized. The [...] Read more.
In recent years, polyphosphazene (POP) membranes have been gaining more and more attention owing to their excellent pervaporation desulfurization performance. To develop new POP membranes, three kinds of POPs with different side groups, Poly[bis(trifluoroethoxy)phosphazene] (PTFEP), Poly[bis(trifluorobutoxy)phosphazene] (PTFBP), and Poly[bis(octafluoropentyloxy)phosphazene] (POFPP), were synthesized. The NMR spectroscopy demonstrated that POPs with a designed structure were successfully prepared. Subsequently, the composite membranes based on these POPs were fabricated by solution casting. The influence of side groups on the desulfurization performance of membranes was systematically evaluated via a pervaporation test. Among these membranes, the PTFBP membrane exhibited the highest separation efficiency, significantly outperforming other membrane types with a permeation flux of 0.284 kg·m−2·h−1 at 200 ppm and 85 °C, along with a sulfur enrichment factor of 26.48. In addition, the effects of temperature and feed concentration on separation performance were investigated in detail. Full article
(This article belongs to the Special Issue Polymer Membranes for Gas and Liquid Filtration Techniques)
Show Figures

Figure 1

20 pages, 2914 KB  
Article
Flue Gas Desulfurization in a Fixed-Bed Reactor: Mild-Condition Uptake Through Different Adsorbent Materials
by Maura Mancinelli, Elena Spagnoli, Francesco Di Benedetto, Vito Cristino, Matteo Valt, Giordano Montegrossi, Luca Barion, Lia Vanzetti, Andrea Gaiardo, Gabriele Vola, Mattia Massa, Annalisa Martucci, Sandro Gherardi and Matteo Ardit
Appl. Sci. 2024, 14(23), 11364; https://doi.org/10.3390/app142311364 - 5 Dec 2024
Cited by 1 | Viewed by 2602
Abstract
In quest of a substantial reduction in potentially toxic gas emissions into the air from industrial plants, dry flue gas desulfurization (FGD) systems offer several advantages, such as reduced operational costs, adaptability, ease of use, and the elimination of liquid waste. This study [...] Read more.
In quest of a substantial reduction in potentially toxic gas emissions into the air from industrial plants, dry flue gas desulfurization (FGD) systems offer several advantages, such as reduced operational costs, adaptability, ease of use, and the elimination of liquid waste. This study describes the development of a laboratory-scale pilot system for conducting SO2 abatement experiments using a fixed-bed reactor. To validate the experimental setup, the reactor was equipped with a control system for measuring and monitoring relative humidity, temperature, and total flux composition. The study utilized two standards, slaked lime and 13X zeolite, under identical experimental conditions to ensure comparability. This research will significantly advance the understanding of adsorbent materials for capturing low SO2 concentrations by measuring adsorption kinetics and equilibrium data. The findings highlight the impact of distinct morphological, chemical, and crystallographic properties on the efficiency of dry FGD systems. Full article
Show Figures

Figure 1

13 pages, 2554 KB  
Article
Separation of Chloride and Sulfate Ions from Desulfurization Wastewater Using Monovalent Anions Selective Electrodialysis
by Xufeng Tian, Dongbei Yue, Tao Hou, Fuyuan Xiao, Zhiping Wang and Weibin Cai
Membranes 2024, 14(4), 73; https://doi.org/10.3390/membranes14040073 - 25 Mar 2024
Cited by 6 | Viewed by 4219
Abstract
The high concentration of chloride ions in desulphurization wastewater is the primary limiting factor for its reusability. Monovalent anion selective electrodialysis (S-ED) enables the selective removal of chloride ions, thereby facilitating the reuse of desulfurization wastewater. In this study, different concentrations of NaCl [...] Read more.
The high concentration of chloride ions in desulphurization wastewater is the primary limiting factor for its reusability. Monovalent anion selective electrodialysis (S-ED) enables the selective removal of chloride ions, thereby facilitating the reuse of desulfurization wastewater. In this study, different concentrations of NaCl and Na2SO4 were used to simulate different softened desulfurization wastewater. The effects of current density and NaCl and Na2SO4 concentration on ion flux, permselectivity (PSO42Cl) and specific energy consumption were studied. The results show that Selemion ASA membrane exhibits excellent permselectivity for Cl and SO42−, with a significantly lower flux observed for SO42− compared to Cl. Current density exerts a significant influence on ion flux; as the current density increases, the flux of SO42− also increases but at a lower rate than that of Cl, resulting in an increase in permselectivity. When the current density reaches 25 mA/cm2, the permselectivity reaches a maximum of 50.4. The increase in NaCl concentration leads to a decrease in the SO42− flux; however, the permselectivity is reduced due to the elevated Cl/SO42− ratio. The SO42− flux increases with the increase in Na2SO4 concentration, while the permselectivity increases with the decrease in Cl/SO42− ratio. Full article
(This article belongs to the Section Membrane Applications)
Show Figures

Figure 1

12 pages, 3710 KB  
Article
Preparation and Performance of Ultra-Fine High Activity Composite Micronized Powder from Multi-Solid Waste
by Penghuai Wang, Yang Ming, Ping Chen, Dengke Huang, Qiyang Zhu, Hao Ren and Xinheng Li
Appl. Sci. 2023, 13(24), 13155; https://doi.org/10.3390/app132413155 - 11 Dec 2023
Cited by 1 | Viewed by 1542
Abstract
The composite micronized powder is prepared by using blast furnace slag (BFS), water-quenched manganese slag (WQMS), manganese tailing slag (MTS) and desulfurization gypsum (DG) and grinding aid (GA) through orthogonal test optimization design. The effect of the doping amount of each solid waste [...] Read more.
The composite micronized powder is prepared by using blast furnace slag (BFS), water-quenched manganese slag (WQMS), manganese tailing slag (MTS) and desulfurization gypsum (DG) and grinding aid (GA) through orthogonal test optimization design. The effect of the doping amount of each solid waste on the fluidity, activity at different ages and resistance to chloride ion penetration of the composite micropowder was studied systematically, and the exothermic characteristics of hydration of the composite micropowder with the optimal ratio were tested. The results showed that the amount of MTS dosing was the most significant factor among the four factors on the activity index of composite micronized powder at 7 d and 28 d. The activity index at 28 d decreased and then increased with the increase in MTS dosing; the amount of BFS dosing was the most significant factor affecting the fluidity and chloride ion permeation resistance of composite micronized powder. With an increase in BFS dosing, the fluidity ratio of composite micronized powder increased and then decreased; the electric flux of the matrix decreased, and the chloride ion permeation resistance increased. The optimal ratio of composite powder with the highest 28 d activity is 35% BFS, 30% MTS, 0.3% GA, 5% DG and 30% WQMS. The hydration rate and cumulative heat release of the slurry prepared with the optimal ratio of composite micronized powder to cement (1:1) are lower than those of pure cement slurry. The microstructure of the mortar test block prepared with a 1:1 composite of cement is more compact than that of the pure cement mortar test block, and the pores are fewer. Full article
Show Figures

Figure 1

15 pages, 5526 KB  
Article
Enhanced Desulfurization Performance of ZIF−8/PEG MMMs: Effect of ZIF−8 Particle Size
by Xia Zhan, Kaixiang Gao, Yucheng Jia, Wen Deng, Ning Liu, Xuebin Guo, Hehe Li and Jiding Li
Membranes 2023, 13(5), 515; https://doi.org/10.3390/membranes13050515 - 15 May 2023
Cited by 13 | Viewed by 3943
Abstract
Constructing efficient and continuous transport pathways in membranes is a promising and challenging way to achieve the desired performance in the pervaporation process. The incorporation of various metal–organic frameworks (MOFs) into polymer membranes provided selective and fast transport channels and enhanced the separation [...] Read more.
Constructing efficient and continuous transport pathways in membranes is a promising and challenging way to achieve the desired performance in the pervaporation process. The incorporation of various metal–organic frameworks (MOFs) into polymer membranes provided selective and fast transport channels and enhanced the separation performance of polymeric membranes. Particle size and surface properties are strongly related to the random distribution and possible agglomeration of MOFs particles, which may lead to poor connectivity between adjacent MOFs-based nanoparticles and result in low-efficiency molecular transport in the membrane. In this work, ZIF−8 particles with different particle sizes were physically filled into PEG to fabricate mixed matrix membranes (MMMs) for desulfurization via pervaporation. The micro-structures and physi-/chemical properties of different ZIF−8 particles, along with their corresponding MMMs, were systematically characterized by SEM, FT-IR, XRD, BET, etc. It was found that ZIF−8 with different particle sizes showed similar crystalline structures and surface areas, while larger ZIF−8 particles possessed more micro-pores and fewer meso-/macro-pores than did the smaller particles. ZIF−8 showed preferential adsorption for thiophene rather than n−heptane molecules, and the diffusion coefficient of thiophene was larger than that of thiophene in ZIF−8, based on molecular simulation. PEG MMMs with larger ZIF−8 particles showed a higher sulfur enrichment factor, but a lower permeation flux than that found with smaller particles. This might be ascribed to the fact that larger ZIF−8 particles provided more and longer selective transport channels in one single particle. Moreover, the number of ZIF−8−L particles in MMMs was smaller than the number of smaller ones with the same particle loading, which might weaken the connectivity between adjacent ZIF−8−L nanoparticles and result in low-efficiency molecular transport in the membrane. Moreover, the surface area available for mass transport was smaller for MMMs with ZIF−8−L particles due to the smaller specific surface area of the ZIF−8−L particles, which might also result in lower permeability in ZIF−8−L/PEG MMMs. The ZIF−8−L/PEG MMMs exhibited enhanced pervaporation performance, with a sulfur enrichment factor of 22.5 and a permeation flux of 183.2 g/(m−2·h−1), increasing by 57% and 389% compared with the results for pure PEG membrane, respectively. The effects of ZIF−8 loading, feed temperature, and concentration on desulfurization performance were also studied. This work might provide some new insights into the effect of particle size on desulfurization performance and the transport mechanism in MMMs. Full article
(This article belongs to the Special Issue Development and Application of Membrane Separation Processes)
Show Figures

Figure 1

15 pages, 2676 KB  
Article
Effects of Cover Crops and Soil Amendments on Soil CO2 Flux in a Mississippi Corn Cropping System on Upland Soil
by Jing Hu, Dana M. Miles, Ardeshir Adeli, John P. Brooks, Frances A. Podrebarac, Renotta Smith, Fangni Lei, Xiaofei Li, Johnie N. Jenkins and Robert J. Moorhead
Environments 2023, 10(2), 19; https://doi.org/10.3390/environments10020019 - 26 Jan 2023
Cited by 13 | Viewed by 4928
Abstract
Agroecosystems, accounting for more than one-third of arable land worldwide, play an essential role in the terrestrial carbon (C) cycle. The development of agricultural practices, which maximize soil C sequestration from the atmosphere, is receiving growing attention due to the recognition of agroecosystems’ [...] Read more.
Agroecosystems, accounting for more than one-third of arable land worldwide, play an essential role in the terrestrial carbon (C) cycle. The development of agricultural practices, which maximize soil C sequestration from the atmosphere, is receiving growing attention due to the recognition of agroecosystems’ great potential to serve as sinks of atmospheric carbon dioxide (CO2). In particular, cover crop and soil amendment applications are generating much interest in mitigating climate change and enhancing agricultural ecosystem services. The objective of this study was to evaluate the effects of winter cover crop and soil amendments, including broiler litter (BL), flue gas desulfurization (FGD) gypsum and lignite, on soil CO2 flux from cropping systems in southeastern USA, where related studies were limited. A field study was conducted from 2019 to 2021 in a Mississippi upland corn cropping system with measurements of soil CO2 flux, moisture and temperature during cash crop growing seasons. We observed high temporal variability in soil CO2 flux with flux peaks between late June and early July, which is likely due to the temporal changes in soil moisture. A significant increase in soil CO2 flux was found with BL application (p < 0.05). Co-application of FGD gypsum and lignite with BL-reduced soil CO2 flux by 15–23% but did not fully eliminate the rising effects. Significantly higher soil CO2 flux and lower soil temperature were observed from fields with cover crops than those without cover crops in the third year of this study (p < 0.05), which is likely attributed to the higher organic C content accumulated in soil with cover crops. Future research should assess year-round soil greenhouse gas fluxes in both cash crop and cover crop growing seasons using a high temporal resolution measurement scheme. Full article
(This article belongs to the Special Issue Soil Organic Carbon Assessment)
Show Figures

Figure 1

26 pages, 7683 KB  
Article
Cascading Crypthecodinium cohnii Biorefinery: Global Warming Potential and Techno-Economic Assessment
by Carla Silva, Patricia Moniz, Ana Cristina Oliveira, Samuela Vercelli, Alberto Reis and Teresa Lopes da Silva
Energies 2022, 15(10), 3784; https://doi.org/10.3390/en15103784 - 20 May 2022
Cited by 9 | Viewed by 3343
Abstract
Prior to the commissioning of a new industrial biorefinery it is deemed necessary to evaluate if the new project will be beneficial or detrimental to climate change, one of the main drivers for the sustainable development goals (SDG) of the United Nations. In [...] Read more.
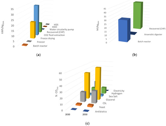
Prior to the commissioning of a new industrial biorefinery it is deemed necessary to evaluate if the new project will be beneficial or detrimental to climate change, one of the main drivers for the sustainable development goals (SDG) of the United Nations. In particular, how SDG 7, Clean and Efficient Energy, SDG 3, Good Health and Well Being, SDG 9, Industry Innovation and Infrastructure, and SDG 12, Responsible Production and Consumption, would engage in a new biorefinery design, beneficial to climate change, i.e., fostering SDG 13, Climate Action. This study uses life cycle assessment methodology (LCA) to delve in detail into the Global Warming Impact category, project scenario GHG savings, using a conventional and a dynamic emission flux approach until 2060 (30-year lifetime). Water, heat and electricity circularity are in place by using a water recirculation process and a combined heat and power unit (CHP). A new historical approach to derive low and higher-end commodity prices (chemicals, electricity, heat, jet/maritime fuel, DHA, N-fertilizer) is used for the calculation of the economic indicators: Return of investment (ROI) and inflation-adjusted return (IAR), based upon the consumer price index (CPI). Main conclusions are: supercritical fluid extraction is the hotspot of energy consumption; C. cohnii bio-oil without DHA has higher sulfur concentration than crude oil based jet fuel requiring desulfurization, however the sulfur levels are compatible with maritime fuels; starting its operation in 2030, by 2100 an overall GHG savings of 73% (conventional LCA approach) or 85% (dynamic LCA approach) is projected; economic feasibility for oil productivity and content of 0.14 g/L/h and 27% (w/w) oil content, respectively (of which 31% is DHA), occurs for DHA-cost 100 times higher than reference fish oil based DHA; however future genetic engineering achieving 0.4 g/L/h and 70% (w/w) oil content (of which 31% is DHA), reduces the threshold to 20 times higher cost than reference fish oil based DHA; N-fertilizer, district heating and jet fuel may have similar values then their fossil counterparts. Full article
Show Figures

Graphical abstract

13 pages, 3215 KB  
Article
Reverse Osmosis Membrane Combined with Ultrasonic Cleaning for Flue Gas Desulfurization Wastewater Treatment
by Xingyu Chen, Tianxin Li, Xiaomin Dou, Linglong Meng and Shuiyang Xu
Water 2022, 14(6), 875; https://doi.org/10.3390/w14060875 - 11 Mar 2022
Cited by 16 | Viewed by 6927
Abstract
Flue gas desulfurization (FGD) wastewater treatment is currently of interest, as stringent standards have been released in order to limit the pollution emissions from the energy industry, and concerns about water scarcity are also increasing. Reverse osmosis (RO) membrane is a promising alternative [...] Read more.
Flue gas desulfurization (FGD) wastewater treatment is currently of interest, as stringent standards have been released in order to limit the pollution emissions from the energy industry, and concerns about water scarcity are also increasing. Reverse osmosis (RO) membrane is a promising alternative for highly efficient FGD wastewater treatment. However, membrane fouling strongly limits its application. This study developed a suitable treatment system by combining RO membrane with ultrasonic cleaning. The introduction of low-frequency and high-intensity ultrasonic cleaning improved the cleaning efficiency of membrane fouling, as the permeate flux recovered 49% of the reduced value within 10 min of cleaning. The lifespan of the membrane was also extended, as the time of permeate flux declined to the same level, increasing from 2 h to 4 h after ultrasonic cleaning. The effluent of the system could meet the standard of desulfurization wastewater treatment. The treatment system is feasible for FGD wastewater treatment at a laboratory scale. These findings proved that the combination of RO membrane and ultrasonic cleaning could be applied to FGD wastewater treatment. The study provided an efficient, cost-saving, and convenient way to develop the FGD wastewater treatment system. Full article
(This article belongs to the Section Wastewater Treatment and Reuse)
Show Figures

Figure 1

13 pages, 3585 KB  
Article
Flue Gas Desulfurization (FGD) Wastewater Treatment Using Polybenzimidazole (PBI) Hollow Fiber (HF) Membranes
by Michael Dean Wales, Eminet Gebremichael, Xiao Wang, Elisabeth Perea, Palitha Jayaweera and Indira Jayaweera
Membranes 2021, 11(6), 430; https://doi.org/10.3390/membranes11060430 - 5 Jun 2021
Cited by 11 | Viewed by 6851
Abstract
Polybenzimidazole (PBI) hollow fiber membranes were used to treat flue gas desulfurization (FGD) wastewater (WW) from a coal fired power plant. Membranes were tested using both single salt solutions and real FGD WW. The PBI membranes showed >99% rejection for single salt solutions [...] Read more.
Polybenzimidazole (PBI) hollow fiber membranes were used to treat flue gas desulfurization (FGD) wastewater (WW) from a coal fired power plant. Membranes were tested using both single salt solutions and real FGD WW. The PBI membranes showed >99% rejection for single salt solutions of NaCl, MgCl2, CaSO4, and CaCl2 at approximately 2000 PPM (parts per million). The membranes also showed >97% rejection for FGD WW concentrations ranging from 6900 to 14,400 PPM total dissolved solids (TDS). The pH of the FGD WW was adjusted between 3.97–8.20, and there was an optimal pH between 5.31 and 7.80 where %rejection reached a maximum of >99%. The membranes were able to operate stably up to 50 °C, nearly doubling the water flux as compared to room temperature, and while maintaining >98% salt rejection. Full article
(This article belongs to the Section Membrane Applications)
Show Figures

Figure 1

14 pages, 5166 KB  
Article
Improved Desulfurization Performance of Polyethyleneglycol Membrane by Incorporating Metal Organic Framework CuBTC
by Caibin Cai, Xiaotao Fan, Xiaolong Han, Jiding Li and Harsh Vardhan
Polymers 2020, 12(2), 414; https://doi.org/10.3390/polym12020414 - 11 Feb 2020
Cited by 26 | Viewed by 3936
Abstract
In this paper, copper benzene-1,3,5-tricarboxylate (CuBTC) was incorporated into polyethylenglyol (PEG) to prepare a mixed matrix membrane (MMM) for pervaporation desulfurization. The characterization results showed that the prepared CuBTC particles had an ideal octahedral shape and micropores. The Cu2+ in CuBTC interacts [...] Read more.
In this paper, copper benzene-1,3,5-tricarboxylate (CuBTC) was incorporated into polyethylenglyol (PEG) to prepare a mixed matrix membrane (MMM) for pervaporation desulfurization. The characterization results showed that the prepared CuBTC particles had an ideal octahedral shape and micropores. The Cu2+ in CuBTC interacts with thiophene via π-complexation, thus enhancing the separation performance of the hybrid membranes. The effect of CuBTC content and the operating condition on the pervaporation performance of the MMMs was investigated. An optimal pervaporation separation performance was acquired with a permeation flux of 2.21 kg/(m2·h) and an enrichment factor of 8.79, which were increased by 100% and 39% compared with the pristine PEG membrane. Moreover, the CuBTC-filled PEG membrane showed a good stability in the long-term desulfurization under a high operating temperature of 75 °C for five days. Full article
(This article belongs to the Special Issue Polymeric Membrane Materials for Separation Liquid and Gas Mixtures)
Show Figures

Graphical abstract

16 pages, 4095 KB  
Article
Mechanical Vibration for the Control of Membrane Fouling in Direct Contact Membrane Distillation
by Frank Y.C. Huang, Carolyn Medin and Allie Arning
Symmetry 2019, 11(2), 126; https://doi.org/10.3390/sym11020126 - 22 Jan 2019
Cited by 13 | Viewed by 5295
Abstract
One of the biggest challenges for direct contact membrane distillation (DCMD) in treating wastewater from flue gas desulfurization (FGD) is the rapid deterioration of membrane performance resulting from precipitate fouling. Chemical pretreatment, such as lime-soda ash softening, has been used to mitigate the [...] Read more.
One of the biggest challenges for direct contact membrane distillation (DCMD) in treating wastewater from flue gas desulfurization (FGD) is the rapid deterioration of membrane performance resulting from precipitate fouling. Chemical pretreatment, such as lime-soda ash softening, has been used to mitigate the issue, however, with significant operating costs. In this study, mechanical vibration of 42.5 Hz was applied to lab-scale DCMD systems to determine its effectiveness of fouling control for simulated FGD water. Liquid entry pressure and mass transfer limit of the fabricated hollow fiber membranes were determined and used as the operational constraints in the fouling experiments so that the observed membrane performance was influenced solely by precipitate fouling. Minimal improvement of water flux was observed when applying vibration after significant (~16%) water-flux decline. Initiating vibration at the onset of the experiments prior to the exposure of foulants, however, was promising for the reduction of membrane fouling. The water-flux decline rate was reduced by about 50% when compared to the rate observed without vibration. Increasing the module packing density from 16% to 50% resulted in a similar rate of water-flux decline, indicating that the fouling propensity was not increased with packing density in the presence of vibration. Full article
(This article belongs to the Special Issue Asymmetric Membranes)
Show Figures

Figure 1

27 pages, 3444 KB  
Article
A Further Evaluation of the Coupling Relationship between Dephosphorization and Desulfurization Abilities or Potentials for CaO-based Slags: Influence of Slag Chemical Composition
by Xue-min Yang, Jin-yan Li, Meng Zhang, Fang-jia Yan, Dong-ping Duan and Jian Zhang
Metals 2018, 8(12), 1083; https://doi.org/10.3390/met8121083 - 19 Dec 2018
Cited by 12 | Viewed by 3803
Abstract
The coupling relationships between dephosphorization and desulfurization abilities or potentials for CaO–FeO–Fe2O3–Al2O3–P2O5 slags over a large variation range of slag oxidization ability during the secondary refining process of molten steel have been [...] Read more.
The coupling relationships between dephosphorization and desulfurization abilities or potentials for CaO–FeO–Fe2O3–Al2O3–P2O5 slags over a large variation range of slag oxidization ability during the secondary refining process of molten steel have been proposed by the present authors as log L P + 5 log L S or log C PO 4 3 + log C S 2 in the reducing zone and as log L P + log L S 5 log N Fe t O or log C PO 4 3 + log C S 2 log N FeO in the oxidizing zone based on the ion and molecule coexistence theory (IMCT). In order to further verify the validation and feasibility of the proposed coupling relationships, the effects of chemical composition of the CaO-based slags are provided. The chemical composition of slags was described by three group parameters including reaction abilities of components represented by the mass action concentrations N i , two kinds of slag basicity as simplified complex basicity ( %   CaO ) / [ ( %   P 2 O 5 ) + ( %   Al 2 O 3 ) ] and optical basicity Λ , and the comprehensive effect of iron oxides FetO and basic oxide CaO. Comparing with the strong effects of chemical composition of the CaO-based slags on dephosphorization and desulfurization abilities or potentials, the proposed coupling relationships have been confirmed to not only be independent of slag oxidization ability as expected but also irrelevant to the aforementioned three groups of parameters for representing the chemical composition of the CaO-based slags. Increasing temperature from 1811 to 1927 K (1538 to 1654 °C) can result in a decreasing tendency of the proposed coupling relationships. In terms of the proposed coupling relationships, chemical composition of slags or fluxes with assigned dephosphorization ability or potential can be theoretically designed or optimized from its desulfurization ability or potential, and vice versa. Considering the large difference of magnitude between phosphate capacity C PO 4 3 and sulfide capacity C S 2 , the proposed coupling relationships between dephosphorization and desulfurization abilities for CaO-based slags are recommended to design or optimize chemical composition of slags. Full article
(This article belongs to the Special Issue Ironmaking and Steelmaking)
Show Figures

Figure 1

11 pages, 6032 KB  
Article
Distribution Ratio of Sulfur between CaO-SiO2-Al2O3-Na2O-TiO2 Slag and Carbon-Saturated Iron
by Kanghui Zhang, Yanling Zhang and Tuo Wu
Metals 2018, 8(12), 1068; https://doi.org/10.3390/met8121068 - 15 Dec 2018
Cited by 7 | Viewed by 5501
Abstract
To explore the feasibility of hot metal desulfurization using red mud, the sulfur distribution ratio (LS) between CaO-SiO2-Al2O3-Na2O-TiO2 slag and carbon-saturated iron is evaluated in this paper. First, the theoretical liquid [...] Read more.
To explore the feasibility of hot metal desulfurization using red mud, the sulfur distribution ratio (LS) between CaO-SiO2-Al2O3-Na2O-TiO2 slag and carbon-saturated iron is evaluated in this paper. First, the theoretical liquid areas of the CaO-SiO2-Al2O3 (-Na2O-TiO2) slag are discussed and the fluxing effects of Al2O3, Na2O, and TiO2 are confirmed. Then, LS is measured via slag-metal equilibrium experiments. The experimental results show that LS significantly increases with the increase of temperature, basicity, and Na2O content, whereas it decreases with the increase of Al2O3 and TiO2 content. Na2O in the slag will volatilize with high temperatures and reducing conditions. Furthermore, based on experimental data for the sulfur distribution ratio between CaO-SiO2-Al2O3-Na2O-TiO2 slag and the carbon-saturated iron, the following fitting formula is obtained: log L S = 45.584 Λ + 10568.406 17184.041 Λ T 8.529 Full article
(This article belongs to the Special Issue Ironmaking and Steelmaking)
Show Figures

Figure 1

12 pages, 2669 KB  
Article
Treatment of Flue Gas Desulfurization Wastewater by an Integrated Membrane-Based Process for Approaching Zero Liquid Discharge
by Carmela Conidi, Francesca Macedonio, Aamer Ali, Alfredo Cassano, Alessandra Criscuoli, Pietro Argurio and Enrico Drioli
Membranes 2018, 8(4), 117; https://doi.org/10.3390/membranes8040117 - 26 Nov 2018
Cited by 49 | Viewed by 6768
Abstract
An integrated membrane process for the treatment of wastewaters from a flue gas desulfurization (FGD) plant was implemented on a laboratory scale to reduce their salt content and to produce a water stream to be recycled in the power industry. The process is [...] Read more.
An integrated membrane process for the treatment of wastewaters from a flue gas desulfurization (FGD) plant was implemented on a laboratory scale to reduce their salt content and to produce a water stream to be recycled in the power industry. The process is based on a preliminary pretreatment of FGD wastewaters, which includes chemical softening and ultrafiltration (UF) to remove Ca2+ and Mg2+ ions as well as organic compounds. The pretreated wastewaters were submitted to a reverse osmosis (RO) step to separate salts from water. The RO retentate was finally submitted to a membrane distillation (MD) step to extract more water, thus increasing the total water recovery factor while producing a high-purity permeate stream. The performance of RO and MD membranes was evaluated by calculating salts rejection, permeate flux, fouling index, and water recovery. The investigated integrated system allowed a total recovery factor of about 94% to be reached, with a consequent reduction of the volume of FGD wastewater to be disposed, and an MD permeate stream with an electrical conductivity of 80 μS/cm, able to be reused in the power plant, with a saving in fresh water demand. Full article
(This article belongs to the Special Issue Membrane Distillation Process)
Show Figures

Graphical abstract

Back to TopTop