Sign in to use this feature.

Years

Between: -

Subjects

remove_circle_outline
remove_circle_outline
remove_circle_outline
remove_circle_outline
remove_circle_outline
remove_circle_outline
remove_circle_outline
remove_circle_outline
remove_circle_outline

Journals

Article Types

Countries / Regions

Search Results (47)

Search Parameters:
Keywords = depthmap

Order results
Result details
Results per page
Select all
Export citation of selected articles as:
26 pages, 4335 KB  
Article
Effects of Station-Area Built Environment on Metro Ridership: The Role of Spatial Synergy
by Shiyun Luo, Yuluo Chen, Lina Yu, Yibin Zhang, Xuefeng Li, Sen Lin and Li Jiang
Sustainability 2025, 17(24), 11126; https://doi.org/10.3390/su172411126 - 11 Dec 2025
Viewed by 620
Abstract
Evaluating transit-oriented development (TOD) efficiency in metro station areas remains challenging, as the traditional “Node–Place” model gives limited consideration to guiding factors and struggles to account for inter-regional flows under spatial heterogeneity. To address these limitations, this study develops an enhanced “Node–Place–Accessibility” model [...] Read more.
Evaluating transit-oriented development (TOD) efficiency in metro station areas remains challenging, as the traditional “Node–Place” model gives limited consideration to guiding factors and struggles to account for inter-regional flows under spatial heterogeneity. To address these limitations, this study develops an enhanced “Node–Place–Accessibility” model by introducing an accessibility dimension to better capture station-level connectivity and walkability. DepthmapX and a convex space approach were applied to quantify station-area accessibility, reflecting passengers’ perceived spatial distance during transfers. The model establishes a TOD measurement framework based on spatial coupling and functional connectivity, enabling the identification of factors influencing metro ridership across different spatial scales. Moran’s I was employed to describe spatial agglomeration and a local spatial clustering method integrating both passenger flow and built-environment (BE) characteristics was constructed to reveal differentiated spatial patterns. The Multiscale Geographically Weighted Regression (MGWR) model was further employed to quantify the spatially varying impacts of BE factors on ridership. Results indicate that the improved model provides stronger discriminative power in identifying “balanced stations,” and that BE conditions exert significant impact on metro ridership, particularly in areas with strong coordination among TOD components. Among the BE dimensions, design granularity exerts a more substantial impact on ridership than connectivity, density, and accessibility. This methodology provides large cities with a reliable tool for formulating targeted strategies that promote positive interactions between transportation and land use, thereby supporting sustainable urban development. Full article
(This article belongs to the Section Sustainable Transportation)
Show Figures

Figure 1

27 pages, 7680 KB  
Article
Walking and Time! The Style of Walkability in Urmia Old Town
by Momen Foadmarashi, Farnaz Eskandari and Francisco Serdoura
Sustainability 2025, 17(23), 10758; https://doi.org/10.3390/su172310758 - 1 Dec 2025
Viewed by 509
Abstract
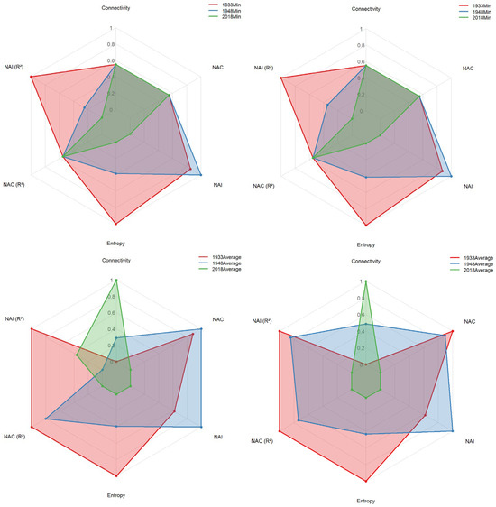
This paper analyzes the spatial evolution and walkability of Urmia’s historic Bazaar, applying Space Syntax theory to support heritage-sensitive urban planning. Three temporal configurations (1933, 1948, 2018) were reconstructed from georeferenced maps and field surveys and analyzed in Depthmap X version 0.8.0 using [...] Read more.
This paper analyzes the spatial evolution and walkability of Urmia’s historic Bazaar, applying Space Syntax theory to support heritage-sensitive urban planning. Three temporal configurations (1933, 1948, 2018) were reconstructed from georeferenced maps and field surveys and analyzed in Depthmap X version 0.8.0 using syntactic measures (NAC, NAI, Entropy, Intelligibility). The results indicate that modernization expanded network connectivity and introduced linear patterns, yet the Bazaar continues to function as the primary configurational hub driving socio-economic interaction. The findings empirically reinforce natural movement theory and offer practical guidance for planning strategies that enhance spatial permeability while sustaining historic fabric integrity and cultural continuity. Full article
Show Figures

Figure 1

40 pages, 15408 KB  
Article
A Computational BIM-Based Spatial Analysis Method for the Evaluation of Emergency Department Layouts
by Aysegul Ozlem Bayraktar Sari and Wassim Jabi
Buildings 2025, 15(21), 3818; https://doi.org/10.3390/buildings15213818 - 22 Oct 2025
Viewed by 1297
Abstract
This paper introduces a novel BIM-based computational workflow that embeds spatial analysis directly within the Building Information Modelling (BIM) environment to support the evaluation and design of hospital emergency department (ED) layouts. Conventional analyses often depend on external software and repeated data exchange, [...] Read more.
This paper introduces a novel BIM-based computational workflow that embeds spatial analysis directly within the Building Information Modelling (BIM) environment to support the evaluation and design of hospital emergency department (ED) layouts. Conventional analyses often depend on external software and repeated data exchange, which limit efficiency and integration with the design process. The proposed method integrates space syntax principles into Revit through Dynamo and custom Python scripts, enabling automated calculation of spatial measures linked to healthcare-specific performance indicators. The workflow was applied to two UK-based ED floor plans in a comparative case study, assessing patient-oriented aspects such as wayfinding, emergency access, and spatial privacy, alongside staff-oriented factors including workstation accessibility and visibility. Results were validated against DepthmapX to ensure consistency and reproducibility. The findings demonstrate that a BIM-native approach can streamline spatial analysis by eliminating import–export cycles, enhancing design iteration, and supporting post-occupancy evaluation. The significance of the study is in providing a decision-support framework for architects and healthcare planners in both designing new and evaluating existing ED layouts, where spatial configuration directly affects efficiency and user experience. Its main contribution is a reproducible workflow that enables real-time evaluation and strengthens the link between spatial analysis and evidence-based healthcare design. Full article
Show Figures

Figure 1

10 pages, 7119 KB  
Proceeding Paper
Identification and Optimization of Components of University Campus Space
by Yue Sun and Yifei Ouyang
Eng. Proc. 2025, 108(1), 33; https://doi.org/10.3390/engproc2025108033 - 5 Sep 2025
Viewed by 508
Abstract
Amid expanding higher education and enhancing spatial quality, modern university campuses face challenges including inefficient space utilization and a disconnect from human-centered design. We developed a coupled model that integrates the analytic hierarchy process (AHP) with space syntax theory to identify and address [...] Read more.
Amid expanding higher education and enhancing spatial quality, modern university campuses face challenges including inefficient space utilization and a disconnect from human-centered design. We developed a coupled model that integrates the analytic hierarchy process (AHP) with space syntax theory to identify and address functional fragmentation, limited accessibility, and diminished spatial vitality. The Delphi method was employed to determine weights on visual and traffic influence factors. Through spatial quantitative analysis using Depthmap software, we estimated spatial-efficiency discrepancies across 11 component types, including school gates, teaching buildings, and libraries. A case study was conducted at a university located in the hilly terrain of Conghua District, Guangzhou, China which revealed significant contradictions between subjective evaluations and objective data at components, such as the administrative building and gymnasium. These contradictions led to poor visual permeability, excessive path redundancy, and imbalanced functional layouts. Based on the results of this study, targeted optimization strategies were proposed, including permeable interface designs, path network reconfiguration, and the implementation of dynamic functional modules. These interventions were tailored to accommodate the humid subtropical climate, balancing shading, ventilation, and visual transparency. In this study, methodological support for the renovation of existing campus infrastructure was provided as theoretical and technical references for space renewal in tropical and subtropical academic environments and the enhancement of the quality and resilience of campus spaces. The results also broadened the application of interdisciplinary methods in university planning. Full article
Show Figures

Figure 1

25 pages, 5207 KB  
Article
The Subjective and Objective Evaluation of the Efficacy of Public Spaces in University Complexes: A Case Study of the Center for Balance Architecture at Zhejiang University
by Linfeng Yao, Danshen Dong, Yuxi He and Jing Wang
Buildings 2025, 15(13), 2377; https://doi.org/10.3390/buildings15132377 - 7 Jul 2025
Viewed by 1177
Abstract
This study aims to address the understudied evaluation of public space performance in renovated multi-functional university buildings, with a special focus on university complexes based on integrated industry–research–education models. While existing literature emphasizes outdoor campus environments, few studies have systematically assessed the internal [...] Read more.
This study aims to address the understudied evaluation of public space performance in renovated multi-functional university buildings, with a special focus on university complexes based on integrated industry–research–education models. While existing literature emphasizes outdoor campus environments, few studies have systematically assessed the internal public spaces that support interdisciplinary collaboration. Using the Center for Balanced Architecture at Zhejiang University as a case study, we employed a mixed-methods approach that combined Depthmap software for spatial integration and visual integration analyses with user satisfaction surveys. Our results reveal significant post-renovation improvements in spatial accessibility, particularly in terms of First Floor Plan connectivity. However, they also uncover persistent issues: despite high objective integration scores, user satisfaction with wayfinding systems remains low, pointing to a cognitive efficiency gap. Furthermore, disparities in satisfaction with acoustics, privacy, and social spaces across different user groups highlight the importance of balancing openness with individual needs. These findings provide empirical evidence to help optimize future renovation designs and enhance spatial experience and performance. Full article
(This article belongs to the Section Architectural Design, Urban Science, and Real Estate)
Show Figures

Figure 1

30 pages, 6308 KB  
Article
Morphological Dynamics of Tram-Led Regeneration: A Space Syntax Study of the Trambesòs Line in Barcelona
by Emilio Reyes-Schade, Sara Molarinho Marques, Ayman Imam, Abdulrhman M. Gbban, Mohammed Alamoudi, Abdulaziz Afandi, Roba Shaheen, Ahmad Fallatah and David Cueto
Sustainability 2025, 17(13), 5880; https://doi.org/10.3390/su17135880 - 26 Jun 2025
Viewed by 1477
Abstract
Surface-guided tram systems are increasingly being recognised not only as mobility instruments but also as agents of urban regeneration that reshape spatial and social dynamics. This study evaluates the configurational impact of the Trambesòs tram in Barcelona on accessibility, integration, and urban cohesion [...] Read more.
Surface-guided tram systems are increasingly being recognised not only as mobility instruments but also as agents of urban regeneration that reshape spatial and social dynamics. This study evaluates the configurational impact of the Trambesòs tram in Barcelona on accessibility, integration, and urban cohesion within the Levante del Besòs area. A Space Syntax analysis was conducted in UCL DepthmapX for axial map analysis and visual graph analysis within a 500 m radius around each station. Three typologies of intervention (site-specific, articulation axes, and saturation pieces) guided the assessment. This analysis shows that Avinguda Diagonal and Avinguda Meridiana are primary structural corridors, while stations Glòries, Ca l’Aranyó, and Pere IV recorded the highest accessibility and visual openness. The results indicate that targeted interventions have positive impacts on the Space Syntax metrics regardless of their spatial centrality, highlighting the critical role of this diverse intervention typology in shaping the study area’s spatial configuration and influencing a hierarchy of social appropriation and use. It is concluded that the Trambesòs tram and associated urban interventions have jointly enhanced centrality and permeability in key sectors, and specific peripheral enclaves have local functioning. These findings, focused on spatial and morphological patterns, may support future interventions in urban design and mobility planning. Although the analysis centres on spatial configuration, future research may integrate socioeconomic variables to broaden the understanding of regeneration processes. Full article
(This article belongs to the Section Sustainable Transportation)
Show Figures

Figure 1

21 pages, 20435 KB  
Article
Examining the Hashim Chalbi House’s Spatial Aspects in Erbil Citadel: Understanding the Museum’s Configuration Potential via Depthmap Analysis
by Wafaa Anwar Sulaiman Goriel, Tamás Molnár and Erzsébet Szeréna Zoltán
Buildings 2025, 15(12), 2134; https://doi.org/10.3390/buildings15122134 - 19 Jun 2025
Cited by 1 | Viewed by 1298
Abstract
The Hashim Chalbi house, a historic private residence with notable architectural features located within Erbil Citadel—a UNESCO World Heritage site since 2014—was turned into a museum. This study utilizes space syntax analysis (depth maps) to explore the spatial configuration of the Hashim Chalbi [...] Read more.
The Hashim Chalbi house, a historic private residence with notable architectural features located within Erbil Citadel—a UNESCO World Heritage site since 2014—was turned into a museum. This study utilizes space syntax analysis (depth maps) to explore the spatial configuration of the Hashim Chalbi house, aiming to evaluate its potential and provide guidance for conservation strategies that maintain its architectural and cultural integrity as a museum. Space syntax offers both a theoretical and analytical tool to map and interpret the spatial formation of heritage buildings. A commonly recognized limitation has been the lack of broader-scale spatial analyses of houses that can shed light on social and cultural interaction. This approach aims to provide a better analysis to inform conservation and restoration. Full article
(This article belongs to the Section Building Materials, and Repair & Renovation)
Show Figures

Figure 1

14 pages, 3918 KB  
Article
Transforming Monochromatic Images into 3D Holographic Stereograms Through Depth-Map Extraction
by Oybek Mirzaevich Narzulloev, Jinwon Choi, Jumamurod Farhod Ugli Aralov, Leehwan Hwang, Philippe Gentet and Seunghyun Lee
Appl. Sci. 2025, 15(10), 5699; https://doi.org/10.3390/app15105699 - 20 May 2025
Viewed by 1538
Abstract
Traditional holographic printing techniques prove inadequate when only input data are available. Therefore, this paper proposes a new artificial-intelligence-based process for generating digital holographic stereograms from a single black-and-white photograph. This method eliminates the need for stereo cameras, photogrammetry, or 3D models. In [...] Read more.
Traditional holographic printing techniques prove inadequate when only input data are available. Therefore, this paper proposes a new artificial-intelligence-based process for generating digital holographic stereograms from a single black-and-white photograph. This method eliminates the need for stereo cameras, photogrammetry, or 3D models. In this approach, a convolutional neural network and deep convolutional neural field model are used for image colorization and a depth-map estimation, respectively. Subsequently, the colored image and depth map are used to generate the multiview images required for creating holographic stereograms. This method efficiently preserves the visual characteristics of the original black-and-white images in the final digital holographic portraits. This provides a new and accessible method for holographic reconstruction using limited data, enabling the generation of 3D holographic content from existing images. Experiments were conducted using black-and-photographs of two historical figures, and highly realistic holograms were obtained successfully. This study has significant implications for cultural preservation, personal archiving, and the generation of life-like holographic images with minimal input data. By bridging the gap between historical photographic sources and modern holographic techniques, our approach opens up new possibilities for memory preservation and visual storytelling. Full article
Show Figures

Figure 1

24 pages, 28238 KB  
Article
Research on Pedestrian Vitality Optimization in Creative Industrial Park Streets Based on Spatial Accessibility: A Case Study of Qingdao Textile Valley
by Yan Chu, Jiayi Cui, Jialin Sun and Wenjie Guo
Buildings 2025, 15(10), 1679; https://doi.org/10.3390/buildings15101679 - 16 May 2025
Cited by 2 | Viewed by 1458
Abstract
Currently, within the scope of research on the protection and adaptive reuse of industrial heritage, there is a relative paucity of quantitative studies focusing on pedestrian vitality at the micro-street level. Qingdao Textile Valley, a quintessential example of a creative industrial park, necessitates [...] Read more.
Currently, within the scope of research on the protection and adaptive reuse of industrial heritage, there is a relative paucity of quantitative studies focusing on pedestrian vitality at the micro-street level. Qingdao Textile Valley, a quintessential example of a creative industrial park, necessitates an in-depth examination of how street vitality influences operational efficacy. This study employs AnyLogic simulation software and spatial syntax Depthmap software, complemented by field survey data, to conduct a comprehensive simulation analysis of pedestrian density and spatial accessibility along the park’s core-periphery roadways. Based on the issues identified through this analysis, several improvement strategies are proposed, particularly increasing the density of the pedestrian network and improving network connectivity. The effectiveness of these strategies was validated through simulation. The research findings indicate that the optimized plan led to an increase in pedestrian traffic on the peripheral streets of the park, mitigated congestion on core roads, and substantially enhanced the overall vitality of the street network. This research offers valuable methodological references and practical insights for developing creative industrial parks and the adaptive reuse of industrial heritage in Qingdao and other regions. Full article
(This article belongs to the Section Architectural Design, Urban Science, and Real Estate)
Show Figures

Figure 1

22 pages, 103261 KB  
Article
Evaluation of and Reconnection to Open Space: The Chicago Strip
by Wenchang Lu and Martine De Maeseneer
Sustainability 2025, 17(6), 2457; https://doi.org/10.3390/su17062457 - 11 Mar 2025
Cited by 2 | Viewed by 1119
Abstract
Urban open space evaluation is crucial for enhancing human well-being and ecological sustainability, yet existing frameworks often overlook visual connectivity. This study integrates vision as a primary factor in accessibility assessment, combining the Analytic Hierarchy Process (AHP), user experience, and sustainable development frameworks. [...] Read more.
Urban open space evaluation is crucial for enhancing human well-being and ecological sustainability, yet existing frameworks often overlook visual connectivity. This study integrates vision as a primary factor in accessibility assessment, combining the Analytic Hierarchy Process (AHP), user experience, and sustainable development frameworks. Focusing on the Chicago River corridor, we employed open data, spatial syntax, and Visibility Graph Analysis (VGA) using DepthmapX software to quantify visual parameters such as clustering coefficient, control, entropy, and integration. Results revealed fragmented visual connectivity, with obstructed zones and highly integrated nodes. Inspired by the Las Vegas Strip’s linear connectivity, design interventions prioritized vision-led strategies: removing visual barriers, establishing viewing platforms, and enhancing waterborne transportation hubs. These interventions demonstrated that visual optimization significantly improves spatial continuity and user engagement. The findings underscore the necessity of incorporating visual metrics into open space evaluation systems, offering planners a replicable methodology to address fragmentation and foster cohesive urban environments. Full article
Show Figures

Figure 1

21 pages, 38781 KB  
Article
Research on the Spatial Location Design of Guidance Signage Systems to Connect the Space of Transit-Orientated Development Sites Based on Multi-Software Analysis
by Xue Ma and Qingjuan Yang
Buildings 2025, 15(5), 683; https://doi.org/10.3390/buildings15050683 - 21 Feb 2025
Cited by 4 | Viewed by 3668
Abstract
In the context of intensive urban development strategies, the Transit-Oriented Development (TOD) model has emerged as a crucial strategy, requiring a high degree of integration of various functional spaces and traffic flows in transport stations. Complex spaces and traffic flows require an effective [...] Read more.
In the context of intensive urban development strategies, the Transit-Oriented Development (TOD) model has emerged as a crucial strategy, requiring a high degree of integration of various functional spaces and traffic flows in transport stations. Complex spaces and traffic flows require an effective Guidance Signage System design to ensure efficient guidance and easy transfers. In order to choose the spatial location of the Guidance Signage System in the connecting space of TOD stations and to improve the efficiency of their guidance and visual saliency, three types of connecting space, namely, channel bifurcation nodes, atrium threshold zones, and sunken plaza interface areas were selected. In total, 18 signage system setup areas were derived from the overlapping visual domains of signage and human visual domains using the Depthmap10 and Massmotion11.5 software (six areas in each type of articulation space), which were then combined with eye-tracking technology to analyze the visual saliency of the signage system’s layout position on the passengers. The experiments show that the signage location affects passengers’ visual attention to a certain extent, and there are differences in the location of high display degrees in different connecting spaces, which require differentiated layouts. This paper summarizes the best spatial location design strategy for the Guidance Signage System according to different connecting spaces, providing more scientific guidance for the spatial location design of the Guidance Signage System for sites connecting spaces. This is essential for enhancing user navigation efficiency, minimizing confusion, and improving overall spatial usability in complex environments. Full article
Show Figures

Figure 1

27 pages, 18608 KB  
Article
Analyzing Urban Parks for Older Adults’ Accessibility in Summer Using Gradient Boosting Decision Trees: A Case Study from Tianjin, China
by Haobo Zhao, Gang Feng, Wei Zhao, Yaxin Wang and Fei Chen
Land 2025, 14(1), 185; https://doi.org/10.3390/land14010185 - 17 Jan 2025
Cited by 5 | Viewed by 2593
Abstract
With the acceleration of global aging, outdoor environments, especially urban green space’s planning and design, play a crucial role in not only promoting physical health but also significantly increasing the opportunities for social interactions for older adults. In recent years, the study of [...] Read more.
With the acceleration of global aging, outdoor environments, especially urban green space’s planning and design, play a crucial role in not only promoting physical health but also significantly increasing the opportunities for social interactions for older adults. In recent years, the study of age-friendly outdoor environments has attracted increasing attention, with digital methods emerging as essential tools due to their precision and versatility. In this research, three parks in the Nankai District, Tianjin, are taken as the subject of a case study to explore the spatial factors that may exert influence on the behavior distribution of older adults in summery urban parks’ planning and design. With the behavior data of the older adults in the park collected using an Insta360 camera every hour (from 8 a.m. to 15 p.m.), the three parks are divided into a total of 49 areas for further analysis. Additionally, the visual indexes of the spatial syntax are analyzed with Depthmap 10, the sunlight conditions are analyzed with the Tangent model, and some other spatial factors, such as the green space ratio and the hard ground ratio, are calculated according to the semantic segmentation of the 360-degree panoramic view photo from the center of every area. SPSS and Gradient Boosting Decision Trees (GBDTs) are used to reveal not only the correlations between the sunlight conditions and the behavior distribution of behavior of the older adults, but also the importance ranking of spatial factors. Furthermore, some improvement strategies are proposed for spatial facility configuration, park furniture arrangement, rational hardscape planning, as well as greening and landscape design. By exploring how to improve the spatial planning and design of summery urban green space for older adults, this research provides guidance on the creation of urban green spaces in extremely hot weather that are not only visually appealing but also socially equitable and environmentally sustainable. Full article
Show Figures

Figure 1

29 pages, 17219 KB  
Article
Enhancing Accessibility in Public Spaces: A Computational Study of Hatirjheel Lakefront Using Space Syntax
by Sharif Tousif Hossain, Baqer Al-Ramadan, Muhammad Bilal and Hamad Ahmed Altuwaijri
ISPRS Int. J. Geo-Inf. 2025, 14(1), 29; https://doi.org/10.3390/ijgi14010029 - 14 Jan 2025
Cited by 4 | Viewed by 3480
Abstract
Public spaces are vital for urban living, contributing to the environmental, social, and economic aspects of city life. Hatirjheel Lakefront, a newly developed recreational area in Dhaka, offers significant potential for enhancing accessibility and connectivity in a rapidly urbanizing metropolis. This study aims [...] Read more.
Public spaces are vital for urban living, contributing to the environmental, social, and economic aspects of city life. Hatirjheel Lakefront, a newly developed recreational area in Dhaka, offers significant potential for enhancing accessibility and connectivity in a rapidly urbanizing metropolis. This study aims to evaluate global and local integration of access routes and propose strategies to improve pedestrian and vehicular connectivity using Space Syntax methodology and DepthmapX V10 software. The key findings indicate that while Hatirjheel demonstrates strong global integration, regional integration remains moderate, with certain access roads being underutilized due to poor connectivity. Recommendations include enhancing integration through connecting dead-end roads, improving pedestrian pathways, and constructing foot-over bridges to mitigate vehicular traffic barriers. This study contributes to urban planning by providing actionable insights to optimize accessibility in public spaces, supporting recreational and economic activities. The findings are critical for creating a more integrated urban fabric in Dhaka, ensuring sustainable urban growth. This research provides actionable strategies for urban planners to optimize the use of public spaces, reinforcing the role of Hatirjheel as a vital component of Dhaka’s urban network. Full article
Show Figures

Figure 1

31 pages, 19953 KB  
Article
Interpretation of Space Syntax in Higher Education: A Study of Functional Efficiency in Architecture Schools in Erbil
by Abdulqadir Bayz Hammadamin, Jestin Nordin and Faris Ali Mustafa
Sustainability 2024, 16(24), 11237; https://doi.org/10.3390/su162411237 - 21 Dec 2024
Cited by 2 | Viewed by 5528
Abstract
Assessing a built environment’s functional performance and physical and psychological impact is essential for understanding its effect on users, particularly in higher education, where it informs the creation of effective learning spaces. This study aims to explore the application of Space Syntax Theory [...] Read more.
Assessing a built environment’s functional performance and physical and psychological impact is essential for understanding its effect on users, particularly in higher education, where it informs the creation of effective learning spaces. This study aims to explore the application of Space Syntax Theory in a higher-educational context and examines the functional efficiency of three architecture schools in Erbil: Salahaddin University-Erbil, Koya University, and Cihan University-Erbil. Using a quantitative research paradigm, the study employs space-syntax methodologies, including axial map analysis and justified graphs, to evaluate key syntactical parameters such as mean depth, relative asymmetry (RA), real relative asymmetry (RRA), real ring-ness (R-value), and the difference factor (H*). The analysis, conducted via Depthmap X software, examines spatial permeability and connectivity within educational layouts, providing insights into their functional performance. The findings indicate that the architecture school at Cihan University-Erbil, characterised by a ring-like spatial structure, achieves a moderate level of functional performance, outperforming Salahaddin University-Erbil and Koya University. Moreover, productive spaces consistently exhibit higher functional performance than supportive spaces across all case studies. This research proposes a framework for optimising spatial configurations in higher education, providing evidence-based strategies to enhance functionality and promote best practices in educational architecture. Full article
Show Figures

Figure 1

17 pages, 6076 KB  
Article
A Case Study Based on Space Syntax Theory: West Shu Garden of Qingxi, Dujiangyan Scenic Area
by Chengzhi Zhang, Zefei Lv, Zhaozheng Liu and Yingkun Sun
Sustainability 2024, 16(21), 9459; https://doi.org/10.3390/su16219459 - 31 Oct 2024
Cited by 4 | Viewed by 3315
Abstract
Xishu Gardens embodies the essence of traditional Chinese landscape design, boasting unique cultural heritage and local charm. However, research on it is often limited to the aesthetic aspects of gardens, lacking the scientific analysis of garden spaces. This paper explores Xishu Gardens through [...] Read more.
Xishu Gardens embodies the essence of traditional Chinese landscape design, boasting unique cultural heritage and local charm. However, research on it is often limited to the aesthetic aspects of gardens, lacking the scientific analysis of garden spaces. This paper explores Xishu Gardens through the lens of space syntax, a method commonly used for analyzing architectural features. The focus is Qingxi Garden, located within the Dujiangyan Scenic Area. It is one of the representative gardens of Xishu Gardens. Based on field investigation and spatial mapping, Qingxi Garden was digitally reconstructed for the first time followed by a detailed analysis in open-source software DepthmapX 0.8.0. This analysis involved a meticulous examination of the garden’s pathways and spatial elements, integrating on-site measurements and survey data to ensure precision. By conducting a quantitative analysis of the spatial structure of Qingxi Garden, the results indicate that areas with low visible depth, as well as high road connectivity and integration, are more accessible to visitors. This accessibility serves as the central spatial node within Qingxi Garden, where a collection of bonsai is prominently exhibited. The interplay between spatial features in the landscape and architectural spaces can significantly influence tourist activities. The landscape architecture of the garden features the distinctive ventilated lattice design characteristic of West Shu gardens, providing visitors with a comfortable spatial experience. The design of Qingxi Garden not only inherits the natural design principles of West Shu gardens but also scientifically integrates the spatial layout of bonsai exhibitions. The design of Qingxi Garden draws upon the traditional garden-making techniques of the Xishu region while also respecting the natural topography of the site. It incorporates local cultural elements, such as bonsai, into its framework. The arrangement of the bonsai exhibition is executed in a scientific and rational manner. Qingxi Garden aims to achieve a harmonious integration of natural beauty and cultural aesthetics in its design, resulting in a garden landscape that is both visually appealing and rich in cultural significance. The design principles and methodologies employed offer a novel perspective for contemporary garden design. Full article
Show Figures

Figure 1

Back to TopTop