Sign in to use this feature.

Years

Between: -

Subjects

remove_circle_outline
remove_circle_outline
remove_circle_outline
remove_circle_outline
remove_circle_outline
remove_circle_outline
remove_circle_outline
remove_circle_outline
remove_circle_outline

Journals

Article Types

Countries / Regions

Search Results (50)

Search Parameters:
Keywords = depression cone

Order results
Result details
Results per page
Select all
Export citation of selected articles as:
25 pages, 12502 KB  
Article
BiLSTM-VAE Anomaly Weighted Model for Risk-Graded Mine Water Inrush Early Warning
by Manyu Liang, Hui Yao, Shangxian Yin, Enke Hou, Huiqing Lian, Xiangxue Xia, Jinsui Wu and Bin Xu
Appl. Sci. 2025, 15(19), 10394; https://doi.org/10.3390/app151910394 - 25 Sep 2025
Viewed by 205
Abstract
A new cascaded model is proposed to improve the accuracy and early warning capability of predicting mine water inrush accidents. The model sequentially applies a Bidirectional Long Short-Term Memory Network (BiLSTM) and a Variational Autoencoder (VAE) to capture the spatio-temporal dependencies between borehole [...] Read more.
A new cascaded model is proposed to improve the accuracy and early warning capability of predicting mine water inrush accidents. The model sequentially applies a Bidirectional Long Short-Term Memory Network (BiLSTM) and a Variational Autoencoder (VAE) to capture the spatio-temporal dependencies between borehole water level data and water inrush events. First, the BiLSTM predicts borehole water levels, and the prediction errors are analyzed to summarize temporal patterns in water level fluctuations. Then, the VAE identifies anomalies in the predicted results. The spatial correlation between borehole water levels, induced by the cone of depression during water inrush, is quantified to assign weights to each borehole. A weighted comprehensive anomaly score is calculated for final prediction. In actual water inrush cases from Xin’an Coal Mine, the BiLSTM-VAE model triggered high-risk alerts 9 h and 30 min in advance, outperforming the conventional threshold-based method by approximately 6 h. Compared with other models, the BiLSTM-VAE demonstrates better timeliness and higher accuracy with lower false alarm rates in mine water inrush prediction. This framework extends the lead time for implementing safety measures and provides a data-driven approach to early warning systems for mine water inrush. Full article
(This article belongs to the Special Issue Hydrogeology and Regional Groundwater Flow)
Show Figures

Figure 1

16 pages, 6840 KB  
Article
Impact Assessment of Mining Dewatering on Vegetation Based on Satellite Image Analysis and the NDVI Index—A Case Study of a Chalk Mine
by Kamil Gromnicki and Krzysztof Chudy
Resources 2025, 14(9), 134; https://doi.org/10.3390/resources14090134 - 26 Aug 2025
Viewed by 1475
Abstract
The exploitation of mineral resources often necessitates groundwater drainage, which may impact surrounding ecosystems, particularly vegetation. In this study, the effects of passive drainage in the Kornica-Popówka chalk mine in eastern Poland were analyzed using Sentinel-2 satellite images and the NDVI vegetation index. [...] Read more.
The exploitation of mineral resources often necessitates groundwater drainage, which may impact surrounding ecosystems, particularly vegetation. In this study, the effects of passive drainage in the Kornica-Popówka chalk mine in eastern Poland were analyzed using Sentinel-2 satellite images and the NDVI vegetation index. Groundwater monitoring wells were used to delineate the extent of the depression cone, representing areas of potentially altered hydrological conditions. NDVI values were analyzed across multiple time points between 2023 and 2024 to assess the condition of vegetation both inside and outside the depression cone. The results indicate no significant difference in NDVI values during the 2023–2024 study period for this specific chalk mine case between areas affected and unaffected by the depression cone, suggesting that vegetation in this region is not experiencing stress due to lowered groundwater levels. This outcome highlights the influence of other environmental factors, such as rainfall and land use, and suggests that the local geological structure allows plants to maintain sufficient access to water despite hydrological alterations. This study confirms the utility of integrating remote sensing with hydrogeological data in environmental monitoring and underlines the need for continued observation to assess long-term trends in vegetation response to mining-related groundwater changes. Full article
Show Figures

Figure 1

14 pages, 8083 KB  
Article
Aerial Imagery and Surface Water and Ocean Topography for High-Resolution Mapping for Water Availability Assessments of Small Waterbodies on the Coast
by Cuizhen Wang, Charles Alex Pellett, Haofeng Tan and Tanner Arrington
Environments 2025, 12(5), 168; https://doi.org/10.3390/environments12050168 - 20 May 2025
Viewed by 772
Abstract
Surface water is the primary freshwater supply for Earth. Small lakes and ponds provide important ecological and economic services to society but are often left undocumented, or their documentation is outdated, due to their small sizes and temporal dynamics. This study tested the [...] Read more.
Surface water is the primary freshwater supply for Earth. Small lakes and ponds provide important ecological and economic services to society but are often left undocumented, or their documentation is outdated, due to their small sizes and temporal dynamics. This study tested the feasibility of the new Surface Water and Ocean Topography (SWOT) mission regarding the 3D documentation of small waterbodies in a coastal area of South Carolina, USA. Via deep learning using a recent 15 cm aerial image, small waterbodies (>0.02 ha) were extracted at an average precision score of 0.81. The water surface elevation (WSE) of each waterbody was extracted using the SWOT Level-2 Water Mask Pixel Cloud (PIXC) product, with the data collected on 1 June 2023. Using a statistical noise-removal approach, the average WSE values of small waterbodies revealed a significant correlation (Pearson’s r = 0.64) with their bottom elevations. Via spatial interpolation, the water levels of small waterbodies across the study area were generally aligned with the state-reported Cone of Depression of ground water surfaces in underlying aquifers. While the WSE measurements of SWOT pixel points are noisy due to the land–water interactions in small waterbodies, this study indicates that the SWOT PIXC product could provide a valuable resource for assessing freshwater availability to assist in water-use decision-making. Full article
(This article belongs to the Special Issue Hydrological Modeling and Sustainable Water Resources Management)
Show Figures

Figure 1

16 pages, 2958 KB  
Article
Fractional Uncertain Forecasting of the Impact of Groundwater Over-Exploitation on Temperature in the Largest Groundwater Depression Cone
by Xiangyue Ren, Liyuan Ren and Lifeng Wu
Fractal Fract. 2025, 9(5), 299; https://doi.org/10.3390/fractalfract9050299 - 5 May 2025
Viewed by 611
Abstract
China currently faces critical climatic conditions, with persistent global warming trends and extreme heat waves across the northern hemisphere. To explore the predictive trajectory of regional extreme high temperature influenced by groundwater over-exploitation, the SGMC(1,N) was established. Additionally, the SGMC(1,N) model was validated [...] Read more.
China currently faces critical climatic conditions, with persistent global warming trends and extreme heat waves across the northern hemisphere. To explore the predictive trajectory of regional extreme high temperature influenced by groundwater over-exploitation, the SGMC(1,N) was established. Additionally, the SGMC(1,N) model was validated using 2019–2023 observational data from the world’s largest groundwater depression cone. The results demonstrate superior performance, with the model achieving a MAPE of 1.97% compared to benchmark models. Scenario simulations with annual groundwater reduction rates (−15%, −20%, −25%) successfully project extreme heat evolution for 2024–2028. When the decline rate of annual groundwater over-exploitation is set at −20%, a 6.66 °C temperature reduction from baseline by 2028 is projected. Stable decline trends emerge when GOE reduction exceeds 20%. To mitigate regional extreme heat, implementing phased groundwater extraction quotas and total extraction cap regulations is recommended. Full article
(This article belongs to the Special Issue Applications of Fractional-Order Grey Models, 2nd Edition)
Show Figures

Figure 1

26 pages, 9672 KB  
Article
The Influence of Groundwater Management on Land Subsidence Patterns in the Metropolitan Region of Guatemala City: A Multi-Temporal InSAR Analysis
by Carlos García-Lanchares, Alfredo Fernández-Landa, José Luis Armayor, Orlando Hernández-Rubio and Miguel Marchamalo-Sacristán
Remote Sens. 2025, 17(9), 1496; https://doi.org/10.3390/rs17091496 - 23 Apr 2025
Cited by 1 | Viewed by 1444
Abstract
This study investigates the relationships between surface deformations and groundwater management in the Metropolitan Region of Guatemala (MRG), a geologically complex area subjected to different types of ground deformation, integrating five municipalities around Guatemala City. Deformation patterns were characterized through Multi-Temporal Interferometric Synthetic [...] Read more.
This study investigates the relationships between surface deformations and groundwater management in the Metropolitan Region of Guatemala (MRG), a geologically complex area subjected to different types of ground deformation, integrating five municipalities around Guatemala City. Deformation patterns were characterized through Multi-Temporal Interferometric Synthetic Aperture Radar (MT-InSAR) and compared with groundwater piezometric data. The MT-InSAR technique allowed the identification of the main deformation areas in the MRG. Previously reported maximum subsidence rates ranged from −60 mm/year to −20 mm/year, with local maxima fitting with the extraction well fields of Villanueva and Petapa, in the South basin. Subsidence bowl or depression cone deformation areas were identified and located, similar to those described in the literature for other urban areas, such as Jakarta, Semarang, and Mexico City, among others. This study contextualizes these findings within the detailed hydrogeological framework of the region, highlighting the long-standing generalized exploitation of groundwater resources for urban, agricultural, and industrial uses. Historical data on water wells, piezometric levels, and groundwater flow patterns indicate that groundwater extraction has surpassed the natural recharge rates, particularly in the southern and eastern hydrological basins in the study area. This research identifies a critical need for sustainable water management, emphasizing the importance of integrating MT-InSAR into groundwater monitoring schemes. Full article
(This article belongs to the Special Issue Advances in Remote Sensing for Land Subsidence Monitoring)
Show Figures

Figure 1

15 pages, 1984 KB  
Article
A Numerical Simulation Study of Complex Multi-Source Groundwater Based on PKAN
by Lei Feng and Jun Wang
Water 2025, 17(7), 1075; https://doi.org/10.3390/w17071075 - 3 Apr 2025
Viewed by 596
Abstract
Groundwater flow problems involve complex nonlinear and spatiotemporal characteristics, where traditional numerical methods (e.g., finite element, finite difference) often encounter challenges such as low computational efficiency and insufficient accuracy when dealing with complex boundary conditions and heterogeneous media. To address these issues, this [...] Read more.
Groundwater flow problems involve complex nonlinear and spatiotemporal characteristics, where traditional numerical methods (e.g., finite element, finite difference) often encounter challenges such as low computational efficiency and insufficient accuracy when dealing with complex boundary conditions and heterogeneous media. To address these issues, this study proposes a novel physics-informed Kolmogorov–Arnold network (PKAN) framework that combines the unique variable decomposition mechanism of KAN networks with physical constraints. The framework introduces three key innovations: (1) implementing KAN network’s univariate function decomposition to enhance the network’s ability to express nonlinear features; (2) designing a pre-training network mechanism to effectively handle complex boundary conditions; and (3) innovatively incorporating a distance function to achieve natural transition from boundary to interior solutions. The results demonstrate that in one-dimensional heterogeneous medium transient simulation, PKAN achieves superior prediction accuracy (R2 = 0.9966, RMSE = 0.0313) compared to traditional PINN (R2 = −0.7194, RMSE = 0.7001). In two-dimensional multi-well pumping system simulations, PKAN (R2 = 0.917, RMSE = 0.077) similarly exhibits exceptional performance (PINN: R2 = −0.3043, RMSE = 0.3067). Notably, in handling local strong gradient problems, PKAN accurately captures cone of depression characteristics and precisely reproduces inter-well interference effects, with maximum error only one-fourth that of traditional PINN. Sensitivity analysis reveals that a configuration of 50 × 50 uniform sampling points combined with four hidden layers and 64 neurons per layer achieves optimal balance between computational efficiency and simulation accuracy. These findings demonstrate PKAN’s breakthrough in groundwater numerical simulation, offering a novel approach for the efficient solution of complex hydrogeological problems. Full article
Show Figures

Figure 1

22 pages, 15578 KB  
Article
Analysis of Ground Subsidence Evolution Characteristics and Attribution Along the Beijing–Xiong’an Intercity Railway with Time-Series InSAR and Explainable Machine-Learning Technique
by Xin Liu, Huili Gong, Chaofan Zhou, Beibei Chen, Yanmin Su, Jiajun Zhu and Wei Lu
Land 2025, 14(2), 364; https://doi.org/10.3390/land14020364 - 10 Feb 2025
Cited by 1 | Viewed by 1187
Abstract
The long-term overextraction of groundwater in the Beijing–Tianjin–Hebei region has led to the formation of the world’s largest groundwater depression cone and the most extensive land subsidence zone, posing a potential threat to the operational safety of high-speed railways in the region. As [...] Read more.
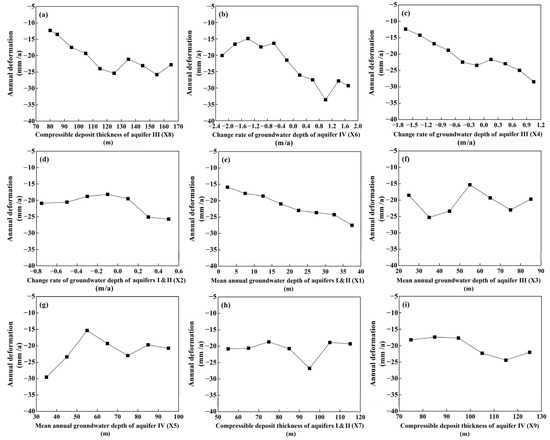
The long-term overextraction of groundwater in the Beijing–Tianjin–Hebei region has led to the formation of the world’s largest groundwater depression cone and the most extensive land subsidence zone, posing a potential threat to the operational safety of high-speed railways in the region. As a critical transportation hub connecting Beijing and the Xiong’an New Area, the Beijing–Xiong’an Intercity Railway traverses geologically complex areas with significant ground subsidence issues. Monitoring and analyzing the causes of land subsidence along the railway are essential for ensuring its safe operation. Using Sentinel-1A radar imagery, this study applies PS-InSAR technology to extract the spatiotemporal evolution characteristics of ground subsidence along the railway from 2016 to 2022. By employing a buffer zone analysis and profile analysis, the subsidence patterns at different stages (pre-construction, construction, and operation) are revealed, identifying the major subsidence cones along the Yongding River, Yongqing, Daying, and Shengfang regions, and their impacts on the railway. Furthermore, the XGBoost model and SHAP method are used to quantify the primary influencing factors of land subsidence. The results show that changes in confined water levels are the most significant factor, contributing 34.5%, with strong interactions observed between the compressible layer thickness and confined water levels. The subsidence gradient analysis indicates that the overall subsidence gradient along the Beijing–Xiong’an Intercity Railway currently meets safety standards. This study provides scientific evidence for risk prevention and the control of land subsidence along the railway and holds significant implications for ensuring the safety of high-speed rail operations. Full article
(This article belongs to the Special Issue Assessing Land Subsidence Using Remote Sensing Data)
Show Figures

Figure 1

17 pages, 2488 KB  
Article
Deciphering the Physical Characteristics of Ophthalmic Filters Used in Optometric Vision Therapy
by Danjela Ibrahimi, Marcos Aviles, Guillermo Valencia Luna and Juvenal Rodriguez Resendiz
Healthcare 2024, 12(21), 2177; https://doi.org/10.3390/healthcare12212177 - 31 Oct 2024
Viewed by 1573
Abstract
Background: This paper aimed to measure and characterize eleven monochromatic filters and twenty-two combinations used empirically to treat patients with visual dysfunctions to propose enhanced protocols based on solid evidence. Their wavelength, transmittance, and relative sensitivity were defined on the retinal cone cells. [...] Read more.
Background: This paper aimed to measure and characterize eleven monochromatic filters and twenty-two combinations used empirically to treat patients with visual dysfunctions to propose enhanced protocols based on solid evidence. Their wavelength, transmittance, and relative sensitivity were defined on the retinal cone cells. Methods: A double-beam UV-VIS-NIR spectrophotometer, VARIAN brand, Cary 5000 model, owned by the National Center of Metrology, with high precision and accuracy, was used to characterize all filters. Filters were purchased from Optomatters Corporation, Belgium. Results: When two or three filters are combined, their transmittance and relative sensitivity on the retinal cone cells decrease regardless of wavelength. As a result, the efficiency of combined filters may decrease during treatments. Additionally, most filters and combinations, regardless of the wavelength, transmit a considerable percentage of light from the red spectrum. A depressant is the best monochromatic filter, and Upsilon–Neurasthenic is the strongest combination to stimulate blue cone cells. In contrast, Stimulant and Delta–Theta are best for red and green cone cells. Mu–Delta and Mu–Theta can be interchangeable, as well as Alpha–Delta and Alpha–Theta. Conclusions: Results suggest that the current phototherapy treatment protocol must be deeply revised, and the number of filters and combinations should be reduced to reduce costs and time and boost efficiency. Full article
(This article belongs to the Special Issue The Latest Advances in Visual Health)
Show Figures

Figure 1

13 pages, 259 KB  
Article
Psychological and Psychiatric Characteristics of People with Keratoconus
by Szymon Florek, Piotr Gościniewicz, Magdalena Suszka, Ewa Mrukwa-Kominek and Robert Pudlo
Reports 2024, 7(3), 67; https://doi.org/10.3390/reports7030067 - 3 Aug 2024
Viewed by 1555
Abstract
Background and Objectives: There are many reports in the literature on the co-occurrence of somatic diseases and psychiatric disorders. Relatively few have addressed the co-occurrence of corneal cone with anxiety, depression, or personality disorders. Materials and Methods: 99 patients with keratoconus [...] Read more.
Background and Objectives: There are many reports in the literature on the co-occurrence of somatic diseases and psychiatric disorders. Relatively few have addressed the co-occurrence of corneal cone with anxiety, depression, or personality disorders. Materials and Methods: 99 patients with keratoconus (study group) and 92 patients without keratoconus (control group) participated in the entire study, which was conducted in 2015 and 2020–2023. The Hamilton Depression Rating Scale (HDRS) and Beck’s Depression Inventory (BDI) were used to assess depressive symptoms, the State-Trait Anxiety Inventory (STAI) to assess anxiety symptoms, and the DSM-IV Personality Disorder Inventory (IBZO-DSM-IV) to identify personality disorders. Results: In the study group, the severity of depressive and anxiety symptoms correlated with all types of personality disorders. In the control group, these symptoms did not correlate with antisocial and narcissistic personalities. In the comparative analysis, there were more patients with antisocial, schizotypal, obsessive compulsive, schizoid, paranoid, and dependent personality traits in the study group. Conclusions: Patients with keratoconus have increased expressions of antisocial personality traits, but no differences in anxiety and depression symptoms were evident. Further research is needed among patients diagnosed with keratoconus in the short term. Full article
(This article belongs to the Section Mental Health)
23 pages, 34766 KB  
Article
Modeling the Impact of Groundwater Pumping on Karst Geotechnical Risks in Sete Lagoas (MG), Brazil
by Paulo Galvão, Camila Schuch, Simone Pereira, Julia Moura de Oliveira, Pedro Assunção, Bruno Conicelli, Todd Halihan and Rodrigo de Paula
Water 2024, 16(14), 1975; https://doi.org/10.3390/w16141975 - 12 Jul 2024
Cited by 1 | Viewed by 1970
Abstract
Karst terrains can undergo geotechnical issues like subsidence and collapse, occurring both naturally and anthropogenically. The municipality of Sete Lagoas, in the State of Minas Gerais, Brazil, is notable for overexploiting a karst aquifer, resulting in adverse effects such as drying lakes and [...] Read more.
Karst terrains can undergo geotechnical issues like subsidence and collapse, occurring both naturally and anthropogenically. The municipality of Sete Lagoas, in the State of Minas Gerais, Brazil, is notable for overexploiting a karst aquifer, resulting in adverse effects such as drying lakes and geotechnical problems. This study aims to assess the progression of geotechnical risk areas in the central urban area from 1940 to 2020 and simulate future scenarios until 2100. To achieve this, historical hydraulic head data, a three-dimensional geological model, and a karst geotechnical risk matrix were used to develop a calibrated FEFLOW numerical model. Results show that before the installation of the first pumping well in 1942, the natural groundwater flow direction was primarily northeast. However, in the 1980s, a cone of depression emerged in the city, creating a zone of influence (ZOI) with a surface area of around 30 km2. Between 1940 and 2020, twenty geotechnical collapse events occurred in defined risk zones, often in regions where limestone outcrops or is mantled in association with the ZOI. In future scenarios, if the 2020 total annual groundwater pumping rate (Q = 145,000 m3/d) remains constant until 2100, the geotechnical risk zones will continue expanding laterally. To establish a sustainable risk state, a 40% decrease in the pumping rate (Q = 85,500 m3/d) is necessary. Full article
(This article belongs to the Special Issue Recent Advances in Karstic Hydrogeology, 2nd Edition)
Show Figures

Graphical abstract

21 pages, 8586 KB  
Article
Integrating SBAS-InSAR and Random Forest for Identifying and Controlling Land Subsidence and Uplift in a Multi-Layered Porous System of North China Plain
by Yuyi Wang, Xi Chen, Zhe Wang, Man Gao and Lichun Wang
Remote Sens. 2024, 16(5), 830; https://doi.org/10.3390/rs16050830 - 28 Feb 2024
Cited by 5 | Viewed by 2409
Abstract
Controlling groundwater table decline could mitigate land subsidence and induced environmental hazards in over-explored areas. Nevertheless, this becomes a challenge in the multi-layered porous system as (in)elastic deformation simultaneously occurs due to vast spatiotemporal variability in the groundwater table. In this study, SBAS-InSAR [...] Read more.
Controlling groundwater table decline could mitigate land subsidence and induced environmental hazards in over-explored areas. Nevertheless, this becomes a challenge in the multi-layered porous system as (in)elastic deformation simultaneously occurs due to vast spatiotemporal variability in the groundwater table. In this study, SBAS-InSAR was used to estimate annual land deformation during 2017–2022 in a specific region of North China Plain, in which aquifers are composed of many layers of fine-grained compressible sediments and the groundwater table has experienced a prolonged decline. The random forest (RF) was applied to establish the nonlinear relationship between accumulated deformation and its potential driving factors, including the depth to the groundwater table (GWD) and its change rate, and the compressible sediment thickness. Results show that the marked subsidence and uplift co-exist in the region even though the groundwater table has risen widely since the South–North Water Diversion Project. The land subsidence is attributed to inelastic compaction of the thick compressible deposits in depression cone centers, where the GWD is over 40 m and 90 m in the shallow and deep aquifers, respectively. In contrast, the marked uplift is primarily attributed to fast rising of the groundwater table (e.g., −2.44 m/a). The RF predictions suggest that, to control the subsidence, the GWD should be less than 20 and 70 m in the shallow and deep aquifers, respectively, and the rising rate of the GWD should increase to 2–5 times of current rates in the depression cones. To mitigate the marked uplift, the rising rate of the GWD should reduce to 1/2–1/5 of the current rates in the shallow aquifers. The uneven deformations of sediments in the depression cone centers and uplift in their boundaries may exacerbate geohazards. Therefore, it is vital to implement appropriate governance of groundwater recovery in the multi-layered porous system. Full article
(This article belongs to the Section Remote Sensing in Geology, Geomorphology and Hydrology)
Show Figures

Graphical abstract

28 pages, 8805 KB  
Article
Study on Numerical Simulation of Reactive-Transport of Groundwater Pollutants Caused by Acid Leaching of Uranium: A Case Study in Bayan-Uul Area, Northern China
by Haibo Li, Zhonghua Tang and Dongjin Xiang
Water 2024, 16(3), 500; https://doi.org/10.3390/w16030500 - 4 Feb 2024
Cited by 5 | Viewed by 2021
Abstract
Acid in situ leaching (ISL) is a common approach to the recovery of uranium in the subsurface. In acid ISL, there are numerous of chemical reactions among the injected sulfuric acid, groundwater, and porous media containing ore layers. A substantial amount of radioactive [...] Read more.
Acid in situ leaching (ISL) is a common approach to the recovery of uranium in the subsurface. In acid ISL, there are numerous of chemical reactions among the injected sulfuric acid, groundwater, and porous media containing ore layers. A substantial amount of radioactive elements including U, Ra, Rn, as well as conventional elements like K, Na, and Ca, and trace elements such as As, Cd, and Pb, are released into the groundwater. Thus, in acid ISL, understanding the transport and reactions of these substances and managing pollution control is crucial. In this study, a three-dimensional reactive transport modeling (RTM) using TOUGHREACT was built to investigate the dynamic reactive migration process of UO22+, H+, and SO42− at a typical uranium mine of Bayan-Uul. The model considering the partial penetration through wellbore in confined aquifer and complex chemical reactions among main minerals like uranium, K-feldspar, calcite, dolomite, anhydrite, gypsum, iron minerals, clay minerals, and other secondary minerals. The results show that after mining for one year, from the injection well to the extraction well, the spatial distribution of uranium volume fraction does not consistently increase or decrease, but it decreases initially and then increases. After mining for one year, the concentration front of UO22+ is about 20 m outside the mining area, the high concentration zone is mainly inside the mining area. The concentration front of H+ is no more than 50 m. SO42− is the index with the highest concentration among the three indexes, the concentration front of SO42− is no more than 100 m. The concentration breakthrough curve of the observation well 10 m from the mining area indicates that the concentrations of the three indicators began to significantly rise approximately after mining 0.05 years, reached the maximum value after mining 0.08 to 0.1 years, and then stabilized. The parameter sensitivity of absolute permeability and specific surface area of minerals shows that the concentration of H+ and SO42− is positively correlated with absolute permeability. The concentration of H+ is negatively correlated with the specific surface area of calcite, anhydrite, K-feldspar, gypsum, hematite, and dolomite. The concentration of SO42− is positively correlated with the specific surface area of K-feldspar and Hematite, and negatively correlated with the specific surface area of calcite, anhydrite, gypsum, and dolomite. The influence analysis of pumping ratio and non-uniform injection ratio shows that the non-uniform injection scheme has a more significant impact on pollution control. The water table, streamline, capture envelope, and the concentration breakthrough curve of five schemes with different pumping ratios and non-uniform injection ratio were obtained. The water table characteristics of five schemes shown that increase in the pumping ratio and the non-uniform injection ratio, the water table convex near the outer injection well is weakened and the groundwater depression cone near the pumping well is strengthened. This characteristic of water table exerts a notable retarding influence on the migration of pollutants from the mining area to the outside. For the scheme with a pumping ratio is 0 (the total pumping flow rate is equal to the total injection flow rate) and a non-uniform injection ratio is 0 (the flow rate of inner injection well Q1,Q2,Q3 is equal to the flow rate of outer injection well Q4,Q5,Q6), the streamline characteristics shown that a segment of the streamline of is diverging from inner region to the outer region. For other schemes, the streamline exhibits a convergent feature. It is indicated that by increasing the pumping ratio and non-uniform injection ratio, a closure flow field can be established, confining the groundwater pollutants resulting from mining within the capture envelope. Hence, the best scheme for preventing pollution migration is the scheme with a pumping ratio is 0 (the total pumping flow rate is equal to the total injection flow rate) and a non-uniform injection ratio is 0.1 (the flow rate of inner injection well Q1,Q2,Q3 is 10% more than the flow rate of outer injection well Q4,Q5,Q6). In this scheme, the optimal stable concentration of UO22+, H+, and SO42− at the observation well obtained by RTM is lower than other schemes, and the values are 0.00316 mol/kg, 2.792 (pH), and 0.0952 mol/kg. The inner well injection rate is 194.09 m3/d, the outer well injection rate is 158.89 m3/d, and the pumping rate is 264.00 m3/d. Numerical simulation analysis suggests that a scheme with a larger non-uniform injection ratio is more conducive to the formation of a strong hydraulic capture zone, thereby controlling the migration of pollutants in the acid ISL. A reasonable suggestion is to adopt non-uniform injection mining mode in acid ISL. Full article
Show Figures

Figure 1

20 pages, 4838 KB  
Article
Impact of Xiaolangdi Reservoir on the Evolution of Water Infiltration Influence Zones of the Secondary Perched Reach of the Lower Yellow River
by Min Zhang, Jianhua Ping, Yafei Zou, He Li, Joshua Mahwa, Jichang Zhao and Jiaqi Liu
Water 2023, 15(24), 4308; https://doi.org/10.3390/w15244308 - 18 Dec 2023
Cited by 2 | Viewed by 1865
Abstract
Understanding the complex interplay between water management infrastructure and groundwater dynamics is crucial for sustainable resource utilization. This study investigates water infiltration dynamics in the secondary perched reach of the Yellow River after the operation of the Xiaolangdi Reservoir. The methodology included the [...] Read more.
Understanding the complex interplay between water management infrastructure and groundwater dynamics is crucial for sustainable resource utilization. This study investigates water infiltration dynamics in the secondary perched reach of the Yellow River after the operation of the Xiaolangdi Reservoir. The methodology included the application of the single-factor analysis of variance and water balance method, alongside a dual-structure, one-dimensional seepage model to simulate interactions within the system, while exploring characteristics of the groundwater flow system and the exploitation depth of below 100 m. Furthermore, we studied the influence zone range and alterations in river water infiltration in the secondary perched reach of the river following the operation of Xiaolangdi Reservoir. The results show that before the operation of the reservoir, the influence ranges of the north and south banks of the aboveground reach extended from 20.13 km to 20.48 km and 15.85 km to 16.13 km, respectively. Following the initiation of the reservoir, the river channel underwent scouring, leading to enhanced riverbed permeability. Additionally, the influence of long-term groundwater exploitation on both riverbanks extended the influence range of groundwater recharge within the secondary perched reach of the river. The influence zone of the north bank is now 23.41 km–26.74 km and the south bank 18.43 km–21.05 km. After years of shallow groundwater extraction, multiple groundwater depression cones emerged within the five major groundwater source areas on both sides of the river. Notably, deeper water levels (Zhengzhou to Kaifeng) have significantly decreased, with a drop of 42 m to 20 m to 15 m. This change in groundwater dynamics extended beyond the main channel of the river, creating a localized shallow groundwater field. Full article
(This article belongs to the Section Hydrogeology)
Show Figures

Figure 1

20 pages, 13214 KB  
Article
A Dimension-Reduced Line Element Method for 3D Transient Free Surface Flow in Porous Media
by Yuting Chen, Qianfeng Yuan, Zuyang Ye and Zonghuan Peng
Water 2023, 15(17), 3072; https://doi.org/10.3390/w15173072 - 28 Aug 2023
Cited by 3 | Viewed by 2584
Abstract
In order to reduce the numerical difficulty of the 3D transient free surface flow problems in porous media, a line element method is proposed by dimension reduction. Different from the classical continuum-based methods, homogeneous permeable pores in the control volume are conceptualized by [...] Read more.
In order to reduce the numerical difficulty of the 3D transient free surface flow problems in porous media, a line element method is proposed by dimension reduction. Different from the classical continuum-based methods, homogeneous permeable pores in the control volume are conceptualized by a 3D orthogonal network of tubes. To obtain the same hydraulic solution with the continuum model, the equivalent formulas of flow velocity, continuity equation and transient free surface boundary are derivable from the principle of flow balance. In the solution space of transient free surface flow, the 3D problem is transformed into 1D condition, and then a finite element algorithm is simply deduced. The greatest advantage of the line element method is line integration instead of volume/surface integration, which has dramatically decreased the integration difficulty across the jump free surface. Through the analysis of transient free surface flow in the unconfined aquifer, trapezoidal dam, sand flume and wells, the transient free surface locations predicted from the proposed line element method generally agree well with the analytical, experimental and other numerical data in the available literatures, the numerical efficiency can also be well guaranteed. Furthermore, the hydraulic anisotropy has significant effect on the evolution of free surface locations and the shape of depression cones in spatial. The line element method can be expanded to model the 3D unsaturated seepage flow, two-phase flow and thermos problems in porous media because of the similarity between the similarity of Darcy’s law, Buckingham Law and Fourier’s law. Full article
Show Figures

Figure 1

13 pages, 3201 KB  
Article
Synergistic Effect of Nano-Silica and Intumescent Flame Retardant on the Fire Reaction Properties of Polypropylene Composites
by Yongliang Wang, Baoqiang Liu, Ruiyang Chen, Yunfei Wang, Zhidong Han, Chunfeng Wang and Ling Weng
Materials 2023, 16(13), 4759; https://doi.org/10.3390/ma16134759 - 30 Jun 2023
Cited by 10 | Viewed by 2594
Abstract
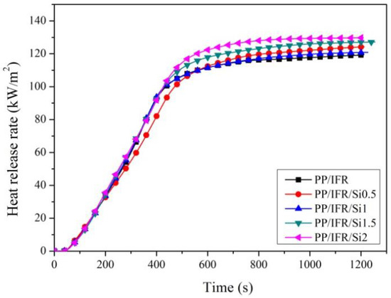
Silica nanoparticles (nano-silica) were used as synergistic agents with ammonium polyphosphate (APP) and pentaerythritol (PER) to enhance flame retardancy of polypropylene (PP) in this research. The composites were prepared using a melt-mixing method. The influences of nano-silica on the fire performance of composites [...] Read more.
Silica nanoparticles (nano-silica) were used as synergistic agents with ammonium polyphosphate (APP) and pentaerythritol (PER) to enhance flame retardancy of polypropylene (PP) in this research. The composites were prepared using a melt-mixing method. The influences of nano-silica on the fire performance of composites were thoroughly discussed, which promotes understanding of nano-silica on the flame-retardant performance of polypropylene composite. Scanning electron microscope (SEM) and energy-dispersive spectrometer (EDS) results indicated that the nano-silica with a diameter of about 95 ± 3.9 nm were dispersed favorably in the composite matrix, which might elevate its synergistic effect with intumescent flame retardant and improve the flame retardancy of polypropylene composite. The synergistic effects between nano-silica and intumescent flame retardant on PP composites were studied using the limiting oxygen index (LOI), UL-94 test, and cone calorimeter test (CCT). The total amount of flame retardant was maintained at 30%. When the dosage of nano-silica was 1 wt.%, the LOI value of PP/IFR/Si1.0 composite reached 27.3% and its UL-94 classification reached V-1. Based on the parameters of the CCT, the introduction of nano-silica induced composites with depressed heat release rate (HRR) and peak heat release rate (PHRR). The PHRR of PP/IFR/Si0.5 was only 295.8 kW/m2, which was 17% lower than that of PP/IFR. Moreover, the time to PHRR of PP/IFR/Si0.5 was delayed to 396 s, which was about 36 s later than that without nano-silica. EDS was used to quantitatively analyze the distribution of silica in charred residue. The EDS results indicated that the silica tended to accumulate on the surface during the fire. The surface accumulation characteristic of silica endows it with the enhanced flame-retardant properties of polypropylene composite at a very small dosage (as low as 1 wt.%). Full article
(This article belongs to the Section Polymeric Materials)
Show Figures

Graphical abstract

Back to TopTop