Sign in to use this feature.

Years

Between: -

Subjects

remove_circle_outline
remove_circle_outline
remove_circle_outline
remove_circle_outline
remove_circle_outline
remove_circle_outline
remove_circle_outline
remove_circle_outline
remove_circle_outline

Journals

Article Types

Countries / Regions

Search Results (103)

Search Parameters:
Keywords = density functional tight binding

Order results
Result details
Results per page
Select all
Export citation of selected articles as:
15 pages, 3238 KB  
Article
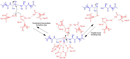
Mechanistic and Kinetic Insights into the Acylation Reaction of Hepatitis C Virus NS3/NS4A Serine Protease with NS4B/5A Substrate
by José Ángel Martínez-González, Nuria Salazar-Sanchez, María Larriva-Hormigos, Rodrigo Martínez and Miguel González
Biomolecules 2025, 15(11), 1619; https://doi.org/10.3390/biom15111619 - 18 Nov 2025
Viewed by 326
Abstract
Reaction mechanisms and rate constants of the acylation reaction of the hepatitis C virus (HCV) NS3/NS4A serine protease with the NS4B/5A natural substrate were studied using SCC-DFTB/MM (self-consistent charge density functional tight binding/molecular mechanics) and EA-VTST/MT (ensemble-averaged variational transition state theory/multidimensional tunneling) methods, [...] Read more.
Reaction mechanisms and rate constants of the acylation reaction of the hepatitis C virus (HCV) NS3/NS4A serine protease with the NS4B/5A natural substrate were studied using SCC-DFTB/MM (self-consistent charge density functional tight binding/molecular mechanics) and EA-VTST/MT (ensemble-averaged variational transition state theory/multidimensional tunneling) methods, considering the isotope effect (H/D). This reaction is crucial in the HCV life cycle. The reaction follows an essentially concerted mechanism. Although two elementary steps are involved, no intermediate step has been found between them. Thus, the proposed general two-step serine protease acylation mechanism, which includes a tetrahedral intermediate, does not occur here. This finding aligns with our studies on another natural substrate (NS5A/5B), indicating a greater variety in mechanism than previously expected. Tunneling and recrossing play an intermediate role; the activation free energy barriers are in good agreement with the experimental value, and the kinetic isotope effect (k(H)/k(D)) is somewhat larger than one (1.3). The rate constant value is not reproduced due to the exponential dependence of the rate constant on the activation free energy. Full article
(This article belongs to the Section Chemical Biology)
Show Figures

Figure 1

19 pages, 4235 KB  
Article
First-Principles Study on Desolvation and Capacitive Performance of Bispyrrolidinium Cations in Pristine/Oxygen-Functionalized Bilayer Graphene Flat Pores
by Fudong Liu, Yi Cao, Sinan Li, Xin Qi and Bing Liu
Coatings 2025, 15(11), 1299; https://doi.org/10.3390/coatings15111299 - 6 Nov 2025
Viewed by 281
Abstract
Supercapacitors are limited by electrolyte cation desolvation, which directly impacts ion storage efficiency and capacitance. This study uses density functional tight-binding (DFTB+) first-principles calculations to investigate the desolvation of bispyrrolidinium cation complexes ([SBP(AN)]+, acetonitrile as solvent) in pristine (FP) and oxygen-functionalized [...] Read more.
Supercapacitors are limited by electrolyte cation desolvation, which directly impacts ion storage efficiency and capacitance. This study uses density functional tight-binding (DFTB+) first-principles calculations to investigate the desolvation of bispyrrolidinium cation complexes ([SBP(AN)]+, acetonitrile as solvent) in pristine (FP) and oxygen-functionalized (OFP: hydroxyl-HFP, carbonyl-CFP, aldehyde-AFP) bilayer graphene flat pores with AA/AB stacking. Critical desolvation diameters were determined: 5.0 Å (FP), 5.2 Å (HFP), 5.0 Å (AFP), and 4.6 Å (CFP). Hydroxyl functionalization expanded the critical diameter, reduced SBP+ intercalation energy, and increased relative capacitance by 1.02~1.03 times; carbonyl groups had the opposite effect, while aldehyde groups showed no significant impact. Density of States (DOS) analysis revealed enhanced conductivity for HFP and AFP after SBP+ embedding, but reduced conductivity for CFP. Charge density difference and Bader charge analysis confirmed electron transfer primarily between SBP+ (electron donor) and oxygen atoms in functional groups (electron acceptor), with SBP+ interacting mainly with functional groups rather than the carbon basal plane. This work provides theoretical guidance for optimizing graphene-based supercapacitor electrodes via pore structure and surface functionalization. Full article
Show Figures

Figure 1

17 pages, 1954 KB  
Article
5′,8-cyclo-dAdo and 8-oxo-dAdo DNA Lesions Are Both Substrates of Adenosine Deaminase: A Preliminary Study
by Bolesław T. Karwowski
Cells 2025, 14(21), 1665; https://doi.org/10.3390/cells14211665 - 23 Oct 2025
Viewed by 889
Abstract
Genetic information, whether inside or outside the nucleus, is exposed to a variety of harmful physico-chemical factors. Although DNA damage repair systems have been extensively studied, little information about post-repair and non-genomic DNA damage metabolism is available in the literature. Adenosine deaminase (ADA) [...] Read more.
Genetic information, whether inside or outside the nucleus, is exposed to a variety of harmful physico-chemical factors. Although DNA damage repair systems have been extensively studied, little information about post-repair and non-genomic DNA damage metabolism is available in the literature. Adenosine deaminase (ADA) is an abundant enzyme found on both sides of the cell membrane that regulates the concentration of adenine derivatives. In this article, it has been shown that 7,8-dihydro-8-oxo-2′-deoxyadenosine (OXOdAdo) and (5′R/S) 5′,8-cyclo-2′-deoxyadenosine ((5′R/S)cdAdo) are suitable substrates for ADA. For this purpose, theoretical Density Functional Tight Binding and RP-HPLC analyses were applied. The products of ADA activity, i.e., OXOdIno (7,8-dihydro-8-oxo-2′-deoxyinosine) and (5′R/S) cdIno ((5′R/S) 8-cyclo-2′-deoxyinosine), were identified and confirmed by high-resolution mass spectroscopy. Although the (5′R) and (5′S)cdAdo enzymatic deamination processes are much slower (34% and 32% after 168 h, respectively) than the process observed for dAdo, 5′,8-cyclo-2′-deoxyinosine should be considered when monitoring cyclopurine levels in physiological fluids. The same should be considered in the case of OXOdAdo, which is completely converted to OXOdIno within one minute and may therefore be less visible than OXOdGuo during mass spectroscopy analysis. Both these observations are important, given the abundance of 2′-deoxyadenosine on both sides of the cell membrane and its potential conversion into OXOdAdo and (5′R/S)cdAdo. They may also explain why the observed level of OXOdAdo is much lower than that of OXOdGuo in cells and physiological fluids, even though their difference in ionisation potential is only 0.25 eV. Future studies are needed to further investigate the metabolism of DNA damage and to identify the enzymes involved in nucleic acid biochemistry. Full article
Show Figures

Graphical abstract

15 pages, 9213 KB  
Article
Facile Engineering of Pt-Rh Nanoparticles over Carbon for Composition-Dependent Activity and Durability Toward Glycerol Electrooxidation
by Marta Venancia França Rodrigues, Wemerson Daniel Correia dos Santos, Fellipe dos Santos Pereira, Augusto César Azevedo Silva, Liying Liu, Mikele Candida Sant’Anna, Eliane D’Elia, Roberto Batista de Lima and Marco Aurélio Suller Garcia
Hydrogen 2025, 6(4), 78; https://doi.org/10.3390/hydrogen6040078 - 3 Oct 2025
Viewed by 569
Abstract
In this study, we report the synthesis, characterization, and performance evaluation of a series of bimetallic PtxRhy/C electrocatalysts with systematically varied Rh content for glycerol electrooxidation in acidic and alkaline media. The catalysts were prepared via a polyol reduction [...] Read more.
In this study, we report the synthesis, characterization, and performance evaluation of a series of bimetallic PtxRhy/C electrocatalysts with systematically varied Rh content for glycerol electrooxidation in acidic and alkaline media. The catalysts were prepared via a polyol reduction method using ethylene glycol as both a solvent and reducing agent, with prior functionalization of Vulcan XC-72 carbon to enhance nanoparticles (NPs) dispersion. High-resolution transmission electron microscopy (HRTEM), energy-dispersive X-ray spectroscopy (EDS), and X-ray diffraction (XRD) analyses indicated the spatial co-location of Rh atoms alongside Pt atoms. Electrochemical studies revealed strong composition-dependent behavior, with Pt95Rh5/C exhibiting the highest activity toward glycerol oxidation. To elucidate the origin of raised results, density functional tight binding (DFTB) simulations were conducted to model atomic distributions and evaluate energetic parameters. The results showed that Rh atoms preferentially segregate to the surface at higher concentrations due to their lower surface energy, while at low concentrations, they remain confined within the Pt lattice. Among the series, Pt95Rh5/C exhibited a distinctively higher excess energy and less favorable binding energy, rationalizing its lower thermodynamic stability. These findings reveal a clear trade-off between catalytic activity and structural durability, highlighting the critical role of the composition and nanoscale architecture in optimizing Pt-based electrocatalysts for alcohol oxidation reactions. Full article
Show Figures

Figure 1

15 pages, 925 KB  
Article
8-OXO-Cordycepin Is Not a Suitable Substrate for Adenosine Deaminase-Preliminary Experimental and Theoretical Studies
by Boleslaw T. Karwowski
Molecules 2025, 30(16), 3377; https://doi.org/10.3390/molecules30163377 - 14 Aug 2025
Cited by 1 | Viewed by 1487
Abstract
Adenosine deaminase (ADA) is one of the most important enzymes in nucleoside metabolism, regulating the levels of adenosine and deoxyadenosine triphosphate (ADT/dATP) on either side of the cell membrane. This small protein (weighing approximately 40 kDa) exhibits deamination properties towards other pharmaceuticals built [...] Read more.
Adenosine deaminase (ADA) is one of the most important enzymes in nucleoside metabolism, regulating the levels of adenosine and deoxyadenosine triphosphate (ADT/dATP) on either side of the cell membrane. This small protein (weighing approximately 40 kDa) exhibits deamination properties towards other pharmaceuticals built on adenine as the leading structure, which requires co-administration of ADA inhibitors. 3′-deoxyadenosine (Cordycepin, Cord) is an active compound isolated from the fungus Cordyceps, which has been used in traditional Chinese medicine for over 2000 years. Its anticancer activity is likely related to the inhibition of primer elongation of lagging strands during genetic information replication. Unfortunately, Cord is rapidly deaminated by ADA into inactive 3′-deoxyinosine, necessitating its co-administration with ADA inhibitors. Here, for the first time, the synthesis and discussion of the oxidised form of Cord are presented. The 7,8-dihydro-8-oxo-3′-deoxyadenosine (CordOXO) exhibits high resistance to ADA because of its syn conformation, as shown experimentally by UV spectroscopy and RP-HPLC monitoring. Theoretical Density Functional based Tight Binding (DFTB) studies of the Michaelis complex ADA-CordOXO have revealed significant distance increases between the “active” H2O molecule and C6 of the 8-oxo-adenine moiety of CordOXO, i.e., 4 Å as opposed to 2.7 Å in the cases of ADA-dAdo and Cord. In conclusion, it can be postulated that the conversion of Cord to CordOXO enhances its therapeutic potential; however, this needs to be verified in vitro and in vivo. It should be emphasised that the therapeutic effect, if any, can be achieved theoretically without ADA inhibitors, e.g., pentostatin, thus reducing adverse effects. These promising preliminary results, presented here, warrant further investigations. Full article
Show Figures

Graphical abstract

18 pages, 943 KB  
Article
Sustainable Photocatalysis with Phenyl-Modified g-C3N4/TiO2 Polymer Hybrids: A Combined Computational and Experimental Investigation
by Riccardo Dettori, Sahar Aghapour Ghourichay, Stefania Porcu, Claudio Melis, Luciano Colombo and Pier Carlo Ricci
Polymers 2025, 17(10), 1331; https://doi.org/10.3390/polym17101331 - 14 May 2025
Cited by 1 | Viewed by 994
Abstract
We combined atomistic simulations and experiments to assess the photocatalytic potential of the rutile phase of TiO2 combined with phenyl-modified carbon nitride (PhCN). Density Functional Tight Binding (DFTB) calculations predict favorable adhesion properties and type-II band alignment, crucial for efficient charge separation [...] Read more.
We combined atomistic simulations and experiments to assess the photocatalytic potential of the rutile phase of TiO2 combined with phenyl-modified carbon nitride (PhCN). Density Functional Tight Binding (DFTB) calculations predict favorable adhesion properties and type-II band alignment, crucial for efficient charge separation between PhCN and rutile TiO2 surfaces. These theoretical predictions are validated experimentally: structural (XRD and Raman) and optical characterizations confirm the successful formation of a PhCN/rutile hybrid and indicate beneficial electronic interactions. Importantly, photocatalytic tests under visible light reveal significant degradation activity, confirming that the computationally predicted synergistic effects render the PhCN/rutile system a promising, potentially greener alternative to traditional anatase-based photocatalysts. Full article
(This article belongs to the Special Issue Polymer Materials for Environmental Applications)
Show Figures

Figure 1

13 pages, 3020 KB  
Article
The Structural Stability of Enzymatic Proteins in the Gas Phase: A Comparison of Semiempirical Hamiltonians and the GFN-FF
by Jarosław J. Panek
Molecules 2025, 30(10), 2131; https://doi.org/10.3390/molecules30102131 - 12 May 2025
Viewed by 1012
Abstract
The study of the gas-phase behavior of proteins has recently gained momentum due to numerous prospective applications in, e.g., the construction of molecular sensors or nano-machines. The study of proteins outside their standard water environment, necessary to arrive at their successful applied use, [...] Read more.
The study of the gas-phase behavior of proteins has recently gained momentum due to numerous prospective applications in, e.g., the construction of molecular sensors or nano-machines. The study of proteins outside their standard water environment, necessary to arrive at their successful applied use, is, however, limited by the loss of the structure and function of the macromolecules in the gas phase. We selected two enzymatic proteins with great potential for applied use, the digestive enzyme trypsin and the cytochrome sterol demethylase, for which to develop gas-phase structural models. The employed levels of theory were semiempirical, density functional tight binding, and polarizable force-field techniques. The convergence of the self-consistent field equations was very slow and in most cases led to oscillatory behavior, encouraging careful tuning of the convergence parameters. The structural optimization and molecular dynamics simulations indicated the parts of the proteins most prone to structural distortion under gas-phase conditions with unscreened electrostatics. This problem was more pronounced for cationic trypsin, for which the stability of the simulation was lower. The fate of the hydrogen bonding network of the catalytic triad in the gas phase was also investigated. Full article
(This article belongs to the Special Issue Hydrogen Bond and Intramolecular Force)
Show Figures

Figure 1

17 pages, 9977 KB  
Article
Statistical Properties of Correlated Semiclassical Bands in Tight-Binding Small-World Networks
by Natalya Almazova, Giorgos P. Tsironis and Efthimios Kaxiras
Entropy 2025, 27(4), 420; https://doi.org/10.3390/e27040420 - 12 Apr 2025
Viewed by 468
Abstract
Linear tight-binding models with long-range interactions and small-world geometry have a broad energy spectrum in the nearest neighbor coupling limit, while the spectrum becomes narrow in the fully connected limit due to the emergence of flat bands. A transition to a Wigner-like density [...] Read more.
Linear tight-binding models with long-range interactions and small-world geometry have a broad energy spectrum in the nearest neighbor coupling limit, while the spectrum becomes narrow in the fully connected limit due to the emergence of flat bands. A transition to a Wigner-like density of states appears at a low fraction of long-range bonds. Adding nonlinearity to the model introduces correlations among the stationary states, while multiple new states are generated as a result of the nonlinearity. In this work, we study the effect of band correlations on the local density of states for small-world networks as a function of the number of long-range bonds. We find that close to the nearest neighbor limit, the onset of correlations shifts the nonlinear density of states towards the band edge of the spectrum. Close to the opposite limit of the fully connected model, the band collapses in the band center, accompanied by a large increase in the new states induced by the nonlinearity. While in both limits the effect of correlations is to flatten the band, close to the mean field fully connected limit, the states are correlated and generally have distinct localized features. These effects may have implications for the dynamics of electrons in two-dimensional moiré structures and the onset of superconductivity in these systems. Full article
(This article belongs to the Special Issue New Challenges in Contemporary Statistical Physics)
Show Figures

Figure 1

23 pages, 5327 KB  
Article
Protect Effects of Perilla Seed Extract and Its Active Ingredient Luteolin Against Inflammatory Bowel Disease Model via the PI3K/AKT Signal Pathway In Vivo and In Vitro
by Jin Zhang, Linlu Zhao, Jieyi He, Huining Wu, Mengru Guo, Zhichao Yu, Xingbin Ma, Yanhong Yong, Youquan Li, Xianghong Ju and Xiaoxi Liu
Int. J. Mol. Sci. 2025, 26(8), 3564; https://doi.org/10.3390/ijms26083564 - 10 Apr 2025
Cited by 1 | Viewed by 1481
Abstract
The purpose of this study was to investigate the anti-inflammatory effects of Perilla Seed Extract (PSE) and its active ingredient on Inflammatory Bowel Disease (IBD) in vitro and in vivo. Thirty-two C57/BL mice were randomly divided into four groups (n = 8): [...] Read more.
The purpose of this study was to investigate the anti-inflammatory effects of Perilla Seed Extract (PSE) and its active ingredient on Inflammatory Bowel Disease (IBD) in vitro and in vivo. Thirty-two C57/BL mice were randomly divided into four groups (n = 8): control group (CON), PBS group, LPS group (LPS 3.5 mg/kg given intraperitoneally [ip] on day 7 of the study only), and PSE group (100 mg/kg orally daily + LPS ip at 3.5 mg/kg on day 7). Mice were euthanized 24 h after LPS administration. MODE-K cells were divided into five groups: control group (CON), LPS group (50 μg/mL LPS for 2 h), and PSE group (low dose, 25 μg/mL PSE + LPS; middle dose, 50 μg/mL PSE + LPS; high dose, 100 μg/mL PSE + LPS). In vivo, compared with the CON group, LPS revealed a significant decrease in the villus length-to-crypt depth ratio (p < 0.01) and goblet cell density per unit area (p < 0.01). Conversely, PSE administration resulted in a significant increase in the villus length-to-crypt depth ratio (p < 0.01) and goblet cell density (p < 0.01). LPS significantly increased the ROS content (p < 0.01), the secretion of inflammatory cytokines of IL-6 (p < 0.01), TNF-α (p < 0.01), and the mRNA expressions of HO-1 (p < 0.01). LPS significantly decreased the mRNA expressions of Occludin (p < 0.01) and Claudin1 (p < 0.01). In contrast, PSE treatment led to a marked decrease in ROS levels (p < 0.01), along with a reduction in the secretion of inflammatory factors IL-6 (p < 0.01) and TNF-α(p < 0.05), as well as the mRNA expressions of HO-1 (p < 0.01). Concurrently, PSE significantly increased the mRNA expressions of Occludin (p < 0.05) and Claudin1 (p < 0.01). In vitro, PSE treatment also significantly reversed LPS-induced inflammation, oxidation and tight junction–related factors. Network pharmacology identified 97 potential targets for PSE in treating IBD, while transcriptomics analysis revealed 342 differentially expressed genes (DEGs). Network pharmacology and transcriptomics analysis indicated that significant pathways included the PI3K-Akt signaling pathway, MAPK signaling pathway, and TNF signaling pathway, of which the PI3K-AKT pathway may represent the primary mechanism. In an in vivo setting, compared with the CON group, LPS led to a significant increase in the protein expression of p-PI3K/PI3K (p < 0.01) and p-AKT1/AKT1 (p < 0.01). Conversely, PSE resulted in a significant decrease in the protein expression of p-PI3K/PI3K (p < 0.01) and p-AKT1/AKT1 (p < 0.01). In vitro, compared with the LPS group, PSE also significantly blocked the protein expression of p-PI3K/PI3K (p < 0.01) and p-AKT1/AKT1 (p < 0.01). The chemical composition of PSE was analyzed using UPLC-MS/MS, which identified six components including luteolin (content 0.41%), rosmarinic acid (content 0.27%), α-linolenic acid (content 1.2%), and oleic acid (content 0.2%). Molecular docking found that luteolin could establish stable binding with eight targets, and luteolin significantly decreased the p-AKT1/AKT1 ratio (p < 0.01) compared to the LPS group in MODE-K cells. In summary, PSE demonstrates efficacy against IBD progression by enhancing intestinal barrier function and inhibiting inflammatory responses and oxidative stress via the PI3K/AKT signaling pathway, and luteolin’s inhibition of AKT1 protein phosphorylation appears to play a particularly crucial role in this therapeutic mechanism. Full article
(This article belongs to the Special Issue Characterization and Biological Function of Plant Extracts)
Show Figures

Graphical abstract

14 pages, 3891 KB  
Article
Tunable Optical Properties of Cu/VSe2 from the Visible to Terahertz Spectral Range: A First-Principles Study
by Elaheh Mohebbi, Eleonora Pavoni, Pierluigi Stipa, Luca Pierantoni, Emiliano Laudadio and Davide Mencarelli
Int. J. Mol. Sci. 2025, 26(6), 2527; https://doi.org/10.3390/ijms26062527 - 12 Mar 2025
Cited by 2 | Viewed by 891
Abstract
In this study, Density Functional Theory (DFT) and Density Functional Tight-Binding (DFTB) calculations were used to study two different interfaces of Cu/VSe2 as well as four nanodiodes of VSe2 bulk including/excluding the Cu layer. We calculated the electronic and optical properties [...] Read more.
In this study, Density Functional Theory (DFT) and Density Functional Tight-Binding (DFTB) calculations were used to study two different interfaces of Cu/VSe2 as well as four nanodiodes of VSe2 bulk including/excluding the Cu layer. We calculated the electronic and optical properties of two systems of two Cu/VSe2 in which Cu atoms are positioned on the top and at the corner of the VSe2 monolayer lattice. The electronic band structure calculations revealed that the metallic properties of the VSe2 monolayer did not change with the interface of Cu atoms; however, the peak around the Fermi level (EF) in Cu/VSe2(Top) shifted downward to lower energies. The optical properties showed that in the visible range and the wavelengths related to the interband transition/intraband excitation of Cu atoms, the enhancement of Re(ω) values could be observed for both Cu/VSe2(Top) and Cu/VSe2(Corner) nanostructures, while in infrared/terahertz ranges, less/more negative values of Re(ω) were predicted. Through the effect of Cu atoms on the VSe2 monolayer, the intensity of the peaks in the Im(ω) part of the dielectric constant was increased from 0.2 THz for Cu@VSe2(Top) and 2.9 THz for Cu@VSe2(Corner) instead of the zero constant line in the pure system of VSe2. Refractive index (n) calculations indicated the higher indices at 5.4 and 4.6 for Cu/VSe2(Top) and Cu@VSe2(Corner), respectively, in comparison to the value of 2.9 for VSe2. Finally, DFTB calculations predicted higher current values from I(V) characteristic curves of Au/Cu/VSe2/Au and Ag/Cu/VSe2/Ag nanodiodes concerning two other devices without the presence of the Cu layer. Full article
Show Figures

Figure 1

10 pages, 211 KB  
Review
Exploring Lymphangioma: A Synthesis of the Literature and Clinical Perspectives
by Nada Bochor and Parshotam Gera
Lymphatics 2025, 3(1), 4; https://doi.org/10.3390/lymphatics3010004 - 11 Feb 2025
Viewed by 2693
Abstract
Lymphatic malformations (LMs) are benign, congenital vascular anomalies caused by abnormal lymphangiogenesis during embryology, often presenting as fluid-filled cystic lesions. Though LMs can affect any part of the body except the brain, they primarily manifest in the head and neck or axilla regions [...] Read more.
Lymphatic malformations (LMs) are benign, congenital vascular anomalies caused by abnormal lymphangiogenesis during embryology, often presenting as fluid-filled cystic lesions. Though LMs can affect any part of the body except the brain, they primarily manifest in the head and neck or axilla regions of children. With a prevalence of approximately 1 in 4000 births, LMs are commonly diagnosed by age two, with symptoms varying based on lesion location and size. This paper reviews the classification of LMs and discusses the de Serres staging system, which aids in assessing prognosis based on lesion site. Mutations in the (PIK3CA) gene are implicated in most cases, and LMs are also associated with syndromic conditions like Turner and Noonan syndromes. They are diagnosed by ultrasound (USS) or magnetic resonance imaging (MRI), while a histologic analysis can confirm lymphatic origin. Treatment options range from conservative approaches, such as observation, to sclerotherapy, pharmacotherapy, and surgery. Sclerotherapy, particularly with agents like OK-432, bleomycin, and doxycycline, has shown significant efficacy in reducing LM size and symptoms with minimal side effects. Pharmacological therapies, such as sirolimus, that target the mTOR pathway are also increasingly being used, with a good effect on the burden of disease. While surgical excision remains a choice for symptomatic or large lesions, minimally invasive approaches are often preferred due to lower morbidity. Emerging techniques include gravity-dependent sclerotherapy, electrosclerotherapy, alpelisib, everolimus, and Wnt/β-catenin pathway stimulators (e.g., tankyrase inhibitors, porcupine inhibitors). Computational atomistic molecular dynamics (MD) and density functional tight binding (DFTB) techniques may offer an experimental approach to future therapeutic targets. This paper highlights a multidisciplinary approach to LM management, emphasising individualised treatment based on lesion characteristics and patient needs. Full article
14 pages, 4225 KB  
Article
Hybrid Materials Based on Carbon Nanotubes and Tetra- and Octa-Halogen-Substituted Zinc Phthalocyanines: Sensor Response Toward Ammonia from the Quantum-Chemical Point of View
by Pavel Krasnov, Victoria Ivanova, Darya Klyamer, Dmitry Bonegardt, Aleksandr Fedorov and Tamara Basova
Sensors 2025, 25(1), 149; https://doi.org/10.3390/s25010149 - 30 Dec 2024
Viewed by 1273
Abstract
This paper presents the results of quantum-chemical modeling performed by the Density Functional-Based Tight Binding (DFTB) method to investigate the change in the band structure of hybrid materials based on carbon nanotubes and unsubstituted, tetra-, or octa-halogen-substituted zinc phthalocyanines upon the adsorption of [...] Read more.
This paper presents the results of quantum-chemical modeling performed by the Density Functional-Based Tight Binding (DFTB) method to investigate the change in the band structure of hybrid materials based on carbon nanotubes and unsubstituted, tetra-, or octa-halogen-substituted zinc phthalocyanines upon the adsorption of ammonia molecules. The study showed that the electrical conductivity of these materials and its changes in the case of interaction with ammonia molecules depend on the position of the impurity band formed by the orbitals of macrocycle atoms relative to the forbidden energy gap of the hybrids. The sensor response of the hybrids containing halogenated phthalocyanines was lower by one or two orders of magnitude, depending on the number of substituents, compared to the hybrid with unsubstituted zinc phthalocyanine. This result was obtained by calculations performed using the nonequilibrium Green’s functions (NEGF) method, which demonstrated a change in the electrical conductivity of the hybrids upon the adsorption of ammonia molecules. The analysis showed that in order to improve the sensor characteristics of CNT-based hybrid materials, preference should be given to those phthalocyanines in which substituents contribute to an increase in HOMO energy relative to the unsubstituted macrocycles. Full article
Show Figures

Graphical abstract

10 pages, 7303 KB  
Article
Ascorbic Acid, Ascorbate, and Dehydroascorbic Acid as Green Corrosion Inhibitors: A Computational Investigation
by Bruno D. F. Souza, Mateus R. Lage, Adenilson Oliveira dos Santos, Francisco Ferreira de Sousa, Rodrigo Gester, Stanislav R. Stoyanov and Tarciso Andrade-Filho
Corros. Mater. Degrad. 2024, 5(4), 615-623; https://doi.org/10.3390/cmd5040029 - 12 Dec 2024
Cited by 2 | Viewed by 2114
Abstract
Ascorbic acid is widely used as an immunity-enhancing and antioxidant supplement for treating influenza and other virus-based illnesses. The lactone ring and the oxygenated groups make this system and derived structures attractive as possible environmentally friendly green corrosion inhibitors. Thus, we investigate the [...] Read more.
Ascorbic acid is widely used as an immunity-enhancing and antioxidant supplement for treating influenza and other virus-based illnesses. The lactone ring and the oxygenated groups make this system and derived structures attractive as possible environmentally friendly green corrosion inhibitors. Thus, we investigate the corrosion inhibition influence of ascorbic acid, ascorbate, and dehydroascorbic acid on the α-Fe(110) surface using density functional theory calculations. The adsorption, density of states, and charge transfer results indicate that dehydroascorbic acid is this series’s most potent corrosion inhibitor. The projected density of states near the Fermi energy reveals notable hybridization between the iron surface and dehydroascorbic acid adsorbed on it. The calculated structural, electronic, and energetic properties obtained in this work pave the way for understanding the corrosion inhibitory performance of the investigated systems. Full article
Show Figures

Figure 1

24 pages, 7747 KB  
Article
Bio-Based Corrosion Inhibition of Carbon Steel Using Ammi visnaga L. Essential Oil in Acidic Mediums: Experimental Analysis and Molecular Modeling
by Aouatife Zaher, Hassane Lgaz, Asmaa Boukhraz, Ali Aldalbahi, Han-seung Lee, Brahim Bourkhiss and Mohammed Ouhssine
Coatings 2024, 14(12), 1556; https://doi.org/10.3390/coatings14121556 - 12 Dec 2024
Cited by 6 | Viewed by 2509
Abstract
Bio-based corrosion inhibitor formulations are incredibly promising for mitigating corrosion, offering an environmentally sustainable approach while providing effective protection against material degradation. This study explores the corrosion inhibition potential of Ammi visnaga essential oil (AVEO) on carbon steel (CS) in a 1 mol/L [...] Read more.
Bio-based corrosion inhibitor formulations are incredibly promising for mitigating corrosion, offering an environmentally sustainable approach while providing effective protection against material degradation. This study explores the corrosion inhibition potential of Ammi visnaga essential oil (AVEO) on carbon steel (CS) in a 1 mol/L hydrochloric acid (HCl) medium, combining electrochemical impedance spectroscopy (EIS), potentiodynamic polarization (PDP), linear polarization resistance (LPR), weight loss (WL) analysis, density functional theory (DFT), density-functional tight-binding (DFTB) modeling, and molecular dynamics (MD) simulation. The AVEO was extracted through hydrodistillation, and its chemical profile was characterized to identify key active compounds. EIS and PDP results revealed that the AVEO effectively inhibited corrosion through the formation of a protective layer on the steel surface, exhibiting inhibition efficiencies of up to 84% at 3 g/L, with a mixed-type corrosion inhibition action. Nyquist plots displayed an increased polarization resistance with the AVEO concentration, indicating an enhanced surface coverage and reduction in active corrosion sites. WL studies further supported these findings, showing decreased corrosion rates proportional to the AVEO concentration, while temperature variation studies showed a decreased performance at higher temperatures. Scanning electron microscope (SEM) analysis supported the formation of an effective protective layer on the CS surface upon the addition of AVEO to the HCl medium. DFTB modeling and MD simulations were employed to evaluate the interaction between major AVEO constituents and the steel surface, providing insight into the adsorption behavior and the electronic contributions at the molecule–metal interface. The combined experimental and theoretical findings indicate that AVEO holds promise as a natural, eco-friendly corrosion inhibitor, with implications for sustainable metal protection in acidic environments. Full article
(This article belongs to the Special Issue Corrosion Protection of Metals and Alloys in Extreme Environments)
Show Figures

Figure 1

20 pages, 9308 KB  
Article
Effects of Crystallinity and Branched Chain on Thermal Degradation of Polyethylene: A SCC-DFTB Molecular Dynamics Study
by Shumao Zeng, Diannan Lu and Rui Yang
Polymers 2024, 16(21), 3038; https://doi.org/10.3390/polym16213038 - 29 Oct 2024
Cited by 6 | Viewed by 3595
Abstract
As a widely used plastic, the aging and degradation of polyethylene (PE) are inevitable problems, whether the goal is to prolong the life of PE products or address the issue of white pollution. Molecular simulation is a vital scientific tool in elucidating the [...] Read more.
As a widely used plastic, the aging and degradation of polyethylene (PE) are inevitable problems, whether the goal is to prolong the life of PE products or address the issue of white pollution. Molecular simulation is a vital scientific tool in elucidating the mechanisms and processes of chemical reactions. To obtain the distribution and evolution process of PE’s thermal oxidation products, this work employs the self-consistent charge–density functional tight binding (SCC-DFTB) method to perform molecular simulations of the thermal oxidation of PE with different crystallinity and branched structures. We discovered that crystallinity does not affect the thermal oxidation mechanism of PE, but higher crystallinity makes PE more susceptible to cross-linking and carbon chain growth, reducing the degree of PE carbon chain breakage. The branched structure of PE results in differences in free volumes between the carbon chains, with larger pores leading to a concentrated distribution of O2 and chemical defects subsequently formed. The breakdown of PE is slowed down when chemical defects are localized in low-density regions of the carbon chain. The specifics and mechanism of PE’s thermal oxidation are clearly revealed in this paper, which is essential for understanding the process in depth and for the development of anti-aging PE products. Full article
Show Figures

Figure 1

Back to TopTop