Sign in to use this feature.

Years

Between: -

Subjects

remove_circle_outline
remove_circle_outline
remove_circle_outline
remove_circle_outline
remove_circle_outline
remove_circle_outline
remove_circle_outline
remove_circle_outline
remove_circle_outline

Journals

remove_circle_outline
remove_circle_outline
remove_circle_outline
remove_circle_outline
remove_circle_outline
remove_circle_outline
remove_circle_outline
remove_circle_outline
remove_circle_outline
remove_circle_outline

Article Types

Countries / Regions

remove_circle_outline
remove_circle_outline
remove_circle_outline
remove_circle_outline
remove_circle_outline

Search Results (1,112)

Search Parameters:
Keywords = deformation source

Order results
Result details
Results per page
Select all
Export citation of selected articles as:
26 pages, 21078 KB  
Article
Geospatial Clustering of GNSS Stations Using Unsupervised Learning: A Statistical Framework to Enhance Deformation Analysis for Environmental Risk Management
by Daniel Álvarez-Ruiz, Alberto Sánchez-Alzola and Andrés Pastor-Fernández
Mathematics 2026, 14(5), 855; https://doi.org/10.3390/math14050855 (registering DOI) - 3 Mar 2026
Abstract
The global expansion of continuous GNSS networks has generated large-scale spatiotemporal datasets whose analysis requires robust mathematical and statistical tools. This study introduces a geospatial, multivariate statistical framework for classifying 21,548 GNSS stations from the University of Nevada repository. The methodology integrates harmonic [...] Read more.
The global expansion of continuous GNSS networks has generated large-scale spatiotemporal datasets whose analysis requires robust mathematical and statistical tools. This study introduces a geospatial, multivariate statistical framework for classifying 21,548 GNSS stations from the University of Nevada repository. The methodology integrates harmonic regression, stochastic noise modeling, quality assessment, and slope estimation into a unified feature space suitable for high-dimensional analysis. Using unsupervised learning clustering computed with our custom-developed code, based entirely on free and open-source software, we identify homogeneous station groups that reflect dominant signal properties—periodicity, noise structure, data quality, and long-term velocity—together with their spatial context. The resulting clusters exhibit strong mathematical coherence and reveal continental-scale patterns driven by seasonal forcing, tectonic regime, climatic variability, and monument stability. By grouping stations with similar statistical behavior, the proposed framework improves reference-site selection, enhances deformation-field interpretation, and supports the detection of anomalous or hazard-related behavior. Overall, this approach provides a scalable, data-driven mathematical tool for analyzing complex spatiotemporal signals and contributes to more reliable deformation modeling and environmental risk assessment. Full article
Show Figures

Figure 1

18 pages, 7743 KB  
Article
Deep Learning-Based Interferogram Quality Assessment and Application to Tectonic Deformation Study
by Ziwei Liu, Wenyu Gong, Zhenjie Wang, Jun Hua and Xu Liu
Remote Sens. 2026, 18(5), 733; https://doi.org/10.3390/rs18050733 - 28 Feb 2026
Viewed by 52
Abstract
Time-series interferometric synthetic aperture radar (TS-InSAR) has become a widely used technique for monitoring surface deformation with high spatial and temporal resolution. The recent rise in cloud-based InSAR platforms has significantly accelerated the production of interferograms. However, the accuracy of deformation inversion remains [...] Read more.
Time-series interferometric synthetic aperture radar (TS-InSAR) has become a widely used technique for monitoring surface deformation with high spatial and temporal resolution. The recent rise in cloud-based InSAR platforms has significantly accelerated the production of interferograms. However, the accuracy of deformation inversion remains limited by fundamental issues affecting interferogram quality, including temporal and spatial decorrelation and phase unwrapping errors. These degrading effects are most pronounced in vegetated, desert, and snow-covered terrains, which are common in active tectonic zones and thereby exert a major impact on the quality of the unwrapped phase. Traditional quality control methods are inefficient or inadequate for large-scale analysis, and discarding low-quality data reduces the inversion accuracy. To address these limitations, we developed a deep learning-based approach to automatically assess interferogram quality and integrate it into the time-series InSAR inversion workflow. We utilized Sentinel-1 interferograms generated by the COMET-LiCSAR system as the primary data source. Based on this dataset, we developed a multi-stage selection strategy for interferogram quality control, integrating loop phase closure analysis, statistical indicators (including coherence and phase standard deviation), and manual verification. As a result, we constructed a high-quality labeled dataset comprising approximately 20,000 samples. An improved ConvNeXt-InSAR model was designed and trained to automatically quantify the quality of each pixel in individual interferograms. The model generates pixel-wise quality maps, which are then incorporated as weight constraints in the time-series InSAR network inversion. The proposed method was applied to the interseismic deformation reconstruction in the central-southern Tibetan Plateau region. This study highlights the potential of deep learning-based interferogram quality assessment in facilitating large-scale, automated time-series InSAR processing. Full article
Show Figures

Figure 1

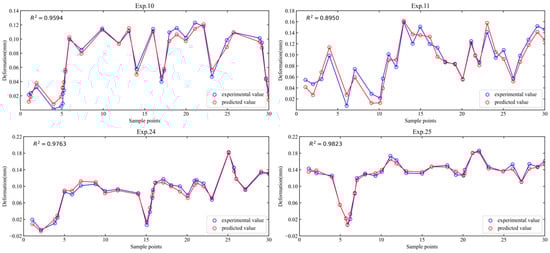
23 pages, 3218 KB  
Article
Machining Accuracy Prediction of Thin-Walled Components in Milling Based on Multi-Source Dynamic Signals
by Zhipeng Jiang, Xiangwei Liu, Xiaolin An, Xianli Liu, Aisheng Jiang and Guohua Zheng
Coatings 2026, 16(3), 295; https://doi.org/10.3390/coatings16030295 - 27 Feb 2026
Viewed by 126
Abstract
Thin-walled components used in aerospace manufacturing are highly susceptible to machining-induced deformation due to their low structural stiffness and dynamic cutting instability. Although signal-based modeling approaches have been reported for machining process monitoring and performance evaluation, deformation prediction of thin-walled structures requires explicit [...] Read more.
Thin-walled components used in aerospace manufacturing are highly susceptible to machining-induced deformation due to their low structural stiffness and dynamic cutting instability. Although signal-based modeling approaches have been reported for machining process monitoring and performance evaluation, deformation prediction of thin-walled structures requires explicit consideration of structural flexibility. To address this challenge, a deformation error prediction framework integrating multi-source dynamic machining signals with static structural flexibility characteristics is proposed, enabling simultaneous representation of process dynamics and structural response. Kernel principal component analysis (KPCA) is employed to reduce the feature dimensionality, and the extracted low-dimensional features are subsequently used as inputs for a kernel-based support vector regression (KSVR) model to establish the prediction framework. The proposed method was validated through 25 milling experiments conducted on Al7075-T6 thin-walled workpieces, where deformation error was measured at predefined monitoring points under varying process conditions. The results indicate that the proposed model achieves high predictive accuracy for machining-induced deformation, with RMSE values below 13 μm and R2 exceeding 0.89 on both validation and testing datasets, demonstrating strong agreement between predicted and experimental results. In addition, machining vibration amplitude exhibits a consistent correlation with deformation error, confirming that increased energy input and cutting instability significantly exacerbate thin-walled workpiece deformation. Full article
(This article belongs to the Special Issue Cutting Performance of Coated Tools)
Show Figures

Figure 1

20 pages, 2480 KB  
Article
Multi-Source Fusion Monitoring of Global and Local Inclination in Historic Buildings Using EKF with Fractional-Order State Modeling
by Pengfei Wang, Gen Liu, Canhui Wang, Ziyi Wang, Jian Wang, Yanjie Liu, Liang Liao, Qinwei Jiang and Guo Chen
Buildings 2026, 16(5), 935; https://doi.org/10.3390/buildings16050935 - 27 Feb 2026
Viewed by 116
Abstract
Historic buildings exhibit coupled response characteristics during long-term service, characterized by slowly varying global inclination evolution superimposed with local component-level deformation. Meanwhile, multi-source measurements are susceptible to environmental noise and structural non-integrality, which poses challenges to obtaining stable and physically interpretable inclination measurements. [...] Read more.
Historic buildings exhibit coupled response characteristics during long-term service, characterized by slowly varying global inclination evolution superimposed with local component-level deformation. Meanwhile, multi-source measurements are susceptible to environmental noise and structural non-integrality, which poses challenges to obtaining stable and physically interpretable inclination measurements. To address these issues, this study proposes a multi-source fusion monitoring method for global inclination and local deformation of historic buildings using an extended Kalman filter with fractional-order state modeling (FEKF). A state-space model incorporating global inclination, local component-level additional deformation, and their projection relationships is established, in which global inclination information derived from Global Navigation Satellite System (GNSS) and local observations obtained from inclinometers are formulated within a unified measurement framework. Fractional-order dynamics are introduced into the state evolution model to represent the long-memory and non-stationary characteristics of structural responses in historic buildings. By adopting a finite-memory approximation, the fractional-order model is embedded into the extended Kalman filtering framework, enabling joint estimation and physical decoupling of multi-source measurements. Numerical simulation results demonstrate that the proposed method can stably separate global inclination and local deformation components under noisy conditions, while improving the stability of global inclination estimation. Further validation using measured data from a historic building shows that the fusion results effectively suppress high-frequency disturbances in GNSS measurements and allow reliable reconstruction of local component-level inclination responses, indicating good stability and practical applicability. These results demonstrate that the proposed approach provides a physically consistent and robust solution for long-term posture and deformation monitoring of historic buildings. Full article
(This article belongs to the Section Architectural Design, Urban Science, and Real Estate)
Show Figures

Figure 1

33 pages, 15129 KB  
Article
Numerical Modeling of Acoustic Emission Source Mechanisms and Crack Damage in Westerly Granite Subject to Triaxial Compression Tests
by Yu Zhang, Sergio C. Vinciguerra, Gessica Umili and Anna M. Ferrero
Appl. Sci. 2026, 16(5), 2281; https://doi.org/10.3390/app16052281 - 26 Feb 2026
Viewed by 110
Abstract
This study investigates the complex relationship between fracture patterns and acoustic emission (AE) mechanisms during triaxial deformation experiments on Westerly granite under various confining pressures (5, 10, 20, and 40 MPa). Using numerical simulations with the Particle Flow Code (PFC2D, 6.0, Itasca Consulting [...] Read more.
This study investigates the complex relationship between fracture patterns and acoustic emission (AE) mechanisms during triaxial deformation experiments on Westerly granite under various confining pressures (5, 10, 20, and 40 MPa). Using numerical simulations with the Particle Flow Code (PFC2D, 6.0, Itasca Consulting Group Inc., Minneapolis, MN, USA), this research emphasizes the significant influence of confining pressure on crack development, AE events, spatiotemporal distribution, energy dissipation, and peak stress in the samples. AE source mechanisms, categorized into T-Type, C-Type, and S-Type, show the dominance of T-Type fractures during post-peak unstable failure and the emergence of C-Type fractures as precursors to critical damage. Additionally, increasing confining pressure is found to correlate with changes in fracture dynamics, evidenced by an increase in big events and a decrease in small events. The analysis of b-values across different pressures reveals fluctuations that indicate change in fracture features. Fractures originate in the model center and propagate towards both ends as loading progresses, ultimately leading to failure. In summary, these findings provide important insights into the fracture patterns of granite and the underlying mechanisms of AE release. Moreover, they carry practical implications for identifying failure precursors and for the potential application of early warning systems in rock engineering. Full article
(This article belongs to the Section Earth Sciences)
Show Figures

Figure 1

30 pages, 2430 KB  
Article
ST-GraphRCA: A Root Cause Analysis Model for Spatio-Temporal Graph Propagation in IoT Edge Computing
by Tianyi Su, Ruibing Mo, Yanyu Gong and Haifeng Wang
Sensors 2026, 26(5), 1474; https://doi.org/10.3390/s26051474 - 26 Feb 2026
Viewed by 137
Abstract
Real-time processing demands for massive IoT sensor data necessitate reliance on distributed microservice systems within edge clusters. However, pinpointing the root cause of anomalies within these edge microservice clusters poses a critical challenge for intelligent IoT operation and maintenance. To address the issue, [...] Read more.
Real-time processing demands for massive IoT sensor data necessitate reliance on distributed microservice systems within edge clusters. However, pinpointing the root cause of anomalies within these edge microservice clusters poses a critical challenge for intelligent IoT operation and maintenance. To address the issue, a spatio-temporal graph propagation model ST-GraphRCA is proposed for root cause analysis in IoT edge environments. Our approach begins by resolving the fundamental issue of time-series asynchrony across distributed multi-source metrics. A PCA-DTW hybrid feature extraction method is introduced with a dynamic alignment strategy to mitigate the effects of random network delays and data deformation without requiring prior synchronization. Subsequently, ST-GraphRCA constructs a stream-based forward propagation graph based on the flow conservation principle. By integrating dynamic edge weights with node-level input–output anomaly scores, ST-GraphRCA precisely infers fault propagation pathways and identifies potential root cause candidates through causal reasoning. Finally, a topology-constrained high-utility mining algorithm filters these candidates. Using a constraint matrix, the algorithm filters out unreachable service combinations to locate low-frequency and high-risk root causes. Experimental results indicate that ST-GraphRCA achieves an F1-Score of 0.89, outperforming existing methods. In resource-constrained edge scenarios, its average localization time is merely 238.8 ms, representing a six-fold improvement over key benchmarks. Thus, ST-GraphRCA not only provides an efficient anomaly fault tracing solution for large-scale IoT systems but also offers technical support for the intelligent operation and maintenance of distributed microservice systems. Full article
(This article belongs to the Section Industrial Sensors)
Show Figures

Figure 1

21 pages, 3989 KB  
Article
Ultrasound-Treated Dendrobium officinale Polysaccharides as Functional Ingredients for Plant-Based Yogurt: Enhancing Gel Properties of Soy Protein Isolate
by Yuhan Cao, Jinyao Zha, Yongtuo Zhang, Taoshi Liu, Jianming Cheng, Fan Zhao and Feng Xue
Gels 2026, 12(2), 174; https://doi.org/10.3390/gels12020174 - 16 Feb 2026
Viewed by 177
Abstract
The application of bioactive polysaccharides from medicine–food homology sources in the food industry still poses a significant challenge. This study investigated the effects of ultrasonically modified polysaccharides from Dendrobium officinale on the physicochemical properties of plant-based yogurt. The Dendrobium officinale polysaccharides were treated [...] Read more.
The application of bioactive polysaccharides from medicine–food homology sources in the food industry still poses a significant challenge. This study investigated the effects of ultrasonically modified polysaccharides from Dendrobium officinale on the physicochemical properties of plant-based yogurt. The Dendrobium officinale polysaccharides were treated with ultrasound at varying power levels (200–600 W) and durations (20–40 min). The modified polysaccharides (0.5%) were then incorporated into soy-protein-isolate-based (5%) yogurt, and the resulting composites were characterized in terms of their structural and functional properties. Results showed that optimal treatment (400 W, 20 min) reduced the particle size of the polysaccharides while enhancing their hydrophilicity and hydroxyl group exposure. The incorporation of these modified polysaccharides into SPI gels promoted probiotic growth, lowered the gel pH, and facilitated the formation of protein gel. Consequently, the resulting gels exhibited a denser microstructure, along with superior gel strength, water-holding capacity, apparent viscosity, storage modulus, deformation resistance, and antioxidant activity (scavenging DPPH and ABTS radicals). These findings suggest that ultrasonic treatment not only modifies polysaccharides from Dendrobium officinale to enhance their bioactivity but also augments their capacity to facilitate protein gel formation. This work provides the evidence that ultrasound-modified polysaccharides from Dendrobium officinale can simultaneously act as prebiotic stimulators and structural reinforcements, offering a novel strategy for designing high-quality plant-based yogurts. Full article
(This article belongs to the Special Issue Plant-Based Gels for Food Applications)
Show Figures

Figure 1

19 pages, 19029 KB  
Article
Mechanisms of Mining-Induced Surface Hazards Beneath Steep Ridge-Type Mountain Geometry
by Guangyao Song, Xin Yao, Xuwen Tian, Zhenkai Zhou and Xiaoqiang Chen
Sensors 2026, 26(4), 1260; https://doi.org/10.3390/s26041260 - 14 Feb 2026
Viewed by 317
Abstract
Coal mining in plain regions and its related surface subsidence and geological hazards have been extensively studied, whereas research on mining-induced hazards in mountainous areas remains limited. This knowledge gap has contributed to the frequent occurrence of mining disasters, particularly under steep ridge-type [...] Read more.
Coal mining in plain regions and its related surface subsidence and geological hazards have been extensively studied, whereas research on mining-induced hazards in mountainous areas remains limited. This knowledge gap has contributed to the frequent occurrence of mining disasters, particularly under steep ridge-type mountain geometry, where deformation characteristics, large-scale slope failure risks, and mining-induced hazard mechanisms remain poorly understood. In this study, a mining area in Zhenxiong, Zhaotong, Yunnan Province, China, is investigated using SBAS-InSAR, GNSS observations, UAV surveys, optical satellite imagery, and detailed field investigations. Surface hazards triggered by coal extraction are identified, and the response relationship between surface subsidence and mining activities is analyzed to reveal the development mechanisms of surface deformation beneath steep ridge-type mountain geometry. The results show that: (1) deep coal mining can still induce significant surface deformation due to the combined amplification effects of steep slopes and lithological conditions; (2) mining-induced deformation does not necessarily evolve into large-scale slope collapse and may gradually stabilize through natural adjustment processes; (3) SBAS-InSAR, validated by GNSS and field observations, provides an effective approach for detecting mining-related subsidence; (4) surface deformation in the study area is jointly influenced by multiple working faces; and (5) strong coupling between the unique steep ridge-type mountain geometry and underlying coal extraction leads to a compound disaster chain under multi-source interactions. These findings offer a critical scientific understanding of mining-induced deformation beneath steep ridge-type mountain geometry and provide important guidance for geological hazard prevention and control in similar mountainous mining areas. Full article
(This article belongs to the Section Remote Sensors)
Show Figures

Figure 1

16 pages, 3088 KB  
Article
Mechanical Characterization of Sustainable Fiber-Reinforced Plasters for Non-Structural Wall Application
by Buda Rocco and Pucinotti Raffaele
Fibers 2026, 14(2), 25; https://doi.org/10.3390/fib14020025 - 13 Feb 2026
Viewed by 180
Abstract
The seismic vulnerability of existing reinforced concrete buildings is often exacerbated by the inadequate mechanical performance of non-structural components, such as masonry infill walls, which may exhibit brittle behavior and limited deformation capacity under seismic actions. This issue highlights the need for innovative [...] Read more.
The seismic vulnerability of existing reinforced concrete buildings is often exacerbated by the inadequate mechanical performance of non-structural components, such as masonry infill walls, which may exhibit brittle behavior and limited deformation capacity under seismic actions. This issue highlights the need for innovative and compatible strengthening materials capable of improving ductility and damage tolerance while maintaining adequate mechanical strength. This study presents an experimental investigation aimed at developing a sustainable fiber-reinforced plaster manufactured exclusively from locally sourced natural materials from the Calabria region, including cork granules, broom fibers, and natural hydraulic lime. Following a preliminary experimental phase, the mixture containing 30% cork granules was selected as the reference matrix due to its favorable mechanical performance and deformability. In the present phase of the research, several composite formulations incorporating broom fibers were produced and experimentally characterized. Uniaxial tensile tests were conducted on broom fibers to assess their reinforcing potential, while compressive and flexural tests were performed on the plaster matrices. The experimental results show that the incorporation of broom fibers significantly enhances flexural behavior and post-cracking ductility, while maintaining compressive strength levels compatible with structural retrofit applications. The study demonstrates that the combined use of cork and broom fiber effectively enhances the mechanical performance of the plaster by promoting ductility, improving flexural behavior, and limiting crack initiation and propagation. The high tensile strength of the fibers promotes effective crack-bridging mechanisms and improved energy dissipation capacity. Overall, the combined use of cork aggregates and broom fibers results in a mechanically balanced plaster composite characterized by enhanced deformability and reduced brittleness. These features make the proposed material particularly suitable for the strengthening of masonry infill walls and for applications where improved ductility and damage tolerance are required, such as seismic retrofitting and restoration of existing buildings. Full article
Show Figures

Figure 1

27 pages, 7226 KB  
Article
Interpretable Deep Learning for Landslide Forecasting in Post-Seismic Areas: Integrating SBAS-InSAR and Environmental Factors
by H. Y. Guo and A. M. Martínez-Graña
Appl. Sci. 2026, 16(4), 1852; https://doi.org/10.3390/app16041852 - 12 Feb 2026
Viewed by 376
Abstract
Forecasting post-seismic landslide displacement is challenged by the difficulty in distinguishing short-term acceleration from creep and the risk of spatiotemporal leakage. To address this, an interpretable deep-learning framework is developed, integrating SBAS-InSAR time series with an Attention-enhanced Gated Recurrent Unit (Attention-GRU). Prior to [...] Read more.
Forecasting post-seismic landslide displacement is challenged by the difficulty in distinguishing short-term acceleration from creep and the risk of spatiotemporal leakage. To address this, an interpretable deep-learning framework is developed, integrating SBAS-InSAR time series with an Attention-enhanced Gated Recurrent Unit (Attention-GRU). Prior to modeling, a multi-stage preprocessing strategy, including empirical mode decomposition, is applied to mitigate noise and delineate active deformation zones. Unlike standard architectures, the model’s temporal attention mechanism adaptively amplifies critical precursory acceleration phases. Furthermore, a strict landslide-object-based partitioning strategy is employed to rigorously mitigate spatiotemporal leakage. The framework was evaluated in the Le’an Town landslide cluster using multi-source data. Targeting identified hazardous regions, the method achieved an R2 of 0.93 and reduced MAPE by 42.7% relative to the SVR baseline. This reflects a location-specific predictive capability, within active zones rather than regional generalization. SHapley Additive exPlanations (SHAP) further confirmed the model captures physical relationships, such as sensitivity to 25–35° slopes and vegetation degradation. Ultimately, the proposed framework offers a transparent, physically interpretable tool for operational hazard mitigation. Full article
(This article belongs to the Special Issue Remote Sensing Image Processing and Application, 2nd Edition)
Show Figures

Figure 1

48 pages, 37738 KB  
Article
Multi-Source 3D Documentation for Preserving Cultural Heritage
by Roxana-Laura Oprea, Ana Cornelia Badea and Gheorghe Badea
Appl. Sci. 2026, 16(4), 1834; https://doi.org/10.3390/app16041834 - 12 Feb 2026
Viewed by 263
Abstract
The monitoring and conservation of built heritage is a major challenge for the scientific community, given the continuous degradation caused by natural, anthropogenic and climatic factors. The generation of high-resolution 3D documentation is important in the diagnosis of deterioration in historic buildings and [...] Read more.
The monitoring and conservation of built heritage is a major challenge for the scientific community, given the continuous degradation caused by natural, anthropogenic and climatic factors. The generation of high-resolution 3D documentation is important in the diagnosis of deterioration in historic buildings and the planning of conservation and restoration efforts. The present study proposes an integrated, multi-source workflow combining terrestrial laser scanning (TLS), unmanned aerial vehicle (UAV) photogrammetry, and 3D camera interior scanning. This workflow was employed to document and evaluate the Casa Rusănescu monument in Craiova, Romania. The following processes were incorporated: coordinated acquisition, processing, alignment, evaluation of geometric consistency and deviation-based diagnosis. The diagnosis process include measuring the distance between data clouds and analyzing surface roughness, curvature, planarity and linearity. The workflow was designed to be applicable in real urban conditions, ensuring the coverage of façades, interiors and roof structures. The final, combined dataset contained over 235 million points and includes both interior and exterior geometries. This process helped identify various types of damage, such as cracks, exfoliation, plaster detachment, moisture-related changes, and geometric deformations. An additional AI-assisted validation step (Twinspect) was used to cross-check the degradation indicators derived from point-cloud analyses. The findings suggest that using multiple sensors improves spatial completeness, enhances anomaly detection, and establishes a reliable baseline prior to restoration interventions and long-term monitoring. This methodology facilitates the development of digital twins and GIS-based risk assessments, thereby providing a scalable solution for heritage preservation. Full article
Show Figures

Figure 1

22 pages, 9539 KB  
Article
Two Decades of Land Subsidence in Tianjin, China, Measured with Multi-Temporal InSAR Observations
by Haolin Zhao, Hongyue Zhou, Dashan Zhou and Chaoying Zhao
Sensors 2026, 26(4), 1203; https://doi.org/10.3390/s26041203 - 12 Feb 2026
Viewed by 204
Abstract
Land subsidence poses a persistent challenge to Tianjin, a major coastal city in China, with implications for urban infrastructure and sustainable development. This study examines the spatiotemporal evolution of ground subsidence in Tianjin from 2003 to 2024 using multi-source SAR observations from Envisat [...] Read more.
Land subsidence poses a persistent challenge to Tianjin, a major coastal city in China, with implications for urban infrastructure and sustainable development. This study examines the spatiotemporal evolution of ground subsidence in Tianjin from 2003 to 2024 using multi-source SAR observations from Envisat ASAR (C-band), ALOS PALSAR (L-band), and Sentinel-1 (C-band). Surface deformation was derived using SBAS-InSAR with atmospheric phase correction. Due to limitations in data availability, SAR observations are temporally discontinuous; therefore, the long-term subsidence evolution was reconstructed by integrating multi-sensor deformation rates through a model-based time-series fitting approach. The results show pronounced subsidence during 2003–2010 in inland districts such as Wuqing, Beichen, Jinnan, and Jinghai, with maximum rates exceeding 50 mm/yr. After 2017, regional subsidence rates generally declined, while localized deformation became increasingly concentrated in coastal reclamation areas of the Binhai New Area, particularly around Dongjiang Port and Fuzhuang. Spatial and temporal patterns of subsidence exhibit clear correspondence with changes in groundwater use intensity and phases of urban construction and land reclamation. These observations suggest a transition in dominant subsidence controls over time. The results provide a long-term observational perspective on subsidence evolution in Tianjin and offer a geospatial basis for land-use planning and infrastructure risk assessment in coastal cities. Full article
(This article belongs to the Section Radar Sensors)
Show Figures

Figure 1

24 pages, 7093 KB  
Article
Ultra-Long-Term Time-Series Subsidence Estimation for Urban Area Based on Combined Interferometric Subset Stacking and Data Fusion Algorithm (ISSDF)
by Xuemin Xing, Haoxian Li, Guanfeng Zheng, Zien Xiao, Xiangjun Yao, Chuanjun Wu and Xiongwei Yang
Remote Sens. 2026, 18(4), 565; https://doi.org/10.3390/rs18040565 - 11 Feb 2026
Viewed by 159
Abstract
Monitoring urban subsidence over ultra-long periods using time-series Interferometric synthetic aperture radar (InSAR) technology is critically important. Conventional approaches, however, face two main limitations: significant atmospheric phase residuals in complex urban settings, and discontinuous temporal time-series with short temporal coverage due to single-platform [...] Read more.
Monitoring urban subsidence over ultra-long periods using time-series Interferometric synthetic aperture radar (InSAR) technology is critically important. Conventional approaches, however, face two main limitations: significant atmospheric phase residuals in complex urban settings, and discontinuous temporal time-series with short temporal coverage due to single-platform data constraints. To address these limitations, this study presents a new method for estimating ultra-long-term subsidence time series in urban areas, which combines Interferometric Subset Stacking (ISS) with multi-platform data fusion (DF). The methodology firstly processes TerraSAR-X and Sentinel-1A datasets through differential interferometry and applies ISS for atmospheric phase suppression. Next, bilinear interpolation unifies the spatial resolution and aligns the spatial reference frames of the two datasets. Subsequently, joint modeling derives subsidence velocities. Finally, temporal integration via linear interpolation and moving averaging produces a unified spatio-temporal deformation sequence. Applied to the Beijing region, China, this approach generated a 12-year ultra-long-term subsidence time series result (2012–2024), revealing maximum cumulative subsidence of 1100 mm spatially correlated with groundwater extraction patterns. Validation against Global Navigation Satellite System (GNSS) data showed strong agreement (correlation coefficient: 0.94, Root Mean Square Error (RMSE): 6.3 mm). The method achieved substantial atmospheric reduction—67.7% for Sentinel-1A and 24.1% for TerraSAR-X—representing approximately 15–20% accuracy improvement over conventional Generic Atmospheric Correction Online Service (GACOS) for InSAR. By effectively utilizing multi-platform data, this approach makes fuller use of the available phase information and compensates for the temporal gaps inherent in single-satellite datasets. It thus offers a valuable framework for long-term urban deformation monitoring. Full article
(This article belongs to the Section Urban Remote Sensing)
Show Figures

Figure 1

30 pages, 12276 KB  
Article
Landslide Susceptibility Assessment in Zunyi City Incorporating MT-InSAR-Based Physical Constraints and Explainable Analysis
by Zirui Zhang, Qingfeng Hu, Haoran Fang, Wenkai Liu, Shoukai Chen, Qifan Wu, Peng Wang, Weiqiang Lu, Weibo Yin, Tangjing Ma and Ruimin Feng
Remote Sens. 2026, 18(3), 515; https://doi.org/10.3390/rs18030515 - 5 Feb 2026
Viewed by 212
Abstract
Landslide susceptibility maps (LSMs) are crucial for risk mitigation, but integrating Multi-temporal Interferometric Synthetic Aperture Radar (MT-InSAR) data is often hampered by a lack of physical interpretation. To address this issue, this study proposes an enhanced modeling framework that integrates multi-source monitoring data [...] Read more.
Landslide susceptibility maps (LSMs) are crucial for risk mitigation, but integrating Multi-temporal Interferometric Synthetic Aperture Radar (MT-InSAR) data is often hampered by a lack of physical interpretation. To address this issue, this study proposes an enhanced modeling framework that integrates multi-source monitoring data by coupling dynamic deformation features. Ground deformation velocity is obtained using MT-InSAR and embedded as dynamic physical constraints into the loss function of a Multi-Layer Perceptron (MLP) model. This approach enables the joint optimization of static geological factors and dynamic deformation characteristics in landslide susceptibility prediction. The proposed framework was applied to Zunyi City, Guizhou Province, China, utilizing an inventory of landslide hazard sites and a dataset of 16 susceptibility factors for model training and evaluation. The results demonstrated that the dynamically constrained model significantly improved predictive performance (AUC = 0.976, an increase of 0.032 compared to the baseline model), and enhanced spatial consistency, reflected by an average increase of 0.0184 in predicted susceptibility for inventoried landslide hazard sites. The framework also outperformed other conventional machine learning models across multiple evaluation metrics. Furthermore, SHAP (SHapley Additive exPlanations) analysis revealed that slope (18.68%), DEM (13.26%), rainfall (11.57%), and mining activities (8.79%) were the primary contributing factors in high-susceptibility areas. This study offers a physically interpretable and robust methodology that advances landslide risk assessment and contributes to disaster prevention strategies. Full article
Show Figures

Figure 1

21 pages, 10158 KB  
Article
Research on Hot Spot Fault Detection Method Based on Infrared Images of Photovoltaic Modules in Complex Background
by Lei Li, Weili Wu and Zhong Li
Sensors 2026, 26(3), 1024; https://doi.org/10.3390/s26031024 - 4 Feb 2026
Viewed by 234
Abstract
Aiming at the problem that fault characteristics cannot be effectively expressed due to the low pixel proportion of the hot spot target and background interference when detecting hot spot faults in complex environments, a photovoltaic module hot spot fault detection method integrating U-Net [...] Read more.
Aiming at the problem that fault characteristics cannot be effectively expressed due to the low pixel proportion of the hot spot target and background interference when detecting hot spot faults in complex environments, a photovoltaic module hot spot fault detection method integrating U-Net and YOLOv8 is proposed. Firstly, the U-Net segmentation network is introduced to remove pseudo-high-brightness heat sources in the background and highlight the contour features of the photovoltaic panels, laying a good foundation for the subsequent photovoltaic hot spot fault detection tasks. Secondly, a detection network is built based on the YOLOv8 framework. Aiming at the problems that it is difficult to extract the hot spot features of photovoltaic panels of different sizes and to balance the reasoning speed and detection accuracy, a detection network based on deformable convolution and GhostNet is designed. Furthermore, to enhance the adaptability of the convolutional neural network to multi-scale hot spot targets, deformable convolution (DCN) is introduced into the YOLOv8 network. By adaptively adjusting the shape and size of the receptive field, the detection accuracy is further improved. Then, aiming at the issue that it is difficult to balance accuracy and speed in the detection network, the C2f_Ghost module is designed to simplify the network parameters and improve the model inference speed. To verify the effectiveness of the algorithm, a comparison is made with SSD, YOLOv5, YOLOv7, and YOLOv8. The results show that the proposed algorithm can accurately detect hot spot faults, with an accuracy of up to 88.5%. Full article
Show Figures

Figure 1

Back to TopTop