Sign in to use this feature.

Years

Between: -

Subjects

remove_circle_outline
remove_circle_outline
remove_circle_outline
remove_circle_outline
remove_circle_outline
remove_circle_outline
remove_circle_outline
remove_circle_outline
remove_circle_outline

Journals

Article Types

Countries / Regions

Search Results (109)

Search Parameters:
Keywords = decentralized tracking control

Order results
Result details
Results per page
Select all
Export citation of selected articles as:
23 pages, 2287 KB  
Article
Large-Scale Metro Train Timetable Rescheduling via Multi-Agent Deep Reinforcement Learning: A High-Dimensional Optimization Approach in Flatland Environment
by Jufen Yang, Haozhe Yang, Weikang Wang and Chengyang Xia
Appl. Sci. 2026, 16(7), 3338; https://doi.org/10.3390/app16073338 (registering DOI) - 30 Mar 2026
Abstract
Metro train timetable rescheduling (TTR) is a critical task for ensuring the reliability of urban rail transit systems. However, with the increasing density of railway networks and the growing number of operational trains, TTR has evolved into a typical high-dimensional and large-scale optimization [...] Read more.
Metro train timetable rescheduling (TTR) is a critical task for ensuring the reliability of urban rail transit systems. However, with the increasing density of railway networks and the growing number of operational trains, TTR has evolved into a typical high-dimensional and large-scale optimization problem. Traditional mathematical programming and heuristic approaches often struggle with the “curse of dimensionality” and fail to provide real-time responses under stochastic disturbances. To address these challenges, this paper proposes a novel framework based on Multi-Agent Deep Reinforcement Learning (MADRL). Specifically, we model the TTR problem as a decentralized cooperative process and utilize the Multi-Agent Advantage Actor-Critic (MAA2C) algorithm to optimize train schedules dynamically. The proposed framework is implemented within the Flatland simulation environment, which allows for the representation of complex arbitrary topologies. We design a composite reward function that minimizes total delay deviation while maximizing passenger satisfaction, subject to constraints such as headway, operating time, and train capacity. Furthermore, to enhance the robustness of the model against high-dimensional state uncertainties, random disturbances following a negative exponential distribution are introduced during training. Experimental results across various scenarios—ranging from simple dual-track to complex random networks—demonstrate that the MAA2C-based approach significantly outperforms traditional baselines. It not only achieves faster convergence in small-scale scenarios but also demonstrates superior computational efficiency and scalability in large-scale environments, effectively minimizing passenger waiting times. This study validates the potential of MADRL in solving high-dimensional traffic control problems for intelligent transportation systems. Full article
(This article belongs to the Special Issue Advances in Transportation and Smart City)
27 pages, 1924 KB  
Article
Role-Structured Multi-Agent Pursuit–Evasion with Potential Game Constraints for Heterogeneous Airship–UAV Systems
by Kejie Yang, Ming Zhu and Yifei Zhang
Drones 2026, 10(4), 248; https://doi.org/10.3390/drones10040248 - 29 Mar 2026
Abstract
Cooperative pursuit–evasion with heterogeneous agents poses a training challenge that flat multi-agent reinforcement learning methods handle poorly: the pursuer team must coordinate internally while competing against adversarial targets, and the two forms of coupling require different learning signals. We present a potential-game-constrained role-structured [...] Read more.
Cooperative pursuit–evasion with heterogeneous agents poses a training challenge that flat multi-agent reinforcement learning methods handle poorly: the pursuer team must coordinate internally while competing against adversarial targets, and the two forms of coupling require different learning signals. We present a potential-game-constrained role-structured tracking framework: a centralized training, decentralized execution algorithm for airship-guided unmanned aerial vehicle teams. It decomposes the multi-agent interaction into an internal potential game among pursuers and an external general-sum game against independently controlled targets, and pairs role-structured critics with multi-head attention over heterogeneous agent tokens and a two-stage task-assignment solver embedded as critic conditioning. The simulation results in a three-dimensional environment show that the proposed framework maintains high capture success in multi-target scenarios where standard baselines degrade substantially. A Gazebo-based visual simulation with full rigid-body dynamics confirms that the learned policy transfers to a higher-fidelity simulator after continuation training with a cascaded PID inner-loop controller. Full article
(This article belongs to the Special Issue UAV Swarm Intelligent Control and Decision-Making)
32 pages, 24330 KB  
Article
Reciprocal Neural State–Disturbance Observer for Model-Free Trajectory Tracking of Robotic Manipulators
by Binluan Wang, Yuchen Peng, Hongzhe Jin and Jie Zhao
Mathematics 2026, 14(6), 983; https://doi.org/10.3390/math14060983 - 13 Mar 2026
Viewed by 179
Abstract
High-precision trajectory tracking of robotic manipulators is fundamentally challenged by strong nonlinear dynamics, unmodeled uncertainties, and external disturbances. This paper proposes a Reciprocal Neural State–Disturbance Observer (RNSDO) featuring a neural activation mechanism for adaptive gain modulation and a reciprocally coupled state–disturbance estimation architecture. [...] Read more.
High-precision trajectory tracking of robotic manipulators is fundamentally challenged by strong nonlinear dynamics, unmodeled uncertainties, and external disturbances. This paper proposes a Reciprocal Neural State–Disturbance Observer (RNSDO) featuring a neural activation mechanism for adaptive gain modulation and a reciprocally coupled state–disturbance estimation architecture. By reshaping the observer error dynamics through mutual feedback between state and disturbance estimation, the proposed structure alleviates the conflict between fast transient disturbance reconstruction and steady-state noise suppression, while requiring only position measurements. A decentralized position controller is designed based on RNSDO. The global asymptotic stability of the resulting closed-loop system is rigorously established via Lyapunov analysis. Extensive simulations on a PUMA 560 and experiments on a 7-DOF Franka FR3 robotic manipulator demonstrate highly consistent performance trends. The proposed method achieves improved state and disturbance estimation accuracy and enhanced robustness against unmodeled dynamics and payload variations compared with a linear Improved Extended State Observer (IESO), a classical Nonlinear Extended State Observer (NLESO), and a model-based Nonlinear Disturbance Observer-based Adaptive Robust Controller (NDO-ARC). Furthermore, the algorithm exhibits excellent real-time feasibility with a minimal computational footprint. Full article
(This article belongs to the Special Issue Mathematical Methods for Intelligent Robotic Control and Design)
Show Figures

Figure 1

28 pages, 632 KB  
Article
Decentralized Q-Learning Supervisory Control for Coordinated Multi-Loop Tuning in Pump Stations
by David A. Brattley and Wayne W. Weaver
Machines 2026, 14(3), 299; https://doi.org/10.3390/machines14030299 - 6 Mar 2026
Viewed by 226
Abstract
This paper introduces a reinforced learning-based supervisory control architecture that oversees multiple Recursive Least Squares (RLS) based self-tuning pump controllers and determines when each loop is permitted to adapt its gains. The supervisor learns adaptation policies that minimize interaction between loops while preserving [...] Read more.
This paper introduces a reinforced learning-based supervisory control architecture that oversees multiple Recursive Least Squares (RLS) based self-tuning pump controllers and determines when each loop is permitted to adapt its gains. The supervisor learns adaptation policies that minimize interaction between loops while preserving responsiveness to changing hydraulic conditions. A two-loop pump station simulation is used to evaluate performance under product changes and transient flow disturbances. The results show that the supervisory layer reduces the number of simultaneous adaptation events by over 70%, leading to a 32% lower pressure-tracking error and 45% fewer gain-induced oscillations compared to conventional independent adaptive control. The reinforcement learning policy converges within 15 training episodes, resulting in stable adaptation scheduling and seamless transitions. The key novelty of this work lies in introducing decentralized reinforcement-learning-based coordination for adaptive pump control, enabling supervisory decision-making that actively prevents interference between controllers during transients. This approach provides a scalable and lightweight solution for coordinating multi-loop pump stations, enhancing robustness and operational performance in real-world pipeline systems. Full article
(This article belongs to the Section Automation and Control Systems)
Show Figures

Figure 1

26 pages, 11920 KB  
Article
Autonomous Control of Satellite Swarms Using Minimal Vision-Based Behavioral Control
by Marco Sabatini
Aerospace 2026, 13(3), 207; https://doi.org/10.3390/aerospace13030207 - 24 Feb 2026
Viewed by 354
Abstract
In recent years, the trend toward spacecraft miniaturization has led to the widespread adoption of micro- and nanosatellites, driven by their reduced development costs and simplified launch logistics. Operating these platforms in coordinated fleets, or swarms, represents a promising approach to overcoming the [...] Read more.
In recent years, the trend toward spacecraft miniaturization has led to the widespread adoption of micro- and nanosatellites, driven by their reduced development costs and simplified launch logistics. Operating these platforms in coordinated fleets, or swarms, represents a promising approach to overcoming the inherent limitations of individual spacecraft by distributing sensing and processing capabilities across multiple units. For systems of this scale, decentralized guidance and control architectures based on so-called behavioral strategies offer an attractive solution. These approaches are inspired by biological swarms, which exhibit remarkable robustness and adaptability through simple local interactions, minimal information exchange, and the absence of centralized supervision, but their application to space scenarios is limited, if not negligible. This work investigates the feasibility of autonomous swarm maintenance subject to orbital forces, under the stringent actuation, sensing, and computational constraints typical of nanosatellite platforms. Each spacecraft is assumed to carry a single monocular camera aligned with the along-track direction. The proposed behavioral control framework enables decentralized formation keeping without ground intervention or centralized coordination. Since control actions rely on the relative motion of neighboring satellites, a lightweight relative navigation capability is required. The results indicate that complex vision pipelines can be replaced by simple blob-based image processing, although a (rough) reconstruction of elative parameters remains essential to avoid unnecessary control effort arising from suboptimal guidance decisions. Full article
(This article belongs to the Special Issue Progress in Satellite Formation Flying Technologies)
Show Figures

Figure 1

39 pages, 2415 KB  
Article
Unified Algebraic Framework for Centralized and Decentralized MIMO RST Control for Strongly Coupled Processes
by Cesar A. Peregrino, Guadalupe Lopez Lopez, Nelly Ramirez-Corona, Victor M. Alvarado, Froylan Antonio Alvarado Lopez and Monica Borunda
Mathematics 2026, 14(4), 677; https://doi.org/10.3390/math14040677 - 14 Feb 2026
Viewed by 237
Abstract
Reliable multivariable control is critical for industrial sectors where processes exhibit severe nonlinearities and interactions. A Continuous Stirred Tank Reactor (CSTR) is a rigorous benchmark for testing control strategies addressing these complexities. This work first establishes a linear MIMO mathematical framework to define [...] Read more.
Reliable multivariable control is critical for industrial sectors where processes exhibit severe nonlinearities and interactions. A Continuous Stirred Tank Reactor (CSTR) is a rigorous benchmark for testing control strategies addressing these complexities. This work first establishes a linear MIMO mathematical framework to define the specific structure of such interactive systems. Analysis via phase planes and steady-state analysis reveals low controllability, bistability, and strong coupling, leading to the collapse of traditional decoupled control schemes. To address these issues via multivariable control, we propose a centralized MIMO RST control structure synthesized via a Matrix Fraction Description (MFD) and the extended Bézout equation. Simulations for performance evaluation and comparison highlight the following key findings: (1) the centralized RST maintains stability and tracking precision in regions where decentralized RST loops fail; (2) it exhibits performance comparable to the Augmented State Pole Placement with Integral Action (ASPPIA) method and outperforms the standard Model-Based Predictive Control (MPC) baseline, particularly during critical equilibrium point transitions; and (3) it offers a robust yet computationally simple design that provides superior flexibility for pole placement, accommodating future identification-based models and adaptive tuning. These results validate our algebraic synthesis as a robust, computationally efficient solution for managing highly interactive nonlinear dynamics. Full article
(This article belongs to the Section E2: Control Theory and Mechanics)
Show Figures

Figure 1

29 pages, 4897 KB  
Article
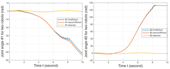
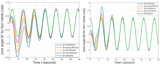
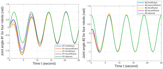
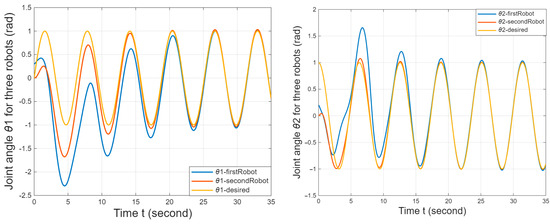
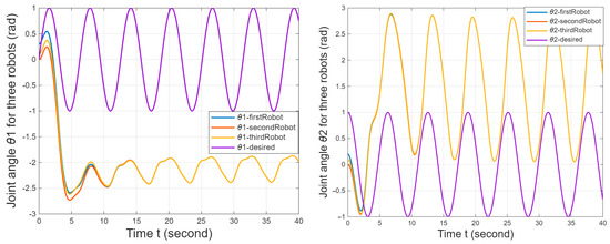
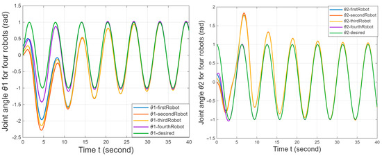
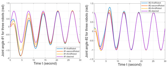
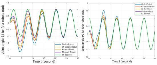
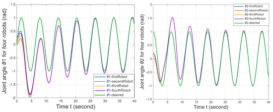
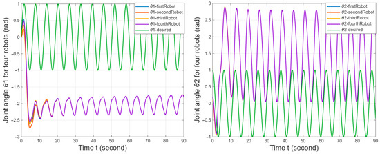
Asymmetric Coupled Control Framework for Synchronizing Multiple Robotic Manipulators
by Bin Wei
Machines 2026, 14(2), 190; https://doi.org/10.3390/machines14020190 - 8 Feb 2026
Viewed by 254
Abstract
An asymmetric-coupling decentralized control framework is developed using a Lyapunov-like lemma to achieve synchronization and trajectory tracking among multiple robots. Multiple robots are treated as a single integrated system when employing a Lyapunov-based strategy to design the asymmetric coupled control system. The challenge [...] Read more.
An asymmetric-coupling decentralized control framework is developed using a Lyapunov-like lemma to achieve synchronization and trajectory tracking among multiple robots. Multiple robots are treated as a single integrated system when employing a Lyapunov-based strategy to design the asymmetric coupled control system. The challenge of verifying the negative semi-definiteness of the Lyapunov function’s time derivative, due to the inclusion of asymmetric coupling terms from the controllers, is addressed through grouping and factorization techniques. The benefits of asymmetric coupling control are demonstrated in comparison to two-way coupling control. Two, three, and four robots are studied, respectively. In graph theory, several control-coupling topologies exist for networked robots. A family of coupling topologies for the four-robot system is compared and ranked in terms of the joint convergence speed and servo gains. Numerical simulations and comparisons are conducted to verify the theoretical results. Full article
(This article belongs to the Section Automation and Control Systems)
Show Figures

Figure 1

26 pages, 5175 KB  
Article
A Finite Control Set–Model Predictive Control Method for Hybrid AC/DC Microgrid Operation with PV, Wind Generation, and Energy Storage System
by Muhammad Nauman Malik, Qianyu Zhao and Shouxiang Wang
Energies 2026, 19(3), 754; https://doi.org/10.3390/en19030754 - 30 Jan 2026
Viewed by 468
Abstract
The global transition towards decentralized, decarbonized energy systems worldwide must include robust methods for controlling hybrid AC/DC microgrids to integrate diverse renewables and storage technologies effectively. This paper presents a Finite Control Set–Model Predictive Control (FCS-MPC) architecture for coordinated control of a hybrid [...] Read more.
The global transition towards decentralized, decarbonized energy systems worldwide must include robust methods for controlling hybrid AC/DC microgrids to integrate diverse renewables and storage technologies effectively. This paper presents a Finite Control Set–Model Predictive Control (FCS-MPC) architecture for coordinated control of a hybrid microgrid comprising photovoltaic and wind generation, along with an energy storage system and MATLAB/Simulink component-level modeling. The islanded and grid-connected modes of operation are seamlessly simulated at the component level, ensuring maximum power point tracking and stability. The method has been experimentally validated through dynamic simulations across a range of operating conditions, demonstrating good performance: PV and wind MPPT efficiency > 99%, DC-link voltage control with <2% overshoot, AC voltage THD < 3%, and efficient grid synchronization. It is superior to conventional PID and sliding mode control in terms of dynamic response, voltage deviation (reduced compared to before), and power quality. The proposed FCS-MPC is an all-in-one solution to enhance the stability, reliability, and efficiency of modern hybrid microgrids. Full article
(This article belongs to the Section F1: Electrical Power System)
Show Figures

Figure 1

23 pages, 3086 KB  
Article
MARL-Driven Decentralized Crowdsourcing Logistics for Time-Critical Multi-UAV Networks
by Juhyeong Han and Hyunbum Kim
Electronics 2026, 15(2), 331; https://doi.org/10.3390/electronics15020331 - 12 Jan 2026
Viewed by 347
Abstract
Centralized UAV logistics controllers can achieve strong navigation performance in controlled settings, but they do not capture key deployment factors in crowdsourcing-enabled emergency logistics, where heterogeneous UAV owners participate with unreliability and dropout, and incentive expenditure and fairness must be accounted for. This [...] Read more.
Centralized UAV logistics controllers can achieve strong navigation performance in controlled settings, but they do not capture key deployment factors in crowdsourcing-enabled emergency logistics, where heterogeneous UAV owners participate with unreliability and dropout, and incentive expenditure and fairness must be accounted for. This paper presents a decentralized crowdsourcing multi-UAV emergency logistics framework on an edge-orchestrated architecture that (i) performs urgency-aware dispatch under distance/energy/payload constraints, (ii) tracks reliability and participation dynamics under stress (unreliable agents and dropout), and (iii) quantifies incentive feasibility via total payment and payment inequality (Gini). We adopt a hybrid decision design in which PPO/DQN policies provide real-time navigation/control, while GA/ACO act as planning-level route refinement modules (not reinforcement learning) to improve global candidate quality under safety constraints. We evaluate the framework in a controlled grid-world simulator and explicitly report stress-matched re-evaluation results under matched stress settings, where applicable. In the nominal comparison, centralized DQN attains high navigation-centric success (e.g., 0.970 ± 0.095) with short reach steps, but it omits incentives by construction, whereas the proposed crowdsourcing method reports measurable payment and fairness outcomes (e.g., payment and Gini) and remains evaluable under unreliability and dropout sweeps. We further provide a utility decomposition that attributes negative-utility regimes primarily to collision-related costs and secondarily to incentive expenditure, clarifying the operational trade-off between mission value, safety risk, and incentive cost. Overall, the results indicate that navigation-only baselines can appear strong when participation economics are ignored, while a deployable crowdsourcing system must explicitly expose incentive/fairness and robustness characteristics under stress. Full article
(This article belongs to the Special Issue Parallel and Distributed Computing for Emerging Applications)
Show Figures

Figure 1

29 pages, 3501 KB  
Article
Stochastic Model Predictive Control for Photovoltaic Energy Plants: Coordinating Energy Storage, Generation, and Power Quality
by Pablo Velarde and Antonio J. Gallego
Energies 2026, 19(1), 232; https://doi.org/10.3390/en19010232 - 31 Dec 2025
Viewed by 447
Abstract
The increasing integration of photovoltaic (PV) systems into modern power grids poses significant operational challenges, including variability in solar generation, fluctuations in demand, degradation of power quality, and reduced reliability under uncertain conditions. Addressing these challenges requires advanced control strategies that can manage [...] Read more.
The increasing integration of photovoltaic (PV) systems into modern power grids poses significant operational challenges, including variability in solar generation, fluctuations in demand, degradation of power quality, and reduced reliability under uncertain conditions. Addressing these challenges requires advanced control strategies that can manage uncertainty while coordinating storage, inverter-level actions, and power quality functions. This paper proposes a unified stochastic Model Predictive Control (SMPC) framework for the optimal management of photovoltaic (PV) systems under uncertainty. The approach integrates chance-constrained optimization with Value-at-Risk (VaR) modeling to ensure system reliability under variable solar irradiance and demand profiles. Unlike conventional deterministic MPCs, the proposed method explicitly addresses stochastic disturbances while optimizing energy storage, generation, and power quality. The framework introduces a hierarchical control architecture, where a centralized SMPC coordinates global energy flows, and decentralized inverter agents perform local Maximum Power Point Tracking (MPPT) and harmonic compensation based on the instantaneous power theory. Simulation results demonstrate significant improvements in energy efficiency from 78% to 85%, constraint satisfaction from 85% to 96%, total harmonic distortion reduction by 25%, and resilience (energy supply loss reduced from 15% to 5% under fault conditions), compared to classical deterministic approaches. This comprehensive methodology offers a robust solution for integrating PV systems into modern grids, addressing sustainability and reliability goals under uncertainty. Full article
(This article belongs to the Special Issue Solar Energy Conversion and Storage Technologies)
Show Figures

Figure 1

21 pages, 1482 KB  
Article
Asymmetric Fingerprint Scheme for Vector Geographic Data Based on Smart Contracts
by Lei Wang, Liming Zhang, Ruitao Qu, Tao Tan, Shuaikang Liu and Na Ren
ISPRS Int. J. Geo-Inf. 2026, 15(1), 15; https://doi.org/10.3390/ijgi15010015 - 30 Dec 2025
Viewed by 429
Abstract
Existing vector geographic data transaction schemes are typically merchant-controlled, hindering fair ownership tracing and impartial arbitration. To address this, we propose an asymmetric digital fingerprinting scheme based on smart contracts. In our approach, the user encrypts a proof fingerprint with a public key [...] Read more.
Existing vector geographic data transaction schemes are typically merchant-controlled, hindering fair ownership tracing and impartial arbitration. To address this, we propose an asymmetric digital fingerprinting scheme based on smart contracts. In our approach, the user encrypts a proof fingerprint with a public key and sends it to the merchant; the merchant leverages the additive homomorphic property of the Paillier cryptosystem to embed the encrypted user fingerprint into an encrypted portion of the vector data while embedding a tracking fingerprint into the plaintext portion. The combined data is delivered to the user, who uses their private key to decrypt the encrypted part and obtain the plaintext data containing both fingerprints. This design enables tracing of unauthorized distribution without exposing the user’s fingerprint in plaintext, preventing malicious accusations. By leveraging blockchain immutability and smart contract automation, the scheme supports secure, transparent transactions and decentralized arbitration without third-party involvement, thereby reducing collusion risk and protecting both parties’ rights. Full article
Show Figures

Figure 1

15 pages, 406 KB  
Article
Decentralized Control for Interrelated Systems with Asymmetric Information Architecture
by Yixing Wang, Yirun Wang, Boqun Tan, Xinghua Li and Xiao Liang
Electronics 2026, 15(1), 96; https://doi.org/10.3390/electronics15010096 - 24 Dec 2025
Viewed by 263
Abstract
This paper focuses on finite-horizon optimum state feedback control problems for interconnected systems of two players involved with asymmetric one-step delay information. For the finite horizon optimum decentralized control problem, a crucial and adequate condition is derived by using Pontryagin’s maximum principle. Under [...] Read more.
This paper focuses on finite-horizon optimum state feedback control problems for interconnected systems of two players involved with asymmetric one-step delay information. For the finite horizon optimum decentralized control problem, a crucial and adequate condition is derived by using Pontryagin’s maximum principle. Under this framework, player 1 transmits its state and control input data with a one-step delay to the controller of player 2, while player 1’s controller does not have access to the real-time or delayed states and control inputs of player 2, resulting in an asymmetric information structure characterized by a one-step delay Then, the solutions to the forward and backward stochastic difference equations are derived. A target tracking system is given in numerical examples to verify the proposed algorithm. Full article
Show Figures

Figure 1

24 pages, 4196 KB  
Article
Real-Time Cooperative Path Planning and Collision Avoidance for Autonomous Logistics Vehicles Using Reinforcement Learning and Distributed Model Predictive Control
by Mingxin Li, Hui Li, Yunan Yao, Yulei Zhu, Hailong Weng, Huabiao Jin and Taiwei Yang
Machines 2026, 14(1), 27; https://doi.org/10.3390/machines14010027 - 24 Dec 2025
Viewed by 633
Abstract
In industrial environments such as ports and warehouses, autonomous logistics vehicles face significant challenges in coordinating multiple vehicles while ensuring safe and efficient path planning. This study proposes a novel real-time cooperative control framework for autonomous vehicles, combining reinforcement learning (RL) and distributed [...] Read more.
In industrial environments such as ports and warehouses, autonomous logistics vehicles face significant challenges in coordinating multiple vehicles while ensuring safe and efficient path planning. This study proposes a novel real-time cooperative control framework for autonomous vehicles, combining reinforcement learning (RL) and distributed model predictive control (DMPC). The RL agent dynamically adjusts the optimization weights of the DMPC to adapt to the vehicle’s real-time environment, while the DMPC enables decentralized path planning and collision avoidance. The system leverages multi-source sensor fusion, including GNSS, UWB, IMU, LiDAR, and stereo cameras, to provide accurate state estimations of vehicles. Simulation results demonstrate that the proposed RL-DMPC approach outperforms traditional centralized control strategies in terms of tracking accuracy, collision avoidance, and safety margins. Furthermore, the proposed method significantly improves control smoothness compared to rule-based strategies. This framework is particularly effective in dynamic and constrained industrial settings, offering a robust solution for multi-vehicle coordination with minimal communication delays. The study highlights the potential of combining RL with DMPC to achieve real-time, scalable, and adaptive solutions for autonomous logistics. Full article
(This article belongs to the Special Issue Control and Path Planning for Autonomous Vehicles)
Show Figures

Figure 1

29 pages, 166576 KB  
Article
A Decentralized Potential Field-Based Self-Organizing Control Framework for Trajectory, Formation, and Obstacle Avoidance of Fully Autonomous Swarm Robots
by Mohammed Abdel-Nasser, Sami El-Ferik, Ramy Rashad and Abdul-Wahid A. Saif
Robotics 2025, 14(12), 192; https://doi.org/10.3390/robotics14120192 - 18 Dec 2025
Viewed by 1243
Abstract
In this work, we propose a fully decentralized, self-organizing control framework for a swarm of autonomous ground mobile robots. The system integrates potential field-based mechanisms for simultaneous trajectory tracking, formation control, and obstacle avoidance, all based on local sensing and neighbor interactions without [...] Read more.
In this work, we propose a fully decentralized, self-organizing control framework for a swarm of autonomous ground mobile robots. The system integrates potential field-based mechanisms for simultaneous trajectory tracking, formation control, and obstacle avoidance, all based on local sensing and neighbor interactions without centralized coordination. Each robot autonomously computes attractive, repulsive, and formation forces to navigate toward target positions while maintaining inter-robot spacing and avoiding both static and dynamic obstacles. Inspired by biological swarm behavior, the controller emphasizes robustness, scalability, and flexibility. The proposed method has been successfully validated in the ARGoS simulator, which provides realistic physics, sensor modeling, and a robust environment that closely approximates real-world conditions. The system was tested with up to 15 robots and is designed to scale to larger swarms (e.g., 100 robots), demonstrating stable performance across a range of scenarios. Results obtained using ARGoS confirm the swarm’s ability to maintain formation, avoid collisions, and reach a predefined goal area within a configurable 1 m radius. This zone serves as a spatial convergence region suitable for multi-robot formation, even in the presence of unknown fixed obstacles and movable agents. The framework can seamlessly handle the addition or removal of swarm members without reconfiguration. Full article
(This article belongs to the Special Issue Advanced Control and Optimization for Robotic Systems)
Show Figures

Figure 1

23 pages, 10451 KB  
Article
Two-Degree-of-Freedom Digital RST Controller Synthesis for Robust String-Stable Vehicle Platoons
by Ali Maarouf, Irfan Ahmad and Yasser Bin Salamah
Symmetry 2025, 17(12), 2067; https://doi.org/10.3390/sym17122067 - 3 Dec 2025
Viewed by 579
Abstract
Cooperative and Autonomous Vehicle (CAV) platoons offer significant potential for improving road safety, traffic efficiency, and energy consumption, but maintaining precise inter-vehicle spacing and synchronized velocity under disturbances while ensuring string stability remains challenging. This paper presents a fully decentralized two-layer architecture for [...] Read more.
Cooperative and Autonomous Vehicle (CAV) platoons offer significant potential for improving road safety, traffic efficiency, and energy consumption, but maintaining precise inter-vehicle spacing and synchronized velocity under disturbances while ensuring string stability remains challenging. This paper presents a fully decentralized two-layer architecture for homogeneous platoons whose identical vehicle dynamics and information flow produce an inherent symmetrical system structure. Operating under a predecessor-following topology with a constant time headway policy, the upper layer generates a smooth velocity reference based on local spacing and relative-velocity errors, while the lower layer employs a two-degree-of-freedom (2-DOF) digital RST controller designed through discrete-time pole placement and sensitivity-function shaping. The 2-DOF structure enables independent tuning of tracking and disturbance-rejection dynamics and provides a computationally lightweight solution suitable for embedded automotive platforms. The paper develops a stability analysis demonstrating internal stability and L2 string stability within this symmetrical closed-loop architecture. Simulations confirm string-stable behavior with attenuated spacing and velocity errors across the platoon during aggressive leader maneuvers and under input disturbances. The proposed method yields smooth control effort, fast transient recovery, and accurate spacing regulation, offering a robust and scalable control strategy for real-time longitudinal motion control in connected and automated vehicle platoons. Full article
(This article belongs to the Section Engineering and Materials)
Show Figures

Figure 1

Back to TopTop