Next Article in Journal
Hierarchically Coupled Biochemical Switches for Stem Cell Differentiation
Previous Article in Journal
GeoFormer: Geography-Aware Adaptive Transformer with Multi-Scale Temporal Fusion for Global Reservoir Water Level Forecasting
 
 
Font Type:
Arial Georgia Verdana
Font Size:
Aa Aa Aa
Line Spacing:
Column Width:
Background:
Article

Unified Algebraic Framework for Centralized and Decentralized MIMO RST Control for Strongly Coupled Processes

by
Cesar A. Peregrino
1,
Guadalupe Lopez Lopez
1,*,
Nelly Ramirez-Corona
2,
Victor M. Alvarado
1,*,
Froylan Antonio Alvarado Lopez
3 and
Monica Borunda
4
1
Centro Nacional de Investigación y Desarrollo Tecnológico, TecNM/CENIDET, Cuernavaca 62493, Morelos, Mexico
2
Departamento de Ingeniería Química, Alimentos y Ambiental, Universidad de las Américas Puebla, Cholula 72810, Puebla, Mexico
3
Département de Mathématiques, Faculté Sciences et Ingénierie, Université de Toulouse, 31062 Toulouse, France
4
SECIHTI, Centro Nacional de Investigación y Desarrollo Tecnológico, Tecnológico Nacional de México, Cuernavaca 62490, Morelos, Mexico
*
Authors to whom correspondence should be addressed.
Mathematics 2026, 14(4), 677; https://doi.org/10.3390/math14040677
Submission received: 15 December 2025 / Revised: 4 February 2026 / Accepted: 12 February 2026 / Published: 14 February 2026
(This article belongs to the Section E2: Control Theory and Mechanics)

Abstract

Reliable multivariable control is critical for industrial sectors where processes exhibit severe nonlinearities and interactions. A Continuous Stirred Tank Reactor (CSTR) is a rigorous benchmark for testing control strategies addressing these complexities. This work first establishes a linear MIMO mathematical framework to define the specific structure of such interactive systems. Analysis via phase planes and steady-state analysis reveals low controllability, bistability, and strong coupling, leading to the collapse of traditional decoupled control schemes. To address these issues via multivariable control, we propose a centralized MIMO RST control structure synthesized via a Matrix Fraction Description (MFD) and the extended Bézout equation. Simulations for performance evaluation and comparison highlight the following key findings: (1) the centralized RST maintains stability and tracking precision in regions where decentralized RST loops fail; (2) it exhibits performance comparable to the Augmented State Pole Placement with Integral Action (ASPPIA) method and outperforms the standard Model-Based Predictive Control (MPC) baseline, particularly during critical equilibrium point transitions; and (3) it offers a robust yet computationally simple design that provides superior flexibility for pole placement, accommodating future identification-based models and adaptive tuning. These results validate our algebraic synthesis as a robust, computationally efficient solution for managing highly interactive nonlinear dynamics.

1. Introduction

Accurate control of multiple variables solves safety and efficiency issues in sectors that range from chemical processes to aerospace engineering. This broad type of application underscores the pivotal role of cutting-edge control systems. In this vein, the core part of this paper is the guidance for an advanced control strategy of multivariable chemical plants. These processes present an interplay between their variables with a degree of intricacy that varies from plant to plant. From a system analysis point of view, these are defined as Multi-Input, Multi-Output (MIMO) processes. The related multivariable control copes with several measurements and input control signals [1]. The challenge of multivariable control has spurred significant research into robust control systems that govern high-degree interactions without detriment to the process performance. In sum, the multivariable approaches can be divided into decentralized, decoupled, or centralized [2].
A decentralized control approach is characterized by the decomposition of a complex system into multiple independent Single-Input Single-Output (SISO) control loops. When variable coupling in the system is weak, decentralized schemes effectively control the process relying solely on local knowledge about the plant and local feedback. Each SISO control subsystem is treated as an independent function, allowing for tuning via well-established classical methods. Getman et al. [3] laid out several techniques available for tuning multi-loop PI/PID controllers. However, despite their simplicity and widespread use, classical structures like SISO PIDs often exhibit poor performance in large-scale or highly interactive systems. A significant contributor to this failure is the challenge of input–output signal pairing. Incorrect pairing in multivariable systems is a well-documented cause of instability, persistent oscillation, sluggish responses, control signal saturation, and poor coordination [4,5,6]. The recent literature addresses these limitations, presenting new strategies for the synthesis of decentralized control in multivariable nonlinear systems [7,8,9].
Severe interactions between process variables often lead to significant performance degradation in decentralized control schemes. In such cases, advanced MIMO control strategies become necessary to mitigate these cross-couplings [4]. A primary alternative is decoupled control, where the designer acknowledges the system interactions and aims to cancel them mathematically. The objective is to transform the Transfer Function Matrix (TFM) of the complex MIMO plant into a diagonal or diagonal-dominant matrix, effectively creating a set of non-interacting SISO plants. Decoupling is typically implemented through feedforward cancellation of the cross-coupling terms or via feedback laws, often shaped as static gain matrices [1,10]. The recent literature has focused on enhancing these methods by integrating optimization techniques. Approaches include decoupling techniques based on linear programming [11] or the utilization of meta-heuristic algorithms, such as Particle Swarm Optimization (PSO) [12] and Grey Wolf Optimization [13], to assist in tuning procedures. With a different approach, dynamic optimal decoupling controls based on algebraic model-matching have been proposed to ensure that the closed-loop system mimics the dynamics of a user-defined linear model with suitable performance across the entire operating frequency range [14]. Further studies have expanded control objectives beyond addressing cross-coupling to improve energy efficiency, handling parametric uncertainty and exogenous disturbances while minimizing controller effort to reduce energy consumption [15].
Centralized multivariable control is a critical area for the advancement of modern control theory. It fundamentally refers to a structure designed to govern systems characterized by multiple, highly interactive inputs and outputs. Unlike decentralized schemes, a centralized structure handles the entire set of measured variables simultaneously to compute coordinated control actions. This coordination allows the controller to effectively cancel the effects of disturbances introduced through any input of the system. While model-based methodologies are the standard for designing centralized control schemes [16], the increasing complexity of modern systems requires continuous updates in synthesis methods. Recent research has introduced novel optimization techniques into tuning procedures to meet these demands. Consequently, a centralized law must go beyond merely enhancing stability and efficiency; it must also have adaptive capabilities to maintain optimal performance under varying operating conditions and strong coupling effects. Significant contributions to this field [4,17,18,19] have demonstrated the efficacy of centralized approaches in improving the overall performance of multivariable systems. Notably, strategies based on Deep Reinforcement Learning (DRL) and the Proximal Policy Optimization (PPO) algorithm have been recently proposed to address the challenges posed by systems with high variable interaction.
Our paper explores the design of an expanded RST controller structure for multivariable systems. The design of RST controllers has garnered attention due to their robust performance in various control solicitations. This work aims to leverage the features of a standard control technique that has been proven effective for SISO systems. The scope of this work is to enlarge its usefulness to more real conditions of MIMO systems. While standard controllers like PIDs are suitable for many applications, they need more flexibility for complex control scenarios. RST controllers, with their polynomial structure, execute better and adapt to a wide range of control problems. Methodologies to design the RST controller typically integrate robust features for identification-based models of the plant [20]. Whenever tuning and executing RST controllers, elaborate procedures have later been proposed. Refined optimization techniques are sometimes needed to solve these control laws. The primary objectives of an RST control are consistent tracking of the reference and robustness.
The design of RST controllers has also evolved through the integration of advanced algorithmic tuning methods. Optimization-based approaches, such as Particle Swarm Optimization (PSO) [21] and Genetic Algorithms [22], have been applied to tune RST controllers, verifying precise reference tracking and efficient disturbance rejection in electrical motors. Comparative studies have further substantiated the advantages of the RST structure over conventional schemes. Research has demonstrated the flexibility of the RST control in vector-controlled induction motor drives [23] and highlighted the practical applications of this structure in industrial settings [24]. In the realm of power electronics, RST controllers have been proposed to gain stability in DC–DC boost converters [25]. The outlined examples underscore the extensive and ongoing implementation of this structure to control varied types of SISO systems.
Our primary objective is to introduce a control technique to effectively manage the complexities inherent in multivariable industrial processes. To this end, the designed control is evaluated in a MIMO Continuous Stirred Tank Reactor (CSTR), a cornerstone of the chemical industry and critical for the production of plastics, pharmaceuticals, and food. While these reactors aim to maintain a continuous output with uniform properties via perfect mixing, they frequently exhibit nonlinear dynamics, inherent instability, steady-states multiplicity, chaotic dynamics, and nonminimum phase behavior [26,27]. The reactor’s performance is further influenced by the physical and chemical properties of reactants, which are categorized as exothermic or endothermic and shift markedly with operating conditions. Consequently, a CSTR provides a rigorous testing ground where simple linear models are ineffective. This system has been established as a definitive benchmark for validating control strategies for the chaotic dynamics and state-dependent parametric uncertainties [26,27,28]. Furthermore, rigorous simulation validation is mandatory prior to experimental implementation to mitigate high risks of thermal runaway and resolve physical sensitivities without ensuring plant safety and preventing elevated costs [29,30].
To address challlenges for operating CSTRs, control architectures have evolved in a hierarchy of complexity, starting with fundamental Single-Input Single-Output (SISO) strategies. At the foundational level, performance evaluations of standard configurations highlight distinct trade-offs: Single Feedback Configuration (SFC) is functional but limited in disturbance handling; Cascade Control (CCC) offers fast responses with fine setpoint tracking; and Parallel Control (PCC) demonstrates superior noise management [31]. As detailed in Table 1, recent approaches have moved beyond static tuning toward intelligent adaptation, utilizing evolutionary algorithms and control-informed structures to better manage local loops [32,33]. Additionally, to enhance stability against changing reactor conditions, mathematical elements such as Smith predictors and fractional order control are increasingly integrated into these schemes [34,35,36].
As complexity increases, robust decentralized methodologies (Table 2) have been proposed to overcome the limitations of standard loops. In specific comparative studies, techniques such as Active Disturbance Rejection Control (ADRC) and observer-based Sliding Mode Controllers (SMC) have occasionally outperformed traditional approaches in temperature stability and disturbance rejection tasks [12,37]. However, despite the robustness of these advanced decentralized schemes, they often yield suboptimal performance in highly interactive scenarios due to the inherent loop coupling of the process [38,39]. The management of this intricate variable coupling remains a focal point of research and necessitates the shift toward Centralized Multivariable (MIMO) frameworks [6].
Table 1. SISO (Single Input Single Output) control strategies applied to non-linear jacketed CSTRs.
Table 1. SISO (Single Input Single Output) control strategies applied to non-linear jacketed CSTRs.
ReferenceSystemControlObjective and ChallengesContribution
Deifalla and Abdalla [40]Ethyl acetate saponification.Evolutionary Optimization for PID tuned by Genetic Algorithms (GAs). Transfer function-based design.Precision temperature control. Challenge: minimizing overshoot, rise time, and settling time.GA-ISE tuning reduces rise time and overshoot compared to classical and modified Ziegler–Nichols, and Tyreus–Luyben methods.
Ma et al. [41]Plant with constraints dependent on temperature and concentration.Adaptive Fuzzy Fault-Tolerant; time-varying asymmetric Barrier Lyapunov Function (BLF) deals with state-dependent constraints.Maintain states within time-varying limits. Challenge: actuator faults and dynamic constraints.Asymmetric time-varying BLF enforces safety constraints, and the fuzzy systems approximate unknown dynamics (nonlinear), ensuring stability despite faults.
Yoder and Strasser [29]Radical polymerization of low-density polyethylene simulated via CFD.Active Control (PID/Fuzzy PID); integrated directly into the CFD solver.Stabilize numerical simulations prone to “runaway”. Challenge: physical and numerical instability.Proved active control allows for stable CFD results in LDPE reactors. Fuzzy PID reduced error and response time compared to standard PID.
Wosu et al. [33]Ethylene glycol production (hydrolysis).Linear models for temperature and concentration PID SISO Controls, evaluated separately.Optimum production and stability. Comparison of manual vs. automated tuning. Challenge: high fluctuations and instability with manual tuning.Demonstrated that automated tuning stabilized the system in ∼8 s, whereas manual tuning failed to stabilize effectively (>16 s).
Chaturvedi et al. [42]Reaction: A B .Nonlinear (Neural Network); PID-like Neural Network tuned by PSO (PSO-NN-PID hybrid approach)Minimize MSE in temperature control. Challenge: nonlinearities in classical PID.Reduced overshoot and settling time compared to conventional ZN-PID and backpropagation methods.
Suo et al. [27]Exothermic reaction. Reactor exhibits multiplicity, oscillations, and chaos.Nonlinear Dynamics Analysis; bifurcation analysis and split-ranging operation strategies.Analyze stability and output multiplicity. Challenge: transitions between stable/unstable states and operation at unstable points.Identified bifurcation points for safety. Proposed split-ranging control (vapor/cooling valves) and periodic operation to stabilize unstable regions.
In the realm of centralized control, detailed in Table 3, Model Predictive Control (MPC) has emerged as the leading technique, providing optimization over future time horizons [43]. The sophistication of MPC has grown from standard linear formulations to constrained three-degree-of-freedom MPCs based on local models, designed specifically to decouple disturbance effects in interactive CSTRs [38]. At the frontier of complexity, the field is moving toward hybrid architectures and data-driven Reinforcement Learning (RL) strategies, such as Deep Deterministic Policy Gradient (DDPG) and Proximal Policy Optimization (PPO), which demonstrate superior settling times and efficiency [30,44].
Nevertheless, this escalation in complexity brings new challenges. Conventional linear MPC struggles with plant–model mismatch across wide operating regimes, while nonlinear MPC and promising Deep Reinforcement Learning (DRL) approaches impose high computational costs and structural opacity [28,45].
Within this environment, this work extends the RST control design, proven in SISO applications [46], to a centralized multivariable approach. By offering a robust, transparent alternative based on flexible pole-placement tuning, we propose a strategy that exceeds decentralized methods and compares favorably with established centralized schemes in effectiveness while maintaining a relatively simple design compared to data-intensive alternatives.
Our new RST centralized controller is designed to ensure consistent product quality despite input disturbances and output sensor noise in a wide operating region and initial conditions. Furthermore, the design is intended to mitigate unmodeled nonlinearities and the strong cross-coupling between system variables. The control challenges for a numerical example were identified through static and qualitative dynamic analyses, undertaken prior to the control design. The literature survey presented here and the proposed controller underscore the importance of well-designed analytical designs, which can be further enhanced in future versions through computationally intensive AI optimization or black-box solutions, as well as the possibility to extend these approaches to other applications.
Table 2. Decentralized multivariable control (multi-loop) strategies.
Table 2. Decentralized multivariable control (multi-loop) strategies.
ReferenceSystemControlObjective and ChallengesContribution
Bloor et al. [32]MIMO CSTR (Reaction A → B → C).Control-informed reinforcement learning (CIRL). Combines capabilities of PID for disturbance rejection and set point tracking with deep RL capacity for nonlinear modeling.Concentration tracking, level regulation, and generalization to trajectories with set points outside the training distribution. Challenge: black-box RL often fails to generalize.Embedding a PID structure (dynamic gain scheduling) within the RL agent improved robustness and generalization compared to pure RL and static PID.
Du et al. [47]Wide operating ranges.Integrated Multi-PI. Gap metric-based multimodel control. Linear-model design.Nonlinearity and disturbances. Challenge: single PI inadequacy and computational load of complex schemes.Reduces the number of local models required and decreases computational load while improving closed-loop performance.
Achu Govind et al. [48]Benchmark MIMO CSTR; three operating regions.PIDs based on first-order + dead time (FOPDT) structure. Nonlinear constraint optimization by Kharitonov–Hurwitz stability analysis.Robustness and set-point tracking. Challenge: parametric uncertainties and loop interactions.Flexibility by imposing boundary conditions (closed-loop amplitude ratio). Robust stability against parametric uncertainties, outperformes BLT and IMC.
Sainz-García et al. [46]Three non-isothermal CSTRs in series with exothermic reactions.Adaptive Decentralized; RS structure + Youla–Kucera (Q) filter + Internal Model Principle. Design based on linear model.Disturbance mitigation. Challenge: handling disturbances in a narrow band of frequencies and unit interactions.The Q-filter allowed online adaptation to reject unknown disturbances of specific frequencies, outperforming MPC in tracking reference changes.
Table 3. Centralized multivariable control strategies.
Table 3. Centralized multivariable control strategies.
ReferenceSystemControlObjective and ChallengesContribution
Okienková et al. [28]Van de Vusse CSTR; nonminimum phase, uncertainty.Robust MPC; unified framework via state-feedback + LMIs + Extended Kalman Filter. Polytopic uncertain prediction model.Robust stabilization. Challenge: avoiding Bilinear Matrix Inequalities (BMIs).Guaranteed robust stability against parametric uncertainties.
Yu et al. [30]Exothermic CSTR with risk of thermal runaway.Reinforcement Learning (PPO); integration of Resilience metrics into the RL reward function.Prevents runaway. Challenge: continuous action spaces and safety.Outperformed PID and NMPC in stability under unexpected scenarios.
Banerjee et al. [38]Irreversible exothermic reaction. Highly interactive process.MPC, 3-Degree-of-Freedom (3DoF) with “Model-on-Demand” (MoD), data-centric weighted regression algorithm to generate local linear models.Constrained control of conc./temp. Challenge: directionality and strong interactions.3DoF allows independent tuning for tracking and disturbance rejection. MoD leads to local linear models online, outpermorming global ARX.
Rajpoot et al. [44]Reactions: A k 1 B k 2 C ; A k 3 D .Reinforcement Learning (RL); Deep Deterministic Policy Gradient (DDPG) (Reinforcement Learning for decision-making).Transition between steady states. Challenge: wide operating regimes.Outperforms NMPC—finite horizon—in settling time and general performance once trained.
Saidi and Touati [49]Reaction: A B .Dahlin Deadbeat Internal Multimodal Control; switching strategy. Linearization around three operating points.Handles coupling + delay. Challenge: tracking across operating regions.Multimodal strategy to select the best local linear model and Dahlin Deadbeat controller. Fast response.
Revelo et al. [39]Reactor-Separator-Recycle; nonsquare (3 inputs, 4 outputs).Hybrid control: Davison Method + Smith Predictor + Gain Scheduling + PSO. Control design uses an identified First-Order + Dead-Time model.Control concentration. Challenge: nonsquare system, time delays, and nonlinearity.Compensates for delays and nonlinearities. PSO fine-tuned Davison parameters, improves metrics over standard methods.
Hajaya and Shaqarin [26]Benchmark CSTR—Van de Vusse; exothermic.Feedback Linearization; Transforms global nonlinear dynamics to linear form for state control.Maximizes B yield. Challenge: operational constraints.Avoids overshoot. Robust rejection of sinusoidal disturbances via state transformation.
The remainder of this article is organized as follows: Section 2 delineates the mathematical framework detailing the linear model structure of the multivariable plant as the basis for control synthesis. Section 3 defines the theoretical framework detailing the structure of the multivariable centralized and decentralized RST ontrollers, respectively, as well as their associated synthesis methods. Section 4 describes the benchmark system and assesses its open-loop performance based on phase plane and static analyses, undertaken with the aim to identify challenges for the control of the multivariable system. Section 5 explains the synthesis of centralized and decentralized controllers, respectively. Section 6 presents the simulated scenarios used to evaluate the controllers’ performance. In this section, we also discuss our results and compare the centralized and decentralized schemes. We also compare the RST multivariable centralized control and other multivariable approaches (an Augmented-State Pole Placement with Integral Action (ASPPIA) and an MPC). For each case, we highlight their strengths and limitations. Finally, Section 7 provides the conclusions and potential future research directions.

2. Structure of Linear Multivariable Models

In contrast to the scalar case, multivariable systems do not have a unique canonical realization form. Additionally, a more complex control theory is associated with these systems. The control challenges of systems with multiple variables are often addressed using Single-Input, Single-Output (SISO) methodologies in decoupled linear schemes. However, these approaches may struggle to manage strong interactions between variables under certain conditions.
We aim to develop and evaluate a MIMO RST control structure for regulating and tracking nonlinear Multiple Input Multiple Output (MIMO) plants. The original SISO design of the RST control law is based on a linearized MIMO transfer function model. Unlike other control structures, both components of the closed-loop system—the plant and the control law—are represented as blocks of rational polynomial matrices consisting of polynomial numerators and denominators. To begin, we first introduce the necessary definitions and notations:
Definition 1. 
Let K be a field. A polynomial P s with coefficients in K and indeterminate s is a finite sequence a 0 , , a n of elements in K of the form
P s = k = 0 n a k s n k .
where n N . We denote the set of polynomials with coefficients in K as K n s . The degree of P is denoted n = deg P .
Definition 2. 
A matrix with entries in K n s is called a polynomial matrix function. We denote the set of such matrices as M s M p × m K n s .
Definition 3. 
Let F s be the ring of rational functions g s = num ( s ) den ( s ) , and let F p r s be the ring of proper or strictly proper rational functions. A matrix G p m s F p r s p × m is said to be a polynomial rational matrix function.
For a Linear Time-Invariant (LTI) MIMO system, the model of the plant in the form of a transfer function is
y t = G s u t ,
where y ( t ) R p is the output vector and u ( t ) R m is the input vector. In (2), the variable s is interpreted as the differential operator d / d t . Thus, the expression denotes the linear differential equation relating the time-domain input u ( t ) and output y ( t ) through the transfer matrix G ( s ) .
y t = y 1 ( t ) y 2 ( t ) y p ( t ) , u t = u 1 ( t ) u 2 ( t ) u m ( t ) .
Moreover, G s F p r K n s p × m is the transfer function matrix of the system, defined as
G s = g 11 ( s ) g 1 m ( s ) g p 1 ( s ) g p m ( s ) .
Each entry g i j ( s ) F p r s is proper or strictly proper 1 i p and 1 j m :
g i j ( s ) = n i j ( s ) d i j ( s ) .
where n i j ( s ) K b i j s and d i j ( s ) K a i j s are defined as
n i j ( s ) = k = 0 b i j n i j , k s b i j k = n i j , 0 s b i j + n i j , 1 s b i j 1 + n i j , 2 s b i j 2 + + n i j , b i j 1 s + n i j , b i j ,
d i j ( s ) = k = 0 a i j d i j , k s a i j k = d i j , 0 s a i j + d i j , 1 s a i j 1 + d i j , 2 s a i j 2 + + d i j , a i j 1 s + d i j , a i j .
Here, a i j = deg d i j ( s ) and b i j = deg n i j ( s ) , and d i j , 0 = 1 for a monic denominator d i j ( s ) . Recalling (4) and rewriting it in terms of a common denominator D ( s ) K r s , G s F p r K n s p × m becomes
G s = 1 D ( s ) N ( s ) .
where
D ( s ) = k = 0 a D k s a k = s a + D 1 s a 1 + D 2 s a 2 + + D a ,
where a = deg D and D 0 = 1 ( D is a monic polynomial). Then, N ( s ) M p × m K n s is the numerator matrix represented as:
N ( s ) = N 11 ( s ) N 12 ( s ) N 1 m ( s ) N 21 ( s ) N 22 ( s ) N 2 m ( s ) N p 1 ( s ) N p 2 ( s ) N p m ( s ) .
where the matrix entries, 1 i p and 1 j m , are polynomials in s. Each element N i j ( s ) K q i j s with q i j = deg N i j is in turn:
N i j ( s ) = k = 0 q i j N i j , k s q i j k = N i j , 0 s q i j + N i j , 1 s q i j 1 + N i j , 2 s q i j 2 + + N i j , q i j 1 s + N i j , q i j .
The control proposed in this work is developed under the consideration that the plant is defined in the form of Equations (8)–(11).

3. RST Control Law for Multivariable Decentralized and Centralized Approaches

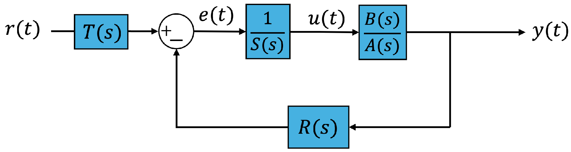
The RST control structure is a two-degree-of-freedom polynomial regulator that serves as a robust alternative to classic PI controllers. This architecture can be designed in both continuous and discrete domains. We adopt a continuous-time approach. The RST control structure in the canonical form, for a SISO plant, is depicted in Figure 1.
The law is composed of two polynomial filters R K ρ s and S K σ s , specifying the regulation performance. Additionally, the digital filter T K τ s ensures tracking [20]. Then, y ( t ) is the system output, r ( t ) is the reference, and e ( t ) is the error t > 0 . A ( s ) K a s is the denominator and B ( s ) K b s is the numerator of the SISO transfer function plant G ( s ) F s . As a means to implement the RST control structure, the canonical RST form is transformed into an arrangement that results in transfer function blocks. This disposition is more straightforward to implement in simulation for both SISO and MIMO approaches. Thus, it is generalized in Figure 2, as the framework extends to multivariable systems with m inputs and n outputs. This work proposes a centralized MIMO RST structure (Figure 2) based on polynomial matrices. As the SISO counterpart, the control design relies on the solution of the Diophantine equation derived from the closed-loop system equation.
Let a multivariable plant be represented by the transfer function matrix form G s F p r K s n × m outlined in (8)–(11), the development of the MIMO RST control is applicable in this factorized rational matrix transfer function construction:
G s = B ( s ) A ( s ) ,
with a common denominator A ( s ) K α s and a polynomial matrix B ( s ) M n × m K β i j s for 1 i n outputs and 1 j m inputs of the system:
A ( s ) = k = 0 α A k s α k = s α + A 1 s α 1 + A 2 s α 2 + + A α 1 s + A α .
B ( s ) = B 11 ( s ) B 12 ( s ) B 1 m ( s ) B 21 ( s ) B 22 ( s ) B 2 m ( s ) B n 1 ( s ) B n 2 ( s ) B n m ( s ) .
where B ( s ) is the block containing the zeros of the transfer functions within the system. Its entries are as follows:
B i j ( s ) = k = 0 β i j B i j , k s β i j k = B i j , 0 s β i j + B i j , 1 s β i j 1 + + B i j , β i j 1 s + B i j , β i j .
where α = deg A s and β i j = deg B i j s for all 1 i n and 1 j m . Then, the MIMO RST control loop is given in Figure 2. S ( s ) denotes a unique monic polynomial:
S ( s ) = k = 0 σ S k s σ k = s σ + S 1 s σ 1 + S 2 s σ 2 + + S σ 1 s + S σ ,
where σ = deg S s . The blocks R ( s ) and T ( s ) are polynomial matrices with proper ranks and with the following structure:
R ( s ) = R 11 ( s ) R 12 ( s ) R 1 n ( s ) R 21 ( s ) R 22 ( s ) R 2 n ( s ) R m 1 ( s ) R m 2 ( s ) R m n ( s ) . T ( s ) = T 11 ( s ) T 12 ( s ) T 1 n ( s ) T 21 ( s ) T 22 ( s ) T 2 n ( s ) T m 1 ( s ) T m 2 ( s ) T m n ( s ) .
where R s M m × n K ρ i j s is the feedback controller block and T s M m × n K τ i j s is the feedforward block. Each entry of these matrices is a polynomial in the s domain. For 1 i m inputs and 1 j n outputs, the entries are as follows:
R i j ( s ) = k = 0 ρ i j R i j , k s ρ i j k = R i j , 0 s ρ i j + R i j , 1 s ρ i j 1 + + R i j , ρ i j 1 s + R i j , ρ i j ,
T i j ( s ) = k = 0 τ i j T i j , k s τ i j k = T i j , 0 s τ i j + T i j , 1 s τ i j 1 + + T i j , τ i j 1 s + T i j , τ i j .
where ρ i j = deg R i j s and τ i j = deg T i j s , and R i j , k and T i j , k are the coefficients in K of the polynomials, with indeterminate s. The closed-loop system leads to an extended Bézout equation in terms of polynomial matrices:
e t = T s r t R ( s ) y t ,
y t = B ( s ) A s u t ,
u t = 1 S s e t .
Then, by substituting (20c) into (20b), and substituting (20a) into the resulting expression:
y t = B ( s ) A s 1 S s e t = B ( s ) A s S s T s r t R ( s ) y t .
or
A s S s J n y t = B ( s ) T s r t R ( s ) y t ,
where J is the all-ones matrix with appropriate dimension. Rearranging,
A s S s J n + B ( s ) R ( s ) y t = B ( s ) T ( s ) r t .
This leads to the formulation of an extended Bézout Equation (26) in terms of the reference model D s M n × n K ρ i j s , which defines the desired behavior of the system and has the following structure:
D ( s ) = D 11 ( s ) D 12 ( s ) D 1 n ( s ) D 21 ( s ) D 22 ( s ) D 2 n ( s ) D n 1 ( s ) D n 2 ( s ) D n n ( s ) .
Each element of D ( s ) has the following form:
D i j ( s ) = k = 0 γ i j D i j , k s γ i j k = D i j , 0 s γ i j + D i j , 1 s γ i j 1 + + D i j , γ i j 1 s + D i j , γ i j .
A s S s J n + B ( s ) R ( s ) = D ( s ) .
Through this equation, the control law is designed by seeking a proper S s polynomial and suitable R ( s ) and T ( s ) polynomial matrices, calculated to meet the desired performances. To succeed in the control implementation, the associated blocks are expressed in the form of transfer functions by using matrix blocks with rational polynomial entries arranged as in Figure 2.
The synthesis procedure used to solve the polynomial matrix Equation (26) is what we call an algebraic synthesis. The problem of finding the controller matrices R ( s ) and S ( s ) is transformed into a system of linear algebraic equations by equating the coefficients of the same powers of s on both sides of the Diophantine equation. This leads to the linear system:
M S · θ = d c l ,
where d c l is a vector containing the coefficients of the desired closed-loop polynomial matrix D ( s ) , and θ is the vector of unknown coefficients belonging to the controller polynomials matrices S ( s ) and R ( s ) . M S is the generalized Sylvester matrix, constructed using the coefficients of the plant matrices A ( s ) and B ( s ) arranged in a block-Toeplitz structure. For a multivariable system, solving (27) provides the precise controller parameters to achieve the pole placement defined by D ( s ) .
The decentralized control strategy can be derived as a particular case of the centralized framework described above. In a decentralized approach, the multivariable system is treated as a set of independent SISO loops. This implies that the cross-coupling terms in the system and the controller are negligible or compensated. Consequently, only the diagonal elements of the polynomial matrices are considered active. Let m = n and the matrices B ( s ) , R ( s ) , and D ( s ) be diagonal matrices, where the interaction elements are neglected, such that:
B ( s ) diag B 11 ( s ) , , B n n ( s ) ,
R ( s ) = diag R 11 ( s ) , , R n n ( s ) ,
D ( s ) = diag D 11 ( s ) , , D n n ( s ) .
By applying these constraints, the closed-loop transfer function from (23) reduces to the classical SISO expression for each loop i:
y i ( t ) r i ( t ) = B i i ( s ) T i i ( s ) A ( s ) S ( s ) + B i i ( s ) R i i ( s ) .
Similarly, by applying these constraints to the generalized MIMO Bézout Equation (26), the matrix equation decouples into n scalar equations for n independent loops. For the i-th control loop, where i = j , the relationship simplifies to the standard SISO Diophantine equation, for 0 i n
A ( s ) S ( s ) + B i i ( s ) R i i ( s ) = D i i ( s ) .
This simplification demonstrates that the decentralized SISO controllers are structurally embedded within the proposed centralized MIMO RST framework.

4. CSTR Modeling, Open-Loop Performance and Control Challenges Identification

The Continuous Stirred Tank Reactor (CSTR) is a relevant system in process control practice. As mentioned before, its nonlinear behavior can give rise to a multiplicity of steady states. Its multivariable nature is the source of significant interaction between variables. It is also prone to exhibit nonminimum phase behavior in the time domain and can be unstable or possess time delays. The complex performance of CSTRs makes their control and optimization significant challenges. This paper proposes an RST centralized controller to be evaluated in the operation of a CSTR. A preliminary analysis of the system can provide indications of the complexities of control. The system is examined using both its nonlinear and linearized models.

4.1. Nonlinear Model and Parametrization of a CSTR

The dynamic simulation of the MIMO CSTR plant is driven based on the nonlinear model and parameters by [50]. The model obeys the dynamic mass and energy balances set for the CSTR. It considers a single exothermic and irreversible reaction. The reactor scheme, depicting inputs and outputs, is shown in Figure 3. The reactor is a two-degree-of-freedom plant. The system inputs are the feed and coolant stream flow rates. The system outputs are the temperature and reactant composition of the product. The mathematical model is based on the main assumption of perfect mixing in the CSTR, implying that the temperature and reactant concentration are spatially uniform throughout the vessel and identical to those of the outlet stream. The liquid volume is considered constant, assuming that the fluid density and heat capacity remain invariant with respect to changes in temperature and composition. Chemically, the system models a single irreversible first-order reaction, with the reaction rate following an Arrhenius dependence on temperature. Regarding the energy balance, the system is treated as non-adiabatic with a cooling system; however, the dynamics of the cooling jacket wall and the coolant fluid are neglected, assuming a quasi-steady state where the heat transfer rate is instantaneously determined by the coolant flow rate and the temperature difference between the coolant supply and the reactor contents. The equations describing the dynamics of the system are detailed in Equation (33).
d T d t = q f V ( T f T ) K 1 C e E R T + K 2 q c ( 1 e K 3 q c ) ( T c T ) d C d t = F j V ( C f C ) K 0 C e E R T
The variables are defined in Table 4 and Table 5. T and C are the states and outputs of the system, whereas q f and q c are the inputs of the system. Ref. [50] proposed to analyze the system behavior on the five equilibrium points, defined in Table 6.

4.2. System Trajectory and Stability Analysis Through Phase Planes

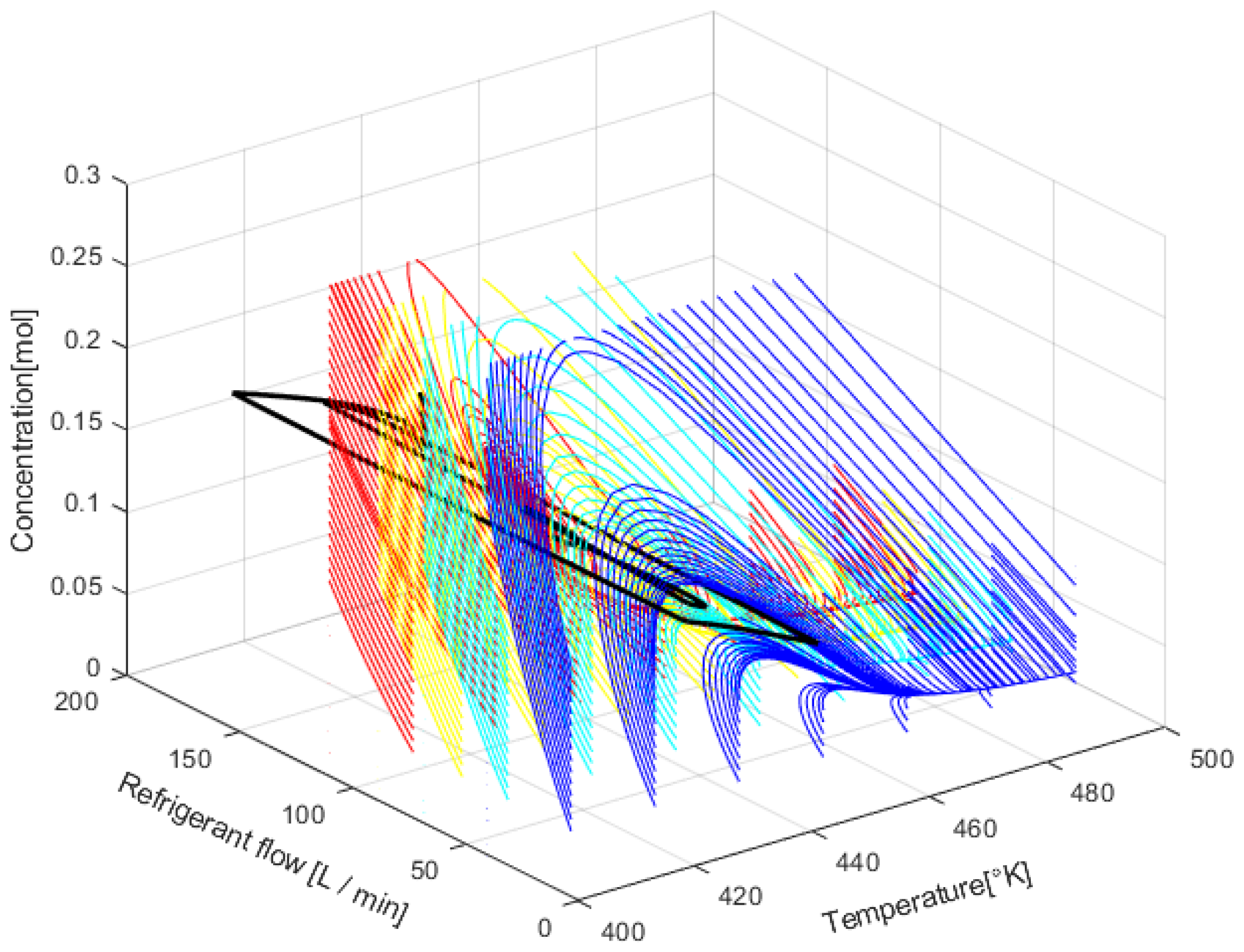
This study focuses on the control of operating points 1 and 5 for a CSTR modeled as a second-order dynamical system, as outlined in (33). To investigate how the solutions of this model evolve over time from various initial conditions, phase portraits were constructed that describe the vector field of the derivatives under a constant input. In general terms, the system is expressed by the states x = f ( x ) , where f is a matrix of nonlinear functions. Specifically, for the second-order CSTR, the resulting vector plot of ( x 1 , x 2 ) across the ( x 1 , x 2 ) surface forms the phase plane, depicted in Figure 4.
This system exhibits bistability, characterized by two stable equilibria: an attractor in the upper-right quadrant, defined as a node, and a spiral attractor in the lower-central quadrant. The presence of the spiral suggests damped oscillatory behavior as the natural response of the system in that region. Additionally, an unstable saddle point exists between these stable equilibria, which delineates a separatrix line that bifurcates the phase portrait into two distinct basins of attraction. Each basin corresponds to a set of initial conditions driving the system’s trajectories toward a specific stable equilibrium. In Figure 5, we delineate individual phase planes, each corresponding to one of five equilibrium points under varying jacket fluid flow conditions, specified in Table 6.
The behavior observed for the CSTR introduces significant challenges for controlling the process. High reaction conversion requires operating near the lower portion of the phase plane within the basin of attraction of the stable spiral yet close to the basin of attraction linked to the stable node. This positioning is crucial for attaining stability and the desired CSTR performance.
Numerous factors contribute to the inherent complexities associated with controlling the CSTR under the specified behavior. While it is feasible for a control law to effectively handle significant disturbances and steer the reactor back into the stable region of the spiral basin, even minor disturbances have the potential to drive this nonlinear system beyond the separatrix. Such a breach may draw the reactor dynamics into the basin of attraction of the undesirable equilibrium. The response of the CSTR can be a shift towards an unstable or undesirable equilibrium, which potentially compromises the performance of the control law. Likewise, the control must address any substantial changes in setpoint with precision in order to ensure that the transient trajectory avoids overshooting and crossing the separatrix.
We now examine the implications of using a decentralized linear control approach to manage the performance of the CSTR with the behavior shown in the phase portraits of Figure 4. This strategy tends to overlook key elements within the phase portrait, such as the separatrix, saddle points, and stable attractors. As a result, the design of this control has two main flaws: a lack of coordination between the control inputs and its applicability being confined to a narrow operating range. In the CSTR, which is a multivariable nonlinear system, regulating x 1 at a reference will inherently affect x 2 , and vice versa. Since the two independent controllers operate in parallel without coordination, they end up competing against each other. This lack of coordination can result in poor performance, oscillations, and, most critically, overshoot in the response of the system. Moreover, the reliance on linear control techniques limits the model’s accuracy and constrains the control’s efficacy to a narrow operational window. The closed-loop system may easily deviate from the desired trajectory, increasing the risk of output saturation. In summary, the adoption of a decoupled linear control framework risks oversimplifying the complexities inherent in this nonlinear multivariable system, thereby undermining its ability to manage the overall dynamics of the plant effectively. Further analysis of the system is conducted and reported below, using the linearized model and the steady-state gain matrices to shed light on the complexity of the control problem.

4.3. System Linearization at Two Operating Points

The system is linearized at operating points 1 and 5 defined in Table 6. By using a truncated Taylor series expansion, a linearized state-space representation for an LTI system with p inputs, q outputs, and n states variables is obtained in the following form:
x ˙ ( t ) = A x ( t ) + B u ( t ) ; y ( t ) = C x ( t )
where x ( t ) R n is the states vector, y ( t ) R q is the outputs vector, u ( t ) R p is the inputs vector, A R n × n is the state matrix, B R n × p is the input matrix, and C R q × n is the output matrix. For this system, the matrix values for the linear state-space representation are shown in (35)
A = K 2 u 2 ( e K 3 u 2 ( t ) 1 ) u 1 ( t ) V + 1 x 1 ( t ) 2 ( E R K 1 x 2 ( t ) e E R x 1 ( t ) ) K 1 e E R x 1 ( t ) 1 x 1 ( t ) 2 ( E R K 0 x 2 ( t ) e E R x 1 ( t ) ) u 1 ( t ) V K 1 e E R x 1 ( t ) ; B = ( T f x 1 ( t ) ) V k 2 ( e K 3 u 2 ( t ) 1 ) ( T c x 1 ( t ) ) ( K 2 K 3 e K 3 u 2 ( t ) ( T c x 1 ( t ) ) ) ( K 2 K 3 e K 3 u 2 ( t ) ( T c x 1 ( t ) ) ) ( C f x 2 ( t ) ) V 0 ; C = 1 0 0 1 ;
where
x = x 1 ( t ) x 2 ( t ) = T C ; u = u 1 ( t ) u 2 ( t ) = q f q c
We consider the nominal operating point described in Table 7 and Table 8 to linearize the system around both equilibrium points. The resulting models are the transfer function matrix shown in Table 9, Equations (37) and (38).
Table 9. Transfer function matrices for equilibrium points 1 and 5.
Table 9. Transfer function matrices for equilibrium points 1 and 5.
Equilibrium 1Equilibrium 5
G ( s ) 1 = 1 Δ 1 ( s ) 0.83 s + 5.29 0.82 s 6.31 0.01 s + 0.06 0.038
G ( s ) 5 = 1 Δ 5 ( s ) 1.15 s + 24.9 0.01 s 0.02 1.15 s 39.0 0.052
Δ 1 ( s ) = s 2 + 9.691 s + 77.16 Δ 5 ( s ) = s 2 + 26.64 s + 48.72

4.4. Tests for Decentralized Control Structure Assessment Based on the Linear Model

When designing a control system for a complex MIMO process, a preliminary analysis aids in determining whether simple decentralized control is feasible. Steady-state screening tools are helpful for this purpose. Engineers typically begin with the Relative Gain Array (RGA) to quantify process interactions and identify the optimal input–output pairings. It is worth noting that relying solely on the RGA may not provide a complete understanding of the system behavior. Once a pairing is established, the Condition Number (CN) is computed to assess the inherent controllability of the plant. A high CN reveals an “ill-conditioned” plant that is highly sensitive to variations in gain, suggesting that straightforward, independent control strategies are likely to fail. In such cases, a more robust, full multivariable control approach becomes essential. Lastly, the Niederlinski Index (NI) is a key metric for stability analysis. Even if the RGA pairings appear acceptable, the instability indicated by a negative NI reveals that loop interactions could destabilize the entire system.
The Relative Gain Array (RGA) matrix is computed using (A3) defined in Appendix A. The static gain matrices K 1 s t and K 2 s t are presented in Table 10 for each equilibrium pont.
Table 10. Static gain matrices of linear models for equilibrium points 1 and 5.
Table 10. Static gain matrices of linear models for equilibrium points 1 and 5.
Static Gain Matrix for Equilibrium 1Static Gain Matrix for Equilibrium 5
K 1 s t = 0.0685 0.0818 0.0007 0.0005
K 5 s t = 0.5111 0.8007 0.0004 0.0011
The resulting RGA matrices are shown in Table 11. The highlighted elements show the most suitable pairings between inputs and outputs for SISO control loops design. The best pairing for equilibrium 1 is q c C and q f T , while for equilibrium 5, it is q c T and q f C .
Table 11. Static gain matrices.
Table 11. Static gain matrices.
RGA Matrix for Equilibrium 1RGA Matrix for Equilibrium 5
R g a 1 = 0.3629 0 . 6371 0 . 6371 0.3629
R g a 5 = 2 . 37 1.37 1.37 2 . 37
We used (A1) and (A4) given in Appendix A to determine the CN and NI for the specified pairings. Results are presented in Table 12.
The RGA of 0.637 at equilibrium point 1 indicates a suitable pairing of control inputs and outputs and suggests that the system exhibits interactive behavior while remaining controllable. However, a more in-depth consideration of the CN, which stands at 124, indicates severe ill-conditioning within a simple control framework. The CSTR at equilibrium point 1 exhibits pronounced discrepancies in gain, with a ratio of 124 between high-gain and low-gain directions. As a result, decentralized control approaches will likely fail to meet performance requirements in this scenario. Therefore, a more advanced multivariable control strategy is recommended for effective setpoint or trajectory tracking.
In isolation, the RGA value of 2.37 at equilibrium point 5 is a warning sign, but it is not inherently a critical flaw. This value indicates that a straightforward decentralized controller may face challenges due to significant interactions within the system. However, adopting a negative RGA pairing is not feasible, as this would imply potential instability. The condition number of 3941 is the paramount factor to consider. This elevated value indicates that the system is severely ill-conditioned, complicating the possibility of achieving a single controller tuning capable of effectively managing both input–output directions. While the RGA alerts the control designer to potential interaction issues, the CN underscores a fundamental structural problem within the static gain matrix of the system. Any attempt to control this system with decentralized loops is likely to fail. Instead, it requires an advanced multivariable controller design that can effectively handle the significant difference in directional gain.

4.5. Defining the CSTR Control Problem

Our analysis, combining phase portraits with decentralized control metrics, confirms that the CSTR is a highly challenging multivariable nonlinear system. Notably, equilibrium point 5 is severely ill-conditioned, as demonstrated by its condition number (CN = 3941). Even the control strategy for equilibrium point 1, while somewhat feasible, presents considerable challenges. Despite passing the Niederlinski stability test (NI = 2.755 and 0.42196, respectively), both systems are highly interactive and are difficult or virtually impossible to tune for robust performance.
The central challenge is that the system’s dynamic behavior is not fixed. We identify three pivotal issues:
  • Controllability characteristics shift dramatically with flow rate, as evidenced by the changes in the condition number.
  • The phase plane and its separatrix are contingent upon the flow conditions, leading to alterations in the stable basins of attraction.
  • RGA analysis indicates the optimal input–output pairing reverses across different operating regions, complicating the implementation of a fixed control architecture.
Therefore, this system demands more than a conventional controller. This study proposes to extend a well-established, linear SISO RST control framework into a multivariable control structure, offering an enhanced strategy tailored to effectively address the system’s bistability, strong interactions, and dynamics that are highly dependent on input conditions.

5. RST-Based Centralized and Decentralized Controllers for the CSTR System

This section outlines the design of (i) an RST SISO-based decentralized control system and (ii) an RST MIMO-based centralized control system for the 2 × 2 CSTR, targeting equilibrium points 1 and 5 in Table 7 and Table 8. The design is based on linear models derived at each operating point, formulated as transfer function matrices with a common characteristic polynomial. The model is expressed in the general mathematical structure defined in Equations (8)–(11) and the specific multivariable transfer function for the numerical case study defined in Table 9.

5.1. Plant Model for Control Synthesis

Independent SISO control loops are synthesized based on the proper transfer function elements from Equations (37) and (38) (reported in Table 9) for equilibrium points 1 and 5. The resultant control laws are combined to form decentralized control laws. We consider that x = [ x 1 ( t ) , x 2 ( t ) ] = [ T , C ] and u = [ u 1 ( t ) , u 2 ( t ) ] = [ q f , q c ] and we take into account the pairing resulting from the RGA analysis, which is different for these equilibrium points. The decentralized controller was calculated using the following transfer functions, where subscripts 1 and 5 stand for equlibrium point 1 and 5, respectively:
g 12 ( s ) 1 = 0.819 s 6.309 s 2 + 9.691 s + 77.16
g 21 ( s ) 1 = 0.01 s + 0.06 s 2 + 9.691 s + 77.16
g 11 ( s ) 5 = 1.15 s + 24.9 s 2 + 26.64 s + 48.72
g 22 ( s ) 5 = 0.052 s 2 + 26.64 s + 48.72
The centralized RST controller was synthesized using the complete linear plant models detailed in Table 9, corresponding to the CSTR at operating points 1 and 5. Following the mathematical framework defined in Section 2, the plant is representad by a Matrix Fraction Description (MFD), ensuring that all transfer functions share a common characteristic polynomial. The control law is synthesized via pole placement by solving the extended Bézout Equation (26).

5.2. Control Design Procedure

The core of the design is the selection of the controller polynomial degree. For any R ( s ) and S ( s ) polynomials, three key criteria must be considered:
1.
The physical realizability (properness) criterion. For a continuous-time controller to be physically realizable, its transfer function must be proper. This condition imposes the essential constraint that deg ( R ( s ) ) deg ( S ( s ) ) .
2.
Pole placement to achieve robustness. The target closed-loop dynamics are defined by the reference model matrix D ( s ) or D s M n × n K ρ i j s for the MIMO scheme. In accordance with [51], the reference poles are derived from the open-loop poles, while the auxiliary poles are set to three times the real part of the plant poles. The dominant poles dictate the system response speed, and the auxiliary poles provide robustness to unmodeled behavior. The polynomial degrees must be high enough to solve the Diophantine (Bézout) equation via pole placement, using (26) for centralized control and (32) for decentralized control. In practice, designers often increase the degrees of R ( s ) and S ( s ) beyond their minimum requirements to add flexibility, thereby enhancing robustness.
3.
Measures to enhance closed-loop performance. To ensure zero steady-state error, the controller must incorporate integral action. This task is accomplished by forcing the controller to have a pole at s = 0 . In this structure, it implies that S ( s ) must contain a root at the origin, which is achieved by setting S ( s ) = s · S ( s ) , thereby increasing deg ( S ) by one.

5.3. Numerical Example: Control Centralized and Desentralized Laws for Equilibrium Points 1 and 5

For the numerical example, the poles are specified in Table 13.
Provided as an example, the resulting Bézout equation is presented for equilibrium point 1. This equation for the centralized control is provided in (44). The Bézout equation corresponding to the control loop relating feed flow ( u 1 ) and concentration ( y 2 ) in the transfer function (43a) in the decentralized law is given in (45).
( s 2 + 9.691 s + 77.16 ) ( s 2 + S 0 s ) 1 1 1 1 + ( r 2 s 2 + r 1 s + r 0 ) 0.8295 s + 5.287 0.819 s 6.309 0.00871 s + 0.0558 0.03778 1 1 1 1 = s 4 + 38.76 s 3 + 516.43 s 2 + 2729.6 s + 4929.3 1 1 1 1 .
( s 2 + 9.691 s + 77.16 ) ( s 2 + S 0 s ) + ( 0.819 s 6.309 ) ( r 2 s 2 + r 1 s + r 0 ) = ( s + 4.8456 ) 2 ( s + 14.52 ) 2 .
For the same control loop, the polynomial pre-filter T ( s ) is determined as an example, as it is consistently determined based on the same criterion. To achieve zero steady-state error for a step input, T ( s ) is typically chosen as a scalar gain (a 0th-degree polynomial) that ensures the closed-loop system has unity static gain. Once the polynomials R ( s ) and S ( s ) are determined using (45), the corresponding T ( s ) is obtained as follows:
lim s 0 0.819 s 6.309 s 4 + 38.76 s 3 + 516.43 s 2 + 2729.6 s + 4929.3 T ( s ) = 1 T ( s ) = 4949.1 6.309 784.45 .
The centralized control law is given for equilibrium points 1 and 5 in Equations (47) and (48), respectively:
R ( s ) 1 = 15.148 s 2 + 54.225 s + 934.16 2650.7 s 2 + 26785 s + 89039 27.016 s 2 245.27 s 782.86 0.2178 s 2 + 1.067 s + 0.196 , S ( s ) 1 = s 2 + 41.59 s s 2 + 5.9414 s s 2 + 6.9 s s 2 + 29.029 s , T ( s ) 1 = 934.16 89039 782.86 13072 .
R ( s ) 2 = 8.01 s 2 + 218.3 s + 452 11278 s 2 302103 s 590335 5.037 s 2 136.378 s 288.843 3847.77 s 2 + 103811 s + 217826 , S ( s ) 2 = s 2 + 54.24 s s 2 + 154.38 s s 2 + 39.13 s s 2 + 44.92 s , T ( s ) 2 = 452.48 590335 288.84 217826 .
Finally, the decentralized control law is detailed in Table 14 and Table 15 for equilibrium points 1 and 5, respectively:
Table 14. Decentralized control law for equilibrium point 1.
Table 14. Decentralized control law for equilibrium point 1.
Temperature Control LoopConcentration Control Loop
R 21 ( s ) 1 = 27.016 s 2 245.272 s 782.86 S 21 ( s ) 1 = s 2 + 6.9035 s T 21 ( s ) 1 = 784.86
R 12 ( s ) 1 = 2655.1 s 2 + 26877 s + 89223 S 12 ( s ) 1 = s 2 + 5.9426 s T 12 ( s ) 1 = 89039
Table 15. Decentralized control law for equilibrium point 5.
Table 15. Decentralized control law for equilibrium point 5.
Temperature Control LoopConcentration Control Loop
R 11 ( s ) 5 = 8.1048 s 2 + 218.31 s + 452.49 S 11 ( s ) 5 = s 2 + 54.247 s T 11 ( s ) 5 = 452.49
R 22 ( s ) 5 = 3847.8 s 2 + 103810 s + 217830 S 22 ( s ) 5 = s 2 + 44.926 s T 22 ( s ) 5 = 217830

5.4. Robustness Analysis via Disk Margin

To assess the stability of the proposed centralized MIMO control scheme under modeling uncertainties, the Disk Margin analysis was employed. Unlike classical single-loop gain and phase margins, which evaluate loops independently, the disk margin method considers simultaneous gain and phase variations across all input and output channels. This approach defines a circular exclusion region, denoted as D ( α ) , centered at the critical point ( 1 , 0 ) in the Nyquist plane. The size of this disk, determined by the parameter α , represents the maximum amount of combined uncertainty the system can tolerate while maintaining closed-loop stability [52].
The quantitative results of the robustness analysis are summarized in Table 16. The system exhibits a robustness index of α 0.78 , which corresponds to a guaranteed gain margin of approximately ± 18 dB and a phase margin of ± 75 . 7 . The Multivariable Nyquist Diagram (Figure 6) visualizes these results across the four input–output channels ( 2 × 2 system). The following observations are drawn:
  • Global Stability: The frequency response trajectories (blue lines) in all subplots neither encircle the critical point nor invade the defined exclusion disk. According to the Generalized Nyquist Criterion, this confirms the nominal stability of the closed-loop system.
  • High Robustness: The exclusion disk is significantly large ( α = 0.78 ), and the Nyquist trajectories remain well outside this region. The calculated margins significantly exceed standard process control requirements (typically GM > 6 dB and PM > 45 ).
The analysis demonstrates that the proposed controller provides not only nominal stability but also exceptional robustness. The high gain and phase margins indicate that the system can withstand severe modeling errors, actuator degradation, or cross-coupling perturbations without risking instability. This validates the suitability of the centralized design for the CSTR.

6. SISO RST vs. MIMO RST-Based Control: A Performance Comparison

6.1. Test Scenarios

A comparative evaluation of the decentralized and multivariable control structures is conducted under several critical scenarios:
1.
Initial Condition Variations. Due to the sensitivity of the CSTR plant, we analyze the performance of the controller when starting from non-equilibrium states. The specific initial values used for these simulation runs are listed in Table 17. The initial temperature is between the values corresponding to points 1 (432.94 K) and 5 (465 K), while the initial concentration corresponds to a lower conversion, and it is not in equilibrium with the initial temperature.
2.
Input Noise Rejection. To simulate real-world factors like pump instability or supply line fluctuations, a random noise signal with a range of ± 5 is superimposed on the control inputs, as illustrated in Figure 7.
3.
Output Disturbance Rejection. The controllers are tested against output disturbances. These represent unmeasured external factors such as ambient temperature changes, leaks, or instrumentation failures that can negatively impact internal reactor conditions. In the simulation, the disturbance is introduced into the system as a step signal. This signal is persistent, begins at a specific time, and continues until the end of the simulation.
4.
Setpoint Tracking. The evaluation of setpoint tracking performance is crucial to provide operational flexibility in industrial settings. Precise tracking is essential to drive the system away from undesirable regions or the separatrix. In industrial practice, the CSTR often needs to shift between operating points to optimize reaction yield, reduce energy consumption, or adapt to changes in raw material supply. The controller must also adhere to strict reference trajectories during start-up and shut-down phases to ensure safety and reliable operation. Further, the conversion rates of the reactor need to align with the demands of downstream processes and inventory constraints. Thus, the control law must ensure smooth and rapid transitions between equilibrium states, preventing overshoot that may push the system into an undesired basin of attraction.
The simulations were performed to compare the effectiveness of decentralized and centralized multivariable control approaches. For these tests, Figure 8 presents the structure of the RST SISO control loop, while Figure 9 illustrates the structure of the RST MIMO control architecture.

6.2. Centralized and Decentralized Control Responses to Changes in Initial Conditions, Input Noise, Output Disturbances, and Reference Changes

In the figures below, the performance of the closed-loop system associated with the decentralized control structure is labeled with the legend “SISO”, whereas the performance of the centralized control structure is labeled with the legend “MIMO”. The input noise characteristics, the disturbance events, and the reference changes considered in the control system tests are detailed in Table 18.
For the first test, the reference during the interval t = 0 to 50 s corresponds to the operating conditions at point 1. The responses of both control structures, centralized and decentralized, are displayed in Figure 10 for temperature regulation and in Figure 11 for concentration regulation. Several performance metrics (defined in Appendix B) were calculated to compare the effectiveness of both control approaches.
Based on the resultant performance indices reported in Table 19, the MIMO controller outperformed the SISO in almost all metrics for temperature regulation. However, for concentration regulation, a slight advantage of the SISO scheme over the MIMO scheme is noted. Overall, both control strategies tracked the set references efficiently. Despite the physical constraints imposed by actuator saturation, the control actions remained within limits throughout the testing scenario, as evidenced in Figure 12. Further tests will be conducted to evaluate the control system in response to more significant changes in input conditions.
In Figure 13, it can be observed how the temperature and concentration trajectories move through operating regions with varying dynamics. System behavior can change significantly if the initial conditions stray far from the linearized region, as will be demonstrated in the subsequent tests.
For the second test scenario, during the interval t = 0 to 50 s, the reference corresponds to the operating conditions at point 5. The same test scenarios with the characteristics shown in Table 18 are used to evaluate the SISO and MIMO control structures around operating point 5.
Figure 14 demonstrates that the MIMO control structure successfully tracks the temperature reference, maintaining robust performance despite the introduction of input noise, output disturbances, and varying initial conditions.
In contrast, the SISO structure fails to reach the reference; instead, the controller stabilizes at an equilibrium point within the second basin of attraction. The control input drives the temperature to remain near 350 K, which corresponds to the equilibrium temperature of the node found in the phase portraits regardless of the coolant flow rate.
Regarding concentration regulation, Figure 15 shows that both controllers successfully maintain the concentration reference level. The failure of the SISO temperature loop, while the concentration loop remains stable, highlights the limitations of independent decentralized loops. This outcome is consistent with the RGA analysis in Section 4.4. This analysis revealed that the optimal input–output pairing inverts between the two operating regions. Since the decentralized controller relies on fixed pairings, it cannot accommodate this structural change, resulting in the observed failure in the temperature loop.
The resulting performance is further illustrated by the control signals in Figure 16: the product flow in the SISO scheme decreases to nearly zero, while the coolant flow saturates at its upper limit. Although the control scheme allows for the suitable regulation of one variable, the other fails to attain its setpoint.
Examination of the performance indices in Table 20 reveals a clear difference between the two control structures regarding temperature response. While the difference in concentration control is minimal, it is important to highlight the capability of the MIMO control structure to handle initial conditions located further from the operating point.
As the temperature is adjusted to the setpoint, the system trajectory moves through different operating regions as shown in Figure 17. The changing relationship between variables, as revealed by the phase portraits of the nonlinear system, forces the SISO control structure to deal with complex behaviors.

6.3. Further Analysis of the Influence of Initial Conditions

We investigate how the performance of the control structures is influenced as the starting conditions diverge from the equilibrium. The new initial conditions considered are detailed in Table 21.
Figure 18a,b distinctly showcases the performance disparity between the two control structures in response to changes in initial conditions. In this scenario, only the MIMO control structure tracks the references effectively. In contrast, the SISO structure destabilizes the system. The resulting control signals are depicted in Figure 19.
The analysis of the control signal graphs in Figure 19 demonstrates the inherent aggressiveness of the SISO control strategy. From this observation, it is concluded that while both controllers exhibit satisfactory performance under nominal conditions, the imposition of more challenging initial conditions leads to considerable instability in the SISO-controlled system. This behavior highlights its limitations in adapting to complex dynamic scenarios. Since the SISO control loops operate independently and in parallel without coordination, they conflict with each other. As a result, poor performance characterized by oscillations is observed. The closed-loop system diverges and exhibits input saturation.

6.4. SISO vs. MIMO RST Control: Setpoint Tracking

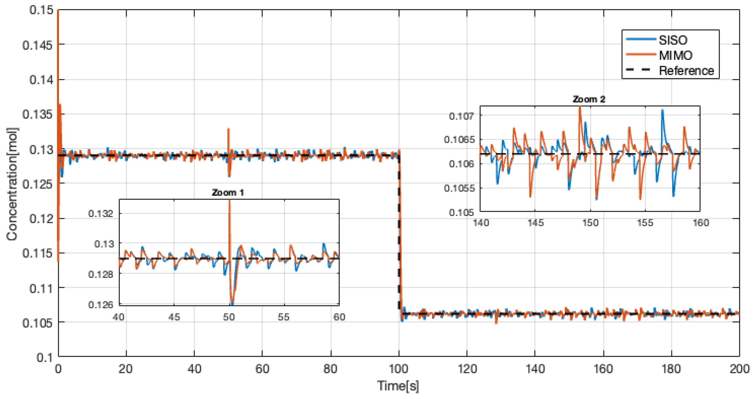
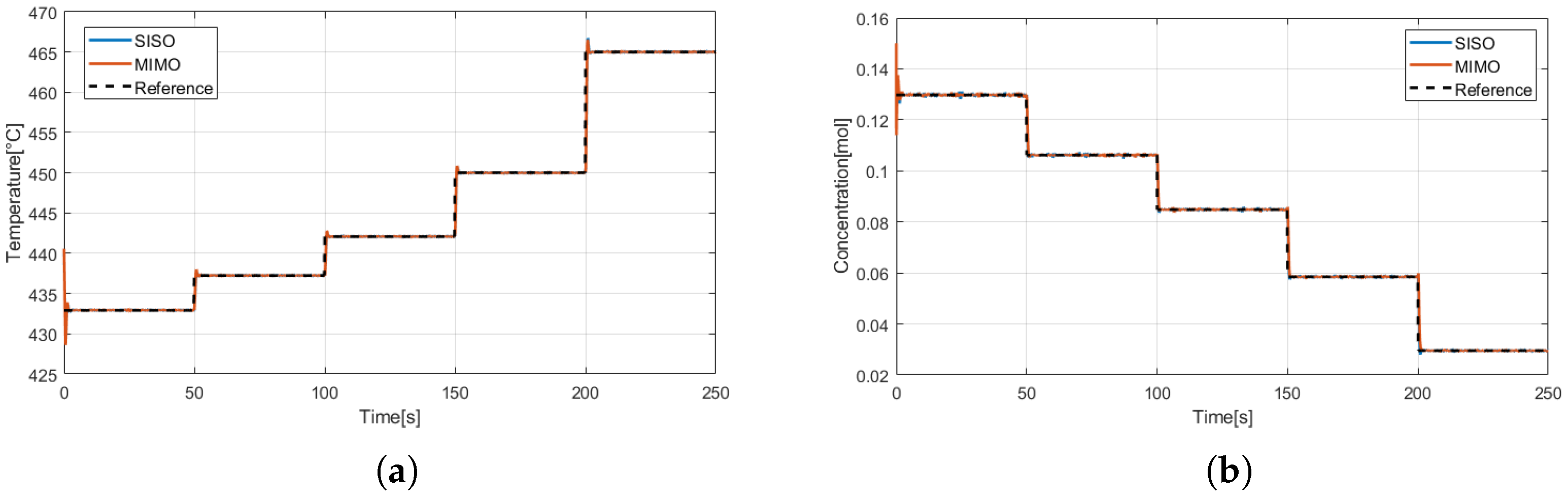
We test the robustness of the centralized and decentralized controllers by comparing their performance on a long-range, step-wise trajectory. For temperature tracking, the setpoint is moved every 50 s, starting from equilibrium point 1 (432.94 K) and ending at equilibrium point 5 (465 K), with intermediate steps at 437.25 K, 442.07 K, and 450.03 K. This scenario is designed to force the controller, which was linearized only at equilibrium point 1, to operate far outside its design region. The temperature control performance is presented in Figure 20a. For concentration tracking, the setpoint is moved every 50 s, starting from equilibrium point 1 (0.1298 mol/L) and ending at equilibrium point 5 (0.0295 mol/L), with intermediate steps at 0.1062, 0.0848, and 0.0585 mol/L. The concentration control performance is presented in Figure 20b.
Figure 21 presents the control efforts generated by the centralized and decentralized controllers in response to the sequential step changes in the reference values. The results demonstrate that both control strategies effectively managed the setpoint tracking, highlighting their robustness in adapting to reference modifications.
As introduced earlier, the control of the CSTR under study incorporates an extra degree of freedom compared to conventional setups. The standard approach involves adjusting product quality solely through the manipulation of the coolant flow, with a strict emphasis on not impacting the overall production volume. The proposed approach consists of manipulating both the coolant flow and the product flow while minimally affecting the production level. The control flexibility is demonstrated in Figure 21, showcasing the system’s ability to significantly adjust temperature and concentration levels without significantly altering the product flow rate, even under varied test scenarios. The performance of the SISO and MIMO control schemes is demonstrated through the indices in Table 22.
These tests revealed strong performance of both control structures. Nonetheless, it has been observed that when the initial conditions deviate significantly from the equilibrium point, the SISO control structure is unable to maintain stability.
We now test temperature tracking along a reverse trajectory. The temperature setpoint is adjusted every 50 s, starting from equilibrium point 5 (465 K) and ending at equilibrium point 1 (432.94 K), traversing the same intermediate steps but in reverse order. This scenario employs the controller based on the model linearized at equilibrium point 5. Similarly, the system operates far outside its design region. The temperature control performance is presented in Figure 22a.
The decentralized SISO control structure failed this test. As shown in Figure 22a, the temperature controller was unsuccessful at following the reference and was instead captured by the stable equilibrium in the second basin of attraction. However, the independent SISO concentration controller has achieved successfully the reaction conversion tracking, as demonstrated in Figure 22b. The MIMO controller however, performed correctly, successfully guiding both temperature and concentration along the desired trajectory. Then, Figure 23 shows that the refrigerant saturates while the product flow fall to minimal levels. Therefore, it is concluded that the SISO control structure cannot effectively function at this operating point.

6.5. Comparison Against ASPPIA (Augmented-State Pole Placement with Integral Action) and MPC

To assess the relative merit of the proposed robust MIMO RST controller without shifting the focus of this work to a broad benchmarking study, we include a concise comparison against two widely used multivariable control paradigms: (i) an augmented-state state-feedback controller with integral action designed by pole placement, hereafter referred to as ASPPIA, and (ii) a standard Model Predictive Control (MPC) formulation. The objective is to provide a representative baseline under the same simulation protocol and equilibrium-point transitions considered in this paper.

6.5.1. ASPPIA: Augmented-State Feedback with Integral Action

We first present the controller structure and subsequently the synthesis procedure.
Consider a continuous-time MIMO plant linearized around a given operating point:
x ˙ ( t ) = A x ( t ) + B u ( t ) , y ( t ) = C x ( t ) ,
where x R n , u R m , y R p . To enforce zero steady-state error for piecewise-constant references and to improve disturbance rejection, ASPPIA augments (53) with integrators of the output tracking error:
x ˙ I ( t ) = r ( t ) y ( t ) = r ( t ) C x ( t ) ,
where x I R p is the integral state and r ( t ) R p is the reference.
Defining the augmented state x e : = x x I , the augmented dynamics read
x ˙ e ( t ) = A e x e ( t ) + B e u ( t ) + E e r ( t ) ,
with
A e = A 0 C 0 , B e = B 0 , E e = 0 I p .
ASPPIA applies static state feedback on the augmented state:
u ( t ) = K e x e ( t ) = K x x ( t ) K I x I ( t ) ,
where K e = K x K I . The closed-loop poles are those of A e B e K e and are selected by pole placement on the augmented pair ( A e , B e ) .
The controller design is achieved via pole placement, subject to practical constraints. In principle, pole placement on ( A e , B e ) allows the assignment of real and complex poles. However, several structural and practical constraints must be respected:
  • Real implementation. Since A e , B e , and K e are real-valued, complex poles must be specified in conjugate pairs ( σ ± j ω ) to yield real gains.
  • Controllability of the augmented system. Exact pole assignment requires ( A e , B e ) to be controllable. Even when ( A , B ) is controllable, augmenting with integrators can introduce poorly controllable (or uncontrollable) modes depending on the selected outputs and the rank properties of ( A , B , C ) . This is particularly relevant in MIMO settings and must be verified for each operating-point model.
  • Multiplicity limitations and numerical sensitivity. In multivariable pole placement, repeated (or nearly repeated) poles may be infeasible or lead to ill-conditioned solutions, especially when the requested multiplicity exceeds the input rank. Moreover, aggressive pole locations, such as fast dynamics and/or high-frequency complex pairs, can produce very large gains K e , amplifying measurement noise, inducing actuator saturation, and increasing sensitivity to model mismatch, thus degrading robustness.
  • Integral action and actuator saturation (windup). The integral state x I can accumulate during saturation or abrupt operating-point changes, potentially causing overshoot or oscillations. Anti-windup compensation is often necessary for satisfactory performance at the limits.
These considerations for designing the ASPPIA delimit the domain where pole placement provides reliable performance without excessive gain or sensitivity. For this reason, in the comparisons below, ASPPIA has been tuned conservatively to prevent aggressive gains, specifically by selecting moderate bandwidth and damping.
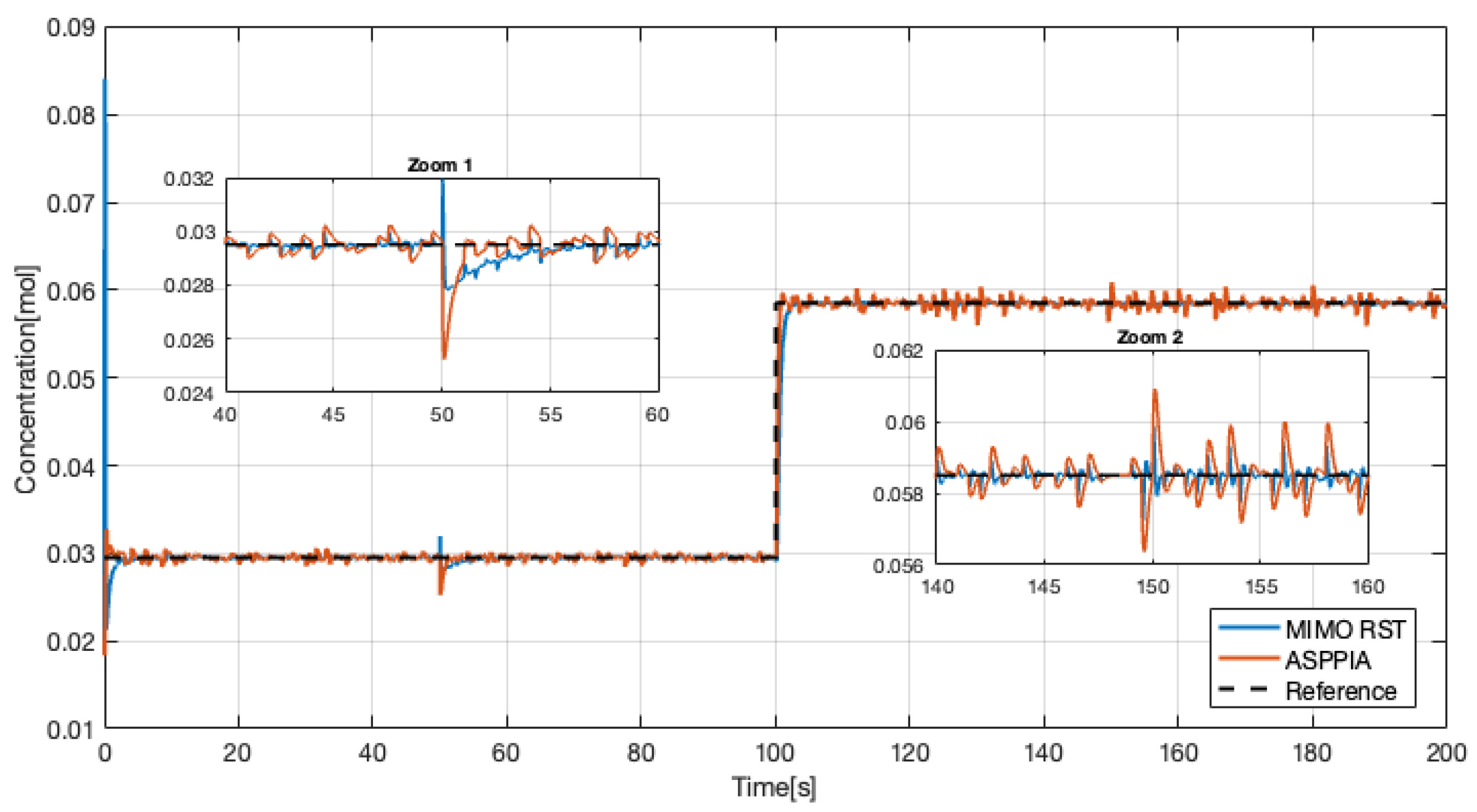
ASPPIA is included as a classical, transparent baseline that combines integral action with augmented-state pole-placement feedback, and it is particularly relevant when closed-loop behavior is largely governed by local linear dynamics around a given operating point. To ensure a fair and consistent comparison, ASPPIA was tuned using real-valued closed-loop poles only; the pole set was chosen to be identical to that adopted earlier in the MIMO/SISO comparison, and the same simulation protocol (references, disturbances, constraints, and operating-point transition schedule) was retained. In our study, the plant is forced to transition across five operating points, including the most challenging regime. The concentration response shown in Figure 24 corresponds to operating point 5: both controllers provide comparable disturbance attenuation, with the proposed robust centralized RST exhibiting slightly superior performance under the disturbance, while the most noticeable difference appears after the subsequent reference change, where the proposed controller achieves tighter tracking and smaller transient deviation.

6.5.2. Model-Based Predictive Control (MPC) Baseline

MPC is a well-established multivariable control framework, whose standard formulation involves repeatedly solving a constrained optimization problem over a finite prediction horizon. At each sampling instant k, the controller typically minimizes a quadratic cost of the form
min { u k + i } i = 0 N p 1 y k + i r k + i Q 2 + i = 0 N u 1 Δ u k + i R 2 ,
subject to the prediction model, as well as input, state, and/or output constraints. In our numerical case study, only the first control move was applied (receding horizon principle).
A key practical aspect in the present benchmark is the presence of five operating points and forced transitions across them. A single linear prediction model tuned at one operating point may fail to preserve tracking and constraint handling after a significant regime change. In our initial experiments with a single-model MPC, the controller exhibited a marked loss of performance (and, in some cases, loss of feasibility) when the system was switched to the most difficult operating point, preventing a meaningful comparison plot under the same transition scenario.
To enable a representative MPC comparison while keeping the MPC design lightweight, we adopt a two-model strategy: a gain-scheduled or switched MPC, where the prediction model is selected according to the current operating regime. This approach is sufficient to restore feasibility and tracking across the targeted transitions, thereby providing a baseline against which to compare the proposed robust centralized multivariable RST controller. The detailed tuning, including horizons, weights, and switching logic, is provided alongside the simulation setup in Section 6.1.

6.5.3. Discussion of Comparative Results

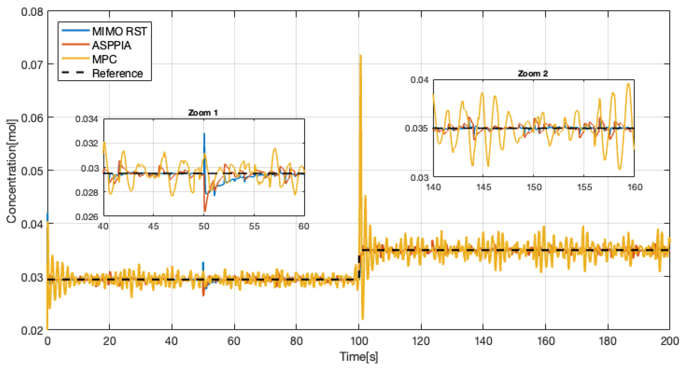
The comparative simulations were conducted under identical reference changes and equilibrium-point transitions for all controllers, including a switch toward the most challenging regime to explicitly stress robustness. The results shown correspond to Operating Point 5. Figure 24 summarizes the tracking and regulation metrics achieved by ASPPIA and by the proposed robust centralized RST controller. The proposed controller is effective in benign scenarios, maintains equal or improved performance during transitions, and keeps the control action within comparable bounds. Figure 25 extends the comparison to MPC, showing that the proposed robust centralized RST attains performance comparable to, and in several scenarios better than, a standard (baseline) MPC under the same regime-switching conditions.
It is worth noting that MPC is widely regarded as a reference methodology in the control community and has benefited from numerous extensions (e.g., nonlinear, adaptive, and learning-based variants). In this work, we intentionally restrict the benchmark to a conventional baseline MPC, since our goal is not to exhaustively optimize or survey advanced MPC formulations but rather to provide a commonly accepted reference in response to the request for comparison with other MIMO controllers. The same rationale applies to RST: many enhancements can be incorporated into both frameworks, but pursuing such extensions would constitute a separate contribution. Within this scope, the presented results support the assertion that the proposed robust centralized RST controller delivers multivariable performance at least on par with classical augmented-state integral servo control and baseline MPC, and it can be superior in the presence of operating-point transitions and robustness-critical regimes.

7. Conclusions

The main contribution of this work is the development and evaluation of a new centralized multivariable robust RST control structure tailored for highly interactive nonlinear processes. We established a linear MIMO mathematical modeling framework as the foundation for the design of our proposed control law. Unlike the decentralized approach implemented via independent SISO RST loops, our methodology utilizes a Matrix Fraction Description (MFD) to achieve coordinated control through algebraic synthesis based on the extended Bézout equation.
Our qualitative analysis of the CSTR highlighted significant control challenges. Phase portraits revealed a nonlinear landscape characterized by bistability, where an input-dependent separatrix divides multiple attractors. Furthermore, static analysis using the Relative Gain Array (RGA), Condition Number (CN), and Niederlinski Index (NI) confirmed that the system is ill-conditioned and highly interactive. Crucially, the analysis showed that the optimal input–output pairing inverts across operating regions, rendering a fixed decentralized structure ineffective.
By benchmarking the centralized structure against conventional decentralized schemes and baseline multivariable controls, we demonstrated that the centralized RST architecture effectively maintains stability and tracking performance. This is evidenced by the error metrics and robustness results, particularly in regions where independent loops fail due to structural coupling. Furthermore, the proposed controller exhibits performance comparable to ASPPIA but offers greater flexibility in pole placement methods. Moreover, it proved superior to standard MPC baselines, especially during operating-point transitions and critical regimes.
In summary, the centralized RST framework offers a robust, flexible, and reliable alternative for complex industrial processes over a wide operating range. Future work will address the reliance on linearized transfer function models by introducing online plant identification or an adaptive layer to update the control configuration dynamically. Additionally, future iterations could be enhanced through AI optimization or black-box integration.

Author Contributions

Conceptualization, C.A.P., G.L.L. and V.M.A.; Methodology, G.L.L. and V.M.A.; Software, C.A.P. and V.M.A.; Validation, C.A.P., G.L.L., V.M.A. and M.B.; Formal analysis, C.A.P., G.L.L., N.R.-C., V.M.A. and F.A.A.L.; Investigation, C.A.P., N.R.-C. and V.M.A.; Data curation, C.A.P., G.L.L. and V.M.A.; Writing—original draft, C.A.P. and G.L.L.; Writing—review and editing, G.L.L., V.M.A. and F.A.A.L.; Visualization, M.B.; Supervision, G.L.L., N.R.-C., V.M.A. and M.B.; Project administration, N.R.-C. All authors have read and agreed to the published version of the manuscript.

Funding

This research received no external funding.

Data Availability Statement

The original contributions presented in this study are included in the article. Further inquiries can be directed to the corresponding authors.

Conflicts of Interest

The authors declare no conflicts of interest.

Appendix A. RGA and SVD Analysis

Appendix A.1. Singular Values Decomposition

In mathematical terms, the singular value decomposition of a matrix allows for the simple expression of the matrix’s action. For instance, it enables the visualization of gains, coordinate transformations, and more. This is encapsulated in the following theorem.
Any matrix A n × m can be expressed as:
A = U n × n · S n × m · V m × n T .
where the matrices U and V are orthogonal, meaning U T U = I and V T V = I . S is a diagonal matrix with r positive elements on the diagonal, where r is the rank of the matrix, and the remaining elements are zero. The diagonal elements of S are known as the singular values of A, non-negative elements arranged in descending order ( σ 1 σ 2 σ n ). The columns of U and V are referred to as the principal directions of output and input, respectively. The matrix A T A , which is of size n × n , is symmetric and can therefore be orthogonally diagonalized. The singular values of A are the square roots of the eigenvalues of A T A .

Appendix A.2. Condition Number

The condition number of a matrix A is:
C N = γ ( A ) = σ 1 ( A ) σ k ( A ) = σ ¯ ( A ) σ ̲ ( A ) 1
In control theory, if nominally y = G u , then with uncertain data u + ζ u , the error will be ζ y = G ζ u . A poorly conditioned process makes calculations unreliable, as it amplifies the percentage error by the conditioning. The condition number helps evaluate the difficulty of designing controllers for the system and can influence the choice of control techniques. A high condition number indicates that the system may be less robust and more difficult to control.

Appendix A.3. Relative Gain Array Matrix

According to the Bristol method, it is based on the concept of relative gains. The relative gain λ i j between the controlled variable y i and the manipulated variable u j is defined as:
λ i j = Open loop gain Closed loop gain
The RGA of a nonsingular complex matrix of dimension n × n ( R G A ( G ) ) is a complex matrix of n × n, defined as:
R G A ( G ) = G × ( G 1 ) T
The Relative Gain Array (RGA) matrix is dimensionless and independent of the units of the inputs or outputs, with its rows and columns summing to 1. In the field of control, the RGA matrix enables the observation of interactions between input and output variables. This facilitates appropriate pairings for the design of a control loop. A good pairing features an RGA term close to unity, whereas poor pairings have negative terms.

Appendix A.4. Niederlinski Index

For stable plants, it has been demonstrated that if all individual loops are stable and have integral action, a necessary condition for the stability of the entire system is that the Niederlinski index is positive N I > 0 . A positive Niederlinski index indicates that the interactions between the different input and output variables are not excessively strong, suggesting that it is possible to design independent controllers for each control loop. A negative or zero Niederlinski index indicates strong interactions between variables, making the design of effective decentralized controllers difficult or impossible.
To calculate the index:
N I = d e t G ( 0 ) d e t G ˜ ( 0 ) = d e t G Π i = 1 n g i i
where G ( 0 ) denotes the matrix of static gains belonging to the matrix G ( s ) . Here, G ( s ) is the square n × n plant.
G ˜ = d i a g { g i i } = g 11 0 0 0 g 22 0 0 0 g n n
A positive Niederlinski index indicates that the interactions between the different input and output variables are not excessively strong, suggesting that it is possible to design independent controllers for each control loop. A negative or zero Niederlinski index indicates strong interactions between variables, making the design of effective decentralized controllers difficult or impossible. The Niederlinski index is particularly useful in the early stages of designing a multivariable control system, as it quickly assesses whether a decentralized control approach is feasible. This can save time and effort by avoiding unsuccessful attempts to design controllers for systems with strong variable interactions.

Appendix B. Performance Indices

Performance indices are metrics employed in the analysis and design of control systems to evaluate and compare the effectiveness of different systems or control strategies. These indices quantify various system behavior aspects, such as stability, speed, accuracy, and robustness. Here is an overview of some of the most common performance indices:
  • Integral of Absolute Error (IAE): this metric is the integral of the absolute error value over time, giving a comprehensive measure of error magnitude over the duration:
    I A E = 0 | e ( t ) | d t
  • Integral of Squared Error (ISE): this metric is the integral of the squared error over time, more severely penalizing larger errors:
    I S E = 0 e 2 ( t ) d t
  • Integral of Time-weighted Absolute Error (ITAE): this metric is the integral of the absolute error value multiplied by time, penalizing errors that persist over time:
    I T A E = 0 t | e ( t ) | d t
  • Integral of Time-weighted Squared Error (ITSE): this metric is the integral of the squared error multiplied by time, penalizing both large and persistent errors:
    I T S E = 0 t e 2 ( t ) d t

References

  1. Garrido, J.; Vázquez, F.; Morilla, F. Centralized multivariable control by simplified decoupling. J. Process Control 2012, 22, 1044–1062. [Google Scholar] [CrossRef]
  2. De A. Aguiar, A.P.V.; Ramos, E.T.G.; Acioli, G.; Barros, P.R. Frequency data driven optimal design of different PI control structures for a multivariable process. IFAC-PapersOnLine 2024, 58, 376–381. [Google Scholar] [CrossRef]
  3. Getman, K.V.; Broos, P.S.; Salter, D.M.; Sudhahar, S.; Ganesh Babu, C.; Sharmila, D. Performance Evaluation with Multivariable and Multiloop control for a class of square MIMO systems. IOP Conf. Ser. Mater. Sci. Eng. 2021, 1084, 012090. [Google Scholar] [CrossRef]
  4. Khandelwal, S.; Detroja, K.P. The optimal detuning approach based centralized control design for MIMO processes. J. Process Control 2020, 96, 23–36. [Google Scholar] [CrossRef]
  5. Liu, L.; Tian, S.; Xue, D.; Zhang, T.; Chen, Y.; Zhang, S. A Review of Industrial MIMO Decoupling Control. Int. J. Control Autom. Syst. 2019, 17, 1246–1254. [Google Scholar] [CrossRef]
  6. Wang, Q.G. Decoupling Control; Lecture Notes in Control and Information Sciences; Springer: Berlin/Heidelberg, Germany, 2003; pp. 129–185. [Google Scholar] [CrossRef]
  7. Belwal, N.; Juneja, P.; Sunori, S.K. Decoupler Control for a MIMO Process Model in an Industrial Process—A Review. In Proceedings of the 2023 2nd International Conference on Ambient Intelligence in Health Care (ICAIHC), Bhubaneswar, India, 17–18 November 2023; pp. 1–6. [Google Scholar] [CrossRef]
  8. Euzebio, T.A.M.; Silva, M.T.D.; Yamashita, A.S. Decentralized PID Controller Tuning Based on Nonlinear Optimization to Minimize the Disturbance Effects in Coupled Loops. IEEE Access 2021, 9, 156857–156867. [Google Scholar] [CrossRef]
  9. Yousfi, M.; Ben Njima, C.; Garna, T. Decentralized Robust Control of Nonlinear Uncertain Multivariable Systems. Arab. J. Sci. Eng. 2021, 46, 9899–9924. [Google Scholar] [CrossRef]
  10. Albertos, P.; Sala, A. Decentralised and Decoupled Control. In Multivariable Control Systems; Advanced Textbooks in Control and Signal Processing; Springer: London, UK, 2004; pp. 125–164. [Google Scholar] [CrossRef]
  11. Pandey, S.K.; Dey, J.; Banerjee, S. Control of Generalized Decoupled MIMO Systems Based on Linear Programming Method. IETE J. Res. 2024, 70, 3901–3927. [Google Scholar] [CrossRef]
  12. Zrigan, A.F.; Abougarair, A.J.; Elmezughi, M.K.; Almaktoof, A.M. Optimized PID Controller and Generalized Inverted Decoupling Design for MIMO System. In Proceedings of the 2023 IEEE International Conference on Advanced Systems and Emergent Technologies (IC_ASET), Hammamet, Tunisia, 29 April–1 May 2023; pp. 1–6. [Google Scholar] [CrossRef]
  13. Kadu, A.; Khandekar, A. Optimized decentralized PID controller for TITO systems using grey wolf optimization with experimental application. Eng. Res. Express 2025, 7, 045416. [Google Scholar] [CrossRef]
  14. Mahapatro, S.R.; Mahapatra, S.; Govinda, A.; Mahapatra, R.K. A dynamic optimal decoupling controller design for a multi-variable system with stability analysis: An algebraic approach. Int. J. Model. Simul. 2024, 46, 272–285. [Google Scholar] [CrossRef]
  15. Ding, D.M.; Yang, H.M.; Liu, J.; Zhang, D.W.; Jiang, X.H. Energy-saving optimization on active disturbance rejection decoupling multivariable control. Nucl. Eng. Technol. 2023, 55, 850–860. [Google Scholar] [CrossRef]
  16. González, J.R.; Correa, G.; Montoya, O.D. Design of a control with multiple inputs multiple outputs by decoupling. J. Phys. Conf. Ser. 2021, 1981, 012002. [Google Scholar] [CrossRef]
  17. Xu, J..; Li, H..; Zhang, Q.; Zhu, J.; Xia, Z.; Qin, L.; Xu, J.; Li, H.; Zhang, Q. Multivariable Coupled System Control Method Based on Deep Reinforcement Learning. Sensors 2023, 23, 8679. [Google Scholar] [CrossRef]
  18. Bhat, V.S.; Thirunavukkarasu, I.; Shanmugapriya, S. Design of centralized robust pi controller for a multivariable process. J. Eng. Sci. Technol. 2018, 13, 1253–1273. [Google Scholar]
  19. Shen, Y.; Sun, Y.; Xu, W. Centralized PI/PID controller design for multivariable processes. Ind. Eng. Chem. Res. 2014, 53, 10439–10447. [Google Scholar] [CrossRef]
  20. Landau, I.D.; Karimi, A. Robust digital control using pole placement with sensitivity function shaping method. Int. J. Robust Nonlinear Control 1998, 8, 191–210. [Google Scholar] [CrossRef]
  21. Jacknoon, A.; Hassan, M.; Ferik, S.E. Design of RST controllers based on intelligent optimization algorithms. In Proceedings of the 2016 Conference of Basic Sciences and Engineering Studies, SGCAC 2016, Khartoum, Sudan, 20–23 February 2016; pp. 177–182. [Google Scholar] [CrossRef]
  22. Laid, K.; Djalal, D.; Ghania, Z.; Rachid, A. Optimization of RST controller for speed control of linear induction motor using genetic algorithm. Recent Adv. Electr. Electron. Eng. 2023, 17, 260–268. [Google Scholar] [CrossRef]
  23. Jha, B.; Panda, M.K.; Mishra, V.M.; Ganesh, S.N. Vector-controlled induction motor drives using intelligent rst robust controller. In Proceedings of the Advances in Intelligent Systems and Computing; Springer: Berlin/Heidelberg, Germany, 2019; Volume 768, pp. 649–667. [Google Scholar] [CrossRef]
  24. Dhanya Ram, V.; Chidambaram, M. Simple method of designing centralized PI controllers for multivariable systems based on SSGM. ISA Trans. 2015, 56, 252–260. [Google Scholar] [CrossRef]
  25. Abdurraqeeb, A.M.; Al-Shamma’a, A.A.; Alkuhayli, A.; Alsharabi, K.; Aljalal, M.; Addoweesh, K.E. Stability improvement of a DC boost converter Supplying a constant Power load via a digital robust control technique. In Proceedings of the 2023 3rd International Conference on Emerging Smart Technologies and Applications, eSmarTA 2023, Taiz, Yemen, 10–11 October 2023. [Google Scholar] [CrossRef]
  26. Hajaya, M.; Shaqarin, T. Control of a Benchmark CSTR Using Feedback Linearization. Jordanian J. Eng. Chem. Ind. 2019, 2, 67–75. [Google Scholar] [CrossRef]
  27. Suo, L.; Ren, J.; Zhao, Z.; Zhai, C. Study on the Nonlinear Dynamics of the Continuous Stirred Tank Reactors. Processes 2020, 8, 1436. [Google Scholar] [CrossRef]
  28. Okienková, K.; Dodek, M.; Málik, R.; Paulusová, J.; Tárník, M. Robust Model Predictive Control of the Van De Vusse Reaction with Uncertain Extended Prediction Model and LMI-Based Design. IEEE Access 2025, 13, 182088–182106. [Google Scholar] [CrossRef]
  29. Yoder, E.; Strasser, W. Need for Control: Instability of Continuous Stirred Tank Polymerization Reactor Simulations. Ind. Eng. Chem. Res. 2025, 64, 23847–23857. [Google Scholar] [CrossRef]
  30. Yu, M.; Li, B.; Zhao, S.; Roy, N.; Zhang, B. PPO-based resilient control framework for safer operation of exothermic CSTR. Process Saf. Environ. Prot. 2025, 193, 558–576. [Google Scholar] [CrossRef]
  31. Hussein, S.A.; El-Affendi, M.; El-Latif, A.A. Advanced Control Strategies for Nonlinear Continuous Stirred Tank Reactors Using Emerging Technologies. In International Conference on Smart Systems and Emerging Technologies; Koubaa, A., Mnaouer, A.B., Boulila, W., Raghay, S., Eds.; Lecture Notes in Networks and Systems; Springer Nature: Cham, Switzerland, 2025; Volume 1401, pp. 292–307. [Google Scholar] [CrossRef]
  32. Bloor, M.; Ahmed, A.; Kotecha, N.; Mercangöz, M.; Tsay, C.; Del Río-Chanona, E.A. Control-Informed Reinforcement Learning for Chemical Processes. Ind. Eng. Chem. Res. 2025, 64, 4966–4978. [Google Scholar] [CrossRef]
  33. Wosu, C.; Ezeh, E.; Ojong, O. Development and Assessment of Manual and Automated PID Controllers for the Optimum Production of Ethylene Glycol in a CSTR. Niger. J. Trop. Eng. 2024, 18, 223–243. [Google Scholar] [CrossRef]
  34. Meena, R.; Das, D.; Chandra Pal, V.; Chakraborty, S. Smith-predictor based enhanced Dual-DOF fractional order control for integrating type CSTRs. Int. J. Chem. React. Eng. 2023, 21, 1091–1106. [Google Scholar] [CrossRef]
  35. Wang, Z.; Ying, L. Study on the temperature dual control of CSTR with coil cooling and jacket cooling and application. In Proceedings of the 10th World Congress on Intelligent Control and Automation, Beijing, China, 6–8 July 2012; pp. 3359–3363. [Google Scholar] [CrossRef]
  36. Colbu, S.C.; Hamidi, F.; Popescu, D.; Jerbi, H.; Bancila, D.M. Stability Analysis and Control for Non-isothermal CSTR Reactors. In Proceedings of the 2021 9th International Conference on Systems and Control (ICSC), Caen, France, 24–26 November 2021; pp. 504–509. [Google Scholar] [CrossRef]
  37. Patil, N.S.; Parvat, B.J. Performance Analysis of Nonlinear Isothermal CSTR for Its Different Operating Conditions by Sliding Mode Controller Design. In Proceedings of the Mathematical Modeling, Computational Intelligence Techniques and Renewable Energy; Sahni, M., Merigó, J.M., Sahni, R., Verma, R., Eds.; Springer: Singapore, 2022; pp. 215–228. [Google Scholar]
  38. Banerjee, S.; Khan, O.; El Mistiri, M.; Nandola, N.N.; Rivera, D.E. Data-Driven Control of Highly Interactive Systems using 3DoF Model-On-Demand MPC: Application to a MIMO CSTR. IFAC-PapersOnLine 2024, 58, 420–425. [Google Scholar] [CrossRef]
  39. Revelo, J.; Herrera, M.; Camacho, O.; Alvarez, H. Nonsquare Multivariable Chemical Processes: A Hybrid Centralized Control Proposal. Ind. Eng. Chem. Res. 2020, 59, 14410–14422. [Google Scholar] [CrossRef]
  40. Deifalla, M.; Abdalla, B.K. Performance Evaluation of PID Tuning Techniques for CSTR Temperature Control: Classical and Evolutionary Approaches. J. Karary Univ. Eng. Sci. 2025, 4, 1–7. [Google Scholar] [CrossRef]
  41. Ma, Y.; Liu, L.; Li, D.; Li, D. Adaptive Fuzzy Fault-Tolerant Control for CSTR with State Constraints Dependent on Temperature and Concentration. Int. J. Robust Nonlinear Control 2025, 35, 2119–2129. [Google Scholar] [CrossRef]
  42. Chaturvedi, S.; Kumar, N.; Kumar, R. A PSO-optimized novel PID neural network model for temperature control of jacketed CSTR: Design, simulation, and a comparative study. Soft Comput. 2024, 28, 4759–4773. [Google Scholar] [CrossRef]
  43. Shyamalagowri, M. Model Predictive Control Design for Nonlinear Process Control Reactor Case Study: CSTR (Continuous Stirred Tank Reactor). IOSR J. Electr. Electron. Eng. 2013, 7, 88–94. [Google Scholar] [CrossRef]
  44. Rajpoot, V.; Munusamy, S.; Joshi, T.; Patil, D.; Pinnamaraju, V. Comparison of Reinforcement Learning and Model Predictive Control for a Nonlinear Continuous Process. IFAC-PapersOnLine 2024, 57, 304–308. [Google Scholar] [CrossRef]
  45. Adhau, S.; Gros, S.; Skogestad, S. Reinforcement learning based MPC with neural dynamical models. Eur. J. Control 2024, 80, 101048. [Google Scholar] [CrossRef]
  46. Sainz-García, S.H.; López López, G.; Alvarado, V.M.; Rumbo Morales, J.Y.; Sarmiento-Bustos, E.; Zatarain Durán, O.A. Adaptive Control for Narrow Bandwidth Input and Output Disturbance Rejection for a Non-Isothermal CSTR System. Mathematics 2022, 10, 3224. [Google Scholar] [CrossRef]
  47. Du, J.; Chen, J.; Li, J. Integrated multi-PI control of a CSTR based on gap metric. In Proceedings of the 2024 43rd Chinese Control Conference (CCC), Kunming, China, 28–31 July 2024; pp. 341–344. [Google Scholar] [CrossRef]
  48. Achu Govind, K.R.; Mahapatra, S.; Mahapatro, S.R. Nonlinear Constraint Optimization Based Robust Decentralized PID Controller for a Benchmark CSTR System Using Kharitonov–Hurwitz Stability Analysis. Arab. J. Sci. Eng. 2023, 48, 15377–15402. [Google Scholar] [CrossRef]
  49. Saidi, I.; Touati, N. Dahlin Deadbeat Internal Model Control for Discrete MIMO Systems. Int. J. Electr. Comput. Eng. Syst. 2024, 15, 483–490. [Google Scholar] [CrossRef]
  50. Pekař, J.; Havlena, V. Control of CSTR using model predictive controller based on mixture distribution. IFAC Proc. Vol. 2004, 37, 793–798. [Google Scholar] [CrossRef]
  51. Landau, I.D.; Zito, G. Digital Control Systems: Design, Identification and Implementation; Springer: Paris, France, 2002; Volume 3. [Google Scholar]
  52. Skogestad, S.; Postlethwaite, I. Multivariable Feedback Control: Analysis and Design, 2nd ed.; Wiley: Chichester, UK, 2010. [Google Scholar]
Figure 1. Canonical RST control structure.
Figure 1. Canonical RST control structure.
Mathematics 14 00677 g001
Figure 2. RST control structure for multivariable systems with blocks of transfer functions.
Figure 2. RST control structure for multivariable systems with blocks of transfer functions.
Mathematics 14 00677 g002
Figure 3. Diagram of a CSTR.
Figure 3. Diagram of a CSTR.
Mathematics 14 00677 g003
Figure 4. Phase portraits illustrating the local dynamics around Equilibrium Points 1 and 5. The arrows indicate the direction of flow towards the attractor. and the red dotted circles are the attractors. (a) Dynamics at Equilibrium Point 1. (b) Dynamics at Equilibrium Point 5.
Figure 4. Phase portraits illustrating the local dynamics around Equilibrium Points 1 and 5. The arrows indicate the direction of flow towards the attractor. and the red dotted circles are the attractors. (a) Dynamics at Equilibrium Point 1. (b) Dynamics at Equilibrium Point 5.
Mathematics 14 00677 g004
Figure 5. Phase plane analysis of the CSTR, showing the local stability and evolution of the system states. Different colors distinguish the trajectory maps generated around each operating point, ranging from Equilibrium Point 1 (blue) to Equilibrium Point 5 (red).
Figure 5. Phase plane analysis of the CSTR, showing the local stability and evolution of the system states. Different colors distinguish the trajectory maps generated around each operating point, ranging from Equilibrium Point 1 (blue) to Equilibrium Point 5 (red).
Mathematics 14 00677 g005
Figure 6. Generalized Nyquist plot for the centralized multivariable controller. The arrows along the blue trajectories indicate the direction of increasing frequency. The red plus sign (+) marks the critical point ( 1 , j 0 ) , while the red circle defines the robustness exclusion region (sensitivity margin); trajectories remaining outside this circle ensure the system satisfies the specified stability margins.
Figure 6. Generalized Nyquist plot for the centralized multivariable controller. The arrows along the blue trajectories indicate the direction of increasing frequency. The red plus sign (+) marks the critical point ( 1 , j 0 ) , while the red circle defines the robustness exclusion region (sensitivity margin); trajectories remaining outside this circle ensure the system satisfies the specified stability margins.
Mathematics 14 00677 g006
Figure 7. Noise added to inputs.
Figure 7. Noise added to inputs.
Mathematics 14 00677 g007
Figure 8. Block diagram of the decentralized RST controller structure.
Figure 8. Block diagram of the decentralized RST controller structure.
Mathematics 14 00677 g008
Figure 9. Block diagram of the centralized RST controller structure.
Figure 9. Block diagram of the centralized RST controller structure.
Mathematics 14 00677 g009
Figure 10. Temperature response of decentralized vs. multivariable control structures subject to initial condition variations, input noise, and output disturbances. (Control design based on model linearization at equilibrium point 1).
Figure 10. Temperature response of decentralized vs. multivariable control structures subject to initial condition variations, input noise, and output disturbances. (Control design based on model linearization at equilibrium point 1).
Mathematics 14 00677 g010
Figure 11. Concentration response of decentralized vs. multivariable control structures subject to initial condition variations, input noise, and output disturbances. (Control design based on model linearization at equilibrium point 1).
Figure 11. Concentration response of decentralized vs. multivariable control structures subject to initial condition variations, input noise, and output disturbances. (Control design based on model linearization at equilibrium point 1).
Mathematics 14 00677 g011
Figure 12. Comparison of control laws under varying initial conditions, input noise, and output disturbances (design based on linearization at equilibrium point 1). (a) Control law in the product inflow. (b) Refrigerant flow control law.
Figure 12. Comparison of control laws under varying initial conditions, input noise, and output disturbances (design based on linearization at equilibrium point 1). (a) Control law in the product inflow. (b) Refrigerant flow control law.
Mathematics 14 00677 g012
Figure 13. Closed-loop trajectory of the centralized controller superimposed on the CSTR phase portraits. The background phase maps range from Equilibrium Point 1 (blue) to Equilibrium Point 5 (red). The control law was derived using the model linearized at Equilibrium Point 1, highlighting performance across different operating regions.
Figure 13. Closed-loop trajectory of the centralized controller superimposed on the CSTR phase portraits. The background phase maps range from Equilibrium Point 1 (blue) to Equilibrium Point 5 (red). The control law was derived using the model linearized at Equilibrium Point 1, highlighting performance across different operating regions.
Mathematics 14 00677 g013
Figure 14. Temperature response of decentralized vs. multivariable control structures subject to initial condition variations, input noise, and output disturbances. (Control design based on model linearization at equilibrium point 5).
Figure 14. Temperature response of decentralized vs. multivariable control structures subject to initial condition variations, input noise, and output disturbances. (Control design based on model linearization at equilibrium point 5).
Mathematics 14 00677 g014
Figure 15. Concentration response of decentralized vs. multivariable control structures subject to initial condition variations, input noise, and output disturbances. (Control design based on model linearization at equilibrium point 5).
Figure 15. Concentration response of decentralized vs. multivariable control structures subject to initial condition variations, input noise, and output disturbances. (Control design based on model linearization at equilibrium point 5).
Mathematics 14 00677 g015
Figure 16. Comparison of control laws under varying initial conditions, input noise, and output disturbances. (Design based on linearization at equilibrium point 5). (a) Control law in the product inflow. (b) Refrigerant flow control law.
Figure 16. Comparison of control laws under varying initial conditions, input noise, and output disturbances. (Design based on linearization at equilibrium point 5). (a) Control law in the product inflow. (b) Refrigerant flow control law.
Mathematics 14 00677 g016
Figure 17. Closed-loop trajectory of the centralized controller superimposed on the CSTR phase portraits. The background phase maps range from Equilibrium Point 1 (blue) to Equilibrium Point 5 (red). The control law was derived using the model linearized at Equilibrium Point 5, highlighting performance across different operating regions.
Figure 17. Closed-loop trajectory of the centralized controller superimposed on the CSTR phase portraits. The background phase maps range from Equilibrium Point 1 (blue) to Equilibrium Point 5 (red). The control law was derived using the model linearized at Equilibrium Point 5, highlighting performance across different operating regions.
Mathematics 14 00677 g017
Figure 18. Comparison of the response of the centralized and decentralized control structures. (a) Temperature regulation. (b) Concentration regulation.
Figure 18. Comparison of the response of the centralized and decentralized control structures. (a) Temperature regulation. (b) Concentration regulation.
Mathematics 14 00677 g018
Figure 19. Comparison of the control efforts generated by the centralized and decentralized structures. (a) Control effort: product flow rate. (b) Control effort: coolant flow rate.
Figure 19. Comparison of the control efforts generated by the centralized and decentralized structures. (a) Control effort: product flow rate. (b) Control effort: coolant flow rate.
Mathematics 14 00677 g019
Figure 20. Comparative tracking performance of the centralized and decentralized RST controllers during the sequential transition from equilibrium points 1 to 5. (a) Temperature response. (b) Concentration response.
Figure 20. Comparative tracking performance of the centralized and decentralized RST controllers during the sequential transition from equilibrium points 1 to 5. (a) Temperature response. (b) Concentration response.
Mathematics 14 00677 g020
Figure 21. Control efforts generated by the controllers during the sequential setpoint tracking scenario (from equilibrium points 1 to 5). (a) Control effort: product flow rate. (b) Control effort: coolant flow rate.
Figure 21. Control efforts generated by the controllers during the sequential setpoint tracking scenario (from equilibrium points 1 to 5). (a) Control effort: product flow rate. (b) Control effort: coolant flow rate.
Mathematics 14 00677 g021
Figure 22. Comparative tracking performance of the centralized and decentralized RST controllers during the sequential transition from equilibrium points 5 to 1. (a) Temperature response. (b) Concentration response.
Figure 22. Comparative tracking performance of the centralized and decentralized RST controllers during the sequential transition from equilibrium points 5 to 1. (a) Temperature response. (b) Concentration response.
Mathematics 14 00677 g022
Figure 23. Control efforts generated by the controllers during the sequential setpoint tracking scenario (from equilibrium points 5 to 1). (a) Control effort: product flow rate. (b) Control effort: coolant flow rate.
Figure 23. Control efforts generated by the controllers during the sequential setpoint tracking scenario (from equilibrium points 5 to 1). (a) Control effort: product flow rate. (b) Control effort: coolant flow rate.
Mathematics 14 00677 g023
Figure 24. Comparative concentration control performance: Centralized RST and ASPPIA.
Figure 24. Comparative concentration control performance: Centralized RST and ASPPIA.
Mathematics 14 00677 g024
Figure 25. Comparative concentration control performance: Centralized RST, ASPPIA, and MPC.
Figure 25. Comparative concentration control performance: Centralized RST, ASPPIA, and MPC.
Mathematics 14 00677 g025
Table 4. Parameters.
Table 4. Parameters.
SymbolDescriptionUnit
T f Inlet temperatureK
T c Coolant temperatureK
C f Inlet concentrationmol/L
VTank volumeL
E / R Activation energym
K 0 Constantm
K 1 Constant
K 2 ConstantL
K 3 ConstantL/min
Table 5. Inputs and outputs.
Table 5. Inputs and outputs.
SymbolDescriptionUnit
Inputs
q f Product flowL/min
q c Refrigerant flowL/min
Outputs
TReactor temperatureK
CReactor concentrationmol/L
Table 6. Recommended system operating points.
Table 6. Recommended system operating points.
Operating Point q c [L/min]C [mol/L]T [K]
1110.00.1298432.94
21050.1062437.25
398.90.0848442.07
488.30.0585450.03
568.80.0295465
Table 7. Parameters in permanent regime.
Table 7. Parameters in permanent regime.
Param.Op. Point 1Op. Point 5
T f 350 K350 K
T c 350 K350 K
C f 1 mol/L1 mol/L
V100 L100 L
E / R 0.1 m0.1 m
K 0 7.2 × 10 10 m 7.2 × 10 10 m
K 1 1.44 × 10 13 1.44 × 10 13
K 2 0.1 L0.1 L
K 3 700 L/min700 L/min
Table 8. Inputs and outputs in permanent regime.
Table 8. Inputs and outputs in permanent regime.
Var.Op. Point 1Op. Point 5
Inputs
q f 100 L/min100 L/min
q c 110 L/min68.8 L/min
Outputs
T432.94 K432.94 K
C0.13 mol/L0.13 mol/L
Table 12. Controllability and stability metrics.
Table 12. Controllability and stability metrics.
Condition NumberNiederlinski Index
Operating point 1 C n 1 = 123.09 N i 1 = 2.755
Operating point 5 C n 5 = 3940.6 N i 5 = 0.42196
Table 13. System and auxiliary poles for operating points 1 and 5.
Table 13. System and auxiliary poles for operating points 1 and 5.
Pole TypeOperating Point 1Operating Point 5
System Poles 4.8456 ± 7.3265 i ( 1.975 ) ( 24.661 )
Auxiliary Poles ( 4.84 ) 2 ( 14.52 ) 2 ( 5.926 ) ( 73.984 )
Table 16. Disk margin analysis results for the MIMO controller.
Table 16. Disk margin analysis results for the MIMO controller.
ParameterValueDescription
Disk Margin ( α ) 0.7777 Critical Robustness Index
Gain Margin (GM) [ 0.125 , 7.998 ] Tolerable Gain Variation (≈±18 dB)
Phase Margin (PM) ± 75 . 75 Tolerable Phase Variation
Table 17. Initial conditions.
Table 17. Initial conditions.
States
TReactor temperature440 K
CReactor concentration0.15 mol L−1
Table 18. Magnitude and time of each event.
Table 18. Magnitude and time of each event.
EventMagnitudeTime
Noise added to inputs ± 4 L/min0 s
Disturbances at the output 3 K50 s
Reference change in temp. + 2 K100 s
Reference change in concentration 0.03 mol L−1100 s
Table 19. Performance metrics for decentralized vs. multivariable control (linearized at operating point 1).
Table 19. Performance metrics for decentralized vs. multivariable control (linearized at operating point 1).
IndexTemperatureConcentration
SISOMIMOSISOMIMO
IAE11.72311.540.046130.045
ISE20.96220.50.000170.00022
ITAE619.65594.923.2293.1911
ITSE622.74542.960.014460.01742
Table 20. Performance metrics for decentralized vs. multivariable control (linearized at operating point 5).
Table 20. Performance metrics for decentralized vs. multivariable control (linearized at operating point 5).
IndexTemperatureConcentration
SISOMIMOSISOMIMO
IAE1672726.0490.08170.05973
ISE 1.874 × 10 6 105.930.000440.00072
ITAE 1.228 × 10 6 1773.24.12984.0861
ITSE 1.34 × 10 8 6897.80.027420.03424
Table 21. Initial conditions for evaluation of control design based on linearization at operating point 1.
Table 21. Initial conditions for evaluation of control design based on linearization at operating point 1.
States
TReactor temperature450 K
CReactor concentration0.15 mol L−1
Table 22. Comparison of SISO and MIMO RST control. Performance indices for setpoint tracking.
Table 22. Comparison of SISO and MIMO RST control. Performance indices for setpoint tracking.
IndexTemperature ControlConcentration Control
SISOMIMOSISOMIMO
IAE26.94825.0620.08320.09156
ISE116.46104.640.000660.00093
ITAE3289.72976.29.507510.818
ITSE18,24516,1230.092440.13019
Disclaimer/Publisher’s Note: The statements, opinions and data contained in all publications are solely those of the individual author(s) and contributor(s) and not of MDPI and/or the editor(s). MDPI and/or the editor(s) disclaim responsibility for any injury to people or property resulting from any ideas, methods, instructions or products referred to in the content.

Share and Cite

MDPI and ACS Style

Peregrino, C.A.; Lopez Lopez, G.; Ramirez-Corona, N.; Alvarado, V.M.; Alvarado Lopez, F.A.; Borunda, M. Unified Algebraic Framework for Centralized and Decentralized MIMO RST Control for Strongly Coupled Processes. Mathematics 2026, 14, 677. https://doi.org/10.3390/math14040677

AMA Style

Peregrino CA, Lopez Lopez G, Ramirez-Corona N, Alvarado VM, Alvarado Lopez FA, Borunda M. Unified Algebraic Framework for Centralized and Decentralized MIMO RST Control for Strongly Coupled Processes. Mathematics. 2026; 14(4):677. https://doi.org/10.3390/math14040677

Chicago/Turabian Style

Peregrino, Cesar A., Guadalupe Lopez Lopez, Nelly Ramirez-Corona, Victor M. Alvarado, Froylan Antonio Alvarado Lopez, and Monica Borunda. 2026. "Unified Algebraic Framework for Centralized and Decentralized MIMO RST Control for Strongly Coupled Processes" Mathematics 14, no. 4: 677. https://doi.org/10.3390/math14040677

APA Style

Peregrino, C. A., Lopez Lopez, G., Ramirez-Corona, N., Alvarado, V. M., Alvarado Lopez, F. A., & Borunda, M. (2026). Unified Algebraic Framework for Centralized and Decentralized MIMO RST Control for Strongly Coupled Processes. Mathematics, 14(4), 677. https://doi.org/10.3390/math14040677

Note that from the first issue of 2016, this journal uses article numbers instead of page numbers. See further details here.

Article Metrics

Back to TopTop