Sign in to use this feature.

Years

Between: -

Subjects

remove_circle_outline
remove_circle_outline
remove_circle_outline
remove_circle_outline
remove_circle_outline
remove_circle_outline
remove_circle_outline
remove_circle_outline
remove_circle_outline

Journals

remove_circle_outline
remove_circle_outline
remove_circle_outline
remove_circle_outline
remove_circle_outline

Article Types

Countries / Regions

remove_circle_outline
remove_circle_outline
remove_circle_outline

Search Results (236)

Search Parameters:
Keywords = decentralized decision process

Order results
Result details
Results per page
Select all
Export citation of selected articles as:
13 pages, 375 KB  
Article
The Influence of Communication Strategies of Intelligent Agents in Production Systems on the Shift of Sustainable Solutions
by Polina A. Sharko, Zhanna V. Burlutskaya, Aleksei M. Gintciak, Salbek M. Beketov and Karina A. Lundaeva
Sustainability 2025, 17(24), 11130; https://doi.org/10.3390/su172411130 - 12 Dec 2025
Abstract
Current decision support systems for recommending labor resource allocation and generating production schedules in the systems with decentralized technological process control often fail to account for the impact of participants’ communication strategies on the shifts in target performance indicators, which depend on the [...] Read more.
Current decision support systems for recommending labor resource allocation and generating production schedules in the systems with decentralized technological process control often fail to account for the impact of participants’ communication strategies on the shifts in target performance indicators, which depend on the alignment between local goals of production units and the global objectives of the system. The goal of the present study is to develop an approach for determining optimal communication parameters among intelligent agents to achieve system-level performance targets using the previously developed multiagent systems (MAS) for optimizing technological processes. The research investigates how agent constraint systems influence both overall system welfare and the individual welfare of agents, considering the shifts in their objective functions driven by preferred communication strategies. A workflow is developed to identify effective constraints. Using this workflow, the study provides recommendations for assigning regional field development plans, accounting for participants’ tendencies toward cooperation. On data where the potential for increasing the region’s flow rate through optimization of labor resource allocation and scheduling of well intervention operations (GTO) does not exceed 6%, the presented solution enabled the development of field plans that result in an additional 1% increase in the predicted oil production region’s flow rate on top of the gain achieved through resource allocation optimization. Full article
Show Figures

Figure 1

34 pages, 831 KB  
Review
Recent Trends in Machine Learning for Healthcare Big Data Applications: Review of Velocity and Volume Challenges
by Doaa Yaseen Khudhur, Abdul Samad Shibghatullah, Khalid Shaker, Aliza Abdul Latif and Zakaria Che Muda
Algorithms 2025, 18(12), 772; https://doi.org/10.3390/a18120772 - 8 Dec 2025
Viewed by 154
Abstract
The integration and emerging adoption of machine learning (ML) algorithms in healthcare big data has revolutionized clinical decision-making, predictive analytics, and real-time medical diagnostics. However, the application of machine learning in healthcare big data faces computational challenges, particularly in efficiently processing and training [...] Read more.
The integration and emerging adoption of machine learning (ML) algorithms in healthcare big data has revolutionized clinical decision-making, predictive analytics, and real-time medical diagnostics. However, the application of machine learning in healthcare big data faces computational challenges, particularly in efficiently processing and training on large-scale, high-velocity data generated by healthcare organizations worldwide. In response to these issues, this study critically reviews and examines current state-of-the-art advancements in machine learning algorithms and big data frameworks within healthcare analytics, with a particular emphasis on solutions addressing data volume and velocity. The reviewed literature is categorized into three key areas: (1) efficient techniques, arithmetic operations, and dimensionality reduction; (2) advanced and specialized processing hardware; and (3) clustering and parallel processing methods. Key research gaps and open challenges are identified based on the evaluation of the literature across these categories, and important future research directions are discussed in detail. Among the several proposed solutions are the utilization of federated learning and decentralized data processing, as well as efficient parallel processing through big data frameworks such as Apache Spark, neuromorphic computing, and multi-swarm large-scale optimization algorithms; these highlight the importance of interdisciplinary innovations in algorithm design, hardware efficiency, and distributed computing frameworks, which collectively contribute to faster, more accurate, and resource-efficient AI-driven healthcare big data analytics and applications. This research supports the UNSDG 3 (Good Health and Well-Being) and UNSDG 9 (Industry, Innovation and Infrastructure) by integration of machine learning in healthcare big data and promoting product innovation in the healthcare industry, respectively. Full article
Show Figures

Figure 1

29 pages, 4559 KB  
Article
A Novel Data-Driven Multi-Agent Reinforcement Learning Approach for Voltage Control Under Weak Grid Support
by Jiaxin Wu, Ziqi Wang, Ji Han, Qionglin Li, Ran Sun, Chenhao Li, Yuehan Cheng, Bokai Zhou, Jiaming Guo and Bocheng Long
Sensors 2025, 25(23), 7399; https://doi.org/10.3390/s25237399 - 4 Dec 2025
Viewed by 411
Abstract
To address active voltage control in photovoltaic (PV)-integrated distribution networks characterized by weak voltage support conditions, this paper proposes a multi-agent deep reinforcement learning (MADRL)-based coordinated control method for PV clusters. First, the voltage control problem is formulated as a decentralized partially observable [...] Read more.
To address active voltage control in photovoltaic (PV)-integrated distribution networks characterized by weak voltage support conditions, this paper proposes a multi-agent deep reinforcement learning (MADRL)-based coordinated control method for PV clusters. First, the voltage control problem is formulated as a decentralized partially observable Markov decision process (Dec-POMDP), and a centralized training with decentralized execution (CTDE) framework is adopted, enabling each inverter to make independent decisions based solely on local measurements during the execution phase. To balance voltage compliance with energy efficiency, two barrier functions are designed to reshape the reward function, introducing an adaptive penalization mechanism: a steeper gradient in violation region to accelerate voltage recovery to the nominal range, and a gentler gradient in the safe region to minimize excessive reactive regulation and power losses. Furthermore, six representative MADRL algorithms—COMA, IDDPG, MADDPG, MAPPO, SQDDPG, and MATD3—are employed to solve the active voltage control problem of the distribution network. Case studies based on a modified IEEE 33-bus system demonstrate that the proposed framework ensures voltage compliance while effectively reducing network losses. The MADDPG algorithm achieves a Controllability Ratio (CR) of 91.9% while maintaining power loss at approximately 0.0695 p.u., demonstrating superior convergence and robustness. Comparisons with optimal power flow (OPF) and droop control methods confirm that the proposed approach significantly improves voltage stability and energy efficiency under model-free and communication-constrained weak grid conditions. Full article
Show Figures

Figure 1

17 pages, 2127 KB  
Article
AI-Based Waste Battery and Plasma Convergence System for Adaptive Energy Reuse and Real-Time Process Optimization
by Seongsoo Cho and Hiedo Kim
Appl. Sci. 2025, 15(23), 12492; https://doi.org/10.3390/app152312492 - 25 Nov 2025
Viewed by 165
Abstract
The rapid growth of electric vehicles (EVs) and energy storage systems (ESSs) has accelerated the generation of waste lithium-ion batteries, posing both environmental and industrial challenges. This study proposes and experimentally validates an AI-based Waste Battery and Plasma Convergence System (AI-WBPCS) designed to [...] Read more.
The rapid growth of electric vehicles (EVs) and energy storage systems (ESSs) has accelerated the generation of waste lithium-ion batteries, posing both environmental and industrial challenges. This study proposes and experimentally validates an AI-based Waste Battery and Plasma Convergence System (AI-WBPCS) designed to integrate residual energy recovery from retired EV batteries with adaptive plasma control. The system aims to establish a self-optimizing energy reuse framework that enhances real-time energy utilization, improves plasma process stability, and supports sustainable circular energy ecosystems. The AI-WBPCS consists of three key sub-models: D1 for plasma output prediction, D2 for battery health evaluation, and D3 for adaptive energy-matching control. These models operate synergistically under a hybrid STM32–Jetson Nano platform, enabling predictive analysis and closed-loop optimization. Experimental validation using 2P6S retired EV modules demonstrated that the D2 model achieved a 93.7% SOH prediction accuracy and a 2.3% mean absolute error (MAE) in DCIR estimation. The AI-controlled plasma subsystem maintained output stability within ±2.1%, compared to fluctuations exceeding 6% under conventional rule-based methods. The overall energy-matching efficiency (η) reached 96.5%, representing a 13% improvement in power coordination performance. Interpretability analysis using SHAP (SHapley Additive exPlanations) identified SOH (46%) and DCIR (29%) as the dominant features influencing AI-driven decisions, confirming the physical relevance and transparency of the model. The AI-WBPCS provides a practical pathway toward circular-economy-oriented energy reuse, enabling intelligent, autonomous plasma systems for applications such as smart agriculture, biomedical sterilization, and decentralized wastewater treatment. Overall, this research establishes a new paradigm for AI-empowered electrochemical–plasma systems, where artificial intelligence not only enhances operational efficiency but also redefines end-of-life batteries as adaptive energy resources for next-generation green technologies. Full article
(This article belongs to the Section Green Sustainable Science and Technology)
Show Figures

Figure 1

21 pages, 1247 KB  
Article
PriFed-IDS: A Privacy-Preserving Federated Reinforcement Learning Framework for Secure and Intelligent Intrusion Detection in Digital Health Systems
by Siyao Fu, Haoyu Xu, Asif Ali and Saba Sajid
Electronics 2025, 14(23), 4590; https://doi.org/10.3390/electronics14234590 - 23 Nov 2025
Viewed by 300
Abstract
The Internet of Medical Things (IoMT) integrates sensors, medical devices, and Internet of Things (IoT) technologies to provide data-driven healthcare systems. The systems facilitate medical monitoring and decision-making; however, there are significant concerns about data leakage and patient consent. Additionally, a shortage of [...] Read more.
The Internet of Medical Things (IoMT) integrates sensors, medical devices, and Internet of Things (IoT) technologies to provide data-driven healthcare systems. The systems facilitate medical monitoring and decision-making; however, there are significant concerns about data leakage and patient consent. Additionally, a shortage of large, high-quality IoMT datasets to study the surrounding issues is problematic. Federated learning (FL) is a decentralized machine learning approach that potentially offers substantial amounts of capacity, so that compound Smart Healthcare Systems (SHSs) can further personalize and contextualize the secrecy of data and strong system structures. Additionally, to protect against advanced and shifting computational intelligence-based cyber threats, especially in operational health environments, the use of Intruder Detection Systems (IDSs) is quite essential. However, traditional approaches to implementing IDSs are usually computationally costly and inappropriate for the narrow contours of deploying medical IoT devices. To address these challenges, the proposed study introduces PriFed-IDS, a novel, privacy-preserving FL-based IDS framework based on FL and reinforcement learning. The proposed model leverages reinforcement learning to uncover latent patterns in medical data, enabling accurate anomaly detection. A dynamic federation and aggregation strategy is implemented to optimize model performance while minimizing communication overhead by adaptively engaging clients in the training process. Experimental evaluations and theoretical analysis demonstrate that PriFed-IDS significantly outperforms existing benchmark IDS models in terms of detection accuracy and efficiency, underscoring its practical applicability for securing real-world IoMT networks. Full article
Show Figures

Figure 1

18 pages, 406 KB  
Article
Explainable AI for Federated Learning-Based Intrusion Detection Systems in Connected Vehicles
by Ramin Taheri, Raheleh Jafari, Alexander Gegov, Farzad Arabikhan and Alexandar Ichtev
Electronics 2025, 14(22), 4508; https://doi.org/10.3390/electronics14224508 - 18 Nov 2025
Viewed by 516
Abstract
Connected and autonomous vehicles, along with the expanding Internet of Vehicles (IoV), are increasingly exposed to complex and evolving cyberattacks. Consequently, Intrusion Detection Systems (IDS) have become a vital component of modern vehicular cybersecurity. Federated Learning (FL) enables multiple vehicles to collaboratively train [...] Read more.
Connected and autonomous vehicles, along with the expanding Internet of Vehicles (IoV), are increasingly exposed to complex and evolving cyberattacks. Consequently, Intrusion Detection Systems (IDS) have become a vital component of modern vehicular cybersecurity. Federated Learning (FL) enables multiple vehicles to collaboratively train detection models while keeping their local data private, providing a decentralized alternative to traditional centralized learning. Despite these advantages, FL-based IDS frameworks remain vulnerable to attacks. To address this vulnerability, we propose an explainable federated intrusion detection framework that enhances both the security and interpretability of IDS in connected vehicles. The framework employs a Deep Neural Network (DNN) within a federated setting and integrates explainability through the Shapley Additive Explanations (SHAP) method. This Explainable Artificial Intelligence (XAI) component identifies the most influential network features contributing to detection decisions and assists in recognizing anomalies arising from malicious or corrupted clients. Experimental validation on the CICEVSE2024 and CICIoV2024 vehicular datasets demonstrates that the proposed system achieves high detection accuracy. Moreover, the XAI module improves transparency and enables analysts to verify and understand the model’s decision-making process. Compared with both centralized IDS models and conventional federated approaches without explainability, the proposed system delivers comparable performance, stronger resilience to attacks, and significantly enhanced interpretability. Overall, this work demonstrates that integrating FL with XAI provides a privacy-preserving and trustworthy approach for intrusion detection in connected vehicular networks. Full article
Show Figures

Figure 1

24 pages, 4423 KB  
Article
Cooperative Path Planning for Autonomous UAV Swarms Using MASAC-CA Algorithm
by Wenli Hu, Mingyuan Zhang, Xinhua Xu, Shaohua Qiu, Tao Liao and Longfei Yue
Symmetry 2025, 17(11), 1970; https://doi.org/10.3390/sym17111970 - 14 Nov 2025
Viewed by 287
Abstract
Cooperative path planning for unmanned aerial vehicle (UAV) swarms has attracted considerable research attention, yet it remains challenging in complex, uncertain environments. To tackle this problem, we model the cooperative path planning task as a heterogeneous decentralized Markov Decision Process (MDP), emphasizing the [...] Read more.
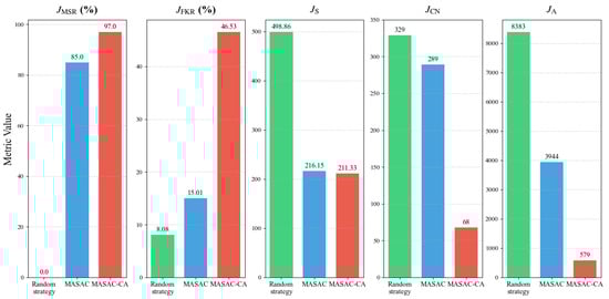
Cooperative path planning for unmanned aerial vehicle (UAV) swarms has attracted considerable research attention, yet it remains challenging in complex, uncertain environments. To tackle this problem, we model the cooperative path planning task as a heterogeneous decentralized Markov Decision Process (MDP), emphasizing the symmetry-inspired role assignment between leader and wingmen UAVs, which ensures balanced and coordinated behaviors in dynamic settings. We address the problem using a Multi-Agent Soft Actor-Critic (MASAC) framework enhanced with a symmetry-aware reward mechanism designed to optimize multiple cooperative objectives: simultaneous arrival, formation topology preservation, dynamic obstacle avoidance, trajectory smoothness, and inter-agent collision avoidance. This design promotes behavioral symmetry among agents, enhancing both coordination efficiency and system robustness. Simulation results demonstrate that our method achieves efficient swarm coordination and reliable obstacle avoidance. Quantitative evaluations show that our MASAC-CA algorithm achieves a Mission Success Rate (MSR) of 99.0% with 2–5 wingmen, representing approximately 13% improvement over baseline MASAC, while maintaining Formation Keeping Rates (FKR) of 59.68–26.29% across different swarm sizes. The method also reduces collisions to near zero in cluttered environments while keeping flight duration, path length, and energy consumption at levels comparable to baseline algorithms. Finally, the proposed model’s robustness and effectiveness are validated in complex uncertain environments, underscoring the value of symmetry principles in multi-agent system design. Full article
(This article belongs to the Section Computer)
Show Figures

Figure 1

24 pages, 2155 KB  
Article
Distributed IoT-Based Predictive Maintenance Framework for Solar Panels Using Cloud Machine Learning in Industry 4.0
by Alin Diniță, Cosmina-Mihaela Rosca, Adrian Stancu and Catalin Popescu
Sustainability 2025, 17(21), 9412; https://doi.org/10.3390/su17219412 - 23 Oct 2025
Viewed by 1010
Abstract
Renewable energy systems in the Industry 4.0 era have maintenance and production maximization as their central element, depending on the type of source. For solar panels, achieving these goals requires periodic cleaning of dust deposits. This research integrates the detection of dust particles [...] Read more.
Renewable energy systems in the Industry 4.0 era have maintenance and production maximization as their central element, depending on the type of source. For solar panels, achieving these goals requires periodic cleaning of dust deposits. This research integrates the detection of dust particles on solar panels using classification models based on machine learning models integrated into the Azure platform. However, the main contribution of the work does not lie in the development or improvement of a classification model, but in the design and implementation of an Internet of Things (IoT) hardware–software infrastructure that integrates these models into a complete predictive maintenance workflow for photovoltaic parks. The second objective focuses on how the identification of dust particles further generates alerts through a centralized platform that meets the needs of Industry 4.0. The methodology involves analyzing how the Azure Custom Vision tool is suitable for solving such a problem, while also focusing on how the resulting system allows for integration into an industrial workflow, providing real-time alerts when excessive dust is generated on the panels. The paper fits within the theme of the Special Issue by combining digital technologies from Industry 4.0 with sustainability goals. The novelty of this work lies in the proposed architecture, which, unlike traditional IoT approaches where the decision is centralized at the level of a single application, the authors propose a distributed logic where the local processing unit (Raspberry Pi) makes the decision to trigger cleaning based on the response received from the cloud infrastructure. This decentralization is directly reflected in the reduction in operational costs, given that the process is not a rapid one that requires a high speed of reaction from the system. Full article
(This article belongs to the Special Issue Sustainable Engineering Trends and Challenges Toward Industry 4.0)
Show Figures

Figure 1

31 pages, 4935 KB  
Article
Machine Learning Analytics for Blockchain-Based Financial Markets: A Confidence-Threshold Framework for Cryptocurrency Price Direction Prediction
by Oleksandr Kuznetsov, Oleksii Kostenko, Kateryna Klymenko, Zoriana Hbur and Roman Kovalskyi
Appl. Sci. 2025, 15(20), 11145; https://doi.org/10.3390/app152011145 - 17 Oct 2025
Cited by 1 | Viewed by 4768
Abstract
Blockchain-based cryptocurrency markets present unique analytical challenges due to their decentralized nature, continuous operation, and extreme volatility. Traditional price prediction models often struggle with the binary trade execution problem in these markets. This study introduces a confidence-based classification framework that separates directional prediction [...] Read more.
Blockchain-based cryptocurrency markets present unique analytical challenges due to their decentralized nature, continuous operation, and extreme volatility. Traditional price prediction models often struggle with the binary trade execution problem in these markets. This study introduces a confidence-based classification framework that separates directional prediction from execution decisions in cryptocurrency trading. We develop a neural network system that processes multi-scale market data, combining daily macroeconomic indicators with a high-frequency order book microstructure. The model trains exclusively on directional movements (up versus down) and uses prediction confidence levels to determine trade execution. We evaluate the framework across 11 major cryptocurrency pairs over 12 months. Experimental results demonstrate 82.68% direction accuracy on executed trades with 151.11-basis point average net profit per trade at 11.99% market coverage. Order book features dominate predictive importance (81.3% of selected features), validating the critical role of blockchain microstructure data for short-term price prediction. The confidence-based execution strategy achieves superior risk-adjusted returns compared to traditional classification approaches while providing natural risk management capabilities through selective trade execution. These findings contribute to blockchain technology applications in financial markets by demonstrating how a decentralized market microstructure can be leveraged for systematic trading strategies. The methodology offers practical implementation guidelines for cryptocurrency algorithmic trading while advancing the understanding of machine learning applications in blockchain-based financial systems. Full article
Show Figures

Figure 1

14 pages, 1899 KB  
Article
Real-Time Embedded Intelligent Control of Hybrid Renewable Energy Systems for EV Charging
by Khechchab Adam and Senhaji Saloua
Vehicles 2025, 7(4), 116; https://doi.org/10.3390/vehicles7040116 - 15 Oct 2025
Viewed by 674
Abstract
In response to the challenges of electric mobility in off-grid contexts, this study introduces a novel and pragmatic solution: an intelligent, embedded EV charging system capable of anticipating energy availability using external weather forecasts. An embedded Model Predictive Control (MPC) scheme was implemented [...] Read more.
In response to the challenges of electric mobility in off-grid contexts, this study introduces a novel and pragmatic solution: an intelligent, embedded EV charging system capable of anticipating energy availability using external weather forecasts. An embedded Model Predictive Control (MPC) scheme was implemented on an ESP32 microcontroller, incorporating real-time solar and wind forecasts transmitted via LoRa. Unlike conventional approaches that are often centralized or resource-intensive, the proposed architecture enables localized, forecast-aware decision making, while respecting physical constraints (SOC, power limits, system stability) within the limits of embedded hardware. The proposed system was fully validated through functional simulations (data acquisition, processing, display, and physical actuation). Results confirm the feasibility of real-time, stable, and proactive energy management, laying the foundation for smart, resilient, and autonomous renewable-based EV charging stations tailored to remote areas and decentralized microgrids. Full article
(This article belongs to the Collection Transportation Electrification: Challenges and Opportunities)
Show Figures

Figure 1

25 pages, 4460 KB  
Systematic Review
Rethinking Blockchain Governance with AI: The VOPPA Framework
by Catalin Daniel Morar, Daniela Elena Popescu, Ovidiu Constantin Novac and David Ghiurău
Computers 2025, 14(10), 425; https://doi.org/10.3390/computers14100425 - 4 Oct 2025
Viewed by 1883
Abstract
Blockchain governance has become central to the performance and resilience of decentralized systems, yet current models face recurring issues of participation, coordination, and adaptability. This article offers a structured analysis of governance frameworks and highlights their limitations through recent high-impact case studies. It [...] Read more.
Blockchain governance has become central to the performance and resilience of decentralized systems, yet current models face recurring issues of participation, coordination, and adaptability. This article offers a structured analysis of governance frameworks and highlights their limitations through recent high-impact case studies. It then examines how artificial intelligence (AI) is being integrated into governance processes, ranging from proposal summarization and anomaly detection to autonomous agent-based voting. In response to existing gaps, this paper proposes the Voting Via Parallel Predictive Agents (VOPPA) framework, a multi-agent architecture aimed at enabling predictive, diverse, and decentralized decision-making. Strengthening blockchain governance will require not just decentralization but also intelligent, adaptable, and accountable decision-making systems. Full article
Show Figures

Figure 1

26 pages, 1737 KB  
Article
Towards Enhanced Cyberbullying Detection: A Unified Framework with Transfer and Federated Learning
by Chandni Kumari and Maninder Kaur
Systems 2025, 13(9), 818; https://doi.org/10.3390/systems13090818 - 18 Sep 2025
Viewed by 983
Abstract
The internet’s evolution as a global communication nexus has enabled unprecedented connectivity, allowing users to share information, media, and personal updates across social platforms. However, these platforms also amplify risks such as cyberbullying, cyberstalking, and other forms of online abuse. Cyberbullying, in particular, [...] Read more.
The internet’s evolution as a global communication nexus has enabled unprecedented connectivity, allowing users to share information, media, and personal updates across social platforms. However, these platforms also amplify risks such as cyberbullying, cyberstalking, and other forms of online abuse. Cyberbullying, in particular, causes significant psychological harm, disproportionately affecting young users and females. This work leverages recent advances in Natural Language Processing (NLP) to design a robust and privacy-preserving framework for detecting abusive language on social media. The proposed approach integrates ensemble federated learning (EFL) and transfer learning (TL), combined with differential privacy (DP), to safeguard user data by enabling decentralized training without direct exposure of raw content. To enhance transparency, Explainable AI (XAI) methods, such as Local Interpretable Model-agnostic Explanations (LIME), are employed to clarify model decisions and build stakeholder trust. Experiments on a balanced benchmark dataset demonstrate strong performance, achieving 98.19% baseline accuracy and 96.37% with FL and DP respectively. While these results confirm the promise of the framework, we acknowledge that performance may differ under naturally imbalanced, noisy, and large-scale real-world settings. Overall, this study introduces a comprehensive framework that balances accuracy, privacy, and interpretability, offering a step toward safer and more accountable social networks. Full article
Show Figures

Figure 1

13 pages, 382 KB  
Article
The Blockchain Trust Paradox: Engineered Trust vs. Experienced Trust in Decentralized Systems
by Scott Keaney and Pierre Berthon
Information 2025, 16(9), 801; https://doi.org/10.3390/info16090801 - 15 Sep 2025
Cited by 1 | Viewed by 1309
Abstract
Blockchain is described as a technology of trust. Its design relies on cryptography, decentralization, and immutability to ensure secure and transparent transactions. Yet users frequently report confusion, frustration, and skepticism when engaging with blockchain applications. This tension is the blockchain trust paradox: while [...] Read more.
Blockchain is described as a technology of trust. Its design relies on cryptography, decentralization, and immutability to ensure secure and transparent transactions. Yet users frequently report confusion, frustration, and skepticism when engaging with blockchain applications. This tension is the blockchain trust paradox: while trust is engineered into the technology, trust is not always experienced by its users. Our article examines the paradox through three theoretical perspectives. Socio-Technical Systems (STS) theory highlights how trust emerges from the interaction between technical features and social practices; Technology Acceptance models (TAM and UTAUT) emphasize how perceived usefulness and ease of use shape adoption. Ostrom’s commons governance theory explains how legitimacy and accountability affect trust in decentralized networks. Drawing on recent research in experience design, human–computer interaction, and decentralized governance, the article identifies the barriers that undermine user confidence. These include complex key management, unpredictable transaction costs, and unclear processes for decision-making and dispute resolution. The article offers an integrated framework that links engineered trust with experienced trust. Seven propositions are developed to guide future research and practice. The conclusion argues that blockchain technologies will gain traction if design and governance evolve alongside technical protocols to create systems that are both technically secure and trustworthy in experience. Full article
(This article belongs to the Special Issue Information Technology in Society)
Show Figures

Graphical abstract

36 pages, 1495 KB  
Review
Decision-Making for Path Planning of Mobile Robots Under Uncertainty: A Review of Belief-Space Planning Simplifications
by Vineetha Malathi, Pramod Sreedharan, Rthuraj P R, Vyshnavi Anil Kumar, Anil Lal Sadasivan, Ganesha Udupa, Liam Pastorelli and Andrea Troppina
Robotics 2025, 14(9), 127; https://doi.org/10.3390/robotics14090127 - 15 Sep 2025
Viewed by 3721
Abstract
Uncertainty remains a central challenge in robotic navigation, exploration, and coordination. This paper examines how Partially Observable Markov Decision Processes (POMDPs) and their decentralized variants (Dec-POMDPs) provide a rigorous foundation for decision-making under partial observability across tasks such as Active Simultaneous Localization and [...] Read more.
Uncertainty remains a central challenge in robotic navigation, exploration, and coordination. This paper examines how Partially Observable Markov Decision Processes (POMDPs) and their decentralized variants (Dec-POMDPs) provide a rigorous foundation for decision-making under partial observability across tasks such as Active Simultaneous Localization and Mapping (A-SLAM), adaptive informative path planning, and multi-robot coordination. We review recent advances that integrate deep reinforcement learning (DRL) with POMDP formulations, highlighting improvements in scalability and adaptability as well as unresolved challenges of robustness, interpretability, and sim-to-real transfer. To complement learning-driven methods, we discuss emerging strategies that embed probabilistic reasoning directly into navigation, including belief-space planning, distributionally robust control formulations, and probabilistic graph models such as enhanced probabilistic roadmaps (PRMs) and Canadian Traveler Problem-based roadmaps. These approaches collectively demonstrate that uncertainty can be managed more effectively by coupling structured inference with data-driven adaptation. The survey concludes by outlining future research directions, emphasizing hybrid learning–planning architectures, neuro-symbolic reasoning, and socially aware navigation frameworks as critical steps toward resilient, transparent, and human-centered autonomy. Full article
(This article belongs to the Section Sensors and Control in Robotics)
Show Figures

Figure 1

37 pages, 2546 KB  
Review
POC Sensor Systems and Artificial Intelligence—Where We Are Now and Where We Are Going?
by Prashanthi Kovur, Krishna M. Kovur, Dorsa Yahya Rayat and David S. Wishart
Biosensors 2025, 15(9), 589; https://doi.org/10.3390/bios15090589 - 8 Sep 2025
Viewed by 2453
Abstract
Integration of machine learning (ML) and artificial intelligence (AI) into point-of-care (POC) sensor systems represents a transformative advancement in healthcare. This integration enables sophisticated data analysis and real-time decision-making in emergency and intensive care settings. AI and ML algorithms can process complex biomedical [...] Read more.
Integration of machine learning (ML) and artificial intelligence (AI) into point-of-care (POC) sensor systems represents a transformative advancement in healthcare. This integration enables sophisticated data analysis and real-time decision-making in emergency and intensive care settings. AI and ML algorithms can process complex biomedical data, improve diagnostic accuracy, and enable early disease detection for better patient outcomes. Predictive analytics in POC devices supports proactive healthcare by analyzing data to forecast health issues and facilitating early intervention and personalized treatment. This review covers the key areas of ML and AI integration in POC devices, including data analysis, pattern recognition, real-time decision support, predictive analytics, personalization, automation, and workflow optimization. Examples of current POC devices that use ML and AI include AI-powered blood glucose monitors, portable imaging devices, wearable cardiac monitors, AI-enhanced infectious disease detection, and smart wound care sensors are also discussed. The review further explores new directions for POC sensors and ML integration, including mental health monitoring, nutritional monitoring, metabolic health tracking, and decentralized clinical trials (DCTs). We also examined the impact of integrating ML and AI into POC devices on healthcare accessibility, efficiency, and patient outcomes. Full article
Show Figures

Figure 1

Back to TopTop