Sign in to use this feature.

Years

Between: -

Subjects

remove_circle_outline
remove_circle_outline
remove_circle_outline
remove_circle_outline
remove_circle_outline
remove_circle_outline

Journals

Article Types

Countries / Regions

Search Results (37)

Search Parameters:
Keywords = de novo co-alterations

Order results
Result details
Results per page
Select all
Export citation of selected articles as:
21 pages, 5374 KB  
Article
The Role of ccpA in Nitrogen Source-Induced Heat and Oxidative Stress Tolerance Changes in Lacticaseibacillus rhamnosus
by Mengting Li, Haohao Cheng, Qiming Li, Yue Sun, You Wu, Haikang Wang, Yunchao Wa, Dawei Chen, Chengran Guan, Yujun Huang, Ruixia Gu and Chenchen Zhang
Foods 2025, 14(22), 3894; https://doi.org/10.3390/foods14223894 - 14 Nov 2025
Viewed by 520
Abstract
The viable bacterial count is a crucial quality indicator for lactic acid bacteria (LAB) starters and fermented foods. Metabolic activity is an integral component of stress tolerance pathways. Lacticaseibacillus rhamnosus exhibits enhanced heat and oxidative stress tolerance in tryptone-free media. To investigate the [...] Read more.
The viable bacterial count is a crucial quality indicator for lactic acid bacteria (LAB) starters and fermented foods. Metabolic activity is an integral component of stress tolerance pathways. Lacticaseibacillus rhamnosus exhibits enhanced heat and oxidative stress tolerance in tryptone-free media. To investigate the stress tolerance mechanisms from a metabolic perspective, the heat and oxidative stress tolerance and transcriptomic changes in L. rhamnosus hsryfm 1301 and its ccpA deficient strain (ΔccpA) were analyzed under different nitrogen source conditions. Slower growth, decreased heat stress tolerance, and enhanced oxidative stress tolerance were observed in ΔccpA in MRS. Compared to the wild-type strain, 260 genes were upregulated and 55 genes were downregulated in ΔccpA, mainly including carbon source transport and metabolism genes, but no typical stress tolerance genes. The regulation of pfk, pyk, dnaK, and groEL was different from that in other lactic acid bacteria. The pathways related to acetate production were regulated solely by ccpA deletion, while dnaK, groEL, and de novo pyrimidine synthesis genes were only regulated by tryptone. Fatty acid and purine synthesis genes and glmS were co-regulated by ccpA and tryptone. The deletion of ccpA eliminated the nitrogen source-induced oxidative stress tolerance changes. It was found that ccpA in L. rhamnosus can affect both carbon and nitrogen source metabolism, altering stress tolerance. Full article
(This article belongs to the Section Food Microbiology)
Show Figures

Graphical abstract

24 pages, 10420 KB  
Article
Usmani–Riazuddin Syndrome: Functional Characterization of a Novel c.196G>A Variant in the AP1G1 Gene and Phenotypic Insights Using Zebrafish as a Vertebrate Model
by Valentina Imperatore, Alessandra Mirarchi, Emanuele Agolini, Andrea Astolfi, Maria Letizia Barreca, Antonio Novelli, Elisa Vinciarelli, Sara Ferretti, Daniela Zizioli, Giuseppe Borsani, Cataldo Arcuri and Paolo Prontera
Int. J. Mol. Sci. 2025, 26(21), 10590; https://doi.org/10.3390/ijms262110590 - 30 Oct 2025
Viewed by 1043
Abstract
Adaptor Protein-1 (AP-1) is a heterotetrameric essential for intracellular vesicular trafficking and polarized localization of somato-dendritic proteins in neurons. Variants in the AP1G1 gene, encoding the gamma-1 subunit of adaptor-related protein complex 1 (AP1γ1), have recently been associated with Usmani–Riazuddin syndrome (USRISD, MIM#619467), [...] Read more.
Adaptor Protein-1 (AP-1) is a heterotetrameric essential for intracellular vesicular trafficking and polarized localization of somato-dendritic proteins in neurons. Variants in the AP1G1 gene, encoding the gamma-1 subunit of adaptor-related protein complex 1 (AP1γ1), have recently been associated with Usmani–Riazuddin syndrome (USRISD, MIM#619467), a very rare human genetic disorder characterized by intellectual disability (ID), speech and neurodevelopmental delays. Here we report a novel variant (c.196G>A; p.Gly66Arg) identified by exome sequencing analysis in a young girl showing overlapping clinical features with USRIS, such as motor and speech delay, intellectual disability and abnormal aggressive behavior. In silico analysis of the missense de novo variant suggested an alteration in AP1G1 protein folding. Patient’s fibroblasts have been studied with immunofluorescence techniques to analyze the intracellular distribution of AP-1. Zebrafish are widely regarded as an excellent vertebrate model for studying human disease pathogenesis, given their transparent embryonic development, ease of breeding, high genetic similarity to humans, and straightforward genetic manipulation. Leveraging these advantages, we investigated the phenotype, locomotor behavior, and CNS development in zebrafish embryos following the microinjection of human wild-type and mutated AP1G1 mRNAs at the one-cell stage. Knockout (KO) of the AP1G1 gene in zebrafish led to death at the gastrula stage. Lethality in the KO AP1G1 fish model was significantly rescued by injection of the human wild-type AP1G1 mRNA, but not by transcripts encoded by the Gly66Arg missense allele. The phenotype was also not rescued when ap1g1−/− zebrafish embryos were co-injected with both human wild-type and mutated mRNAs, supporting the dominant-negative effect of the new variant. In this study, we defined the effects of a new AP1G1 variant in cellular and animal models of Usmani–Riazzudin syndrome for future therapeutic approaches. Full article
(This article belongs to the Section Molecular Genetics and Genomics)
Show Figures

Figure 1

15 pages, 3145 KB  
Article
ABA and Ethylene Mediates Tomato Root Development Modulation During Endophytic Fungal Interaction
by Maria Feka, Bilge Chousein, Olga Tsiouri and Kalliope K. Papadopoulou
J. Fungi 2025, 11(10), 707; https://doi.org/10.3390/jof11100707 - 30 Sep 2025
Viewed by 842
Abstract
The early stages of plant–microbe interaction are critical for establishing beneficial symbioses. We investigated how the endophytic fungus Fusarium solani strain FsK modulates tomato (Solanum lycopersicum) development and hormone pathways during in vitro co-cultivation. Seedlings were sampled at three early interaction [...] Read more.
The early stages of plant–microbe interaction are critical for establishing beneficial symbioses. We investigated how the endophytic fungus Fusarium solani strain FsK modulates tomato (Solanum lycopersicum) development and hormone pathways during in vitro co-cultivation. Seedlings were sampled at three early interaction stages (pre-contact, T1; initial contact, T2, 3 days post-contact, T3). Root traits and root and leaf transcripts for abscisic acid (ABA) and ethylene (ET) pathways were quantified, alongside fungal ET-biosynthesis genes. FsK altered root system architecture, increasing root area, lateral root number, root-hair length, and fresh biomass. These morphological changes coincided with tissue- and time-specific shifts. In leaves, FsK broadly affected ABA biosynthetic and homeostasis genes (ZEP1, NCED1, ABA2, AAO1, ABA-GT, BG1), indicating reduced de novo synthesis with enhanced deconjugation of stored ABA. ET biosynthesis was curtailed in leaves via down-regulation of ACC oxidase (ACO1–3), with isoform-specific changes in ACC synthase (ACS). The ET receptor ETR1 was transiently expressed early (T1–T2). FsK itself showed staged activation of fungal ET-biosynthesis genes. These results reveal coordinated fungal–plant hormone control at the transcriptional level that promotes root development during early interaction and support FsK’s potential as a biostimulant. Full article
(This article belongs to the Special Issue Plant Symbiotic Fungi)
Show Figures

Figure 1

24 pages, 3516 KB  
Article
Study on the Emission Characteristics of Pollutants During the Waste-to-Energy Process of Landfill Waste and Municipal Solid Waste
by Zongao Zhen, Xianchao Xiang and Xiaodong Li
Energies 2025, 18(17), 4515; https://doi.org/10.3390/en18174515 - 25 Aug 2025
Viewed by 1295
Abstract
As landfill mining becomes more widely applied, growing attention is being paid to the waste-to-energy conversion of landfill waste. Co-disposal of landfill waste with municipal solid waste represents one of the primary strategies for achieving energy recovery of landfill waste. In this paper, [...] Read more.
As landfill mining becomes more widely applied, growing attention is being paid to the waste-to-energy conversion of landfill waste. Co-disposal of landfill waste with municipal solid waste represents one of the primary strategies for achieving energy recovery of landfill waste. In this paper, the emission characteristics of pollutants were systematically analyzed during the co-disposal of landfill waste and municipal solid waste in a full-scale municipal solid waste incineration. The study investigated the formation patterns of toxic PCDD/Fs and gaseous pollutants under different co-disposal ratios of landfill waste (0%, 15%, 25%, 35%, and 45%). In total, 136 PCDD/Fs were analyzed to investigate the influence of co-disposal ratios on PCDD/F formation in both flue gas and fly ash. The influence of varying co-disposal ratios on the phase and elemental composition of fly ash was also investigated. Co-disposal led to a significant reduction in the toxic PCDD/F concentration at the boiler outlet, mainly attributed to the higher sulfur content of LW compared to MSW. With increasing co-disposal ratios, the annual emission amounts of toxic PCDD/Fs in fly ash significantly increased. The ∑PCDD/∑PCDF ratio in both flue gas of boiler outlet and fly ash also increased, indicating an enhancement of the precursor formation pathway, while the de novo synthesis pathway was relatively suppressed. The fly ash exhibited a high proportion of highly chlorinated dioxins (degree of chlorination: 7.19–7.23), likely due to their low saturated vapor pressure. According to the Hagenmaier congener distribution, high co-disposal ratios (25–45%) suppressed the chlorination of DD/DF in fly ash but promoted the formation of gas-phase PCDFs. Different co-disposal ratios significantly influenced both the emission concentrations and removal efficiencies of air pollutants, including NOx, SO2, and HCl. Although co-disposal did not alter the crystalline phase composition of fly ash, it led to an increased content of heavy metals such as Cu, Hg, and Pb. Full article
(This article belongs to the Special Issue Studies on Clean and Sustainable Energy Utilization)
Show Figures

Figure 1

18 pages, 965 KB  
Review
Refining Criteria for Choosing the First-Line Treatment for Real-World Patients with Advanced ALK-Rearranged NSCLC
by Edyta Maria Urbanska, Peter Rindom Koffeldt, Morten Grauslund, Linea Cecilie Melchior, Jens Benn Sørensen and Eric Santoni-Rugiu
Int. J. Mol. Sci. 2025, 26(13), 5969; https://doi.org/10.3390/ijms26135969 - 21 Jun 2025
Cited by 1 | Viewed by 2738
Abstract
Choosing the optimal first-line treatment for patients with advanced non-small cell lung cancer (NSCLC) with anaplastic lymphoma kinase (ALK) rearrangements can be challenging in daily practice. Although clinical trials with next-generation ALK-tyrosine kinase inhibitors (TKIs) have played a key role in [...] Read more.
Choosing the optimal first-line treatment for patients with advanced non-small cell lung cancer (NSCLC) with anaplastic lymphoma kinase (ALK) rearrangements can be challenging in daily practice. Although clinical trials with next-generation ALK-tyrosine kinase inhibitors (TKIs) have played a key role in evaluating their efficacy and safety, which patients benefit from a specific ALK-TKI may still be questioned. The methodological inconsistencies in these trials, which led to the inclusion of different patient populations, appear to have been inadequately addressed. ALK-rearranged NSCLC is a heterogeneous disease, and co-existing molecular alterations may affect the outcome. The questions explored in these trials appear insufficient to support a personalized approach to the first-line treatment, while defining long-term responders and early progressors would be clinically useful. This narrative review presents several considerations from oncologists’ and pathologists’ perspectives. We propose defining favorable and unfavorable features, such as histology, type of ALK fusion, co-existing molecular alterations, plasma circulating tumor DNA (ctDNA, performance status, and brain metastases, to help identify patients with lower and higher risk of progression. Consequently, the most potent ALK-TKI to date, Lorlatinib, may be considered as the first-line treatment for high-risk patients with unfavorable features, while sequencing of ALK-TKIs may be appropriate for low-risk patients with favorable features. Although ALK signal inhibition is critical in this disease, it may not be sufficient for clinical control due to de novo co-alterations. A more personalized approach to first-line therapy requires consideration of risk factors for each patient. Full article
(This article belongs to the Section Molecular Pathology, Diagnostics, and Therapeutics)
Show Figures

Graphical abstract

28 pages, 1260 KB  
Review
Unravelling the Adiponectin Hallmark and Exploring the Therapeutic Potential of Its Receptor Agonists in Cancer Metabolic Reprogramming
by Sanober Kafeel, Giuseppina Palmiero, Alessia Salzillo, Angela Ragone, Silvio Naviglio and Luigi Sapio
Biomolecules 2025, 15(6), 820; https://doi.org/10.3390/biom15060820 - 5 Jun 2025
Cited by 1 | Viewed by 2244
Abstract
As the most abundant fat-derived hormone, adiponectin plays an essential role in regulating energy homeostasis. Current evidence proposes the serum levels of adiponectin as a risk factor and a diagnostic/prognostic biomarker in cancer. Moreover, distinctive antineoplastic features have also been reported as a [...] Read more.
As the most abundant fat-derived hormone, adiponectin plays an essential role in regulating energy homeostasis. Current evidence proposes the serum levels of adiponectin as a risk factor and a diagnostic/prognostic biomarker in cancer. Moreover, distinctive antineoplastic features have also been reported as a result of adiponectin supplementation in preclinical models. Mapping of the cancer-associated metabolic changes has elucidated a highly adaptable and interconnected system that allows malignant cells to sustain their growth and survival. Along with the pyruvate into acetyl-CoA conversion, downregulation of both lactate dehydrogenase and glycolysis-related genes depicts the main adiponectin-induced perturbations affecting glucose metabolism in cancer. Meanwhile, a multi-level approach involving lipid trafficking, catabolism, and de novo synthesis has been attributed to adiponectin in malignancies. The adiponectin receptor agonist AdipoRon has recently been recognized as a promising antineoplastic compound. Remarkably, AdipoRon-mediated changes in cancer metabolism occur together with its antiproliferative potential. This review aimed at recapitulating the modulatory effects of adiponectin, as well as those of its synthetic receptor agonists, in driving metabolic alterations in cancerous cells. A critical discussion is also conducted to deduce whether the adiponectin axis could serve as a putative target to address the metabolic reprogramming in cancer progression. Full article
Show Figures

Graphical abstract

16 pages, 3192 KB  
Article
Probiotic Supplementation Alleviates Corticosterone-Induced Fatty Liver Disease by Regulating Hepatic Lipogenesis and Increasing Gut Microbiota Diversity in Broilers
by Yuyan Feng, Wenqing Mei, Qu Chen, Xiaojing Chen, Yingdong Ni, Mingming Lei and Jie Liu
Microorganisms 2025, 13(1), 200; https://doi.org/10.3390/microorganisms13010200 - 17 Jan 2025
Cited by 2 | Viewed by 1672
Abstract
Emerging evidence indicates a close relationship between gut microbiota and fatty liver disease. It has been suggested that gut microbiota modulation with probiotics ameliorates fatty liver disease in rodents and humans, yet it remains unclear whether the same results will also be obtained [...] Read more.
Emerging evidence indicates a close relationship between gut microbiota and fatty liver disease. It has been suggested that gut microbiota modulation with probiotics ameliorates fatty liver disease in rodents and humans, yet it remains unclear whether the same results will also be obtained in poultry. The aim of this study was to investigate whether a mixture of probiotics supplemented after hatching can prevent CORT-induced fatty liver disease in broilers, and to determine how such effects, if any, are associated with hepatic de novo lipogenesis and gut microbiota composition. Ninety-six one-day-old green-legged chickens were divided into a control group (CON) and probiotic group (PB). At 28 days of age, fatty liver was induced in 16 broilers that were randomly selected from the CON or PB group. At the end of the experiment, broilers from four groups, (i) the control group (CON), (ii) corticosterone group (CORT), (iii) probiotic group (PB), and (iv) PB plus CORT group (CORT&PB), were slaughtered for sampling and analysis. The results showed that probiotic administration significantly prevented CORT-induced body weight loss (p < 0.05) but did not alleviate the weight loss of immune organs caused by CORT. Compared to CON, the broilers in the CORT group exhibited a significant increase in triglyceride (TG) levels in plasma and liver (p < 0.01), as well as severe hepatocytic steatosis and hepatocellular ballooning, which was accompanied by the upregulation of hepatic lipogenesis gene expression. However, probiotic supplementation markedly decreased the intrahepatic lipid accumulation and steatosis histological score, which was associated with the downregulation of sterol regulatory element-binding protein-1 (SREBP1) and acetyl-CoA carboxylase (ACC) mRNA (p < 0.05) and the expression of its protein (p = 0.06). The cecal microbiota composition was determined by 16S rRNA high-throughput sequencing. The results showed that CORT treatment induced distinct gut microbiota alterations with a decrease in microbial diversity and an increase in Proteobacteria abundance (p < 0.05). In contrast, probiotic supplementation increased the beta diversity, the community richness, and the diversity index (p > 0.05), as well as the abundance of Intestinimonas (p < 0.05). Our results indicate that CORT treatment induced severe fatty liver disease and altered the gut microbiota composition in broilers. However, post-hatching probiotic supplementation had a beneficial effect on alleviating fatty liver disease by regulating lipogenic gene expression and increasing gut microbiota diversity and the abundance of beneficial bacteria. We demonstrate for the first time that the supplementation of probiotics to chicks had a beneficial effect on preventing fatty liver disease through regulating lipogenic gene expression and improving the gut microbial balance. Thus, our results indicate that probiotics are a potential nutritional agent for preventing fatty liver disease in chickens. Full article
(This article belongs to the Special Issue Beneficial Microbes: Food, Mood and Beyond, 2nd Edition)
Show Figures

Figure 1

19 pages, 9245 KB  
Article
6-Gingerol Inhibits De Novo Lipogenesis by Targeting Stearoyl-CoA Desaturase to Alleviate Fructose-Induced Hepatic Steatosis
by Pan Li, Tingting Wang, Hongmei Qiu, Ruoyu Zhang, Chao Yu and Jianwei Wang
Int. J. Mol. Sci. 2024, 25(20), 11289; https://doi.org/10.3390/ijms252011289 - 20 Oct 2024
Cited by 3 | Viewed by 2911
Abstract
Metabolic-associated fatty liver disease (MAFLD), also known as non-alcoholic fatty liver disease (NAFLD), is a worldwide liver disease without definitive or widely used therapeutic drugs in clinical practice. In this study, we confirm that 6-gingerol (6-G), an active ingredient of ginger (Zingiber [...] Read more.
Metabolic-associated fatty liver disease (MAFLD), also known as non-alcoholic fatty liver disease (NAFLD), is a worldwide liver disease without definitive or widely used therapeutic drugs in clinical practice. In this study, we confirm that 6-gingerol (6-G), an active ingredient of ginger (Zingiber officinale Roscoe) in traditional Chinese medicine (TCM), can alleviate fructose-induced hepatic steatosis. It was found that 6-G significantly decreased hyperlipidemia caused by high-fructose diets (HFD) in rats, and reversed the increase in hepatic de novo lipogenesis (DNL) and triglyceride (TG) levels induced by HFD, both in vivo and in vitro. Mechanistically, chemical proteomics and cellular thermal shift assay (CETSA)–proteomics approaches revealed that stearoyl-CoA desaturase (SCD) is a direct binding target of 6-G, which was confirmed by further CETSA assay and molecular docking. Meanwhile, it was found that 6-G could not alter SCD expression (in either mRNA or protein levels), but inhibited SCD activity (decreasing the desaturation levels of fatty acids) in HFD-fed rats. Furthermore, SCD deficiency mimicked the ability of 6-G to reduce lipid accumulation in HF-induced HepG2 cells, and impaired the improvement in hepatic steatosis brought about by 6-G treatment in HFD supplemented with oleic acid diet-induced SCD1 knockout mice. Taken together, our present study demonstrated that 6-G inhibits DNL by targeting SCD to alleviate fructose diet-induced hepatic steatosis. Full article
(This article belongs to the Special Issue Nutrients and Active Substances in Natural Products)
Show Figures

Figure 1

15 pages, 2823 KB  
Article
Whole Exome Sequencing of Intermediate-Risk Acute Myeloid Leukemia without Recurrent Genetic Abnormalities Offers Deeper Insights into New Diagnostic Classifications
by Francesca Guijarro, Sandra Castaño-Díez, Carlos Jiménez-Vicente, Marta Garrote, José Ramón Álamo, Marta Gómez-Hernando, Irene López-Oreja, Jordi Morata, Mònica López-Guerra, Cristina López, Sílvia Beà, Dolors Costa, Dolors Colomer, Marina Díaz-Beyá, Maria Rozman and Jordi Esteve
Int. J. Mol. Sci. 2024, 25(16), 8669; https://doi.org/10.3390/ijms25168669 - 8 Aug 2024
Cited by 2 | Viewed by 2335
Abstract
Two new diagnostic classifications of acute myeloid leukemia (AML) were published in 2022 to update current knowledge on disease biology. In previous 2017-edition categories of AML with myelodysplasia-related changes, AML was not otherwise specified, but AML with mutated RUNX1 experienced profound changes. We [...] Read more.
Two new diagnostic classifications of acute myeloid leukemia (AML) were published in 2022 to update current knowledge on disease biology. In previous 2017-edition categories of AML with myelodysplasia-related changes, AML was not otherwise specified, but AML with mutated RUNX1 experienced profound changes. We performed whole exome sequencing on a cohort of 69 patients with cytogenetic intermediate-risk AML that belonged to these diagnostic categories to correlate their mutational pattern and copy-number alterations with their new diagnostic distribution. Our results show that 45% of patients changed their diagnostic category, being AML myelodysplasia-related the most enlarged, mainly due to a high frequency of myelodysplasia-related mutations (58% of patients). These showed a good correlation with multilineage dysplasia and/or myelodysplastic syndrome history, but at the same time, 21% of de novo patients without dysplasia also presented them. RUNX1 was the most frequently mutated gene, with a high co-occurrence rate with other myelodysplasia-related mutations. We found a high prevalence of copy-neutral loss of heterozygosity, frequently inducing a homozygous state in particular mutated genes. Mild differences in current classifications explain the diagnostic disparity in 10% of patients, claiming a forthcoming unified classification. Full article
(This article belongs to the Special Issue Molecular Pathology Research on Blood Tumors)
Show Figures

Figure 1

22 pages, 8430 KB  
Article
Gut Dysbiosis Shaped by Cocoa Butter-Based Sucrose-Free HFD Leads to Steatohepatitis, and Insulin Resistance in Mice
by Shihab Kochumon, Md. Zubbair Malik, Sardar Sindhu, Hossein Arefanian, Texy Jacob, Fatemah Bahman, Rasheeba Nizam, Amal Hasan, Reeby Thomas, Fatema Al-Rashed, Steve Shenouda, Ajit Wilson, Shaima Albeloushi, Nourah Almansour, Ghadeer Alhamar, Ashraf Al Madhoun, Fawaz Alzaid, Thangavel Alphonse Thanaraj, Heikki A. Koistinen, Jaakko Tuomilehto, Fahd Al-Mulla and Rasheed Ahmadadd Show full author list remove Hide full author list
Nutrients 2024, 16(12), 1929; https://doi.org/10.3390/nu16121929 - 18 Jun 2024
Cited by 11 | Viewed by 4122
Abstract
Background: High-fat diets cause gut dysbiosis and promote triglyceride accumulation, obesity, gut permeability changes, inflammation, and insulin resistance. Both cocoa butter and fish oil are considered to be a part of healthy diets. However, their differential effects on gut microbiome perturbations in mice [...] Read more.
Background: High-fat diets cause gut dysbiosis and promote triglyceride accumulation, obesity, gut permeability changes, inflammation, and insulin resistance. Both cocoa butter and fish oil are considered to be a part of healthy diets. However, their differential effects on gut microbiome perturbations in mice fed high concentrations of these fats, in the absence of sucrose, remains to be elucidated. The aim of the study was to test whether the sucrose-free cocoa butter-based high-fat diet (C-HFD) feeding in mice leads to gut dysbiosis that associates with a pathologic phenotype marked by hepatic steatosis, low-grade inflammation, perturbed glucose homeostasis, and insulin resistance, compared with control mice fed the fish oil based high-fat diet (F-HFD). Results: C57BL/6 mice (5–6 mice/group) were fed two types of high fat diets (C-HFD and F-HFD) for 24 weeks. No significant difference was found in the liver weight or total body weight between the two groups. The 16S rRNA sequencing of gut bacterial samples displayed gut dysbiosis in C-HFD group, with differentially-altered microbial diversity or relative abundances. Bacteroidetes, Firmicutes, and Proteobacteria were highly abundant in C-HFD group, while the Verrucomicrobia, Saccharibacteria (TM7), Actinobacteria, and Tenericutes were more abundant in F-HFD group. Other taxa in C-HFD group included the Bacteroides, Odoribacter, Sutterella, Firmicutes bacterium (AF12), Anaeroplasma, Roseburia, and Parabacteroides distasonis. An increased Firmicutes/Bacteroidetes (F/B) ratio in C-HFD group, compared with F-HFD group, indicated the gut dysbiosis. These gut bacterial changes in C-HFD group had predicted associations with fatty liver disease and with lipogenic, inflammatory, glucose metabolic, and insulin signaling pathways. Consistent with its microbiome shift, the C-HFD group showed hepatic inflammation and steatosis, high fasting blood glucose, insulin resistance, increased hepatic de novo lipogenesis (Acetyl CoA carboxylases 1 (Acaca), Fatty acid synthase (Fasn), Stearoyl-CoA desaturase-1 (Scd1), Elongation of long-chain fatty acids family member 6 (Elovl6), Peroxisome proliferator-activated receptor-gamma (Pparg) and cholesterol synthesis (β-(hydroxy β-methylglutaryl-CoA reductase (Hmgcr). Non-significant differences were observed regarding fatty acid uptake (Cluster of differentiation 36 (CD36), Fatty acid binding protein-1 (Fabp1) and efflux (ATP-binding cassette G1 (Abcg1), Microsomal TG transfer protein (Mttp) in C-HFD group, compared with F-HFD group. The C-HFD group also displayed increased gene expression of inflammatory markers including Tumor necrosis factor alpha (Tnfa), C-C motif chemokine ligand 2 (Ccl2), and Interleukin-12 (Il12), as well as a tendency for liver fibrosis. Conclusion: These findings suggest that the sucrose-free C-HFD feeding in mice induces gut dysbiosis which associates with liver inflammation, steatosis, glucose intolerance and insulin resistance. Full article
(This article belongs to the Special Issue The Effects of Dietary Fat on Gut Microbiota and Metabolic Health)
Show Figures

Figure 1

20 pages, 4631 KB  
Article
Plant Species and Functional Diversity of Novel Forests Growing on Coal Mine Heaps Compared with Managed Coniferous and Deciduous Mixed Forests
by Jawdat Bakr, Agnieszka Kompała-Bąba, Wojciech Bierza, Agnieszka Hutniczak, Agnieszka Błońska, Damian Chmura, Franco Magurno, Andrzej M. Jagodziński, Lynn Besenyei, Barbara Bacler-Żbikowska and Gabriela Woźniak
Forests 2024, 15(4), 730; https://doi.org/10.3390/f15040730 - 22 Apr 2024
Cited by 9 | Viewed by 2948
Abstract
(1): The Upper Silesia region of Poland is one of the most extensively altered regions of Europe due to human activity, especially coal mining. (2): We used cluster analysis to examine the floristic composition of three classified forest communities: forests developed on post-coal [...] Read more.
(1): The Upper Silesia region of Poland is one of the most extensively altered regions of Europe due to human activity, especially coal mining. (2): We used cluster analysis to examine the floristic composition of three classified forest communities: forests developed on post-coal mine mineral heaps (HF), mixed deciduous forests (DECI), and managed secondary coniferous forests (CON). Vegetation data were collected from 44 randomly selected plots, and plant traits connected with persistence, dispersal, and regeneration were taken from commonly used plant trait databases. (3): Higher species richness, species diversity, and evenness (36, 2.7, and 0.76, respectively) were calculated for HF plots compared with those plots from DECI (22, 1.9, and 0.62) and CON (18, 2.0, and 0.71) plots. Higher functional richness (0.173, 0.76) and functional divergence were determined for HF compared with those calculated for DECI (FRic 0.090, FDiv 0.71) and CON (FRic 0.026, FDiv 0.69). In contrast, the substrate from HF forests had significantly lower soil respiration (0.76 mg-CO2 h/m2) compared with substrates from both CON and DECI forests (0.90 and 0.96 mg-CO2 h/m2, respectively); (4): A set of complex abiotic stresses which plants suffer from on coal mine spoil heaps shaped different patterns of taxonomic and functional diversity. These findings demonstrate the importance of investigating successional aspects and carbon dynamics of de novo forests which have developed on post-coal mine spoil heaps in urban industrial areas. Full article
(This article belongs to the Section Urban Forestry)
Show Figures

Figure 1

20 pages, 8756 KB  
Article
Raman Imaging—A Valuable Tool for Tracking Fatty Acid Metabolism—Normal and Cancer Human Colon Single-Cell Study
by Karolina Beton-Mysur, Monika Kopec and Beata Brozek-Pluska
Int. J. Mol. Sci. 2024, 25(8), 4508; https://doi.org/10.3390/ijms25084508 - 19 Apr 2024
Cited by 4 | Viewed by 3354
Abstract
Altered metabolism of lipids is a key factor in many diseases including cancer. Therefore, investigations into the impact of unsaturated and saturated fatty acids (FAs) on human body homeostasis are crucial for understanding the development of lifestyle diseases. In this paper, we focus [...] Read more.
Altered metabolism of lipids is a key factor in many diseases including cancer. Therefore, investigations into the impact of unsaturated and saturated fatty acids (FAs) on human body homeostasis are crucial for understanding the development of lifestyle diseases. In this paper, we focus on the impact of palmitic (PA), linoleic (LA), and eicosapentaenoic (EPA) acids on human colon normal (CCD-18 Co) and cancer (Caco-2) single cells using Raman imaging and spectroscopy. The label-free nature of Raman imaging allowed us to evaluate FAs dynamics without modifying endogenous cellular metabolism. Thanks to the ability of Raman imaging to visualize single-cell substructures, we have analyzed the changes in chemical composition of endoplasmic reticulum (ER), mitochondria, lipid droplets (LDs), and nucleus upon FA supplementation. Analysis of Raman band intensity ratios typical for lipids, proteins, and nucleic acids (I1656/I1444, I1444/I1256, I1444/I750, I1304/I1256) proved that, using Raman mapping, we can observe the metabolic pathways of FAs in ER, which is responsible for the uptake of exogenous FAs, de novo synthesis, elongation, and desaturation of FAs, in mitochondria responsible for energy production via FA oxidation, in LDs specialized in cellular fat storage, and in the nucleus, where FAs are transported via fatty-acid-binding proteins, biomarkers of human colon cancerogenesis. Analysis for membranes showed that the uptake of FAs effectively changed the chemical composition of this organelle, and the strongest effect was noticed for LA. The spectroscopy studies have been completed using XTT tests, which showed that the addition of LA or EPA for Caco-2 cells decreases their viability with a stronger effect observed for LA and the opposite effect observed for PA. For normal cells, CCD-18 Co supplementation using LA or EPA stimulated cells for growing, while PA had the opposite impact. Full article
(This article belongs to the Section Physical Chemistry and Chemical Physics)
Show Figures

Figure 1

16 pages, 3961 KB  
Article
Gene Silencing of Angiopoietin-like 3 (ANGPTL3) Induced De Novo Lipogenesis and Lipid Accumulation in Huh7 Cell Line
by Ilaria Rossi, Giorgia Marodin, Maria Giovanna Lupo, Maria Pia Adorni, Bianca Papotti, Stefano Dall’Acqua and Nicola Ferri
Int. J. Mol. Sci. 2024, 25(7), 3708; https://doi.org/10.3390/ijms25073708 - 26 Mar 2024
Cited by 3 | Viewed by 2860
Abstract
Angiopoietin-like 3 (ANGPTL3) is a hepatokine acting as a negative regulator of lipoprotein lipase (LPL). Vupanorsen, an ANGPTL3 directed antisense oligonucleotide, showed an unexpected increase in liver fat content in humans. Here, we investigated the molecular mechanism linking ANGPTL3 silencing to hepatocyte fat [...] Read more.
Angiopoietin-like 3 (ANGPTL3) is a hepatokine acting as a negative regulator of lipoprotein lipase (LPL). Vupanorsen, an ANGPTL3 directed antisense oligonucleotide, showed an unexpected increase in liver fat content in humans. Here, we investigated the molecular mechanism linking ANGPTL3 silencing to hepatocyte fat accumulation. Human hepatocarcinoma Huh7 cells were treated with small interfering RNA (siRNA) directed to ANGPTL3, human recombinant ANGPTL3 (recANGPTL3), or their combination. Using Western blot, Oil Red-O, biochemical assays, and ELISA, we analyzed the expression of genes and proteins involved in lipid metabolism. Oil Red-O staining demonstrated that lipid content increased after 48 h of ANGPTL3 silencing (5.89 ± 0.33 fold), incubation with recANGPTL3 (4.08 ± 0.35 fold), or their combination (8.56 ± 0.18 fold), compared to untreated cells. This effect was also confirmed in Huh7-LX2 spheroids. A total of 48 h of ANGPTL3 silencing induced the expression of genes involved in the de novo lipogenesis, such as fatty acid synthase, stearoyl-CoA desaturase, ATP citrate lyase, and Acetyl-Coenzyme A Carboxylase 1 together with the proprotein convertase subtilisin/kexin 9 (PCSK9). Time-course experiments revealed that 6 h post transfection with ANGPTL3-siRNA, the cholesterol esterification by Acyl-coenzyme A cholesterol acyltransferase (ACAT) was reduced, as well as total cholesterol content, while an opposite effect was observed at 48 h. Under the same experimental conditions, no differences in secreted apoB and PCSK9 were observed. Since PCSK9 was altered by the treatment, we tested a possible co-regulation between the two genes. The effect of ANGPTL3-siRNA on the expression of genes involved in the de novo lipogenesis was not counteracted by gene silencing of PCSK9. In conclusion, our in vitro study suggests that ANGPTL3 silencing determines lipid accumulation in Huh7 cells by inducing the de novo lipogenesis independently from PCSK9. Full article
(This article belongs to the Special Issue Atherosclerosis: From Molecular Basis to Therapy)
Show Figures

Figure 1

25 pages, 2489 KB  
Review
Intestinal Inflammation and Regeneration–Interdigitating Processes Controlled by Dietary Lipids in Inflammatory Bowel Disease
by Soon Jae Kwon, Muhammad Sohaib Khan and Sang Geon Kim
Int. J. Mol. Sci. 2024, 25(2), 1311; https://doi.org/10.3390/ijms25021311 - 21 Jan 2024
Cited by 12 | Viewed by 6135
Abstract
Inflammatory bowel disease (IBD), including Crohn’s disease and ulcerative colitis, is a disease of chronic inflammatory conditions of the intestinal tract due to disturbance of the inflammation and immune system. Symptoms of IBD include abdominal pain, diarrhea, bleeding, reduced weight, and fatigue. In [...] Read more.
Inflammatory bowel disease (IBD), including Crohn’s disease and ulcerative colitis, is a disease of chronic inflammatory conditions of the intestinal tract due to disturbance of the inflammation and immune system. Symptoms of IBD include abdominal pain, diarrhea, bleeding, reduced weight, and fatigue. In IBD, the immune system attacks the intestinal tract’s inner wall, causing chronic inflammation and tissue damage. In particular, interlukin-6 and interlukin-17 act on immune cells, including T cells and macrophages, to amplify the immune responses so that tissue damage and morphological changes occur. Of note, excessive calorie intake and obesity also affect the immune system due to inflammation caused by lipotoxicity and changes in lipids supply. Similarly, individuals with IBD have alterations in liver function after sustained high-fat diet feeding. In addition, excess dietary fat intake, along with alterations in primary and secondary bile acids in the colon, can affect the onset and progression of IBD because inflammatory cytokines contribute to insulin resistance; the factors include the release of inflammatory cytokines, oxidative stress, and changes in intestinal microflora, which may also contribute to disease progression. However, interfering with de novo fatty acid synthase by deleting the enzyme acetyl-CoA-carboxylase 1 in intestinal epithelial cells (IEC) leads to the deficiency of epithelial crypt structures and tissue regeneration, which seems to be due to Lgr5+ intestinal stem cell function. Thus, conflicting reports exist regarding high-fat diet effects on IBD animal models. This review will focus on the pathological basis of the link between dietary lipids intake and IBD and will cover the currently available pharmacological approaches. Full article
Show Figures

Figure 1

14 pages, 3281 KB  
Article
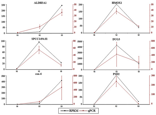
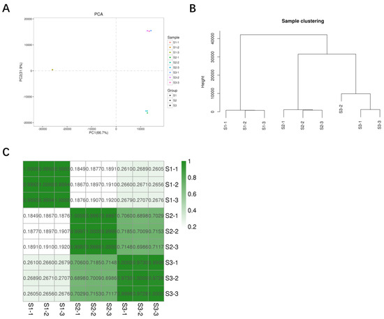
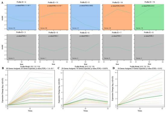
De Novo RNA Sequencing and Transcriptome Analysis of Sclerotium rolfsii Gene Expression during Sclerotium Development
by Fanfan Wang, Xiaoyue Wang, Tao Tang, Yuanyuan Duan, Ting Mao, Xiaoliang Guo, Qingfang Wang and Jingmao You
Genes 2023, 14(12), 2170; https://doi.org/10.3390/genes14122170 - 2 Dec 2023
Cited by 2 | Viewed by 2456
Abstract
Sclerotium rolfsii is a destructive soil-borne fungal pathogen that causes stem rot in cultivated plants. However, little is known about the genetic basis of sclerotium development. In this study, we conducted de novo sequencing of genes from three different stages of S. rolfsii [...] Read more.
Sclerotium rolfsii is a destructive soil-borne fungal pathogen that causes stem rot in cultivated plants. However, little is known about the genetic basis of sclerotium development. In this study, we conducted de novo sequencing of genes from three different stages of S. rolfsii (mycelia, early sclerotium formation, and late sclerotium formation) using Illumina HiSeqTM 4000. We then determined differentially expressed genes (DEGs) across the three stages and annotated gene functions. STEM and weighted gene-co-expression network analysis were used to cluster DEGs with similar expression patterns. Our analysis yielded an average of 25,957,621 clean reads per sample (22,913,500–28,988,848). We identified 8929, 8453, and 3744 DEGs between sclerotium developmental stages 1 versus 2, 1 versus 3, and 2 versus 3, respectively. Additionally, four significantly altered gene expression profiles involved 220 genes related to sclerotium formation, and two modules were positively correlated with early and late sclerotium formation. These results were supported by the outcomes of qPCR and RNA-sequencing conducted on six genes. This is the first study to provide a gene expression map during sclerotial development in S. rolfsii, which can be used to reduce the re-infection ability of this pathogen and provide new insights into the scientific prevention and control of the disease. This study also provides a useful resource for further research on the genomics of S. rolfsii. Full article
(This article belongs to the Section Microbial Genetics and Genomics)
Show Figures

Figure 1

Back to TopTop