Sign in to use this feature.

Years

Between: -

Subjects

remove_circle_outline
remove_circle_outline
remove_circle_outline
remove_circle_outline
remove_circle_outline
remove_circle_outline
remove_circle_outline

Journals

Article Types

Countries / Regions

Search Results (130)

Search Parameters:
Keywords = cystic fibrosis phenotype

Order results
Result details
Results per page
Select all
Export citation of selected articles as:
24 pages, 2387 KB  
Article
Role of the ADAM33 rs2280091 Variant in Modulating Lung Function in Cystic Fibrosis
by Vinícius Santiago dos Santos, Lucas Silva Mello, Luiz Felipe Azevedo Marques, Luana Rodrigues Silva, Carmen Sílvia Bertuzzo, José Dirceu Ribeiro and Fernando Augusto Lima Marson
Int. J. Mol. Sci. 2025, 26(23), 11583; https://doi.org/10.3390/ijms262311583 - 29 Nov 2025
Viewed by 310
Abstract
Cystic fibrosis (CF) is a rare genetic disease caused by pathogenic variants in the CFTR (Cystic Fibrosis Transmembrane Conductance Regulator) gene, with wide clinical variability influence not only by the CFTR genotype but also by environmental and modifier genes such as [...] Read more.
Cystic fibrosis (CF) is a rare genetic disease caused by pathogenic variants in the CFTR (Cystic Fibrosis Transmembrane Conductance Regulator) gene, with wide clinical variability influence not only by the CFTR genotype but also by environmental and modifier genes such as ADAM33 (A Disintegrin and Metalloproteinase Domain 33). The rs2280091 variant in ADAM33 may affect lung function and contribute to differences in disease severity. This study investigated the association between this genetic variant and lung function in CF patients. This cross-sectional study included 55 CF patients from a Brazilian center, with diagnosis confirmed by sweat testing and CFTR genotyping. Pulmonary function was evaluated by spirometry before and after bronchodilator (BD) administration according to the American Thoracic Society/European Respiratory Society guidelines, analyzing Forced Vital Capacity (FVC), Forced Expiratory Volume in one second (FEV1), FEV1/FVC ratio, Forced Expiratory Flow at 25%, 50%, and 75% of FVC (FEF25%, FEF50%, and FEF75%), mean Forced Expiratory Flow between 25% and 75% of FVC (FEF25–75%), and Maximal Expiratory Forced Flow (MEF). The ADAM33 rs2280091 variant was genotyped by polymerase chain reaction-restriction fragment length polymorphism (PCR-RFLP), and statistical analyses included Kruskal–Wallis and Mann–Whitney tests, chi-square (χ2) tests, and calculation of odds ratios (ORs) with 95% confidence intervals (95% CI). The study included 55 CF patients, predominantly female (96.4%) and Caucasian (52.7%), with a median age of 17 years. CFTR genotyping revealed F508del/F508del as the most common genotype (52.7%). Analysis of the ADAM33 rs2280091 variant demonstrated that the AA genotype was most frequent in both CF patients (69.1%) and healthy controls (78.6%). Notably, the GG genotype was significantly enriched in CF patients (18.2%) compared with the controls (0.02%), yielding an odds ratio of 12.06 (95% CI: 4.86–29.91), while the G allele was also associated with increased disease risk (24.5% vs. 11.6%). Pulmonary function assessment indicated that carriers of the GG genotype or G allele had higher Forced Expiratory Flow parameters (FEF25%, FEF50%, FEF25–75%, and MEF) and improved BD responsiveness, suggesting a potential modulatory role of ADAM33 in peripheral airway function in CF. The G allele of the ADAM33 rs2280091 variant was more frequent among recruited CF patients and associated with improved peripheral airway function and BD response. These findings may reflect a survivor effect, in which carriers of this allele are more likely to reach clinical follow-up and recruitment rather than indicating a direct association with increased disease risk. Full article
(This article belongs to the Special Issue Genomic Variation and Epidemiology of Cystic Fibrosis)
Show Figures

Figure 1

13 pages, 1220 KB  
Article
Progression of Structural Lung Disease in Different Aspergillus fumigatus Disease Phenotypes in Children with CF
by Federico Mollica, Eleni-Rosalina Andrinopoulou, Beyza Y. Ikiz, Punitkumar Makani, Harm A. W. M. Tiddens and Daan Caudri
J. Fungi 2025, 11(10), 689; https://doi.org/10.3390/jof11100689 - 23 Sep 2025
Viewed by 726
Abstract
Aspergillus fumigatus (Asp) is frequently cultured from airways of children with Cystic Fibrosis (CwCF), but the impact on structural lung disease (SLD) remains unknown. In this retrospective study of 125 CwCF with a positive Asp airway culture (Asp+) at Sophia Children’s Hospital [...] Read more.
Aspergillus fumigatus (Asp) is frequently cultured from airways of children with Cystic Fibrosis (CwCF), but the impact on structural lung disease (SLD) remains unknown. In this retrospective study of 125 CwCF with a positive Asp airway culture (Asp+) at Sophia Children’s Hospital between 1988 and 2021, four Asp disease phenotypes were defined based on serum Asp-specific IgE (IgEAsp) and IgG (IgGAsp): colonisation, sensitisation, bronchitis, and allergic bronchitis. SLD was assessed on biennial chest CTs (n = 382) using the PRAGMA-CF score. Annual progression of SLD was modelled for the Asp disease phenotypes, adjusting for Pseudomonas aeruginosa and Allergic Bronchopulmonary Aspergillosis (ABPA). Annual SLD progression was high in all phenotypes but was higher in Asp sensitisation and bronchitis compared to colonisation. The proportion of air trapping was high in the full study population (mean 57%), but no differences were found in annual progression between the different Asp disease phenotypes. CwCF with Asp allergic bronchitis had a 10-fold higher risk to develop ABPA during the study follow-up than those with Asp colonisation. The four Asp disease phenotypes, colonisation, sensitisation, bronchitis, and allergic bronchitis, that were defined based on IgEAsp and IgGAsp show different rates of progression of SLD and different risks of ABPA development. Full article
Show Figures

Graphical abstract

10 pages, 226 KB  
Case Report
Case Series on the Combined Therapy with Elexacaftor/Tezacaftor/Ivacaftor During Pregnancy in Women with Severe Cystic Fibrosis: A Retrospective Report from an Italian Centre
by Paola Iacotucci, Jolanda Somma, Lorenza Ferrillo, Assunta Celardo, Valeria Conti, Costantino Di Carlo, Giuseppe Rengo, Graziamaria Corbi and Vincenzo Carnovale
J. Clin. Med. 2025, 14(18), 6520; https://doi.org/10.3390/jcm14186520 - 16 Sep 2025
Viewed by 799
Abstract
In patients with cystic fibrosis (CF), infertility is a common issue in men, while women often experience subfertility. The introduction of CF transmembrane conductance regulator (CFTR) modulators has improved disease progression and enhanced quality of life, consequently leading to an increase in unplanned [...] Read more.
In patients with cystic fibrosis (CF), infertility is a common issue in men, while women often experience subfertility. The introduction of CF transmembrane conductance regulator (CFTR) modulators has improved disease progression and enhanced quality of life, consequently leading to an increase in unplanned pregnancies. This article describes six cases of pregnancies in five patients diagnosed with severe CF who were treated with the combined therapy of elexacaftor/tezacaftor/ivacaftor (ETI). All women were under regular clinical and instrumental monitoring at the Regional CF Center for Adults at the University of Naples Federico II. The reported pregnancies were spontaneous, and all patients were followed throughout their pregnancies. Two pregnancies were carried to term by the same patient. All five patients with a severe CF phenotype were able to experience pregnancy without stopping their ETI treatment without any complications. In two cases, the patients chose to continue ETI therapy while breastfeeding, and there were no adverse events reported. A cesarean delivery was preferred in all cases to prevent potential respiratory distress. These five patients represent some of the few cases in Italy where pregnancy was achieved without interrupting treatment with ETI. However, the lack of more reliable data necessitates that doctors and patients carefully evaluate the risks and benefits of continuing or discontinuing treatment with CFTR modulators. In conclusion, the increasing number of pregnancies and the desire for children expressed by women with CF highlight the need for more data on the long-term effects of CFTR modulators. Full article
17 pages, 644 KB  
Article
Phenotyping Bronchiectasis Frequent Exacerbator: A Single Centre Retrospective Cluster Analysis
by Francesco Rocco Bertuccio, Nicola Baio, Simone Montini, Valentina Ferroni, Vittorio Chino, Lucrezia Pisanu, Marianna Russo, Ilaria Giana, Elisabetta Gallo, Lorenzo Arlando, Klodjana Mucaj, Mitela Tafa, Maria Arminio, Emanuela De Stefano, Alessandro Cascina, Amelia Grosso, Erica Gini, Federica Albicini, Virginia Valeria Ferretti, Eleonora Fresi, Angelo Guido Corsico, Giulia Maria Stella and Valentina Conioadd Show full author list remove Hide full author list
Biomedicines 2025, 13(9), 2124; https://doi.org/10.3390/biomedicines13092124 - 30 Aug 2025
Viewed by 1019
Abstract
Background: Bronchiectasis is a chronic respiratory condition characterized by permanent bronchial dilation, recurrent infections, and progressive lung damage. A subset of patients, known as frequent exacerbators, experience multiple exacerbations annually, leading to accelerated lung function decline, hospitalizations, and reduced quality of life. The [...] Read more.
Background: Bronchiectasis is a chronic respiratory condition characterized by permanent bronchial dilation, recurrent infections, and progressive lung damage. A subset of patients, known as frequent exacerbators, experience multiple exacerbations annually, leading to accelerated lung function decline, hospitalizations, and reduced quality of life. The aim of this study is to identify distinct phenotypes and treatable traits in bronchiectasis frequent exacerbators, since it could be crucial for optimizing patient management. Research question: Could clinically distinct phenotypes and treatable traits be identified among frequent exacerbators with bronchiectasis to guide personalized management strategies? Methods: We analysed a cohort of 56 bronchiectasis frequent exacerbator patients using 21 clinically relevant variables, including pulmonary function tests, radiological patterns, and microbiological data. Hierarchical clustering and k-means algorithms were applied to identify subgroups. Key outcomes included cluster-specific characteristics, treatable traits, and their implications for management. Results: Four distinct clusters were identified: 1. Mild, idiopathic bronchiectasis (Cluster 1): Predominantly mild disease (FACED), idiopathic etiology (93.3%), and cylindrical bronchiectasis with moderate obstruction (60%). 2. Rheumatological and NTM-associated bronchiectasis (Cluster 2): Patients with systemic inflammatory diseases (50%) and NTMever (50%) but minimal infections by Pseudomonas aeruginosa. 3. Mild, post-infective bronchiectasis (Cluster 3): Exclusively mild disease, mixed idiopathic and post-infective etiologies, and preserved lung function. 4. Severe, chronic infection phenotype (Cluster 4): Severe disease with high colonization rates of Pseudomonas aeruginosa (71.4%), advanced structural damage (57.1% varicose, 50% cystic bronchiectasis), and frequent exacerbations. Interpretation: This analysis highlights the heterogeneity of bronchiectasis and its frequent exacerbator phenotype. The treatable traits framework underscores the importance of aggressive infection control and management of airway inflammation in severe cases, while milder clusters may benefit from preventive strategies. These findings support the integration of precision medicine in bronchiectasis care, focusing on phenotype-specific interventions to improve outcomes. Full article
(This article belongs to the Special Issue Advanced Research in Chronic Respiratory Diseases (CRDs))
Show Figures

Figure 1

15 pages, 2024 KB  
Article
Oxy210 Inhibits Hepatic Expression of Senescence-Associated, Pro-Fibrotic, and Pro-Inflammatory Genes in Mice During Development of MASH and in Hepatocytes In Vitro
by Feng Wang, Simon T. Hui, Frank Stappenbeck, Dorota Kaminska, Aldons J. Lusis and Farhad Parhami
Cells 2025, 14(15), 1191; https://doi.org/10.3390/cells14151191 - 2 Aug 2025
Cited by 1 | Viewed by 1824
Abstract
Background: Senescence, a state of permanent cell cycle arrest, is a complex cellular phenomenon closely affiliated with age-related diseases and pathological fibrosis. Cellular senescence is now recognized as a significant contributor to organ fibrosis, largely driven by transforming growth factor beta (TGF-β) signaling, [...] Read more.
Background: Senescence, a state of permanent cell cycle arrest, is a complex cellular phenomenon closely affiliated with age-related diseases and pathological fibrosis. Cellular senescence is now recognized as a significant contributor to organ fibrosis, largely driven by transforming growth factor beta (TGF-β) signaling, such as in metabolic dysfunction-associated steatohepatitis (MASH), idiopathic pulmonary fibrosis (IPF), chronic kidney disease (CKD), and myocardial fibrosis, which can lead to heart failure, cystic fibrosis, and fibrosis in pancreatic tumors, to name a few. MASH is a progressive inflammatory and fibrotic liver condition that has reached pandemic proportions, now considered the largest non-viral contributor to the need for liver transplantation. Methods: We previously studied Oxy210, an anti-fibrotic and anti-inflammatory, orally bioavailable, oxysterol-based drug candidate for MASH, using APOE*3-Leiden.CETP mice, a humanized hyperlipidemic mouse model that closely recapitulates the hallmarks of human MASH. In this model, treatment of mice with Oxy210 for 16 weeks caused significant amelioration of the disease, evidenced by reduced hepatic inflammation, lipid deposition, and fibrosis, atherosclerosis and adipose tissue inflammation. Results: Here we demonstrate increased hepatic expression of senescence-associated genes and senescence-associated secretory phenotype (SASP), correlated with the expression of pro-fibrotic and pro-inflammatorygenes in these mice during the development of MASH that are significantly inhibited by Oxy210. Using the HepG2 human hepatocyte cell line, we demonstrate the induced expression of senescent-associated genes and SASP by TGF-β and inhibition by Oxy210. Conclusions: These findings further support the potential therapeutic effects of Oxy210 mediated in part through inhibition of senescence-driven hepatic fibrosis and inflammation in MASH and perhaps in other senescence-associated fibrotic diseases. Full article
Show Figures

Graphical abstract

18 pages, 670 KB  
Article
Genetic Heterogeneity Correlated with Phenotypic Variability in 48 Patients with Cystic Fibrosis
by Mădălina Andreea Donos, Lăcrămioara Ionela Butnariu, Dana Teodora Anton Păduraru, Alina Mariela Murgu, Cristina Rusu, Monica Cristina Pânzaru, Roxana Popescu, Elena Țarcă, Elena Cojocaru, Gabriela Ghiga and Laura Mihaela Trandafir
J. Clin. Med. 2025, 14(15), 5362; https://doi.org/10.3390/jcm14155362 - 29 Jul 2025
Viewed by 1935
Abstract
Background/Objectives: Cystic fibrosis (CF) is a rare autosomal recessive genetic disease that has a progressive and multisystemic course. The spectrum and frequency of mutations in the gene encoding the cystic fibrosis transmembrane conductance regulator (CFTR) vary both in European countries and in [...] Read more.
Background/Objectives: Cystic fibrosis (CF) is a rare autosomal recessive genetic disease that has a progressive and multisystemic course. The spectrum and frequency of mutations in the gene encoding the cystic fibrosis transmembrane conductance regulator (CFTR) vary both in European countries and in other geographical regions. The aim of our retrospective study was to present the genetic variants identified in a group of 48 CF patients from the Moldova region (Romania), as well as to establish genotype–phenotype correlations. Methods: Genetic testing was initially performed for 38 CFTR mutations, and in heterozygous patients or those in whom no mutation was detected, CFTR gene sequencing (NGS) was performed. Results: The compound heterozygous genotype was identified in 26 (54.16%) of the patients (with one of the alleles being F508del), while 22 (45.83%) patients had the homozygous F508del genotype. The F508del variant was the most frequent (69.79%), followed by G542X (6.25%, 6/96). Several new variants were also identified that had not been reported in other studies from Romania (R1158X, K598*, R347H, c.2589_2599del, R496H, and CFTRdele2). Phenotypic manifestations in patients with CFTR class I, II, III and VII variants (homozygous and compound heterozygous) were more severe compared to those in patients with CFTR class IV, V and VI mutations, with the data obtained being consistent with those in the literature. Respiratory tract involvement was present in 77.08% of the patients, being more frequent in patients with the compound heterozygous genotype compared to the homozygous F508del genotype. Most patients had exocrine pancreatic insufficiency (EPI) (85.41%). Gastrointestinal manifestations included hepatocytolysis (66.66%) and biliary cirrhosis (0.41%). Meconium ileus was detected in 18.75% of patients, all with a compound heterozygous genotype. Conclusions: We compared the results obtained with data from the literature and correlated the detected CFTR variant (genotype) with the phenotypic manifestations, highlighting certain particularities present in some patients. Genetic testing allows for early diagnosis and adapted management, including personalized treatment for each patient. Identification of novel unclassified CFTR variants still remains a challenge for clinicians. NGS-based screening of heterozygous healthy carriers is important for both genetic counseling and prenatal diagnosis. Full article
(This article belongs to the Special Issue Cystic Fibrosis: Clinical Manifestations and Treatment)
Show Figures

Figure 1

25 pages, 1270 KB  
Review
Biofilm Formation of Pseudomonas aeruginosa in Cystic Fibrosis: Mechanisms of Persistence, Adaptation, and Pathogenesis
by Dayana Borisova, Tsvetelina Paunova-Krasteva, Tanya Strateva and Stoyanka Stoitsova
Microorganisms 2025, 13(7), 1527; https://doi.org/10.3390/microorganisms13071527 - 30 Jun 2025
Cited by 6 | Viewed by 4519
Abstract
Cystic fibrosis (CF) is a life-limiting autosomal recessive disorder affecting a large number of individuals in Europe. The disease arises from mutations in the CFTR gene encoding the cystic fibrosis transmembrane conductance regulator, a chloride ion channel crucial for maintaining epithelial ion and [...] Read more.
Cystic fibrosis (CF) is a life-limiting autosomal recessive disorder affecting a large number of individuals in Europe. The disease arises from mutations in the CFTR gene encoding the cystic fibrosis transmembrane conductance regulator, a chloride ion channel crucial for maintaining epithelial ion and fluid homeostasis. Dysfunctional CFTR disrupts mucociliary clearance, particularly in the respiratory tract, resulting in persistent bacterial colonization, chronic inflammation, and progressive pulmonary damage—ultimately leading to respiratory failure, the principal cause of mortality in CF patients. Early diagnosis and advances in therapy have substantially improved both survival and quality of life. A hallmark of CF pathology is the establishment of polymicrobial infections within the thickened airway mucus. Pseudomonas aeruginosa is the dominant pathogen in chronic CF lung infections and demonstrates a remarkable capacity for adaptation via biofilm formation, metabolic reprogramming, and immune evasion. Biofilms confer increased tolerance to antimicrobial agents and facilitate long-term persistence in hypoxic, nutrient-limited microenvironments. P. aeruginosa exhibits a wide range of virulence factors, including exotoxins (e.g., ExoU, ExoS), pigments (pyoverdine, pyochelin), and motility structures (flagella and pili), which contribute to tissue invasion, immune modulation, and host damage. During chronic colonization, P. aeruginosa undergoes significant genotypic and phenotypic changes, such as mucoid conversion, downregulation of acute virulence pathways, and emergence of hypermutator phenotypes that facilitate rapid adaptation. Persistent cells, a specialized subpopulation characterized by metabolic dormancy and antibiotic tolerance, further complicate eradication efforts. The dynamic interplay between host environment and microbial evolution underlies the heterogeneity of CF lung infections and presents significant challenges for treatment. Elucidating the molecular mechanisms driving persistence, hypermutability, and biofilm resilience is critical for the development of effective therapeutic strategies targeting chronic P. aeruginosa infections in CF. Full article
(This article belongs to the Section Biofilm)
Show Figures

Figure 1

13 pages, 490 KB  
Article
Clinical Significance of the 5T;12TG Genotype in Pediatric CFSPID: A Retrospective Study
by Ana Morales-Tirado, Enrique Blitz-Castro, Saioa Vicente-Santamaría, Carmen Luna-Paredes, Enrique Salcedo-Lobato, Ana Tabares-González, Celia Gascón-Galindo, Simon Boutry and Adelaida Lamas-Ferreiro
Children 2025, 12(6), 778; https://doi.org/10.3390/children12060778 - 14 Jun 2025
Viewed by 1155
Abstract
Background: One of the most common genetic variants among individuals with cystic fibrosis screen-positive inconclusive diagnosis (CFSPID) is 5T;12TG. Classified as having “varying clinical consequences” (VVCC), it may produce a wide spectrum of CF phenotypes when combined in trans with a pathogenic variant [...] Read more.
Background: One of the most common genetic variants among individuals with cystic fibrosis screen-positive inconclusive diagnosis (CFSPID) is 5T;12TG. Classified as having “varying clinical consequences” (VVCC), it may produce a wide spectrum of CF phenotypes when combined in trans with a pathogenic variant on the other CFTR allele, ranging from asymptomatic cases to CFTR-related disorders (CFTR-RD) or classical cystic fibrosis (CF). The 5T;12TG variant is currently eligible for modulator treatment in the United States. Methods: We conducted a retrospective analysis of CFSPID children born between July 2009 and June 2023 in the Community of Madrid (Spain) who carried at least one 5T;12TG variant in trans with another CFTR variant. Data collected included trends in sweat chloride (SC) values, respiratory and digestive symptoms, lung function by spirometry, microbiological findings in nasopharyngeal aspirates, anthropometric data, and fecal elastase levels. Results: Twenty-one children (52.3% females; median age: 4.66 years [IQR 3.6–6.9]) were included. Eighteen had 5T;12TG in trans with a CF-causing variant (CFc), two had another VVCC variant, and one had a variant of unknown significance (VUS). After a median follow-up of 3.45 years [IQR 1.4–4.3], all the children remained asymptomatic. However, SC values rose to intermediate levels in nine (42.8%) of the children. No isolates of Pseudomonas aeruginosa were identified. Lung function and pancreatic markers remained normal. Conclusions: This is the first Spanish cohort of children with CFSPID and the 5T;12TG allele. Although clinical symptoms did not manifest during childhood, the SC value increased to intermediate values in 42.8% of the cohort, so these may require long-term follow-up to observe conversions to CFTR-RD or CF. The potential initiation of modulator therapy based solely on SC levels or emerging symptoms warrants careful consideration. Full article
(This article belongs to the Section Pediatric Pulmonary and Sleep Medicine)
Show Figures

Figure 1

10 pages, 883 KB  
Case Report
Identification and Characterization of a Rare Exon 22 Duplication in CFTR in Two Families
by Simone Ahting, Constance Henn, Maike vom Hove, Vincent Strehlow, Patricia Duffek, Sophie Behrendt, Stephan Drukewitz, Jasmin Berger, Simon Y. Graeber and Julia Hentschel
Int. J. Mol. Sci. 2025, 26(10), 4487; https://doi.org/10.3390/ijms26104487 - 8 May 2025
Cited by 1 | Viewed by 1577
Abstract
Accurate genetic diagnosis is essential for appropriate treatment in cystic fibrosis (CF). Large copy number variants like duplications in the CFTR gene are rare and often classified as variants of uncertain significance (VUSs) due to unknown characteristics of the inserted material, complicating diagnosis [...] Read more.
Accurate genetic diagnosis is essential for appropriate treatment in cystic fibrosis (CF). Large copy number variants like duplications in the CFTR gene are rare and often classified as variants of uncertain significance (VUSs) due to unknown characteristics of the inserted material, complicating diagnosis and treatment decisions. We identified a previously uncharacterized exon 22 duplication (CFTRdup22) in the CFTR gene in two anamnestically unrelated people with CF, both exhibiting a mild phenotype. Initial classification as a VUS was based on standard genetic testing. We employed a custom next-generation sequencing (NGS) panel to determine the exact breakpoints of the duplication and conducted mRNA sequencing to confirm its effect on splicing. DNA and RNA analyses allowed for precise breakpoint determination, confirming that the duplication was in tandem and the reading frame remained intact. This, as well as a residual CFTRdup22 function of ~30% as measured via intestinal current measurement, is consistent with a clinically milder CF phenotype. Collectively, the precise characterization of the variants’ breakpoints, localization and orientation enabled us to reclassify the variant as likely pathogenic. This study highlights the importance of advanced genetic techniques, such as NGS and breakpoint analysis, in accurately identifying CF-causing variants. It underscores the importance of a comprehensive approach and persistence when suspecting a specific genetic condition. This can aid in reclassifying VUSs, providing a definitive diagnosis for the affected family and enabling appropriate therapeutic interventions, including the use of CFTR modulators. Full article
(This article belongs to the Special Issue Genomic Variation and Epidemiology of Cystic Fibrosis)
Show Figures

Figure 1

18 pages, 1422 KB  
Review
Clinical Disorders in Cystic Fibrosis That Affect Emergency Procedures—A Case Report and Review
by Sylwia Jarzynka, Mateusz Dobrosz, Sebastian Jaworski, Kamil Jóźwicki, Sebastian Wierzba, Olga Barbarska and Anna Minkiewicz-Zochniak
J. Clin. Med. 2025, 14(9), 3187; https://doi.org/10.3390/jcm14093187 - 5 May 2025
Viewed by 3018
Abstract
Cystic fibrosis (CF) is a multisystemic disease caused by a genetic defect, namely a mutation in the CFTR gene, that results in the production of an abnormal protein that regulates the flow of chloride ions through epithelial cells, leading to the dehydration of [...] Read more.
Cystic fibrosis (CF) is a multisystemic disease caused by a genetic defect, namely a mutation in the CFTR gene, that results in the production of an abnormal protein that regulates the flow of chloride ions through epithelial cells, leading to the dehydration of secreted mucus and changes in its biological properties. Chronic inflammation and recurrent respiratory infections progressively damage lung tissue, leading to respiratory and cardiorespiratory failure. This study aims to present a clinical case and explore the clinical changes in CF that may influence the provision of pre-hospital first aid. The study presents a case report of a 23-year-old CF patient undergoing evaluation for lung transplantation, infected with Pseudomonas aeruginosa and Staphylococcus aureus with the MSSA phenotype, and in a severe condition due to infectious exacerbation. Despite antibiotic treatment, the patient’s condition deteriorated, leading to respiratory failure and cardiac arrest. Emergency measures were taken to maintain airway patency—the patient was sedated, intubated, and connected to a ventilator. CF involves systemic complications that, during exacerbations, may require urgent interventions. Cystic fibrosis is associated with multiple systemic complications, some of which may, during exacerbations, require emergency medical interventions. Providing care to this patient group involves specific procedures addressing the consequences of the underlying disease. Due to increasing survival rates and the emergence of new phenotypes, there is a need for the continuous education of medical personnel, including emergency responders, regarding the management of genetically determined diseases. This study underscores the importance of recognizing CF’s complex nature and adapting emergency care accordingly to ensure timely and effective intervention in life-threatening situations. Full article
(This article belongs to the Special Issue Cystic Fibrosis: Diagnosis and Treatment)
Show Figures

Graphical abstract

25 pages, 1368 KB  
Article
Mutational Analysis of Colistin-Resistant Pseudomonas aeruginosa Isolates: From Genomic Background to Antibiotic Resistance
by Telma De Sousa, Hsin-Yao Wang, Ting-Wei Lin, Manuela Caniça, Miguel J. N. Ramos, Daniela Santos, Catarina Silva, Sónia Saraiva, Racha Beyrouthy, Richard Bonnet, Michel Hébraud, Gilberto Igrejas and Patrícia Poeta
Pathogens 2025, 14(4), 387; https://doi.org/10.3390/pathogens14040387 - 15 Apr 2025
Cited by 1 | Viewed by 1908
Abstract
This study analyzed eleven isolates of colistin-resistant Pseudomonas aeruginosa, originating from Portugal and Taiwan, which are associated with various pathologies. The results revealed significant genetic diversity among the isolates, with each exhibiting a distinct genetic profile. A prevalence of sequence type ST235 [...] Read more.
This study analyzed eleven isolates of colistin-resistant Pseudomonas aeruginosa, originating from Portugal and Taiwan, which are associated with various pathologies. The results revealed significant genetic diversity among the isolates, with each exhibiting a distinct genetic profile. A prevalence of sequence type ST235 was observed, characterizing it as a high-risk clone, and serotyping indicated a predominance of type O11, associated with chronic respiratory infections in cystic fibrosis (CF) patients. The phylogenetic analysis demonstrated genetic diversity among the isolates, with distinct clades and complex evolutionary relationships. Additionally, transposable elements such as Tn3 and IS6 were identified in all isolates, highlighting their importance in the mobility of antibiotic resistance genes. An analysis of antimicrobial resistance profiles revealed pan-drug resistance in all isolates, with a high prevalence of genes conferring resistance to β-lactams and aminoglycosides. Furthermore, additional analyses revealed mutations in regulatory networks and specific loci previously implicated in colistin resistance, such as pmrA, cprS, phoO, and others, suggesting a possible contribution to the observed resistant phenotype. This study has a strong impact because it not only reveals the genetic diversity and resistance mechanisms in P. aeruginosa but also identifies mutations in regulatory genes associated with colistin resistance. Full article
(This article belongs to the Special Issue Bacterial Resistance and Novel Therapeutic Approaches)
Show Figures

Figure 1

26 pages, 8493 KB  
Article
Diversification of Pseudomonas aeruginosa After Inhaled Tobramycin Therapy of Cystic Fibrosis Patients: Genotypic and Phenotypic Characteristics of Paired Pre- and Post-Treatment Isolates
by Dayana Borisova, Tanya Strateva, Svetoslav G. Dimov, Borjana Atanassova, Tsvetelina Paunova-Krasteva, Tanya Topouzova-Hristova, Svetla T. Danova, Rositsa Tropcheva and Stoyanka Stoitsova
Microorganisms 2025, 13(4), 730; https://doi.org/10.3390/microorganisms13040730 - 24 Mar 2025
Cited by 3 | Viewed by 1495
Abstract
This study examines the impact of inhaled tobramycin therapy on the within-host changes in P. aeruginosa strains isolated from Bulgarian patients with CF prior to and post treatment. Genotypic comparison by RAPD-PCR indicated that most of the pre-treatment isolates had a high similarity [...] Read more.
This study examines the impact of inhaled tobramycin therapy on the within-host changes in P. aeruginosa strains isolated from Bulgarian patients with CF prior to and post treatment. Genotypic comparison by RAPD-PCR indicated that most of the pre-treatment isolates had a high similarity and were genetically comparatively close to strains from other countries with known increased morbidity or treatment requirements. Most of the post-treatment isolates were, however, genetically distant from their pre-treatment counterparts, showing genotypic diversification after the treatment. Phenotypic comparisons showed a lower ODmax reached during groswth and an increased lag-time in the post-treatment isolates. All strains were capable of invasion and intracellular reproduction within A549 cultured cells. The addition of sub-inhibitory amounts (1/4 or 1/2 MIC) of tobramycin during growth showed the higher relative fitness (as a percentage of the untreated control) of the post-treatment strains. The effects of sub-MICs on biofilm growth did not show such a pronounced trend. However, when a resazurin-based viability test was applied, the advantage of the post-treatment strains was confirmed for both broth and biofilm cultures. In spite of that, according to the determined MIC values, all isolates were tobramycin-sensitive, and the data from this study imply the development of tolerance to the antibiotic in the strains that survived the treatment. Full article
(This article belongs to the Collection Feature Papers in Medical Microbiology)
Show Figures

Figure 1

13 pages, 538 KB  
Article
Resistance of Pseudomonas aeruginosa to Antibiotics During Long-Term Persistence in Patients with Cystic Fibrosis
by Natalia Belkova, Uliana Nemchenko, Elizaveta Klimenko, Nadezhda Smurova, Raisa Zugeeva, Marina Sukhoreva, Viacheslav Sinkov and Evgenij Savilov
Antibiotics 2025, 14(3), 302; https://doi.org/10.3390/antibiotics14030302 - 14 Mar 2025
Cited by 1 | Viewed by 2793
Abstract
Pseudomonas aeruginosa is one of the leading causes of nosocomial respiratory tract infections, significantly affecting morbidity and mortality. It can persist in the lungs of patients with cystic fibrosis (CF) for extended periods because of its adaptive capacity. The main aim of this [...] Read more.
Pseudomonas aeruginosa is one of the leading causes of nosocomial respiratory tract infections, significantly affecting morbidity and mortality. It can persist in the lungs of patients with cystic fibrosis (CF) for extended periods because of its adaptive capacity. The main aim of this study was to determine the phenotypic and genotypic resistance to antibiotics of clinical isolates of P. aeruginosa that persist in patients with CF receiving long-term antimicrobial therapy. The study included nine strains of P. aeruginosa isolated from the sputum of patients with CF admitted to the hospital. Susceptibility to antibiotics was determined using the European Committee on Antimicrobial Susceptibility Testing (EUCAST) criteria. Whole-genome sequencing was performed for phylogeny, sequence typing, and to identify antibiotic-resistant genes. The study showed that during long-term persistence in the lungs of patients receiving antibacterial therapy, the restoration of susceptibility to antibiotics occurred in some cases. Multilocus sequence typing and phylogeny revealed six sequence types. Functional annotation identified 72 genes responsible for resistance to antibacterial and chemical substances, with either chromosomal or plasmid localisation. Full article
Show Figures

Figure 1

28 pages, 458 KB  
Review
Aspergillus in Children and Young People with Cystic Fibrosis: A Narrative Review
by Emily Chesshyre, Eva Wooding, Emily Sey and Adilia Warris
J. Fungi 2025, 11(3), 210; https://doi.org/10.3390/jof11030210 - 9 Mar 2025
Cited by 2 | Viewed by 2560
Abstract
Cystic fibrosis is a severe, inherited, life-limiting disorder, and over half of those living with CF are children. Persistent airway infection and inflammation, resulting in progressive lung function decline, is the hallmark of this disorder. Aspergillus colonization and infection is a well-known complication [...] Read more.
Cystic fibrosis is a severe, inherited, life-limiting disorder, and over half of those living with CF are children. Persistent airway infection and inflammation, resulting in progressive lung function decline, is the hallmark of this disorder. Aspergillus colonization and infection is a well-known complication in people with CF and can evolve in a range of Aspergillus disease phenotypes, including Aspergillus bronchitis, fungal sensitization, and allergic bronchopulmonary aspergillosis (ABPA). Management strategies for children with CF are primarily aimed at preventing lung damage and lung function decline caused by bacterial infections. The role of Aspergillus infections is less understood, especially during childhood, and therefore evidence-based diagnostic and treatment guidelines are lacking. This narrative review summarizes our current understanding of the impact of Aspergillus on the airways of children and young people with CF. Full article
(This article belongs to the Special Issue Fungal Infections in Non-neutropenic Patients)
15 pages, 3539 KB  
Article
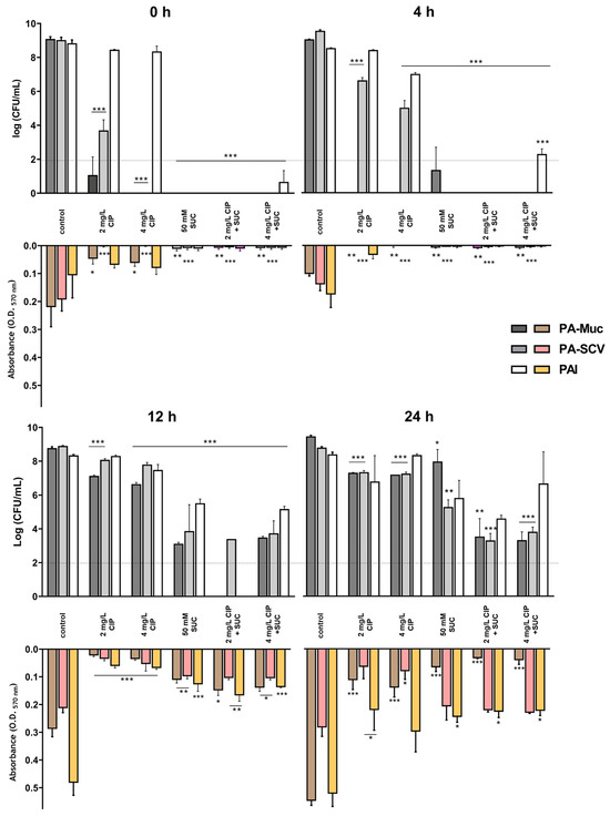
Mechanistic Insights into Succinic Acid as an Adjuvant for Ciprofloxacin in Treating Pseudomonas aeruginosa Growing Within Cystic Fibrosis Airway Mucus
by Rosana Monteiro, Eduarda Silva, Maria Olivia Pereira and Ana Margarida Sousa
Microorganisms 2024, 12(12), 2538; https://doi.org/10.3390/microorganisms12122538 - 9 Dec 2024
Viewed by 2455
Abstract
Pseudomonas aeruginosa is a major cause of chronic respiratory infections in patients with cystic fibrosis (CF), with biofilm formation contributing to its persistence and antibiotic resistance. This study aimed to gain insights into the mechanistic action of succinic acid as a ciprofloxacin adjuvant [...] Read more.
Pseudomonas aeruginosa is a major cause of chronic respiratory infections in patients with cystic fibrosis (CF), with biofilm formation contributing to its persistence and antibiotic resistance. This study aimed to gain insights into the mechanistic action of succinic acid as a ciprofloxacin adjuvant against clinically relevant CF isolates, including small colony variants and mucoid strains, and a ciprofloxacin-resistant strain grown within CF dense mucus. Time-kill assays in artificial CF mucus, along with planktonic and surface-attached biofilm experiments, were used to assess the activity of succinic acid alone and in combination with sublethal ciprofloxacin concentrations. Succinic acid demonstrated an adjuvant effect of ciprofloxacin against P. aeruginosa grown within CF mucus at pH levels below pKa1 during the early bacterial growth stages. In examining planktonic growth and biofilms under these conditions, we found that succinic acid demonstrated strong antibacterial and antibiofilm properties. Conversely, succinic acid activity decreased at later growth stages, though it enhanced the ciprofloxacin effect, especially against mucoid biofilms. Moreover, we noted that, in dense CF mucus, succinic acid activity was attenuated compared to a non-CF environment, indicating diffusion challenges. These findings underscore the potential of succinic acid as a therapeutic adjuvant for improving antibiotic treatment outcomes and overcoming biofilm-associated resistance in CF. Full article
(This article belongs to the Section Biofilm)
Show Figures

Figure 1

Back to TopTop