Sign in to use this feature.

Years

Between: -

Subjects

remove_circle_outline
remove_circle_outline
remove_circle_outline
remove_circle_outline
remove_circle_outline
remove_circle_outline

Journals

Article Types

Countries / Regions

Search Results (30)

Search Parameters:
Keywords = cross-plane thermal conductivity

Order results
Result details
Results per page
Select all
Export citation of selected articles as:
11 pages, 860 KB  
Article
Nearly Perfect Crystal Orientation of Nanocrystalline Bismuth Telluride Thin Films Deposited by Pressure-Gradient Sputtering and Their Thermal Transport Properties
by Tetsuya Takizawa, Keisuke Kaneko, Yoshiyuki Shinozaki, Takumi Kaneko, Hiroshi Murotani and Masayuki Takashiri
Coatings 2025, 15(11), 1234; https://doi.org/10.3390/coatings15111234 - 22 Oct 2025
Cited by 1 | Viewed by 693
Abstract
Bismuth telluride (Bi2Te3) is a thermoelectric material that exhibits excellent thermoelectric properties primarily because of its low thermal conductivity. The ideal structure of Bi2Te3 contains nanocrystals with a high crystal orientation. However, achieving both nanocrystallization and [...] Read more.
Bismuth telluride (Bi2Te3) is a thermoelectric material that exhibits excellent thermoelectric properties primarily because of its low thermal conductivity. The ideal structure of Bi2Te3 contains nanocrystals with a high crystal orientation. However, achieving both nanocrystallization and a high crystal orientation is challenging. Furthermore, experimental analyses of thermal transport properties, namely the sound velocity, lattice thermal conductivity, and phonon mean free path (MFP) are limited. In this study, Bi2Te3 thin films were deposited using pressure-gradient sputtering (PGS), and their thermal transport properties were determined. These films exhibited a crystallite size of 23.0 nm and an F value of 0.97, indicating a nearly perfect crystal orientation. The average sound velocity of 2046 m/s, in-plane lattice thermal conductivity of 0.66 W/(m·K), and phonon MFP of 0.37 nm were determined using nanoindentation, the 3ω method, and a combination of both of these methods, respectively. The dimensionless figures of merit of the Bi2Te3 thin films were 1.3 × 10−1 and 1.0 × 10−1 in the in-plane and cross-plane directions, respectively. The PGS system is useful for the fabrication of high quality thermoelectric materials, and the analysis method that combines the 3ω method and nanoindentation provides a detailed estimation of their thermal transport properties. Full article
(This article belongs to the Collection Feature Paper Collection in Thin Films)
Show Figures

Figure 1

17 pages, 4199 KB  
Article
Investigation on Optimization of Finite Element Model for Stress Analysis of 12Cr1MoV Main Steam Pipeline Elbow
by Shutao Wang, Renqiang Shi, Jian Wu, Chao Yang and Huan Liu
Crystals 2025, 15(3), 207; https://doi.org/10.3390/cryst15030207 - 22 Feb 2025
Viewed by 1146
Abstract
Stress analysis is of great significance for components in thermal power plants, and an inaccurate model could cause inaccuracy in the life assessment of the plant. During the manufacturing process of elbows, issues such as cross-sectional elliptical deformation and uneven wall thickness frequently [...] Read more.
Stress analysis is of great significance for components in thermal power plants, and an inaccurate model could cause inaccuracy in the life assessment of the plant. During the manufacturing process of elbows, issues such as cross-sectional elliptical deformation and uneven wall thickness frequently occur. However, existing studies have not thoroughly investigated these phenomena. In this study, a modified finite element model based on the dimension of an actual elbow was established for stress analysis and compared with that of the ideal uniform model. Subsequently, microstructure characterization and mechanical property tests were conducted on the elbow to validate both models. The stress concentration area in the corrected model has shifted from the inner arc region of the ideal model to the inner wall of the neutral plane region. Both optical microscopy and SEM results indicate that microstructural degradation in the neutral plane region is more pronounced, characterized by non-uniform grains, coarse carbides, and creep cavities. The hardness values of the inner wall in the neutral plane area are significantly lower than that in the inner arc area, and the tensile sample in the neutral plane area fractures rapidly after yielding, exhibiting poorer toughness compared to the samples in the inner arc area. Moreover, the creep resistance in the neutral plane area is much lower than that in the inner arc area. By integrating finite element simulation with experimental validation, the accuracy of the corrected finite element model presented in this paper has been confirmed, providing valuable theoretical and experimental guidance for the life assessment of elbows in thermal power plants. Full article
Show Figures

Figure 1

18 pages, 7290 KB  
Review
Photothermal Infrared Radiometry and Thermoreflectance—Unique Strategy for Thermal Transport Characterization of Nanolayers
by Ankur Chatterjee, Mohanachandran Nair Sindhu Swapna, Ameneh Mikaeeli, Misha Khalid, Dorota Korte, Andreas D. Wieck and Michal Pawlak
Nanomaterials 2024, 14(21), 1711; https://doi.org/10.3390/nano14211711 - 27 Oct 2024
Cited by 1 | Viewed by 2205
Abstract
Thermal transport properties for the isotropic and anisotropic characterization of nanolayers have been a significant gap in the research over the last decade. Multiple studies have been close to determining the thermal conductivity, diffusivity, and boundary resistance between the layers. The methods detailed [...] Read more.
Thermal transport properties for the isotropic and anisotropic characterization of nanolayers have been a significant gap in the research over the last decade. Multiple studies have been close to determining the thermal conductivity, diffusivity, and boundary resistance between the layers. The methods detailed in this work involve non-contact frequency domain pump-probe thermoreflectance (FDTR) and photothermal radiometry (PTR) methods for the ultraprecise determination of in-plane and cross-plane thermal transport properties. The motivation of one of the works is the advantage of the use of amplitude (TR signal) as one of the input parameters along with the phase for the determination of thermal parameters. In this article, we present a unique strategy for measuring the thermal transport parameters of thin films, including cross-plane thermal diffusivity, in-plane thermal conductivity, and thermal boundary resistance as a comprehensively reviewed article. The results obtained for organic and inorganic thin films are presented. Precise ranges for the thermal conductivity can be across confidence intervals for material measurements between 0.5 and 60 W/m-K for multiple nanolayers. The presented strategy is based on frequency-resolved methods, which, in contrast to time-resolved methods, make it possible to measure volumetric-specific heat. It is worth adding that the presented strategy allows for accurate (the signal in both methods depends on cross-plane thermal conductivity and thermal boundary resistance) and precise measurement. Full article
Show Figures

Figure 1

25 pages, 2762 KB  
Article
Impact of Acoustic and Optical Phonons on the Anisotropic Heat Conduction in Novel C-Based Superlattices
by Devki N. Talwar and Piotr Becla
Materials 2024, 17(19), 4894; https://doi.org/10.3390/ma17194894 - 5 Oct 2024
Viewed by 2152
Abstract
C-based XC binary materials and their (XC)m/(YC)n (X, Y ≡ Si, Ge and Sn) superlattices (SLs) have recently gained considerable interest as valuable alternatives to Si for designing and/or exploiting nanostructured electronic devices (NEDs) in the growing high-power application needs. [...] Read more.
C-based XC binary materials and their (XC)m/(YC)n (X, Y ≡ Si, Ge and Sn) superlattices (SLs) have recently gained considerable interest as valuable alternatives to Si for designing and/or exploiting nanostructured electronic devices (NEDs) in the growing high-power application needs. In commercial NEDs, heat dissipation and thermal management have been and still are crucial issues. The concept of phonon engineering is important for manipulating thermal transport in low-dimensional heterostructures to study their lattice dynamical features. By adopting a realistic rigid-ion-model, we reported results of phonon dispersions ωjSLk of novel shortperiod XCm/(YC)n001 SLs, for m, n = 2, 3, 4 by varying phonon wavevectors kSL along the growth k|| ([001]), and in-plane k ([100], [010]) directions. The SL phonon dispersions displayed flattening of modes, especially at high-symmetry critical points Γ, Z and M. Miniband formation and anti-crossings in ωjSLk lead to the reduction in phonon conductivity κz along the growth direction by an order of magnitude relative to the bulk materials. Due to zone-folding effects, the in-plane phonons in SLs exhibited a strong mixture of XC-like and YC-like low-energy ωTA, ωLA modes with the emergence of stop bands at certain kSL. For thermal transport applications, the results demonstrate modifications in thermal conductivities via changes in group velocities, specific heat, and density of states. Full article
Show Figures

Figure 1

26 pages, 8570 KB  
Review
Polymeric Nanocomposites of Boron Nitride Nanosheets for Enhanced Directional or Isotropic Thermal Transport Performance
by Buta Singh, Jinchen Han, Mohammed J. Meziani, Li Cao, Subhadra Yerra, Jordan Collins, Simran Dumra and Ya-Ping Sun
Nanomaterials 2024, 14(15), 1259; https://doi.org/10.3390/nano14151259 - 27 Jul 2024
Cited by 6 | Viewed by 5063
Abstract
Polymeric composites with boron nitride nanosheets (BNNs), which are thermally conductive yet electrically insulating, have been pursued for a variety of technological applications, especially those for thermal management in electronic devices and systems. Highlighted in this review are recent advances in the effort [...] Read more.
Polymeric composites with boron nitride nanosheets (BNNs), which are thermally conductive yet electrically insulating, have been pursued for a variety of technological applications, especially those for thermal management in electronic devices and systems. Highlighted in this review are recent advances in the effort to improve in-plane thermal transport performance in polymer/BNNs composites and also the growing research activities aimed at composites of enhanced cross-plane or isotropic thermal conductivity, for which various filler alignment strategies during composite fabrication have been explored. Also highlighted and discussed are some significant challenges and major opportunities for further advances in the development of thermally conductive composite materials and their mechanistic understandings. Full article
(This article belongs to the Special Issue Functional Nanocomposites: From Strategic Design to Applications)
Show Figures

Figure 1

18 pages, 4258 KB  
Article
Thermalization of Mesh Reinforced Ultra-Thin Al-Coated Plastic Films: A Parametric Study Applied to the Athena X-IFU Instrument
by Nicola Montinaro, Luisa Sciortino, Fabio D’Anca, Ugo Lo Cicero, Enrico Bozzo, Stéphane Paltani, Michela Todaro and Marco Barbera
Sensors 2024, 24(7), 2360; https://doi.org/10.3390/s24072360 - 8 Apr 2024
Cited by 2 | Viewed by 1604
Abstract
The X-ray Integral Field Unit (X-IFU) is one of the two focal plane detectors of Athena, a large-class high energy astrophysics space mission approved by ESA in the Cosmic Vision 2015–2025 Science Program. The X-IFU consists of a large array of transition edge [...] Read more.
The X-ray Integral Field Unit (X-IFU) is one of the two focal plane detectors of Athena, a large-class high energy astrophysics space mission approved by ESA in the Cosmic Vision 2015–2025 Science Program. The X-IFU consists of a large array of transition edge sensor micro-calorimeters that operate at ~100 mK inside a sophisticated cryostat. To prevent molecular contamination and to minimize photon shot noise on the sensitive X-IFU cryogenic detector array, a set of thermal filters (THFs) operating at different temperatures are needed. Since contamination already occurs below 300 K, the outer and more exposed THF must be kept at a higher temperature. To meet the low energy effective area requirements, the THFs are to be made of a thin polyimide film (45 nm) coated in aluminum (30 nm) and supported by a metallic mesh. Due to the small thickness and the low thermal conductance of the material, the membranes are prone to developing a radial temperature gradient due to radiative coupling with the environment. Considering the fragility of the membrane and the high reflectivity in IR energy domain, temperature measurements are difficult. In this work, a parametric numerical study is performed to retrieve the radial temperature profile of the larger and outer THF of the Athena X-IFU using a Finite Element Model approach. The effects on the radial temperature profile of different design parameters and boundary conditions are considered: (i) the mesh design and material, (ii) the plating material, (iii) the addition of a thick Y-cross applied over the mesh, (iv) an active heating heat flux injected on the center and (v) a Joule heating of the mesh. The outcomes of this study have guided the choice of the baseline strategy for the heating of the Athena X-IFU THFs, fulfilling the stringent thermal specifications of the instrument. Full article
Show Figures

Figure 1

15 pages, 3936 KB  
Article
Magnetism and Thermal Transport of Exchange-Spring-Coupled La2/3Sr1/3MnO3/La2MnCoO6 Superlattices with Perpendicular Magnetic Anisotropy
by Vitaly Bruchmann-Bamberg, Isabell Weimer, Vladimir Roddatis, Ulrich Ross, Leonard Schüler, Karen P. Stroh and Vasily Moshnyaga
Nanomaterials 2023, 13(21), 2897; https://doi.org/10.3390/nano13212897 - 3 Nov 2023
Cited by 2 | Viewed by 1895
Abstract
Superlattices (SLs) comprising layers of a soft ferromagnetic metal La2/3Sr1/3MnO3 (LSMO) with in-plane (IP) magnetic easy axis and a hard ferromagnetic insulator La2MnCoO6 (LMCO, out-of-plane anisotropy) were grown on SrTiO3 (100)(STO) substrates by a [...] Read more.
Superlattices (SLs) comprising layers of a soft ferromagnetic metal La2/3Sr1/3MnO3 (LSMO) with in-plane (IP) magnetic easy axis and a hard ferromagnetic insulator La2MnCoO6 (LMCO, out-of-plane anisotropy) were grown on SrTiO3 (100)(STO) substrates by a metalorganic aerosol deposition technique. Exchange spring magnetic (ESM) behavior between LSMO and LMCO, manifested by a spin reorientation transition of the LSMO layers towards perpendicular magnetic anisotropy below TSR = 260 K, was observed. Further, 3ω measurements of the [(LMCO)9/(LSMO)9]11/STO(100) superlattices revealed extremely low values of the cross-plane thermal conductivity κ(300 K) = 0.32 Wm−1K−1. Additionally, the thermal conductivity shows a peculiar dependence on the applied IP magnetic field, either decreasing or increasing in accordance with the magnetic disorder induced by ESM. Furthermore, both positive and negative magnetoresistance were observed in the SL in the respective temperature regions due to the formation of 90°-Néel domain walls within the ESM, when applying IP magnetic fields. The results are discussed in the framework of electronic contribution to thermal conductivity originating from the LSMO layers. Full article
(This article belongs to the Topic Advances in Functional Thin Films)
Show Figures

Figure 1

16 pages, 2388 KB  
Article
A Molecular Dynamics Simulation Study of In- and Cross-Plane Thermal Conductivity of Bilayer Graphene
by Rafat Mohammadi, Mohammad Reza Ghaderi and Ebrahim Hajian
Materials 2023, 16(20), 6714; https://doi.org/10.3390/ma16206714 - 16 Oct 2023
Cited by 4 | Viewed by 3531
Abstract
Efficient thermal management of modern electronics requires the use of thin films with highly anisotropic thermal conductivity. Such films enable the effective dissipation of excess heat along one direction while simultaneously providing thermal insulation along the perpendicular direction. This study employs non-equilibrium molecular [...] Read more.
Efficient thermal management of modern electronics requires the use of thin films with highly anisotropic thermal conductivity. Such films enable the effective dissipation of excess heat along one direction while simultaneously providing thermal insulation along the perpendicular direction. This study employs non-equilibrium molecular dynamics to investigate the thermal conductivity of bilayer graphene (BLG) sheets, examining both in-plane and cross-plane thermal conductivities. The in-plane thermal conductivity of 10 nm × 10 nm BLG with zigzag and armchair edges at room temperature is found to be around 204 W/m·K and 124 W/m·K, respectively. The in-plane thermal conductivity of BLG increases with sheet length. BLG with zigzag edges consistently exhibits 30–40% higher thermal conductivity than BLG with armchair edges. In addition, increasing temperature from 300 K to 600 K decreases the in-plane thermal conductivity of a 10 nm × 10 nm zigzag BLG by about 34%. Similarly, the application of a 12.5% tensile strain induces a 51% reduction in its thermal conductivity compared to the strain-free values. Armchair configurations exhibit similar responses to variations in temperature and strain, but with less sensitivity. Furthermore, the cross-plane thermal conductivity of BLG at 300 K is estimated to be 0.05 W/m·K, significantly lower than the in-plane results. The cross-plane thermal conductance of BLG decreases with increasing temperatures, specifically, at 600 K, its value is almost 16% of that observed at 300 K. Full article
(This article belongs to the Special Issue Advanced 2D Nanomaterials: Characterization and Application)
Show Figures

Figure 1

46 pages, 11831 KB  
Article
Assessing the Effect of Air Intrusion on Reflective Insulations Performance with Horizontal Heat Flow
by Hamed H. Saber and David W. Yarbrough
Buildings 2023, 13(10), 2461; https://doi.org/10.3390/buildings13102461 - 27 Sep 2023
Cited by 6 | Viewed by 2447
Abstract
The determination of thermal resistances (R-values) for enclosed airspaces, including those with one or more low-emittance surfaces, has advanced from one-dimensional heat transfer between large parallel planes to multi-dimensional heat flow in a wide variety of physical configurations. The key elements in this [...] Read more.
The determination of thermal resistances (R-values) for enclosed airspaces, including those with one or more low-emittance surfaces, has advanced from one-dimensional heat transfer between large parallel planes to multi-dimensional heat flow in a wide variety of physical configurations. The key elements in this advancement, however, are the evaluation of the heat flow due to conduction-convection and the solution for radiation that includes all surfaces bounding the region of interest. The model used in this study has been validated against several sets of laboratory test data, including the data from the U.S. National Bureau of Standards for the thermal resistance of airspaces, which has been the basis for handbook values for reflective airspaces for five decades. In addition, this model has been previously used to determine the reductions in the R-values of reflective insulations assemblies due to imperfect installations and internal defects in multilayer reflective systems with cross-airflow between the layers. In this study, the model is used to examine the impact on R-value of air intrusion of different air changes per hour (ACH) at various exterior air temperatures into reflective insulation assemblies with a range of effective emittance from 0 to 0.82. Two cases are considered in this study. In the first case, called “infiltration”, exterior air enters the assembly through an opening located in the hot side of the assembly and exits through another opening located in the cold side of the assembly. In the second case, called “wind washing”, the exterior air enters the assembly through an opening located in the hot side of the assembly and exits through another opening located in the same side of the assembly. To quantify the reductions in the R-values due to infiltration and wind washing conditions, a reference case is included in this study for the case in which no air intrusion occurs in the reflective insulation assemblies. Finally, consideration is given to investigating the effect of the aspect ratio on the R-values of reflective insulation assemblies without air intrusion and with air intrusion of different ACH at various exterior air temperatures. The results show that the aspect ratio has a significant impact on the R-value of reflective insulation assemblies with and without air intrusion. Additionally, the results show that the impact of infiltration and wind washing on R-values of reflective insulation assemblies increase as the difference between the exterior air temperature and the undisturbed temperature of the cavity increases. Full article
(This article belongs to the Section Building Energy, Physics, Environment, and Systems)
Show Figures

Figure 1

18 pages, 11083 KB  
Article
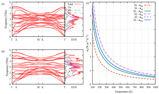
Electronic and Transport Properties of Strained and Unstrained Ge2Sb2Te5: A DFT Investigation
by Jing Tian, Weiliang Ma, Pascal Boulet and Marie-Christine Record
Materials 2023, 16(14), 5015; https://doi.org/10.3390/ma16145015 - 15 Jul 2023
Cited by 4 | Viewed by 1788
Abstract
In recent years, layered chalcogenides have attracted interest for their appealing thermoelectric properties. We investigated the Ge2Sb2Te5 compound in two different stacking sequences, named stacking 1 (S1) and stacking 2 (S2), wherein the Ge and Sb atomic positions [...] Read more.
In recent years, layered chalcogenides have attracted interest for their appealing thermoelectric properties. We investigated the Ge2Sb2Te5 compound in two different stacking sequences, named stacking 1 (S1) and stacking 2 (S2), wherein the Ge and Sb atomic positions can be interchanged in the structure. The compound unit cell, comprising nine atoms, is made of two layers separated by a gap. We show, using the quantum theory of atoms in molecules, that the bonding across the layers has characteristics of transit region bonding, though with a close resemblance to closed-shell bonding. Both S1 and S2 are shown to bear a similar small gap. The full determination of their thermoelectric properties, including the Seebeck coefficient, electrical conductivity and electronic and lattice thermal conductivities, was carried out by solving the Boltzmann transport equation. We show that stacking 1 exhibits a larger Seebeck coefficient and smaller electrical conductivity than stacking 2, which is related to their small electronic gap difference, and that S1 is more suitable for thermoelectric application than S2. Moreover, under certain conditions of temperature and doping level, it could be possible to use S1-Ge2Sb2Te5 as both a p and n leg in a thermoelectric converter. Under biaxial, tensile and compressive strains, we observe that the thermoelectric properties are improved for both S1 and S2. Furthermore, the increase in the power factor of S1 in the cross-plane direction, namely perpendicular to the gap between the layers, shows that strains can counteract the electronic transport hindrance due to the gap. Full article
Show Figures

Figure 1

15 pages, 2526 KB  
Article
Thermal Conductivity of Polyvinylidene Fluoride Films with a Multi-Scale Framework
by Qin Wang, Shixin Liu, Hong Guo, Boyang Hu, Yi Li, Jixiao Wang and Baoan Li
Polymers 2023, 15(10), 2331; https://doi.org/10.3390/polym15102331 - 16 May 2023
Cited by 2 | Viewed by 2520
Abstract
The orientation of amorphous regions in pure polymers has been noted to be critical to the enhancement of thermal conductivity (TC), but the available reports are still rather few. Here, we propose to prepare a polyvinylidene fluoride (PVDF) film with a multi-scale framework [...] Read more.
The orientation of amorphous regions in pure polymers has been noted to be critical to the enhancement of thermal conductivity (TC), but the available reports are still rather few. Here, we propose to prepare a polyvinylidene fluoride (PVDF) film with a multi-scale framework by introducing anisotropic amorphous nanophases in the form of cross-planar alignments among the in-planar oriented extended-chain crystals (ECCs) lamellae, which show an enhanced TC of 1.99 Wm1 K1 in the through-plane direction (K) and 4.35 Wm1 K1 in the in-plane direction (K). Structural characterization determination using scanning electron microscopy and high-resolution synchrotron X-ray scattering showed that shrinking the dimension of the amorphous nanophases can effectively reduce entanglement and lead to alignments formation. Moreover, the thermal anisotropy of the amorphous region is quantitatively discussed with the aid of the two-phase model. Superior thermal dissipation performances are intuitively displayed by means of finite element numerical analysis and heat exchanger applications. Moreover, such unique multi-scale architecture also results in significant benefit in the improvement of dimensional stability and thermal stability. This paper provides a reasonable solution for fabricating inexpensive thermal conducting polymer films from the perspective of practical applications. Full article
(This article belongs to the Section Polymer Membranes and Films)
Show Figures

Figure 1

13 pages, 5066 KB  
Article
Thermal Characterisation of Automotive-Sized Lithium-Ion Pouch Cells Using Thermal Impedance Spectroscopy
by Dominik Droese and Julia Kowal
Appl. Sci. 2023, 13(5), 2870; https://doi.org/10.3390/app13052870 - 23 Feb 2023
Cited by 8 | Viewed by 4095
Abstract
This study used thermal impedance spectroscopy to measure a 46 Ah high-power lithium-ion pouch cell, introducing a testing setup for automotive-sized cells to extract the relevant thermal parameters, reducing the time for thermal characterisation in the complete operational range. The results are validated [...] Read more.
This study used thermal impedance spectroscopy to measure a 46 Ah high-power lithium-ion pouch cell, introducing a testing setup for automotive-sized cells to extract the relevant thermal parameters, reducing the time for thermal characterisation in the complete operational range. The results are validated by measuring the heat capacity using an easy-to-implement calorimetric measurement method. For the investigated cell at 50% state of charge and an ambient temperature of 25 °C, values for the specific heat capacity of 1.25 J/(gK) and the cross-plane thermal conductivity of 0.47 W/(mK) are obtained. For further understanding, the values were measured at different states of charge and at different ambient temperatures, showing a notable dependency only on the thermal conductivity from the temperature of −0.37%/K. Also, a comparison of the cell with a similar-sized 60 Ah high-energy cell is investigated, comparing the influence of the cell structure to the thermal behaviour of commercial cells. This observation shows about 15% higher values in heat capacity and cross-plane thermal conductivity for the high-energy cell. Consequently, the presented setup is a straightforward implementation to accurately obtain the required model parameters, which could be used prospectively for module characterisation and investigating thermal propagation through the cells. Full article
(This article belongs to the Special Issue Advances in Lithium-Ion Automobile Batteries)
Show Figures

Figure 1

12 pages, 2829 KB  
Article
Web Wrinkle Defects due to Temperature Profile in Roll-to-Roll Manufacturing Systems
by Jaehyun Noh, Minho Jo, Hojin Jeon, Minjae Kim, Jeongdai Jo and Changwoo Lee
Polymers 2023, 15(2), 457; https://doi.org/10.3390/polym15020457 - 15 Jan 2023
Cited by 13 | Viewed by 5639
Abstract
The roll-to-roll manufacturing system is extensively used for mass producing products made of plastic, paper, and fabric in several traditional industries. When flexible substrates, also known as webs, are heated and transported inside the dryer, an inconsistent temperature distribution occurs on the material [...] Read more.
The roll-to-roll manufacturing system is extensively used for mass producing products made of plastic, paper, and fabric in several traditional industries. When flexible substrates, also known as webs, are heated and transported inside the dryer, an inconsistent temperature distribution occurs on the material in the machine direction (MD) and cross-machine direction (CMD). If rollers are not aligned in parallel on the same plane in the roll-to-roll web handling process, or if roller misalignment exists, strain deviation occurs in the web, resulting in lateral displacement and web wrinkles. Therefore, this study examined a wrinkle, which is a thermal deformation that occurs when an inconsistent web temperature distribution is formed on the material inside a dryer. The changes in the elastic modulus and thermal expansion of the web were also examined. Experiments were conducted using a PET film, and its elastic modulus and thermal expansion were examined. The results showed that the presence of a web wrinkle defect can cause a thickness deviation in the functional layer manufactured on the web. Moreover, an appropriate operating speed should be set to reduce the CMD temperature deviation, thereby reducing instances of wrinkle defects. Full article
(This article belongs to the Special Issue Theoretical Calculation and Simulation of Polymer)
Show Figures

Figure 1

10 pages, 2239 KB  
Article
Correlation of Superlattice Cross-Plane Thermal Conductivity with Emission Wavelength in InAlAs/InGaAs Quantum Cascade Lasers
by Alejandro M. Villalobos Meza, Monas Shahzad, Dagan Hathaway, Hong Shu and Arkadiy Lyakh
Micromachines 2022, 13(11), 1934; https://doi.org/10.3390/mi13111934 - 9 Nov 2022
Cited by 5 | Viewed by 2356
Abstract
The low cross-plane thermal conductivity of quantum cascade lasers (QCLs) is a significant limitation in their Continuous-Wave (CW) performance. Structural parameters such as individual layer thicknesses and interface density vary for QCLs with different target emission wavelengths, and these design parameters are expected [...] Read more.
The low cross-plane thermal conductivity of quantum cascade lasers (QCLs) is a significant limitation in their Continuous-Wave (CW) performance. Structural parameters such as individual layer thicknesses and interface density vary for QCLs with different target emission wavelengths, and these design parameters are expected to influence the cross-plane thermal conductivity. Though previous works have used theoretical models and experimental data to quantify thermal conductivity, the correlation between target wavelength and thermal conductivity has yet to be reported for QCLs. In this work, we observe a general trend across a group of QCLs emitting from 3.7 to 8.7 µm: as the QCL design changes to reduce wavelength, the thermal conductivity decreases as well. Numerically, we measured an approximate 70% reduction in thermal conductivity, from 1.5 W/(m·K) for the 8.7 µm device, to 0.9 W/(m·K) for the 3.7 µm device. Analysis of these structures with the Diffuse Mismatch Model (DMM) for thermal boundary resistance (TBR) shows that the largest contribution of this effect is the impact of superlattice interface density on the thermal conductivity. The observed changes in conductivity result in significant changes in projected CW optical power and should be considered in laser design. Full article
(This article belongs to the Special Issue Quantum Cascade Laser: Physics, Technology and Applications)
Show Figures

Figure 1

14 pages, 6786 KB  
Article
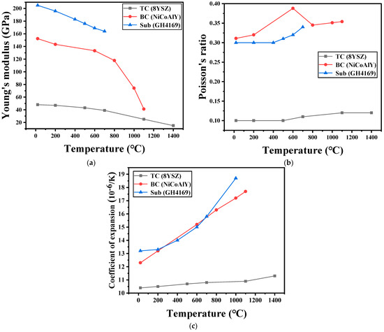
Design and Optimization of Interface Morphology of Thermal Barrier Coatings Based on Regulation of Residual Stress: A Finite Element Simulation Study
by Dali Wang, Liang Wang, Weize Wang, Xiancheng Zhang and Shantung Tu
Coatings 2022, 12(7), 940; https://doi.org/10.3390/coatings12070940 - 1 Jul 2022
Cited by 4 | Viewed by 3003
Abstract
Laser surface texture (LST) technology can be used to increase the adherence of thermal barrier coating (TBC). The primary research method is to conduct a large number of laser experiments to determine the optimal texture parameters. To minimize costs and enhance efficiency, in [...] Read more.
Laser surface texture (LST) technology can be used to increase the adherence of thermal barrier coating (TBC). The primary research method is to conduct a large number of laser experiments to determine the optimal texture parameters. To minimize costs and enhance efficiency, in the current work, five types of circular pit textures were summarized; the plane strain model was established using the transient thermomechanical coupling finite element method; the residual stress field after spraying was used as the prestress field; the influence of different textures on the distribution of the residual stress field after a thermal cycling was analyzed; and the propagation law of cracks in the coating was predicted. The current work focuses on: (1) The two-dimensional cross-sectional morphology of texture; (2) the principal stress s22 perpendicular to the interface (resulting in mode I interface crack) and the shear stress s12 parallel to the interface (resulting in mode II interface crack); (3) texture variables—diameter, depth, and spacing. The results revealed that after thermal cycling, the texture in the ceramic top coat (TC) bore tensile stress of around 350 MPa. Both sides of the pit in the metallic bond coat (BC) bore tensile stress, while the bottom bore compressive stress. Among them, the positive tensile stress of the texture with a sinusoidal section was the greatest, whereas the shear stress was the least. The maximum stress in texture increased as the diameter and depth increased, while the minimum principal stress was obtained by adjusting the spacing among the adjacent textures. The stress level in the coating was reduced by selecting the appropriate texture morphology, and the crack propagation was more complex, that is, it took a longer time before reaching failure, which is expected to improve the life. Full article
Show Figures

Figure 1

Back to TopTop