Electronic and Transport Properties of Strained and Unstrained Ge2Sb2Te5: A DFT Investigation
Abstract
1. Introduction
2. Computational Approaches
3. Results and Discussion
3.1. Unstrained Ge2Sb2Te5 Compounds
- (a)
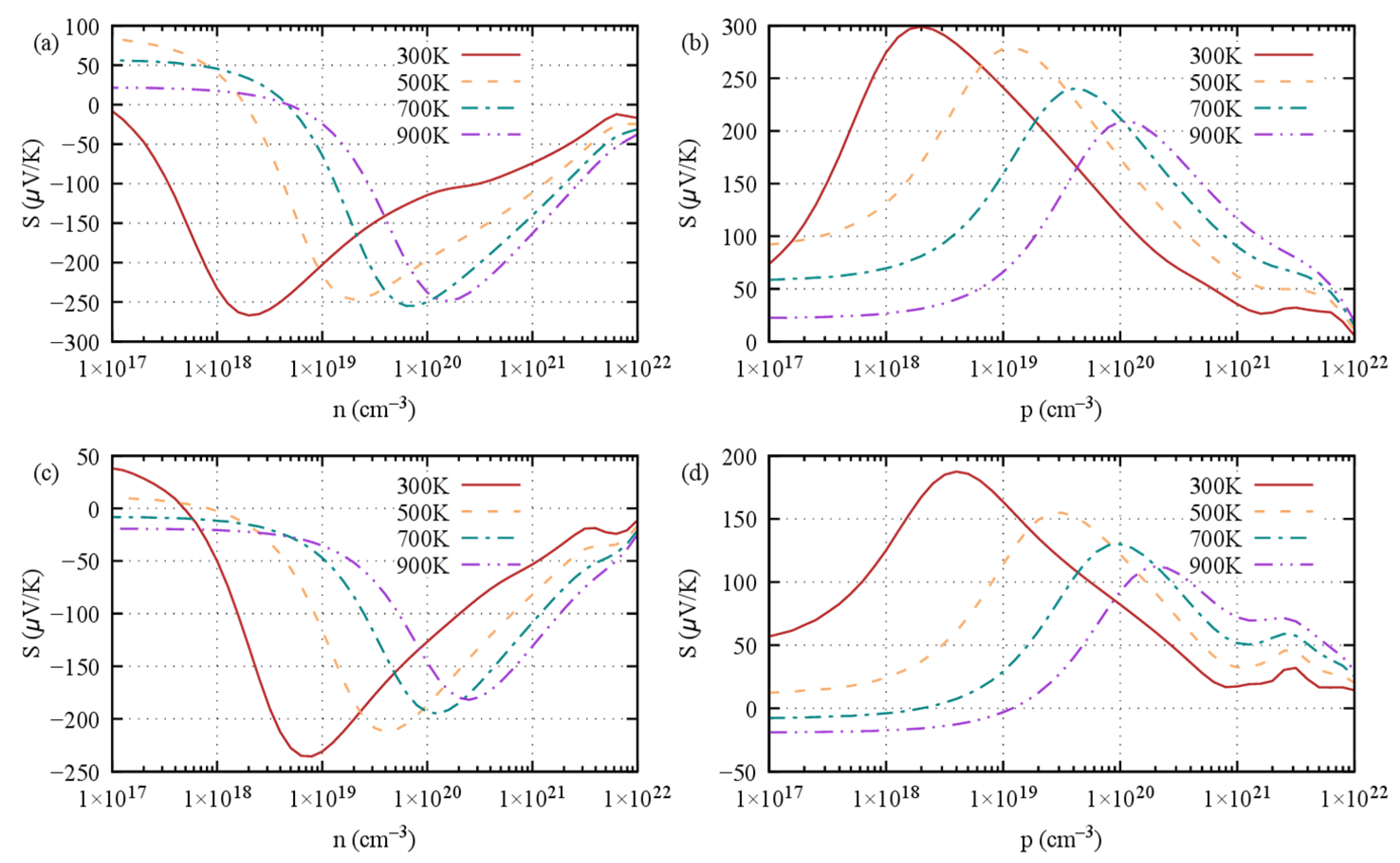
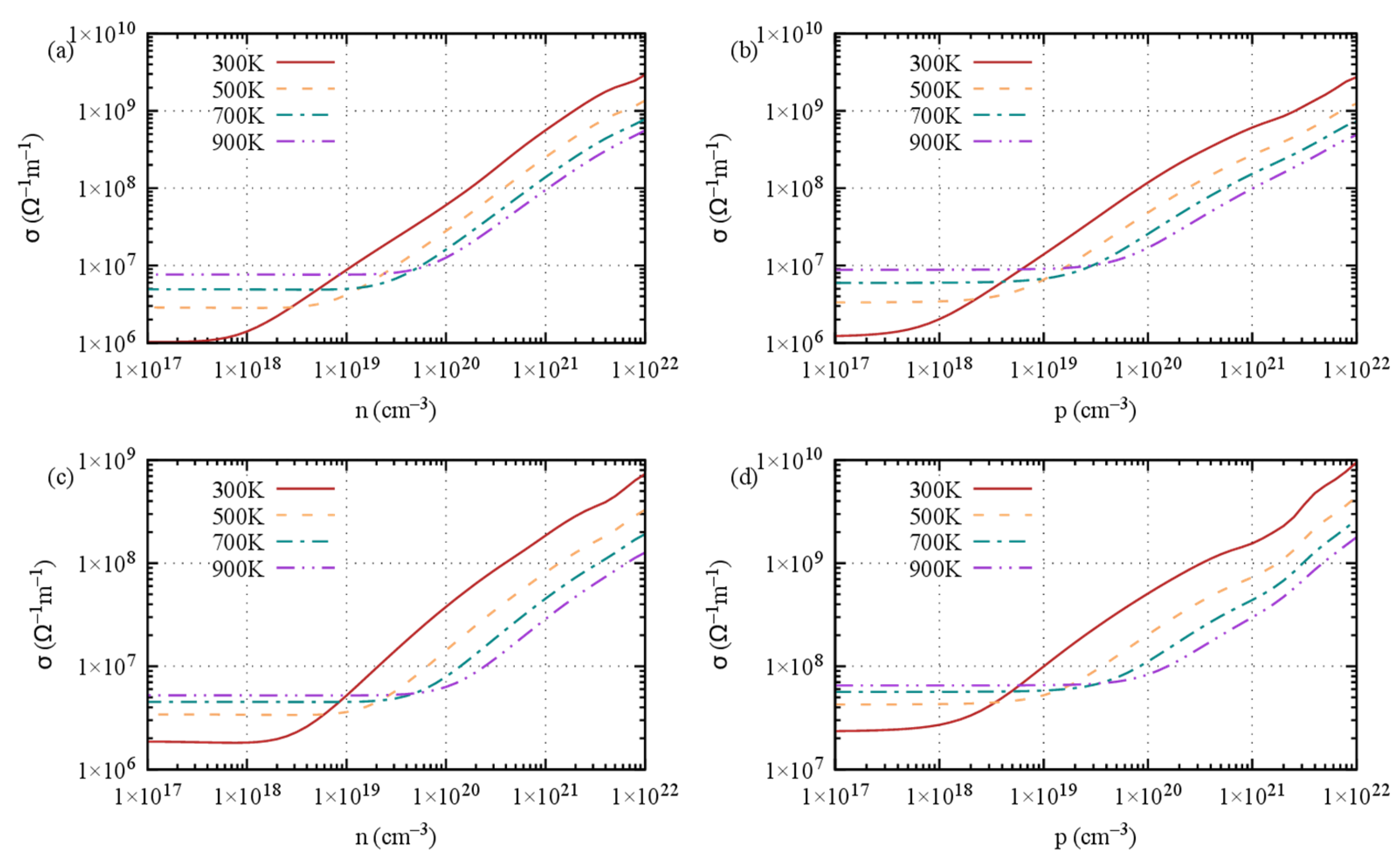
- Electronic Transport
- (b)
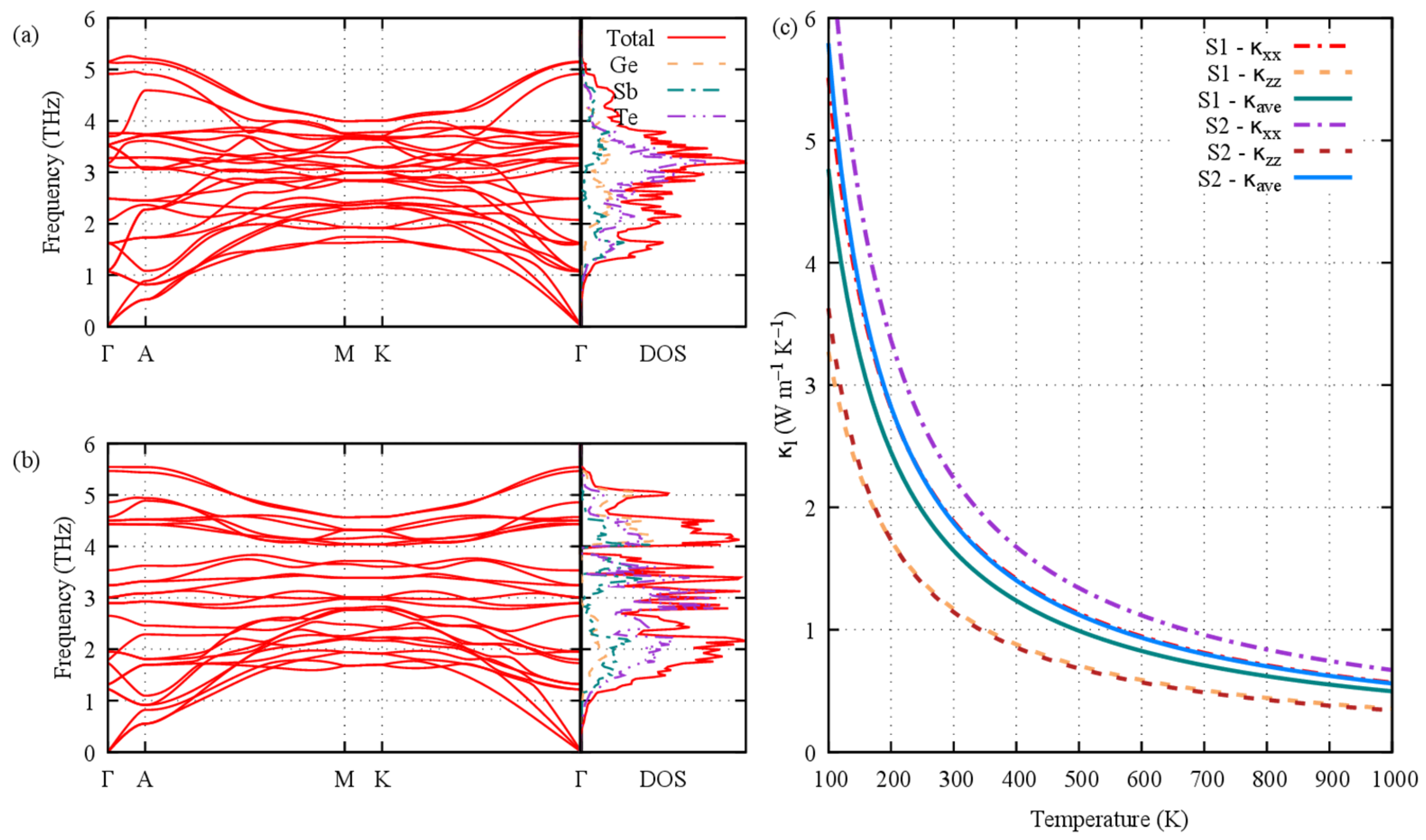
- Thermal Transport
- (c)
- Figure of Merit
3.2. Electronic Transport Properties of the Ge2Sb2Te5 Compounds under Tensile and Compressive Strains
4. Conclusions
Supplementary Materials
Author Contributions
Funding
Institutional Review Board Statement
Informed Consent Statement
Data Availability Statement
Acknowledgments
Conflicts of Interest
References
- Volta, A. Nueva memoria sull’elettricita animale. Ann. Chem. Nat. Hist. 1794, 5, 132–144. [Google Scholar]
- Seebeck, T.J. Magnetic polarization of metals and ores by temperature differences. Abh. Königlichen Akad. Wiss. Berl. 1822, 265–373. [Google Scholar]
- Ioffe, I.A. Semiconductor Thermoelements, and Thermoelectric Cooling; Inforsearch: London, UK, 1957. [Google Scholar]
- Furlong, R.R.; Wahlquist, E.J. US space missions using radioisotope power systems. Nucl. News 1999, 42, 26–35. [Google Scholar]
- Orr, B.; Akbarzadeh, A.; Mochizuki, M.; Singh, R. A review of car waste heat recovery systems utilising thermoelectric generators and heat pipes. Appl. Therm. Eng. 2016, 101, 490–495. [Google Scholar] [CrossRef]
- Rowe, D.M. (Ed.) Thermoelectrics Handbook: Macro to Nano; CRC Press Taylor & Francis: Boca Raton, FL, USA, 2006. [Google Scholar]
- Rowe, D.M. (Ed.) Thermoelectrics and Its Energy Harvesting: Materials, Preparation, and Characterization in Thermoelectrics; CRC Press Taylor & Francis: Boca Raton, FL, USA, 2012. [Google Scholar]
- Kolobov, A.V.; Fons, P.; Frenkel, A.I.; Ankudinov, A.L.; Tominaga, J.; Uruga, T. Understanding the phase-change mechanism of rewritable optical media. Nat. Mater. 2004, 3, 703–708. [Google Scholar] [CrossRef] [PubMed]
- Miao, J.; Wang, P.; Zhou, P.; Huang, S.; Qian, D.; Yuan, Y.; Lan, R. Remarkable anisotropy in rhombohedral Ge2Sb2Te5 compound: A promising thermoelectric material with multiple conduction bands and acoustic-optical branches coupling. J. Alloys Compd. 2022, 900, 163471. [Google Scholar] [CrossRef]
- Hu, P.; Wei, T.-R.; Qi, P.; Cao, Y.; Yang, J.; Shi, X.; Chen, L. Largely Enhanced Seebeck Coefficient and Thermoelectric Performance by the Distortion of Electronic Density of States in Ge2Sb2Te5. ACS Appl. Mater. Interfaces 2019, 11, 34046–34052. [Google Scholar] [CrossRef]
- Du, W.; Gu, Y.; Wang, K.; Yang, X.; Xing, J.; Guo, K.; Luo, J.; Zhao, J.-T. Effective Mass Enhancement and Thermal Conductivity Reduction for Improving the Thermoelectric Properties of Pseudo-Binary Ge2Sb2Te5. Ann. Phys. 2020, 532, 1900390. [Google Scholar] [CrossRef]
- Hu, P.; Wei, T.-R.; Huang, S.-J.; Xia, X.-G.; Qiu, P.-F.; Yang, J.; Chen, L.-D.; Shi, X. Anion-site-modulated thermoelectric properties in Ge2Sb2Te5-based compounds. Rare Met. 2020, 39, 1127–1133. [Google Scholar] [CrossRef]
- Hohenberg, P.; Kohn, W. Inhomogeneous Electron Gas. Phys. Rev. 1964, 136, B86–B871. [Google Scholar] [CrossRef]
- Kohn, W.; Sham, L.J. Self-Consistent Equations Including Exchange and Correlation Effects. Phys. Rev. 1965, 140, A1133–A1138. [Google Scholar] [CrossRef]
- Perdew, J.P.; Zunger, A. Self-interaction correction to density-functional approximations for many-electron systems. Phys. Rev. B 1981, 23, 5048–5079. [Google Scholar] [CrossRef]
- Wu, Z.; Cohen, R.E. More accurate generalized gradient approximation for solids. Phys. Rev. B 2006, 73, 235116. [Google Scholar] [CrossRef]
- Perdew, J.P.; Burke, K.; Ernzerhof, M. Generalized Gradient Approximation Made Simple. Phys. Rev. Lett. 1996, 77, 3865–3868. [Google Scholar] [CrossRef]
- Perdew, P.; Ruzsinszky, A.; Csonka, G.I.; Vydrov, O.A.; Scuseria, G.E.; Constantin, L.A.; Zhou, X.; Burke, K. Restoring the Density-Gradient Expansion for Exchange in Solids and Surfaces. Phys. Rev. Lett. 2008, 100, 136406. [Google Scholar] [CrossRef]
- Heyd, J.; Scuseria, G.E.; Ernzerhof, M. Hybrid functionals based on a screened Coulomb potential. J. Chem. Phys. 2003, 118, 8207–8215. [Google Scholar] [CrossRef]
- Schwarz, K.; Blaha, P.; Madsen, G.K.H. Electronic structure calculations of solids using the WIEN2k package for material sciences. Comput. Phys. Commun. 2002, 147, 71–76. [Google Scholar]
- Blaha, P.; Schwarz, K.; Tran, F.; Laskowski, R.; Madsen, G.K.H.; Marks, L.D. WIEN2k, an APW + LO Program for Calculating The Properties of Solids. J. Chem. Phys. 2020, 152, 074101. [Google Scholar] [CrossRef] [PubMed]
- Madsen, G.K.H.; Carrete, J.; Verstraete, M.J. BoltzTraP2, a program for interpolating band structures and calculating semi-classical transport coefficients. Computer. Phys. Commun. 2018, 231, 140–145. [Google Scholar] [CrossRef]
- Bardeen, J.; Shockley, W. Deformation Potentials and Mobilities in Non-Polar Crystals. Phys. Rev. 1950, 80, 72–80. [Google Scholar] [CrossRef]
- Herring, C.; Vogt, E. Transport and Deformation-Potential Theory for Many-Valley Semiconductors with Anisotropic Scattering. Phys. Rev. 1956, 101, 944–961. [Google Scholar] [CrossRef]
- Giannozzi, P.; Baroni, S.; Bonini, N.; Calandra, M.; Car, R.; Cavazzoni, C.; Ceresoli, D.; Chiarotti, G.L.; Cococcioni, M.; Dabo, I.; et al. QUANTUM ESPRESSO: A modular and open-source software project for quantum simulations of materials. J. Phys. 2009, 21, 395502. [Google Scholar] [CrossRef] [PubMed]
- Togo, A.; Chaput, L.; Tanaka, I. Distributions of phonon lifetimes in Brillouin zones. Phys. Rev. B 2015, 91, 094306. [Google Scholar] [CrossRef]
- Togo, A. First-principles Phonon Calculations with Phonopy and Phono3py. J. Phys. Soc. Jpn. 2023, 92, 012001. [Google Scholar] [CrossRef]
- Matsunaga, T.; Yamada, N.; Kubota, Y. Structures of stable and metastable Ge2Sb2Te5, an intermetallic compound in GeTe–Sb2Te3 pseudobinary systems. Acta Cryst. 2004, B60, 685–691. [Google Scholar] [CrossRef]
- Kooi, B.J.; De Hosson, J.T.M. Electron diffraction and high-resolution transmission electron microscopy of the high temperature crystal structures of GexSb2Te3+x (x=1,2,3) phase change material. J. Appl. Phys. 2002, 92, 3584–3590. [Google Scholar] [CrossRef]
- Petrov, I.I.; Imamov, R.M.; Pinsker, Z.G. Electron-diffraction determination of the structures of Ge2Sb2Te5 and GeSb4Te7. Sov. Phys. Crystallogr. 1968, 13, 339–342. [Google Scholar]
- Lee, B.-S.; Abelson, J.R.; Bishop, S.G.; Kang, D.-H.; Cheong, B.-K.; Kim, K.-B. Investigation of the optical and electronic properties of Ge2Sb2Te5 phase change material in its amorphous, cubic, and hexagonal phases. J. Appl. Phys. 2005, 97, 093509. [Google Scholar] [CrossRef]
- Kato, T.; Tanaka, K. Electronic Properties of Amorphous and Crystalline Ge2Sb2Te5 Films. Jpn. J. Appl. Phys. 2005, 44, 7430. [Google Scholar] [CrossRef]
- Park, J.-W.; Baek, S.H.; Kang, T.D.; Lee, H.; Kang, Y.-S.; Lee, T.-Y.; Suh, D.-S.; Kim, K.J.; Kim, C.K.; Khang, Y.H.; et al. Optical properties of (GeTe, Sb2Te3) pseudobinary thin films studied with spectroscopic ellipsometry. Appl. Phys. Lett. 2008, 93, 021914. [Google Scholar] [CrossRef]
- Lee, G.; Jhi, S.-H. Ab initio studies of structural and electronic properties of the crystalline Ge2Sb2Te5. Phys. Rev. B 2008, 77, 153201. [Google Scholar] [CrossRef]
- Sa, B.; Zhou, J.; Ahuja, R.; Sun, Z. First-principles investigations of electronic and mechanical properties for stable Ge2Sb2Te5 with van der Waals corrections. Comput. Mater. Sci. 2014, 82, 66–69. [Google Scholar] [CrossRef]
- Espinosa, E.; Alkorta, I.; Elguero, J.; Molins, E. From weak to strong interactions: A comprehensive analysis of the topological and energetic properties of the electron density distribution involving X–H…F–Y systems. J. Chem. Phys. 2002, 117, 5529–5542. [Google Scholar] [CrossRef]
- Yang, H.; Boulet, P.; Record, M.-C. A rapid method for analyzing the chemical bond from energy densities calculations at the bond critical point. Comput. Theor. Chem. 2020, 1178, 112784. [Google Scholar] [CrossRef]
- Yang, H.; Boulet, P.; Record, M.-C. New insight into the structure-property relationships from chemical bonding analysis: Application to thermoelectric materials. J. Solid State Chem. 2020, 286, 121266. [Google Scholar] [CrossRef]
- Ma, W.; Record, M.-C.; Tian, J.; Boulet, P. Influence of the stacking sequence on layered-chalcogenide properties: First principles investigation of Pb2Bi2Te5. Phys. Chem. Chem. Phys 2021, 23, 11300–11313. [Google Scholar] [CrossRef] [PubMed]
- Delaire, O.; Ma, J.; Marty, K.; May, A.F.; McGuire, M.A.; Du, M.-H.; Singh, D.J.; Podlesnyak, A.; Ehlers, G.; Lumsden, M.D.; et al. Giant anharmonic phonon scattering in PbTe. Nature Mater. 2011, 10, 614–619. [Google Scholar] [CrossRef]
- Xie, H. The role of off-centering behavior and acoustic-optical phonon coupling in heat transport. Mater. Lab 2023, 2, 220051. [Google Scholar] [CrossRef]
















| LDA | WC | PBE | PBEsol | PBE-vdw | Exp. | ||
|---|---|---|---|---|---|---|---|
| Ge2Sb2Te5 S1 | a | 4.20 | 4.24 | 4.30 | 4.23 | 4.28 | 4.225 [28] 4.25 [29] |
| c | 17.09 | 16.92 | 17.51 | 17.23 | 17.47 | 17.239 [28] 18.27 [29] | |
| Ge | 0.0998 | 0.1006 | 0.0988 | 0.0995 | 0.0997 | ||
| Te2 | 0.1974 | 0.1990 | 0.1953 | 0.1968 | 0.1971 | ||
| Sb | 0.3153 | 0.3178 | 0.3113 | 0.3141 | 0.3142 | ||
| Te3 | 0.4161 | 0.4198 | 0.4091 | 0.4143 | 0.4132 | ||
| Ge2Sb2Te5 S2 | a | 4.18 | 4.22 | 4.27 | 4.21 | 4.25 | 4.225 [28] 4.20 [30] |
| c | 17.49 | 17.13 | 18.01 | 17.65 | 17.90 | 17.239 [28] 16.96 [30] | |
| Ge | 0.3353 | 0.3387 | 0.3329 | 0.3337 | 0.3361 | ||
| Te2 | 0.2151 | 0.2188 | 0.2094 | 0.2139 | 0.2114 | ||
| Sb | 0.1150 | 0.1167 | 0.1124 | 0.1143 | 0.1135 | ||
| Te3 | 0.4161 | 0.4213 | 0.4116 | 0.4143 | 0.4158 |
| WC | HSE06 | Exp. | Other Calculations | |
|---|---|---|---|---|
| S1 (Non-SOC) | 0.147 | 0.384 | 0.5 [31,32,33] | 0.26 (PBE) [34], 0.3 (PBE-D2) [35], 0.49 (HSE06-D2) [35] |
| S1 (SOC) | 0.039 | 0.090 | ||
| S2 (Non-SOC) | 0 | 0.122 | 0 (PBE) [34] | |
| S2 (SOC) | 0 | 0.086 |
| WC Band Gap Location or Closure | HSE06 Band Gap Location or Closure | |||
|---|---|---|---|---|
| Without SOC | With SOC | Without SOC | With SOC | |
| S1 | Opened, Γ → Γ-K path | Opened, Γ-A → Γ-A paths | Opened, Γ → Γ-K path | Opened, Γ → Γ |
| S2 | Closed, A-K and Γ-K paths | Closed, Γ-M and Γ-K paths | Closed, A-K, Γ-K and Γ-M paths | Opened, Γ-M → Γ-K paths |
| Structure | Charge | m* | Ed (eV) | ||
|---|---|---|---|---|---|
| c | a,b | c | a,b | ||
| Ge2Sb2Te5 S1 | holes | −0.0974 | −0.0187 | 7.01 | 13.39 |
| Ge2Sb2Te5 S1 | electrons | 0.0797 | 0.0175 | 10.09 | 14.88 |
| Ge2Sb2Te5 S2 | holes | −0.0215 | −0.0065 | 6.92 | 14.16 |
| Ge2Sb2Te5 S2 | electrons | 0.0580 | 0.0448 | 9.52 | 12.66 |
| BCP | r1 | r2 | r1/r2 | θ | ρ | ∇2ρ | G | V | H | |V|/G | H/ρ |
|---|---|---|---|---|---|---|---|---|---|---|---|
| S1-b1 | 190.8 | 190.8 | 1.000 | 180.00 | 1.145 | 1.779 | 0.46 | −0.48 | −0.02 | 1.04 | −0.02 |
| S1-b2 | 163.7 | 153.9 | 1.063 | 179.76 | 3.301 | 2.343 | 1.37 | −2.15 | −0.78 | 1.57 | −0.24 |
| S1-b3 | 136.8 | 159.8 | 0.856 | 179.56 | 3.791 | 1.952 | 1.55 | −2.62 | −1.07 | 1.69 | −0.28 |
| S1-b4 | 155.5 | 144.0 | 1.080 | 179.41 | 4.608 | 1.399 | 1.93 | −3.52 | −1.58 | 1.82 | −0.34 |
| S1-b5 | 138.1 | 160.8 | 0.859 | 179.97 | 3.645 | 2.034 | 1.49 | −2.47 | −0.98 | 1.66 | −0.27 |
| S2-b1 | 192.6 | 192.6 | 1.000 | 180.00 | 1.089 | 1.717 | 0.44 | −0.45 | −0.01 | 1.02 | −0.01 |
| S2-b2 | 144.5 | 155.6 | 0.929 | 179.55 | 4.530 | 1.558 | 1.91 | −3.44 | −1.52 | 1.80 | −0.34 |
| S2-b3 | 170.7 | 152.9 | 1.116 | 177.53 | 2.368 | 2.370 | 0.96 | −1.32 | −0.36 | 1.38 | −0.15 |
| S2-b4 | 128.7 | 153.2 | 0.840 | 178.99 | 5.012 | 0.487 | 2.04 | −3.95 | −1.92 | 1.94 | −0.38 |
| S2-b5 | 153.3 | 163.0 | 0.941 | 179.96 | 3.384 | 2.299 | 1.40 | −2.22 | −0.82 | 1.59 | −0.24 |
| T (K) | Stacking | ||||
|---|---|---|---|---|---|
| 300 | S1 | 6.70 × 10–12 | 1.25 × 10–12 | 7.49 × 10–12 | 1.92 × 10–12 |
| S2 | 2.08 × 10–12 | 1.98 × 10–12 | 3.00 × 10–11 | 1.66 × 10–11 | |
| 500 | S1 | 3.11 × 10–12 | 5.81 × 10–13 | 3.48 × 10–12 | 8.92 × 10–13 |
| S2 | 9.67 × 10–13 | 9.20 × 10–13 | 1.39 × 10–11 | 7.71 × 10–12 | |
| 700 | S1 | 1.88 × 10–12 | 3.51 × 10–13 | 2.10 × 10–12 | 5.39 × 10–13 |
| S2 | 5.84 × 10–13 | 5.56 × 10–13 | 8.42 × 10–12 | 4.66 × 10–12 | |
| 900 | S1 | 1.29 × 10–12 | 2.41 × 10–13 | 1.44 × 10–12 | 3.70 × 10–13 |
| S2 | 4.00 × 10–13 | 3.81 × 10–13 | 5.77 × 10–12 | 3.19 × 10–12 |
Disclaimer/Publisher’s Note: The statements, opinions and data contained in all publications are solely those of the individual author(s) and contributor(s) and not of MDPI and/or the editor(s). MDPI and/or the editor(s) disclaim responsibility for any injury to people or property resulting from any ideas, methods, instructions or products referred to in the content. |
© 2023 by the authors. Licensee MDPI, Basel, Switzerland. This article is an open access article distributed under the terms and conditions of the Creative Commons Attribution (CC BY) license (https://creativecommons.org/licenses/by/4.0/).
Share and Cite
Tian, J.; Ma, W.; Boulet, P.; Record, M.-C. Electronic and Transport Properties of Strained and Unstrained Ge2Sb2Te5: A DFT Investigation. Materials 2023, 16, 5015. https://doi.org/10.3390/ma16145015
Tian J, Ma W, Boulet P, Record M-C. Electronic and Transport Properties of Strained and Unstrained Ge2Sb2Te5: A DFT Investigation. Materials. 2023; 16(14):5015. https://doi.org/10.3390/ma16145015
Chicago/Turabian StyleTian, Jing, Weiliang Ma, Pascal Boulet, and Marie-Christine Record. 2023. "Electronic and Transport Properties of Strained and Unstrained Ge2Sb2Te5: A DFT Investigation" Materials 16, no. 14: 5015. https://doi.org/10.3390/ma16145015
APA StyleTian, J., Ma, W., Boulet, P., & Record, M.-C. (2023). Electronic and Transport Properties of Strained and Unstrained Ge2Sb2Te5: A DFT Investigation. Materials, 16(14), 5015. https://doi.org/10.3390/ma16145015

