Sign in to use this feature.

Years

Between: -

Subjects

remove_circle_outline
remove_circle_outline
remove_circle_outline
remove_circle_outline
remove_circle_outline

Journals

Article Types

Countries / Regions

Search Results (11)

Search Parameters:
Keywords = crested wheatgrass

Order results
Result details
Results per page
Select all
Export citation of selected articles as:
20 pages, 5397 KB  
Article
A Multi-Granularity Gated Image-Level Supervised Network (MGG-ISCNet) for Spike Counting in Agropyron cristatum (L.) Gaertn
by Lihua Guan, Ziyu Ding, Meng’an Song, Xinyuan He, Qiqi Wang, Ruopu Zan, Zhangru Gao, Xiang Li, Yan Zhao and Dongyan Zhang
Agronomy 2025, 15(12), 2805; https://doi.org/10.3390/agronomy15122805 - 5 Dec 2025
Viewed by 542
Abstract
Accurate counting of spikes in crested wheatgrass, an important forage resource, is essential for breeding and yield evaluation. However, traditional manual counting is inefficient, and instance-level supervised methods face challenges such as high annotation costs and counting errors caused by overlapping targets in [...] Read more.
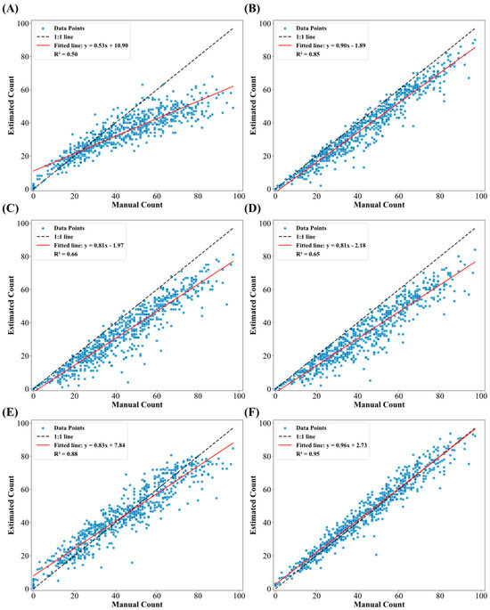
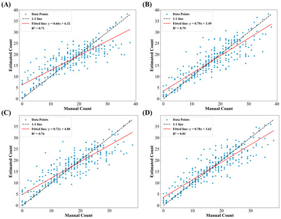
Accurate counting of spikes in crested wheatgrass, an important forage resource, is essential for breeding and yield evaluation. However, traditional manual counting is inefficient, and instance-level supervised methods face challenges such as high annotation costs and counting errors caused by overlapping targets in complex field scenes. To address these issues, this study proposes the Multi-Granularity Gating Image-Level Supervision Count Network (MGG-ISCNet), a lightweight image-level supervised counting network. The network integrates multi-granularity features adaptively and employs a lightweight regression head with two 1D convolution layers and global average pooling for efficient feature compression, greatly reducing parameter complexity. Requiring only image-level count labels without positional annotations, the proposed approach substantially lowers labeling costs. On a self-constructed crested wheatgrass dataset, the MGG-ISCNet achieved an MAE of 2.73, RMSE of 3.86, and R2 of 0.81. Furthermore, transfer experiments on the wheat spike dataset GWHD2020 demonstrated strong generalization. The proposed method achieved the best accuracy among both instance-level and image-level supervised approaches, with MAE = 3.63, RMSE = 4.73, and R2 = 0.95, while featuring significantly fewer parameters (61.08 M) compared to the existing image-level method. Overall, this work provides an efficient and lightweight solution for spike counting in crested wheatgrass and other cereal crops, offering valuable support for breeding and forage production. Full article
(This article belongs to the Section Precision and Digital Agriculture)
Show Figures

Figure 1

18 pages, 4456 KB  
Article
Molecular Regulatory Networks Underlying Root Growth and Development in Crested Wheatgrass (Agropyron cristatum L.)
by He Zhu, Xinyu Li, Yanran Xu, Xiaxiang Zhang, Ruicai Long, Wang Ding, Ruyue Li, Yan Zhao, Xuemin Wang and Mingna Li
Agriculture 2025, 15(22), 2392; https://doi.org/10.3390/agriculture15222392 - 19 Nov 2025
Viewed by 656
Abstract
Crested wheatgrass (Agropyron cristatum) is a perennial forage species characterized by extensive root systems that contribute to ecological restoration and stress resilience. This study aimed to elucidate the regulatory mechanisms of root growth and development through transcriptome analysis at three developmental [...] Read more.
Crested wheatgrass (Agropyron cristatum) is a perennial forage species characterized by extensive root systems that contribute to ecological restoration and stress resilience. This study aimed to elucidate the regulatory mechanisms of root growth and development through transcriptome analysis at three developmental stages (20, 28, and 42 days after germination). Morphological analyses revealed progressive increases in root length, biomass, and surface area over time. Transcriptomic profiling identified 28,518 differentially expressed genes (DEGs) between R-28 and R-20, 35,581 DEGs between R-42 and R-20, and 24,418 DEGs between R-42 and R-28, indicating extensive transcriptional reprogramming during root development. Functional enrichment analyses highlighted pathways involved in ribosome biogenesis, phenylpropanoid metabolism, and energy regulation. Notably, 45 bHLH, 57 NAC, 56 WRKY, and 6 GRAS genes were differentially expressed and well-annotated, underscoring their regulatory roles in root system development. Furthermore, 65 nitrogen metabolism-related genes and multiple hormone signaling pathways, including auxin, abscisic acid, and ethylene, exhibited dynamic expression patterns coordinating developmental and stress-responsive processes. Collectively, these findings provide novel insights into the regulatory networks governing A. cristatum root development and offer valuable genetic resources for functional genomics studies, ecological restoration efforts, and breeding programs. Full article
(This article belongs to the Section Crop Genetics, Genomics and Breeding)
Show Figures

Figure 1

11 pages, 1902 KB  
Article
Seasonal Trap Abundance of Two Species of Psilochalcis Kieffer (Hymenoptera: Chalcididae) in Rangelands of the Eastern Great Basin of Utah, USA
by Mark J. Petersen, Val J. Anderson, Robert L. Johnson and Dennis L. Eggett
Land 2023, 12(1), 54; https://doi.org/10.3390/land12010054 - 25 Dec 2022
Cited by 2 | Viewed by 2295
Abstract
Two species of Psilochalcis (Hymenoptera: Chalcididae) wasps occurring in the Great Basin region of the western United States were sampled from three locations in central Utah (USA) over a two-year period using Malaise traps. Each location is composed of four contiguous habitat types: [...] Read more.
Two species of Psilochalcis (Hymenoptera: Chalcididae) wasps occurring in the Great Basin region of the western United States were sampled from three locations in central Utah (USA) over a two-year period using Malaise traps. Each location is composed of four contiguous habitat types: pinyon/juniper (Pinus edulis or P. monophylla and Juniperus osteosperma), sagebrush (Artemisia tridentata), cheatgrass (Bromus tectorum), and crested wheatgrass (Agropyron cristatum). Seasonal trap abundance for each Psilochalcis species was determined. Psilochalcis minuta Petersen and Psilochalcis quadratis Petersen occur in highest abundance from mid-May to early August. Psilochalcis minuta demonstrates a significant association with pinyon/juniper habitat, specifically at the Utah; Juab County, Yuba Valley sample site, whereas P. quadratis demonstrates a significant association with cheatgrass (Bromus tectorum) habitat at the same location. Full article
Show Figures

Figure 1

22 pages, 40264 KB  
Article
Nature-Based Solutions for the Sustainable Management of Urban Soils and Quality of Life Improvements
by Slaveya Petrova, Iliana Velcheva, Bogdan Nikolov, Nikola Angelov, Gergana Hristozova, Penka Zaprjanova, Ekaterina Valcheva, Irena Golubinova, Plamen Marinov-Serafimov, Petar Petrov, Veneta Stefanova, Evelina Varbanova, Deyana Georgieva, Violeta Stefanova, Mariyana Marhova, Marinela Tsankova and Ivan Iliev
Land 2022, 11(4), 569; https://doi.org/10.3390/land11040569 - 12 Apr 2022
Cited by 15 | Viewed by 4239
Abstract
The rehabilitation and restoration of land-based ecosystems is a key strategy for recovering the services (goods and resources) ecosystems offer to humankind. The use of nature-based solutions (NBSs) to restore degraded soil functions and improve soil quality can be a sustainable and successful [...] Read more.
The rehabilitation and restoration of land-based ecosystems is a key strategy for recovering the services (goods and resources) ecosystems offer to humankind. The use of nature-based solutions (NBSs) to restore degraded soil functions and improve soil quality can be a sustainable and successful strategy to enhance their ecosystem services by working together with the forces of nature and using well-designed measures that require less maintenance, are more cost-effective, and if constructed in the right way may even be more effective over long periods because nature’s forces can increase the structural efficiency. In this study, we aimed to (i) evaluate the bioremediation capacity of some grasses and their suitability for lawn planting in settlements (in residential and non-residential areas, along roads, etc.) and (ii) propose technological solutions for their practical application in an urban environment. Emphasis was placed on the potential of some perennial grasses and their application for the bioremediation of polluted urban soils, including perennial ryegrass (Lolium perenne L.), crested wheatgrass (Agropyron cristatum L.), tall fescue (Festuca arundinacea Schreb), and bird’s foot trefoil (Lotus corniculatus L.). A case study from the city of Plovdiv (Bulgaria) is presented, together with an effective technological solution for the establishment of urban lawns and the roadside green buffer patches. Full article
Show Figures

Figure 1

19 pages, 6284 KB  
Article
Draft Sequencing Crested Wheatgrass Chromosomes Identified Evolutionary Structural Changes and Genes and Facilitated the Development of SSR Markers
by Jana Zwyrtková, Nicolas Blavet, Alžběta Doležalová, Petr Cápal, Mahmoud Said, István Molnár, Jan Vrána, Jaroslav Doležel and Eva Hřibová
Int. J. Mol. Sci. 2022, 23(6), 3191; https://doi.org/10.3390/ijms23063191 - 16 Mar 2022
Cited by 7 | Viewed by 3814
Abstract
Crested wheatgrass (Agropyron cristatum), a wild relative of wheat, is an attractive source of genes and alleles for their improvement. Its wider use is hampered by limited knowledge of its complex genome. In this work, individual chromosomes were purified by flow [...] Read more.
Crested wheatgrass (Agropyron cristatum), a wild relative of wheat, is an attractive source of genes and alleles for their improvement. Its wider use is hampered by limited knowledge of its complex genome. In this work, individual chromosomes were purified by flow sorting, and DNA shotgun sequencing was performed. The annotation of chromosome-specific sequences characterized the DNA-repeat content and led to the identification of genic sequences. Among them, genic sequences homologous to genes conferring plant disease resistance and involved in plant tolerance to biotic and abiotic stress were identified. Genes belonging to the important groups for breeders involved in different functional categories were found. The analysis of the DNA-repeat content identified a new LTR element, Agrocen, which is enriched in centromeric regions. The colocalization of the element with the centromeric histone H3 variant CENH3 suggested its functional role in the grass centromere. Finally, 159 polymorphic simple-sequence-repeat (SSR) markers were identified, with 72 of them being chromosome- or chromosome-arm-specific, 16 mapping to more than one chromosome, and 71 mapping to all the Agropyron chromosomes. The markers were used to characterize orthologous relationships between A. cristatum and common wheat that will facilitate the introgression breeding of wheat using A. cristatum. Full article
(This article belongs to the Special Issue Plant Biology and Biotechnology: Focus on Genomics and Bioinformatics)
Show Figures

Figure 1

13 pages, 2556 KB  
Article
Analysis of Chromosome Associations during Early Meiosis in Wheat Lines Carrying Chromosome Introgressions from Agropyron cristatum
by Pilar Prieto, Carmen Palomino, Zuny Cifuentes and Adoración Cabrera
Plants 2021, 10(11), 2292; https://doi.org/10.3390/plants10112292 - 25 Oct 2021
Viewed by 3002
Abstract
Crested wheatgrass (Agropyron cristatum L. Gaertn., genome P), included in the Triticeae tribe (family Poaceae), is one of the most important grasses in temperate regions. It has been valued as a donor of important agronomic traits for wheat improvement, including tolerance to [...] Read more.
Crested wheatgrass (Agropyron cristatum L. Gaertn., genome P), included in the Triticeae tribe (family Poaceae), is one of the most important grasses in temperate regions. It has been valued as a donor of important agronomic traits for wheat improvement, including tolerance to cold, drought, and high salinity, as well as resistance to leaf rust, stripe rust, and powdery mildew. For successful incorporation of beneficial alleles into wheat, it is essential that recombination between wheat and A. cristatum chromosomes occurs. In this work, we analysed chromosome associations during meiosis in wheat lines carrying chromosome introgressions from A. cristatum chromosomes 5P and 6P in the presence and absence of Ph1 locus using fluorescence in situ hybridisation. The results showed that the Ph1 locus does not affect chromosome associations between A. cristatum and wheat chromosomes because there were no interspecific chromosome associations; therefore, no recombination between chromosomes from wheat and Agropyron were observed in the absence of the Ph1 locus. The 5P and 6P A. cristatum chromosomes do not have a suppressor effect on the Ph1 locus. Wheat univalents in metaphase I suggest that Agropyron chromosomes might carry genes having a role in wheat homologous chromosome associations. Putative effect of the Agropyron genes on wheat chromosome associations does not interact with the Ph1 locus. Full article
(This article belongs to the Special Issue Plant Biotechnology and Crop Improvement)
Show Figures

Graphical abstract

12 pages, 300 KB  
Review
Breeding of the Crested Wheatgrass Complex (Agropyron spp.) for North American Temperate Rangeland Agriculture and Conservation
by Joseph G. Robins and Kevin B. Jensen
Agronomy 2020, 10(8), 1134; https://doi.org/10.3390/agronomy10081134 - 4 Aug 2020
Cited by 11 | Viewed by 4502
Abstract
Species from the crested wheatgrass (Agropyron spp.) complex have been widely used for revegetation and grazing on North American rangelands for over 100 years. Focused crested wheatgrass breeding has been ongoing since the 1920s. These efforts resulted in the development of 18 [...] Read more.
Species from the crested wheatgrass (Agropyron spp.) complex have been widely used for revegetation and grazing on North American rangelands for over 100 years. Focused crested wheatgrass breeding has been ongoing since the 1920s. These efforts resulted in the development of 18 cultivars adapted to western USA and Canadian growing conditions. These cultivars establish rapidly, persist, and provide soil stabilization and a reliable feed source for domestic livestock and wildlife. To address ecological concerns and increase rangeland agriculture efficiency, crested wheatgrass breeding requires new emphases and techniques. This review covers the history of crested wheatgrass breeding and genetics in North America and discusses emerging methods and practices for improvement in the future. Full article
(This article belongs to the Special Issue Breeding and Genetics of Forages for Semi-Arid and Arid Rangelands)
29 pages, 4680 KB  
Article
Long-Term Yield and Quality Performance of Perennial Energy Grasses (Agropyron spp.) on Marginal Land
by Carlos S. Ciria, Ruth Barro, Marina Sanz and Pilar Ciria
Agronomy 2020, 10(7), 1051; https://doi.org/10.3390/agronomy10071051 - 21 Jul 2020
Cited by 12 | Viewed by 4017
Abstract
The cultivation of perennial grasses is one of the most desirable alternatives as energy feedstock, but it is difficult to achieve competitive yields under Mediterranean marginal conditions. The aim of this study was to assess the performance of three cool-season grasses (Agropyron [...] Read more.
The cultivation of perennial grasses is one of the most desirable alternatives as energy feedstock, but it is difficult to achieve competitive yields under Mediterranean marginal conditions. The aim of this study was to assess the performance of three cool-season grasses (Agropyron spp.) from an agronomic and energetic point of view by comparing the dry matter (DM) yields, rain use efficiency, chemical composition, and biomass quality over an eight-year period in Spain under marginal rainfed conditions. The tall wheatgrass (Agropyron elongatum (Host) Beauv.) cultivars, Alkar (4.8 Mg DM·ha−1) and Jose (4.7 Mg DM·ha−1), achieved the highest yields. Productions below 0.5 Mg DM·ha−1 were obtained when rainfall was lower than 150 mm between March and June. The biomass obtained from the tested grasses showed relatively high contents of ash, silicon, and alkali elements. Net calorific values ranged between 16.7 and 18.5 MJ·kg−1 db. Differences in the composition among species and cultivars are not likely to affect their combustion behavior from a practical point of view. The ash content, as well as the concentrations of K, S, Na, and Cl, tended to decrease over the years. The results offered would be very useful for the implementation of this type of crop in marginal land. Full article
(This article belongs to the Special Issue Sustainable Management and Utilization of Permanent Grassland)
Show Figures

Figure 1

15 pages, 613 KB  
Article
Genotype × Environment Interaction Patterns in Rangeland Variety Trials of Cool-Season Grasses in the Western United States
by Joseph G. Robins, Craig W. Rigby and Kevin B. Jensen
Agronomy 2020, 10(5), 623; https://doi.org/10.3390/agronomy10050623 - 28 Apr 2020
Cited by 5 | Viewed by 2925
Abstract
Rangeland revegetation is necessary to stabilize disturbed sites and increase forage production, but frequently fails due to a variety of environmental and biotic factors. Plant breeding efforts in perennial cool-season grasses result in the development of potential cultivars that must be evaluated in [...] Read more.
Rangeland revegetation is necessary to stabilize disturbed sites and increase forage production, but frequently fails due to a variety of environmental and biotic factors. Plant breeding efforts in perennial cool-season grasses result in the development of potential cultivars that must be evaluated in multi-environment trials to determine their level of adaptation. This study evaluated 49 cultivars for stand frequency and dry matter yield over five years at five environments in the Intermountain and High Plains regions of the United States. The results were significant differences among the included cultivars for both traits across and within environments. Yet, there was also crossover genotype × environment interaction. Thus, highest performing cultivars were to some extent dependent on the environment. Hycrest II crested wheatgrass and Vavilov II Siberian wheatgrass possessed high stand frequency (>80 %) and dry matter yield (>800 kg·ha−1) across environments and within environments except at the Eureka, UT environment where they possessed low stand frequency. These cultivars, and species, also possessed high productivity and stability for both traits. Thus, breeding efforts in the species resulted in widely adapted cultivars that may lack specific adaptation to some environments. Full article
(This article belongs to the Special Issue Breeding and Genetics of Forages for Semi-Arid and Arid Rangelands)
Show Figures

Figure 1

13 pages, 3365 KB  
Article
Genotyping-by-Sequencing Enhances Genetic Diversity Analysis of Crested Wheatgrass [Agropyron cristatum (L.) Gaertn.]
by Kiran Baral, Bruce Coulman, Bill Biligetu and Yong-Bi Fu
Int. J. Mol. Sci. 2018, 19(9), 2587; https://doi.org/10.3390/ijms19092587 - 31 Aug 2018
Cited by 18 | Viewed by 5066
Abstract
Molecular characterization of unsequenced plant species with complex genomes is now possible by genotyping-by-sequencing (GBS) using recent next generation sequencing technologies. This study represents the first use of GBS application to sample genome-wide variants of crested wheatgrass [Agropyron cristatum (L.) Gaertn.] and [...] Read more.
Molecular characterization of unsequenced plant species with complex genomes is now possible by genotyping-by-sequencing (GBS) using recent next generation sequencing technologies. This study represents the first use of GBS application to sample genome-wide variants of crested wheatgrass [Agropyron cristatum (L.) Gaertn.] and assess the genetic diversity present in 192 genotypes from 12 tetraploid lines. Bioinformatic analysis identified 45,507 single nucleotide polymorphism (SNP) markers in this outcrossing grass species. The model-based Bayesian analysis revealed four major clusters of the samples assayed. The diversity analysis revealed 15.8% of SNP variation residing among the 12 lines, and 12.1% SNP variation present among four genetic clusters identified by the Bayesian analysis. The principal coordinates analysis and dendrogram were able to distinguish four lines of Asian origin from Canadian cultivars and breeding lines. These results serve as a valuable resource for understanding genetic variability, and will aid in the genetic improvement of this outcrossing polyploid grass species for forage production. These findings illustrate the potential of GBS application in the characterization of non-model polyploid plants with complex genomes. Full article
(This article belongs to the Special Issue Plant Genomics)
Show Figures

Figure 1

12 pages, 1899 KB  
Communication
RNA-Seq Analysis of Plant Maturity in Crested Wheatgrass (Agropyron cristatum L.)
by Fangqin Zeng, Bill Biligetu, Bruce Coulman, Michael P. Schellenberg and Yong-Bi Fu
Genes 2017, 8(11), 291; https://doi.org/10.3390/genes8110291 - 25 Oct 2017
Cited by 7 | Viewed by 5422
Abstract
Crested wheatgrass (Agropyron cristatum L.) breeding programs aim to develop later maturing cultivars for extending early spring grazing in Western Canada. Plant maturity is a complex genetic trait, and little is known about genes associated with late maturity in this species. An [...] Read more.
Crested wheatgrass (Agropyron cristatum L.) breeding programs aim to develop later maturing cultivars for extending early spring grazing in Western Canada. Plant maturity is a complex genetic trait, and little is known about genes associated with late maturity in this species. An attempt was made using RNA-Seq to profile the transcriptome of crested wheatgrass maturity and to analyze differentially expressed genes (DEGs) between early and late maturing lines. Three cDNA libraries for each line were generated by sampling leaves at the stem elongation stage, spikes at the boot and anthesis stages. A total of 75,218,230 and 74,015,092 clean sequence reads were obtained for early and late maturing lines, respectively. De novo assembly of all sequence reads generated 401,587 transcripts with a mean length of 546 bp and N50 length of 691 bp. Out of 13,133 DEGs detected, 22, 17, and eight flowering related DEGs were identified for the three stages, respectively. Twelve DEGs, including nine flowering related DEGs at the stem elongation stage were further confirmed by qRT-PCR. The analysis of homologous genes of the photoperiod pathway revealed their lower expression in the late maturing line at the stem elongation stage, suggesting that their differential expression contributed to late maturity in crested wheatgrass. Full article
(This article belongs to the Section Plant Genetics and Genomics)
Show Figures

Figure 1

Back to TopTop