Sign in to use this feature.

Years

Between: -

Subjects

remove_circle_outline
remove_circle_outline
remove_circle_outline
remove_circle_outline
remove_circle_outline
remove_circle_outline
remove_circle_outline
remove_circle_outline
remove_circle_outline

Journals

remove_circle_outline
remove_circle_outline
remove_circle_outline
remove_circle_outline
remove_circle_outline
remove_circle_outline
remove_circle_outline
remove_circle_outline
remove_circle_outline
remove_circle_outline
remove_circle_outline
remove_circle_outline
remove_circle_outline

Article Types

Countries / Regions

remove_circle_outline
remove_circle_outline
remove_circle_outline
remove_circle_outline
remove_circle_outline
remove_circle_outline

Search Results (2,028)

Search Parameters:
Keywords = contour model

Order results
Result details
Results per page
Select all
Export citation of selected articles as:
26 pages, 8263 KB  
Article
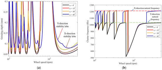
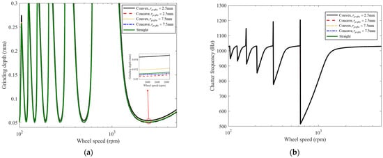
Stability Modeling and Analysis of Profile Grinding with Varying Contact Geometry
by Kunzi Wang, Zongxing Li, Qiankai Gao and Liming Xu
Processes 2026, 14(8), 1228; https://doi.org/10.3390/pr14081228 (registering DOI) - 11 Apr 2026
Abstract
Machining stability in profile grinding directly affects surface quality and form accuracy, while the variation in local contact conditions induced by complex contour geometries makes its stability behavior more complicated than that of conventional grinding. This study investigates chatter stability under the coupled [...] Read more.
Machining stability in profile grinding directly affects surface quality and form accuracy, while the variation in local contact conditions induced by complex contour geometries makes its stability behavior more complicated than that of conventional grinding. This study investigates chatter stability under the coupled effects of contour geometric features and process parameters. A dynamic grinding force model is developed based on a tool nose micro-element method, explicitly considering the coupled effects of contour geometric parameters, wheel–workpiece contact, and regenerative effects. A chatter stability model is then established, and an iterative method is proposed to predict stability limits under different contour features. The results indicate that wheel speed and grinding depth dominate system stability. Under the same curvature radius, convex contours exhibit the highest stability, followed by straight and concave contours. As the curvature radius increases, the stability boundaries gradually converge toward that of the straight contour. Increasing the contour normal angle (CNA) significantly enhances stability and promotes the transition of the dominant unstable mode from single-direction to multi-directional coupling. Grinding experiments on a composite curved workpiece validate the model, showing strong agreement between predicted stability regions and measured chatter marks and spectra. The proposed model provides a basis for parameter selection and chatter suppression in complex profile grinding. Full article
(This article belongs to the Section Manufacturing Processes and Systems)
Show Figures

Figure 1

16 pages, 3060 KB  
Article
Friction Compensation Method Based on a Dual-Segment Simplified Static–Dynamic Friction Model
by Yukun Chen, Xuewei Li, Taihao Zhang, Enzhao Cui and Zhewei Wang
Machines 2026, 14(4), 410; https://doi.org/10.3390/machines14040410 - 8 Apr 2026
Viewed by 137
Abstract
Nonlinear friction in the mechanical transmission system of machine tools induces transient stagnation of the feed axis as its velocity crosses zero, thereby giving rise to contouring errors in multi-axis machining and significantly degrading machining accuracy. To address this issue, a feedforward compensation [...] Read more.
Nonlinear friction in the mechanical transmission system of machine tools induces transient stagnation of the feed axis as its velocity crosses zero, thereby giving rise to contouring errors in multi-axis machining and significantly degrading machining accuracy. To address this issue, a feedforward compensation strategy is proposed based on a simplified static friction model (SSFM) with dual-segment and dual-parameter characteristics. The nonlinear friction is represented by a combination of a linear segment and an exponential segment, while the model incorporates two essential parameters that characterize the maximum friction force and the negative damping effect. Experimental results from two-axis circular trajectory tests show that the proposed SSFM reduces contour errors by approximately 73.4% and 79.2% at 600 mm/min and 2100 mm/min, respectively. To improve compensation under high-speed conditions, an acceleration-dependent dynamic correction is further introduced to establish the SDFM. The results show that the maximum contour error is further reduced to 1.44 μm and 1.49 μm at 3600 mm/min and 5000 mm/min, respectively. Compared with many existing reduced-order or hybrid friction models that rely on more parameters or more complex identification procedures, the proposed method provides a more compact and compensation-oriented modeling strategy for the velocity-reversal region of CNC feed systems. Full article
(This article belongs to the Section Automation and Control Systems)
Show Figures

Figure 1

26 pages, 4663 KB  
Article
Optical-Thermal Analysis of a Thermal Receiver with Second Optics for High-Temperature Gas Heating with Solar Tower System
by Cuitlahuac Iriarte-Cornejo, Resty L. Durán, Victor M. Maytorena, Jesús F. Hinojosa and Sául F. Moreno
Thermo 2026, 6(2), 25; https://doi.org/10.3390/thermo6020025 - 7 Apr 2026
Viewed by 230
Abstract
Heating gases to high temperatures is essential for supplying energy to thermal and thermochemical processes. This study presents the optical–thermal design of a mini heliostat field coupled with a tubular solar receiver equipped with second optics, aiming to heat nitrogen to approximately 850 [...] Read more.
Heating gases to high temperatures is essential for supplying energy to thermal and thermochemical processes. This study presents the optical–thermal design of a mini heliostat field coupled with a tubular solar receiver equipped with second optics, aiming to heat nitrogen to approximately 850 K. The secondary optical system redistributed up to 40% of the incident solar flux from the front to the rear surface of the receiver, improving radial temperature uniformity and significantly reducing thermal gradients along the tube wall. An overall optical efficiency of 65.25% was achieved, accounting for atmospheric attenuation, shading, blocking, and the cosine effect. A coupled computational model was developed by solving the conservation equations of mass, momentum, and energy, with the spatially resolved solar flux distribution obtained via ray tracing used as a thermal boundary condition. The simulation results, validated with an empirical correlation, include solar flux contours, nitrogen temperature distributions, surface temperatures, and heat transfer coefficients. The configuration with a 12 mm vertex spacing between secondary reflectors demonstrated the best thermal performance, reducing the maximum tube surface temperature by 11% and improving radial symmetry, while maintaining nitrogen outlet temperatures near the design target of 850 K. These results confirm the suitability of the system for high-temperature applications such as solar pyrolysis using nitrogen as the heat transfer fluid to deliver the required thermal energy. Full article
(This article belongs to the Topic Advances in Solar Heating and Cooling, 2nd Edition)
Show Figures

Figure 1

29 pages, 10248 KB  
Article
Fs2PA: A Full-Scale Feature Synergistic Perception Architecture for Vehicular Infrared Object Detection via Physical Priors and Semantic Constraints
by Boxuan Pei, Leyuan Wu, Xiaoyan Zheng, Chao Zhou and Dingxiang Wang
Sensors 2026, 26(7), 2257; https://doi.org/10.3390/s26072257 - 6 Apr 2026
Viewed by 178
Abstract
Vehicular infrared object detection is a key technology supporting autonomous driving systems to achieve all-weather environmental perception. However, infrared images inherently lack texture, resulting in blurred object contours. Additionally, deep network propagation severely erodes and loses feature information of distant tiny objects. To [...] Read more.
Vehicular infrared object detection is a key technology supporting autonomous driving systems to achieve all-weather environmental perception. However, infrared images inherently lack texture, resulting in blurred object contours. Additionally, deep network propagation severely erodes and loses feature information of distant tiny objects. To address the above issues, this study proposes a Full-Scale Feature Synergistic Perception Architecture for vehicular infrared object detection. This architecture first designs a Gradient-Informed Attention module, which initializes convolution kernels through physical gradient operators to inject geometric prior information into the network, enhancing the model’s perception capability of blurred object boundaries. Secondly, it constructs a Full-Scale Feature Pyramid containing a P2 high-resolution feature layer to effectively recover the geometric detail features of distant tiny objects. Finally, it proposes a Scale-Aware Shared Head, which relies on a cross-scale parameter sharing mechanism to achieve extreme parameter compression, and simultaneously introduces deep semantic information to form strong constraints, suppressing noise interference in shallow features. Experimental results on the FLIR v2 and M3FD datasets show that the proposed architecture exhibits excellent detection performance. On FLIR v2, it raises mAP@50 to 64.06% (6.51% relative gain vs. YOLOv11) while maintaining 547 FPS inference speed, achieving an optimal accuracy–efficiency balance. Full article
Show Figures

Graphical abstract

34 pages, 56063 KB  
Article
Deep Learning-Based Intelligent Analysis of Rock Thin Sections: From Cross-Scale Lithology Classification to Grain Segmentation for Quantitative Fabric Characterization
by Wenhao Yang, Ang Li, Liyan Zhang and Xiaoyao Qin
Electronics 2026, 15(7), 1509; https://doi.org/10.3390/electronics15071509 - 3 Apr 2026
Viewed by 264
Abstract
Quantitative microstructure evaluation of sedimentary rock thin sections is essential for revealing reservoir flow mechanisms and assessing reservoir quality. However, traditional manual identification is inefficient and prone to subjectivity. Although current deep learning approaches have improved efficiency, most remain confined to single tasks [...] Read more.
Quantitative microstructure evaluation of sedimentary rock thin sections is essential for revealing reservoir flow mechanisms and assessing reservoir quality. However, traditional manual identification is inefficient and prone to subjectivity. Although current deep learning approaches have improved efficiency, most remain confined to single tasks and lack a pathway to translate image recognition into quantifiable geological parameters. Moreover, these methods struggle with cross-scale feature extraction and accurate grain boundary localization in complex textures. To overcome these limitations, this study proposes a three-stage automated analysis framework integrating intelligent lithology identification, sandstone grain segmentation, and quantitative analysis of fabric parameters. To address scale discrepancies in lithology discrimination, Rock-PLionNet integrates a Partial-to-Whole Context Fusion (PWC-Fusion) module and the Lion optimizer, which mitigates cross-scale feature inconsistencies and enables accurate screening of target sandstone samples. Subsequently, to correct boundary deviations caused by low contrast and grain adhesion, the PetroSAM-CRF strategy integrates polarization-aware enhancement with dense conditional random field (DenseCRF)-based probabilistic refinement to extract precise grain contours. Based on these outputs, the framework automatically calculates key fabric parameters, including grain size and roundness. Experiments on 3290 original multi-source thin-section images show that Rock-PLionNet achieves a classification accuracy of 96.57% on the test set. Furthermore, PetroSAM-CRF reduces segmentation bias observed in general-purpose models under complex texture conditions, enabling accurate parameter estimation with a roundness error of 2.83%. Overall, this study presents an intelligent workflow linking microscopic image recognition with quantitative analysis of geological fabric parameters, providing a practical pathway for digital petrographic evaluation in hydrocarbon exploration. Full article
Show Figures

Figure 1

30 pages, 15883 KB  
Article
A Vorticity-Enhanced Physics-Informed Neural Network with Logarithmic Reynolds Embedding
by Yaxiong Zheng, Fei Peng, Zhanzhi Wang, Jianming Lei and Shan Pian
Fluids 2026, 11(4), 93; https://doi.org/10.3390/fluids11040093 - 2 Apr 2026
Viewed by 264
Abstract
To improve unified modeling of steady two-dimensional lid-driven cavity flow across a wide range of Reynolds numbers, this study proposes a Vorticity-Enhanced Physics-Informed Neural Network (VE-PINN). The method augments a standard velocity-pressure PINN with a vorticity-transport residual and uses a logarithmic Reynolds-number embedding, [...] Read more.
To improve unified modeling of steady two-dimensional lid-driven cavity flow across a wide range of Reynolds numbers, this study proposes a Vorticity-Enhanced Physics-Informed Neural Network (VE-PINN). The method augments a standard velocity-pressure PINN with a vorticity-transport residual and uses a logarithmic Reynolds-number embedding, log10Re, for multi-regime training. Using CFD benchmark data as supervision and evaluation, we conduct systematic ablation studies on network architecture, loss weighting, sampling density, input embedding, and physical constraint over Re=100050000, together with out-of-range extrapolation tests. The results show that the logarithmic Reynolds-number embedding improves cross-regime training stability and reduces the multi-regime mean relative error, while the vorticity-transport constraint improves the reconstruction of velocity fields and secondary vortical structures with only a modest increase in training cost. Further comparisons based on contour fields, centerline velocity profiles, vortex-core locations, and vorticity intensity indicate that VE-PINN provides improved accuracy, physical consistency, and generalization relative to the baseline PINN in the present benchmark. These findings suggest that, for the steady cavity-flow problem considered here, combining logarithmic parameter embedding with derivative-level physical constraint is a practical and effective strategy for parametric PINN modeling. Full article
Show Figures

Figure 1

18 pages, 8172 KB  
Article
Dual-Flow Driver Distraction Driving Detection Model Based on Sobel Edge Detection
by Binbin Qin and Bolin Zhang
Vehicles 2026, 8(4), 74; https://doi.org/10.3390/vehicles8040074 - 1 Apr 2026
Viewed by 316
Abstract
Cognitive or visual distraction caused by drivers using mobile phones, operating the central console, or conversing with passengers while driving is a significant contributing factor to road traffic accidents. Aiming to solve the problem that existing driving behavior monitoring systems exhibit insufficient recognition [...] Read more.
Cognitive or visual distraction caused by drivers using mobile phones, operating the central console, or conversing with passengers while driving is a significant contributing factor to road traffic accidents. Aiming to solve the problem that existing driving behavior monitoring systems exhibit insufficient recognition accuracy and low real-time detection performance in complex driving environments, this study proposes a dual-flow driver distraction detection model based on Sobel edge detection (DFSED-Model). The model is designed with a collaborative learning framework: the first flow adopts a lightweight pre-trained backbone network to achieve efficient semantic feature extraction. The second flow utilizes Sobel edge detection to extract the driver’s driving contours and enhances the model’s spatial sensitivity to driving movements and hand movements. Through the feature learning process of the first-flow-guided auxiliary branch, collaborative optimization of knowledge transfer and attention focusing is realized, thereby improving the model’s convergence speed and discriminative performance. The proposed model is evaluated on three widely used public datasets: the State Farm Distracted Driver Detection (SFD) dataset, the 100-Driver dataset, and the American University in Cairo Distracted Driver Dataset (AUCDD-V1). Under the premise of maintaining low computational overhead, the accuracy of the DFSED-Model reaches 99.87%, 99.86%, and 95.71%, respectively, which is significantly superior to that of many mainstream models. The results demonstrate that the proposed method achieves a favorable balance between accuracy, parameter count, and efficiency, and possesses strong practical value and deployment potential. Full article
(This article belongs to the Special Issue Computer Vision Applications in Autonomous Vehicles)
Show Figures

Figure 1

12 pages, 1479 KB  
Article
Size-Dependent Permittivity for Alumina Powders
by Tien-Fu Yang, Hsien-Wen Chao, Bo-Wie Tseng, Yu-Syuan Dai and Tsun-Hsu Chang
Nanomaterials 2026, 16(7), 436; https://doi.org/10.3390/nano16070436 - 1 Apr 2026
Viewed by 316
Abstract
Alumina is a commonly used ceramic material known for high permittivity, low dielectric loss, good thermal conductivity, and low cost. In the development of electronic devices, the size effect of powdery materials is crucial, particularly in applications involving composite materials. This study introduces [...] Read more.
Alumina is a commonly used ceramic material known for high permittivity, low dielectric loss, good thermal conductivity, and low cost. In the development of electronic devices, the size effect of powdery materials is crucial, particularly in applications involving composite materials. This study introduces the field-enhancement method (FEM) to measure the resonant frequency (f0) and the quality factor (Q) of alumina powders packed in a Teflon container and placed on top of the central rod in the proposed cavity. The measured resonant condition (f0 and Q) is mapped to a contour plot and simulated using a high-frequency structure simulator (HFSS). The contour mapping technique allows the researchers to obtain the effective complex permittivity of alumina–air composites. The complex permittivity of the alumina powder is retrieved using a hybrid model and the effective medium theories (EMTs), respectively. The Landau–Lifshitz–Looyenga (LLL) model is compared with the results using the hybrid model for its applicability. The dielectric constant and the loss tangent of the alumina powder are found to increase as the powder size reduces. A power relation is found to fit the obtained permittivity, covering sizes ranging from nanometers to micrometers, and a surface-charge scaling argument is proposed to explain the observed trend. This finding opens a new avenue for manipulation of permittivity in composite materials and has potential applications in stealth/absorber technology and as a self-limiter for grain growth during sintering. Full article
(This article belongs to the Special Issue Dielectric and Ferroelectric Properties of Ceramic Nanocomposites)
Show Figures

Graphical abstract

16 pages, 1595 KB  
Article
Analytical Modeling of Geometrical Dot Gain Relationship Between AM and FM Halftone Screening Technologies
by Dean Valdec, Miljenko Štumerger, Igor Majnarić and Luka Valdec
Appl. Sci. 2026, 16(7), 3413; https://doi.org/10.3390/app16073413 - 1 Apr 2026
Viewed by 148
Abstract
Geometrical dot gain represents a fundamental physical phenomenon influencing tonal reproduction in halftone printing, particularly in offset and flexographic processes. However, a formally defined analytical framework capable of determining the tonal conditions of equal geometrical dot gain, particularly for hybrid screening design and [...] Read more.
Geometrical dot gain represents a fundamental physical phenomenon influencing tonal reproduction in halftone printing, particularly in offset and flexographic processes. However, a formally defined analytical framework capable of determining the tonal conditions of equal geometrical dot gain, particularly for hybrid screening design and tonal consistency optimization, has not yet been clearly established. In this study, a geometrical analytical model is formulated to determine the transition points of equal geometrical dot gain between AM and FM screening. Two analytical approaches were applied. The first compares the total contour length of halftone elements in both screening technologies, while the second relates the AM dot diameter to predefined FM microdot sizes. Calculations were performed for eight AM screen rulings (120–340 lpi) and six FM microdot diameters (20–50 μm) under predefined geometrical conditions (2540 dpi output resolution and circular dot shape). The results indicate that transition points predominantly occur within the highlight tonal region and systematically shift toward higher tonal percentages with increasing screen ruling. Both analytical procedures, although conceptually different, yield identical results, confirming the internal consistency of the model. The analytically determined transition points provide a geometrically justified basis for defining switching zones in hybrid and XM screening systems, enabling improved tonal stability and more consistent screening transitions. Full article
Show Figures

Figure 1

27 pages, 6900 KB  
Article
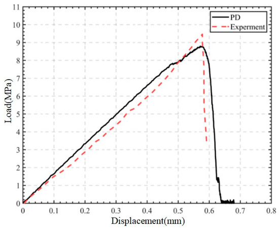
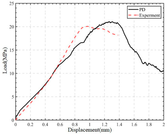
Non-Ordinary State-Based Peridynamics Simulation for Crack Propagation of 3D-Printed Fiber-Reinforced Concrete Beam Under Bending
by Tao Zhu, Yuching Wu, Peng Zhi, Peng Zhu, Meiyan Bai and Cheng Qi
Buildings 2026, 16(7), 1379; https://doi.org/10.3390/buildings16071379 - 31 Mar 2026
Viewed by 193
Abstract
This study proposes a novel semi-discrete model of non-ordinary state-based peridynamics. It is used to simulate the tensile failure process of dog bone-shaped specimens of 3D-printed fiber-reinforced concrete with 0%, 1% and 2% fiber volume fractions. The results are compared with the literature [...] Read more.
This study proposes a novel semi-discrete model of non-ordinary state-based peridynamics. It is used to simulate the tensile failure process of dog bone-shaped specimens of 3D-printed fiber-reinforced concrete with 0%, 1% and 2% fiber volume fractions. The results are compared with the literature laboratory results to verify the feasibility and reliability of the approach. In addition, it is utilized for a 3D-printable engineered cement-based composite (ECC) disk splitting simulation. Effects of different fiber lengths, printing interfaces, and fiber orientations on the failure process of disc specimens are investigated. It is found that ductile failure appears in the loading direction, while brittle failure appears in the other direction. Effect of fiber length on the bearing capacity is feeble. In addition, the non-ordinary state-based peridynamics semi-discrete model is used to simulate the crack propagation of three-point bending. The principal stress contours, damage diagrams, and displacement–load curves of the concrete matrix at different time steps during the crack propagation process are obtained. The simulation is in great agreement with the experimental results. Finally, it is demonstrated that the novel non-ordinary state-based peridynamics approach proposed in this paper is accurate and efficient to simulate fracture behavior of 3D-printed ECC beams. Full article
(This article belongs to the Section Building Materials, and Repair & Renovation)
Show Figures

Figure 1

27 pages, 3514 KB  
Article
ECAB-SegFormer: A Boundary-Aware and Efficient Channel Attention Network for Ulva prolifera Semantic Segmentation in Remote Sensing Imagery
by Yue Liang, Danyang Cao, Zice Ji, Hao Yang, Maohua Guo, Xiaoya Liu, Xutong Guo, Jiahao Wu, Yulong Song and Shanzhe Zhang
Sensors 2026, 26(7), 2166; https://doi.org/10.3390/s26072166 - 31 Mar 2026
Viewed by 205
Abstract
To achieve high-precision Ulva prolifera semantic segmentation from remote sensing imagery and address issues such as boundary fragmentation, contour dilation, and missed segmentation of scattered patches under complex marine backgrounds, this paper proposes an improved SegFormer-based network termed ECAB-SegFormer. The proposed method enhances [...] Read more.
To achieve high-precision Ulva prolifera semantic segmentation from remote sensing imagery and address issues such as boundary fragmentation, contour dilation, and missed segmentation of scattered patches under complex marine backgrounds, this paper proposes an improved SegFormer-based network termed ECAB-SegFormer. The proposed method enhances near-infrared feature representation and boundary perception by embedding an Efficient Channel Attention (ECA) module into shallow features and introducing a boundary supervision branch. Experimental results on the HYU dataset demonstrate that the proposed method achieves consistent improvements over classical baseline models and further outperforms several representative modern strong segmentation baselines. Compared with advanced methods such as DeepLabV3+, Swin-Unet, and Gated-SCNN, the proposed model achieves maximum improvements of 2.77%, 5.80%, and 4.26(pixel) in mIoU, BFScore, and Hausdorff Distance (HD), respectively, while also obtaining superior Precision and F1 Scores. These results demonstrate significant advantages in both regional segmentation accuracy and boundary localization quality, validating the effectiveness, robustness, and practical potential of the proposed method for Ulva prolifera semantic segmentation in remote sensing applications. Full article
(This article belongs to the Section Sensing and Imaging)
Show Figures

Figure 1

23 pages, 4933 KB  
Article
Research on Angle-Adaptive Look-Ahead Compensation Method for Five-Degree-of-Freedom Additive Manufacturing Based on Sech Attenuation Curve
by Xingguo Han, Wenquan Li, Shizheng Chen, Xuan Liu and Lixiu Cui
Micromachines 2026, 17(4), 423; https://doi.org/10.3390/mi17040423 - 30 Mar 2026
Viewed by 268
Abstract
To address over-extrusion and forming defects at path corners caused by path overlap in additive manufacturing, this paper proposes an angle-adaptive look-ahead compensation algorithm based on a Sech attenuation curve. This method establishes a mapping model between the path angle and the adaptive [...] Read more.
To address over-extrusion and forming defects at path corners caused by path overlap in additive manufacturing, this paper proposes an angle-adaptive look-ahead compensation algorithm based on a Sech attenuation curve. This method establishes a mapping model between the path angle and the adaptive look-ahead distance of the overlapping area, aiming to eliminate the material accumulation at the corner by precisely identifying the overlapping area and modulating the flow rate. By building a Beckhoff five-axis 3D-printing device and relying on the TwinCAT control platform, the compensation triggering logic based on PLC real-time Euclidean distance calculation was realized, and a slicing software with dynamic bias compensation was also developed. Experiments were conducted on triangular samples with extreme acute angles of 5°, universal acute angles of 85°, and 90° straight angles for printing verification. The results show that this algorithm can effectively suppress the material over-extrusion and accumulation at the path overlap in multiple angles, achieving a smooth transition of the sharp corners in the printed contour. The research confirms that the algorithm proposed in this study, together with the integrated software and hardware system, can ensure the forming accuracy of extreme and conventional geometric features while also guaranteeing the printing efficiency, providing an important reference for ensuring the quality coordination control of the formation process of extreme geometric features in additive manufacturing. Full article
Show Figures

Figure 1

19 pages, 2718 KB  
Article
The Design and Practice of an Experimental Teaching Case for UAV-Based Field-Data Acquisition in Outdoor Ecological Education
by Hao Li, Zhiying Xie and Suhong Liu
Sustainability 2026, 18(7), 3340; https://doi.org/10.3390/su18073340 - 30 Mar 2026
Viewed by 288
Abstract
Outdoor ecological practice is essential for cultivating ecological literacy; however, there is currently a relative lack of comprehensive outdoor practical teaching case designs for class-based teaching. This study describes the design of an experimental teaching case for ecological education involving UAV-based field data [...] Read more.
Outdoor ecological practice is essential for cultivating ecological literacy; however, there is currently a relative lack of comprehensive outdoor practical teaching case designs for class-based teaching. This study describes the design of an experimental teaching case for ecological education involving UAV-based field data collection. For the scheme, we selected the Xinhui Tangerine Peel Germplasm Resources Conservation Center in Jiangmen City, Guangdong Province as the study area, utilizing the DJI Phantom 4 RTK drone, which serves as the equipment for experimental teaching. The experiment is structured into three phases: indoor preparation, field execution, and data processing. Students from four groups collaboratively conducted aerial surveys across 24 partitioned plots, with flight altitudes stratified between groups to ensure safety and data integrity. (1) In the indoor preparation phase, appropriate single-flight operational units were defined. QGIS software (version 3.26.2) was employed for zonal mission planning, and suitable flight altitudes were estimated using contour data. (2) Field experiment phase. This involved conducting a comprehensive survey of the on-site environment, selecting suitable takeoff and landing points, dividing students into teams to carry out UAV-image-acquisition tasks, and assigning different altitudes for flight routes among the teams. (3) After the fieldwork, students processed imagery using Agisoft Metashape (version 2.0.1) to generate orthomosaics and digital surface models, and engaged in ecological interpretation of the results. The experimental design ensured orderly execution, complete data coverage, and active student participation. The results indicate the approach effectively enhanced students’ UAV operational skills, outdoor problem-solving abilities, and teamwork capabilities, while deepening their ecological understanding through real-world inquiry. This case provides a replicable model for integrating UAV technology into ecological education, contributing to the transformation of ecological awareness into actionable practice. Full article
Show Figures

Figure 1

23 pages, 2950 KB  
Article
Multi-View Camera-Based UAV 3D Trajectory Reconstruction Using an Optical Imaging Geometric Model
by Chen Ji, Yiyue Wang, Junfan Yi, Xiangtian Zheng, Wanxuan Geng and Liang Cheng
Electronics 2026, 15(7), 1425; https://doi.org/10.3390/electronics15071425 - 30 Mar 2026
Viewed by 306
Abstract
In low-altitude complex environments, accurately reconstructing the three-dimensional (3D) flight trajectories of small unmanned aerial vehicles (UAV) without onboard positioning modules remains challenging. To address this issue, this paper proposes a multi-view ground camera-based UAV 3D trajectory detection method founded on an optical [...] Read more.
In low-altitude complex environments, accurately reconstructing the three-dimensional (3D) flight trajectories of small unmanned aerial vehicles (UAV) without onboard positioning modules remains challenging. To address this issue, this paper proposes a multi-view ground camera-based UAV 3D trajectory detection method founded on an optical imaging geometric model. Multiple ground cameras are used to synchronously observe UAV flight, enabling stable 3D trajectory reconstruction without relying on onboard Global Navigation Satellite System (GNSS). At the two-dimensional (2D) observation level, a lightweight object detection model is employed for rapid UAV detection. Foreground segmentation is further introduced to extract accurate UAV contours, and geometric centroids are computed to obtain precise image plane coordinates. At the 3D reconstruction stage, camera extrinsic parameters are estimated using a back intersection method with ground control points, and the UAV spatial position in the world coordinate system is recovered via multi-view forward intersection. Field experiments demonstrate that the proposed method achieves stable 3D trajectory reconstruction in real urban environments, with a median error of 4.93 m and a mean error of 5.83 m. The mean errors along the X, Y, and Z axes are 2.28 m, 4.58 m, and 1.09 m, respectively, confirming its effectiveness for low-cost UAV trajectory monitoring. Full article
Show Figures

Figure 1

19 pages, 436 KB  
Review
Artificial Intelligence and Esthetics: Redefining Precision and Beauty in Plastic Surgery
by Dinu Iuliu Dumitrascu, Stefan Lucian Popa, Victor Incze, Darius-Stefan Amarie, Leo Gaspari, Paul Aluas, Abdulrahman Ismaiel, Daniel Corneliu Leucuta, Liliana David, Florin Vasile Mihaileanu, Claudia Diana Gherman, Vlad Dumitru Brata and Irina Dora Magurean
Medicina 2026, 62(4), 633; https://doi.org/10.3390/medicina62040633 - 26 Mar 2026
Viewed by 332
Abstract
Artificial intelligence (AI) is increasingly reshaping esthetic and reconstructive plastic surgery by improving measurement accuracy, treatment planning, and prediction of surgical outcomes. This article provides a scientific overview of current AI applications, including automated image analysis, machine-learning-based outcome forecasting, and generative models for [...] Read more.
Artificial intelligence (AI) is increasingly reshaping esthetic and reconstructive plastic surgery by improving measurement accuracy, treatment planning, and prediction of surgical outcomes. This article provides a scientific overview of current AI applications, including automated image analysis, machine-learning-based outcome forecasting, and generative models for preoperative simulation. AI-driven three-dimensional morphometrics allow precise, reproducible quantification of facial and body structures, supporting more objective assessments of symmetry, proportion, and contour. Predictive algorithms trained on large clinical datasets can estimate postoperative results and complication risks with higher consistency than traditional subjective evaluation. Intraoperative AI tools, such as real-time image guidance and robotic assistance, show potential to increase procedural precision and reduce variability. Despite these advances, important limitations persist. Algorithmic bias, restricted data diversity, opaque model architectures, and unresolved ethical concerns regarding data privacy and esthetic standardization challenge widespread clinical adoption. Overall, AI offers a powerful framework for enhancing precision and reproducibility in esthetic surgery, but its safe and responsible integration will require rigorous validation, transparent methodology, and continued human oversight. Full article
(This article belongs to the Special Issue Advances in Reconstructive and Plastic Surgery)
Show Figures

Figure 1

Back to TopTop