Next Article in Journal
Physics-Informed Neural Network Framework for Predicting Creep-Induced Camber in Simply Supported Prestressed Concrete Girder Bridges
Previous Article in Journal
Improved Small Baseline Subset InSAR Deformation Monitoring Method for the Great Wall Using UAV LiDAR DEM Constraints
Previous Article in Special Issue
Prediction of Compressive Strength of Carbon Nanotube Reinforced Concrete Based on Multi-Dimensional Database
 
 
Font Type:
Arial Georgia Verdana
Font Size:
Aa Aa Aa
Line Spacing:
Column Width:
Background:
Article

Non-Ordinary State-Based Peridynamics Simulation for Crack Propagation of 3D-Printed Fiber-Reinforced Concrete Beam Under Bending

1
College of Civil Engineering, Tongji University, Shanghai 200092, China
2
College of Civil Engineering, Guangxi University, Liuzhou 545026, China
*
Authors to whom correspondence should be addressed.
Buildings 2026, 16(7), 1379; https://doi.org/10.3390/buildings16071379
Submission received: 4 December 2025 / Revised: 12 January 2026 / Accepted: 28 January 2026 / Published: 31 March 2026

Abstract

This study proposes a novel semi-discrete model of non-ordinary state-based peridynamics. It is used to simulate the tensile failure process of dog bone-shaped specimens of 3D-printed fiber-reinforced concrete with 0%, 1% and 2% fiber volume fractions. The results are compared with the literature laboratory results to verify the feasibility and reliability of the approach. In addition, it is utilized for a 3D-printable engineered cement-based composite (ECC) disk splitting simulation. Effects of different fiber lengths, printing interfaces, and fiber orientations on the failure process of disc specimens are investigated. It is found that ductile failure appears in the loading direction, while brittle failure appears in the other direction. Effect of fiber length on the bearing capacity is feeble. In addition, the non-ordinary state-based peridynamics semi-discrete model is used to simulate the crack propagation of three-point bending. The principal stress contours, damage diagrams, and displacement–load curves of the concrete matrix at different time steps during the crack propagation process are obtained. The simulation is in great agreement with the experimental results. Finally, it is demonstrated that the novel non-ordinary state-based peridynamics approach proposed in this paper is accurate and efficient to simulate fracture behavior of 3D-printed ECC beams.

1. Introduction

Since the 20th century, the rapid advancement of construction technologies has imposed increasingly stringent demands on concrete materials. Ordinary concrete, with its limitations in strength, ductility, tensile capacity, crack resistance, and durability, often fails to satisfy contemporary engineering requirements. In response, researchers have developed innovative concrete materials [1,2,3,4], notably high-strength concrete (HSC), high-performance concrete (HPC), and fiber-reinforced concrete (FRC). In particular, fiber-reinforced concrete has gained significant attention from both researchers and practitioners due to its superior crack resistance, impact tolerance, ductility, and durability, leading to widespread applications in infrastructure projects including roads, bridges, underground structures, and industrial facilities [5,6,7]. This material enhances concrete properties through the incorporation of uniformly dispersed fibers, which may include steel, glass, or polymer fibers.
The emergence of 3D printing technology has revolutionized concrete construction through its framework-free, layer-by-layer deposition method, offering substantial savings in labor and resources. However, this innovative approach presents challenges in reinforcement placement, resulting in printed components with inadequate load-bearing capacity and ductility. While solutions such as printing templates, manual reinforcement cages, and stressed reinforcement have been proposed [8,9], these methods contradict the fundamental automation objectives of 3D concrete printing. Concurrently, significant progress has been made in high-performance fiber-reinforced cementitious composites [10,11,12,13]. The anisotropic nature of 3D-printed concrete, resulting from its extrusion-based manufacturing and layered deposition process [14,15,16], encompasses various material classifications including orthotropic, triangular, and anisotropic materials [17,18,19]. The interlayer bonding interface, inherent to the printing process without compaction [20], represents a structural weakness throughout the printed element. Wu et al. [21] categorized 3D-printable concrete materials as either orthotropic or anisotropic, with independent material parameters ranging between 9 and 13. Through finite element modeling incorporating interfacial bonding characteristics and traction–separation laws, Xiao et al. [22] investigated how interfacial properties influence anisotropic mechanical behavior, with experimental validation. Their analysis of nozzle dimensions, bond strength, and material properties revealed that horizontal shear deformation between printed fibers reduces compressive strength, while mid-span tensile strength governs flexural performance. Specimens tested in Y and Z directions exhibited lower compressive strength but significantly enhanced flexural capacity. It has been demonstrated that the number of interfaces and the tensile and shear properties of the interfaces between the printed fibers are the main factors affecting the anisotropic change under compression and bending.
Ding et al. [23] investigated the anisotropic behavior of 3D-printed concrete through the incorporation of polyethylene (PE) fibers into cementitious matrices. Their findings demonstrate that PE fiber reinforcement effectively shifts the failure mechanism from interface-dominated to fiber-controlled behavior, resulting in significant enhancement of flexural strength across all three principal directions. The study further revealed that post-peak performance exhibits a direct correlation with fiber content, highlighting the importance of optimal fiber length selection in material design. Ma et al. [24] employed piezoelectric lead zirconate titanate sensors coupled with mechanical impedance methodology to monitor real-time damage progression in printed specimens under loading conditions. Their experimental results indicate that tensile stresses normal to the fiber orientation at weakened interfaces possess greater crack initiation potential compared to stresses parallel to the interface plane.
There were several numerical methods based on continuum mechanics developed for fracture mechanics. The crack band model [25] improved upon FCM by conceptualizing fractures as smeared crack bands with finite width, enabling mesh-independent crack propagation and superior numerical efficiency [26]. The two-parameter fracture model [27,28] incorporated concrete non-linearity through empirical regression analyses, though constrained by complex loading protocols. The effective crack model [29,30] accounted for plastic deformation effects on equivalent crack length. The size effect model [31] quantified fracture energy dependence on specimen dimensions via dimensional analysis.
To address the inherent limitations of conventional continuum mechanics in modeling discontinuous problems, Silling et al. [32] pioneered the peridynamics theory. The non-local continuum mechanics approach discretized materials into interacting material points, formulating governing equations through spatial integration rather than displacement derivatives. This formulation enables natural simulation of spontaneous crack initiation at arbitrary locations, unrestricted crack propagation in any direction, and complex fracture patterns without predefined crack paths. The method demonstrates particular efficacy in concrete failure analysis due to its intrinsic capability in handling discontinuities.
Silling et al. [33] developed ordinary state-based peridynamics (OSPD) in 2007, introducing force state vectors describing non-local interactions, variable interaction magnitudes between bonded points, and removal of Poisson’s ratio restrictions. Non-ordinary state-based peridynamics (NOSPD) [34] further advanced the framework by permitting anisotropic force states, complete freedom in force direction and magnitude, and incorporation of ordinary constitutive models.
Owing to its computational simplicity and straightforward implementation, bond-based peridynamics (BBPD) has been extensively employed in structural fracture analysis and crack propagation studies [35,36,37,38,39,40]. The method’s unique capabilities are demonstrated through several landmark applications. Theoretical breakthroughs are given as follows. Silling et al. [32] successfully analyzed one-dimensional infinite self-balancing members using BBPD, obtaining solutions unattainable through classical continuum mechanics. The non-local nature preserves particle interactions across discontinuities, distinguishing material separation from bond rupture.
Engineering applications for concrete structures included that Oterkus et al. [40] accurately predicted residual strength of impact-damaged reinforced concrete panels under multi-path loading. Weckner and Abeyaratne [41] revealed that linear micro-elastic rods can develop jump discontinuities in displacement fields during dynamic loading, while maintaining solution uniqueness within piece-wise continuous functions. Xia et al. [42] incorporated the isogeometric analysis and peridynamic method, and enhanced computational accuracy while mitigating boundary effects. Demmie and Silling [43] extended BBPD to simulate extreme loading on RC structures, validating its physical feasibility for composites and explosives. Several advanced modeling techniques have been developed. Das et al. [44] integrated XFEM with BBPD for three-phase concrete modeling, achieving excellent experimental correlation. The collective studies demonstrate unique strengths of BBPD in natural fracture modeling without predefined crack paths, capturing complex damage evolution patterns, and combining with other numerical methods for enhanced accuracy. The state-based peridynamics framework offers significant advantages in computational mechanics, particularly its ability to directly incorporate classical constitutive models while maintaining its non-local formulation. Recent advancements have demonstrated its effectiveness in modeling complex fracture phenomena across various material systems. Lai et al. [45] developed a novel non-ordinary state-based peridynamics (NOSPD) model for quasi-brittle materials, integrating a modified Johnson–Holmquist constitutive model within a finite strain framework. The validation studies revealed excellent agreement between numerical predictions and experimental observations, particularly in capturing damage initiation patterns, crack propagation trajectories, and brittle fracture characteristics. Behera et al. [46] established an innovative weak-bond formulation for analyzing hyper-elastic materials, featuring a compressible neo-Hookean material model implementation, derivation of weak-form peridynamic equilibrium equations, and non-local deformation gradient computation via PD differential operators.
Recent years have witnessed significant advancements in applying peridynamic theory to 3D-printed concrete research. Zhu et al. [47] pioneered a fluid–structure interaction peridynamic model that captures the phase transformation of concrete during printing. Their bond-based correspondence model successfully characterizes both fluid and solid behaviors, particularly focusing on the critical early-stage forming process. The methodology has been extended to fiber-reinforced systems through various approaches. For example, Yaghoobi and Chorzepa [48] employed peridynamics to analyze flexural failure mechanisms. Liu et al. [49] developed an ABAQUS-based framework featuring zero-thickness cohesive elements for interlayer interfaces, a modified concrete damage plasticity model accounting for fiber effects, and four-point bending simulation of printed beams. While demonstrating progress, ordinary methods exhibit notable constraints, such as inadequate dynamic failure simulation capability, numerical convergence challenges in long-duration analyses, and neglect of printing-induced fiber orientation effects [50,51].
This paper presents a non-ordinary state-based peridynamics (NOSB-PD) framework to simulate crack propagation in 3D-printed fiber-reinforced concrete (3DP-FRC) beams under bending. To the authors’ knowledge, non-ordinary state-based peridynamics has been applied for the first time to simulate and model crack propagation in 3D-printed fiber-reinforced concrete beams under bending. A constitutive model accounting for the anisotropic mechanical behavior induced by the layer-wise deposition process of 3D printing is developed and integrated into the NOSB-PD formulation. The model is first verified against two benchmark fracture tests—axial tension on dog bone-shaped specimens and Brazilian splitting on circular disks—and then applied to simulate three-point bending of 3DP-FRC beams. Detailed comparisons between simulated crack patterns and experimental observations demonstrate the model’s ability to capture key fracture characteristics, including crack initiation, branching, and propagation paths aligned with the printed microstructure. The study highlights the potential of peridynamics as a predictive tool for fracture analysis in additively manufactured cementitious composites.

2. Methods

2.1. Ordinary State-Based Peridynamics

A fundamental assumption of peridynamics is that discrete material points interact with other material points within a certain range around them, and this range is referred to as the horizon or non-local neighborhood of the material point. The horizon defines the cutoff distance beyond which interactions are negligible, distinguishing peridynamics from classical continuum mechanics where interactions are strictly local. This non-local feature enables peridynamics to naturally simulate discontinuities like cracks without ad hoc fracture criteria [52]. The interaction domain can be visualized as a spherical region centered on each material point, with its size determined by material properties and modeling requirements. The ordinary state-based peridynamics model is actually a generalization of the bond-based peridynamics model. However, some assumptions noticeably limit physical realism, particularly the treatment of fibers as straight segments, the neglect of fiber bending stiffness, and the restriction of all simulations to 2D plane-stress conditions. These choices for computational efficiency induce simplifications at odds with the pronounced three-dimensionality of printed interfaces and fiber orientations. In the ordinary state-based peridynamics model, the two force density vectors are still along the line connecting the two material points, but the magnitudes may not be equal. Based on the assumption, the equation of motion can be expressed as
ρ ( x ) u ¨ ( x , t ) = H f ( η , ξ , t ) d V + b ( x , t ) ,
where ρ denotes the density of the material, x the position vector, u   ¨ the acceleration vector, f the interactional force density vector, η the displacement state, ξ the relative position vector, b body force density, and t time.
In peridynamics, a state is a tensor function, specifically a collection of higher-order tensors. In the state-based peridynamics model, the interactional force density is defined as
f ( η , ξ , t ) T ( x , u ) ξ T ( x , u ) ξ ,
where T ( x , u ) ξ and T ( x , u ) ξ denote are the force density vector states of ξ and −ξ, respectively, referred to as force states for short.

2.2. Non-Ordinary State-Based Peridynamics

Non-ordinary state-based peridynamics (NOSB-PD) represents a powerful extension of classical continuum mechanics that bridges the gap between local and non-local theories while retaining compatibility with conventional stress–strain descriptions. Unlike bond-based peridynamics—which suffers from a fixed Poisson’s ratio limitation—NOSB-PD introduces a state concept that allows each material point to interact with its neighbors through general force states derived from a deformation gradient-like quantity. This enables the incorporation of arbitrary constitutive models (e.g., anisotropic, elastoplastic, or damage laws), making it especially suitable for heterogeneous and directionally dependent materials such as 3D-printed concrete with aligned fibers or layer-wise microstructures.
A key strength of NOSB-PD lies in its ability to naturally handle discontinuities—such as cracks—without requiring special treatment (e.g., remeshing or enrichment functions), as the integral formulation remains valid across broken bonds. This is particularly advantageous for simulating complex crack patterns (branching, coalescence, mixed-mode fracture) in quasi-brittle materials under bending or impact loading.
However, NOSB-PD is not without challenges. It is susceptible to zero-energy modes (spurious oscillations due to rank deficiency in the deformation state), which often necessitate stabilization techniques (e.g., penalty methods or filtering). Additionally, the computational cost can be high due to dense interaction neighborhoods and the need for careful calibration of horizon size and micromodulus functions.
In the context of additively manufactured cementitious composites, where mechanical response is inherently anisotropic and defect-sensitive, NOSB-PD offers a compelling framework to link process-induced microstructure (e.g., print layer orientation, fiber alignment) with macro-scale fracture behavior. Its successful application—as demonstrated in studies like the one on 3D-printed fiber-reinforced concrete beams—underscores its potential as a predictive tool for digital twin development and performance optimization in next-generation construction materials.
In non-ordinary state-based peridynamics, the force density vector applicable to any material can be written as
t ( x ) = P ( x ) g ( x , ξ ) ,
where P(x) denotes the Piola–Kirchhoff stress tensor given as
P = ( ( F T F ) : [ F P D T F P D I ] / 2 ) F P D ,
g ( x , ξ ) = w ( ξ ) K 1 ( x ) ξ
where K(x) denotes the deformation tensor given as
K ( x ) = H w ( ξ ) ( ξ ξ ) d V ,
and FPD(x) denotes deformation gradient tensor given as
F P D ( x ) = H ( η + ξ ) g ( x , ξ ) d V ,

2.3. Numerical Modeling

Current modeling approaches for Engineered Cementitious Composites (ECC) predominantly fall into two categories: fully discrete and semi-discrete models. The fully discrete method entails individually modeling each fiber and integrating them into the global framework. However, due to the extensive fiber count in ECC, explicit representation of every fiber would introduce prohibitively high degrees of freedom, severely compromising computational efficiency. Consequently, this study adopts the semi-discrete model. In this approach, ECC fibers are not assigned independent degrees of freedom; instead, the fiber–cement matrix interface is characterized by interaction forces applied to material particle points.
The discrete form of the equation of motion is expressed as
ρ u ¨ i n = j H f i j Δ V i j + b i n ,
where n is the time step of i and j, respectively; u j n represents the displacement of node j at the n-th time step; and Vij represents the volume of the j-th particle.
The motion equations in peridynamics contain integrals of displacement with respect to space and derivatives of displacement with respect to time, but no derivatives of displacement with respect to space. This fundamentally eliminates the requirement for strong continuity of displacement inherent in traditional continuum mechanics.
A critical aspect of peridynamics’ numerical implementation is time integration, for which several algorithms exist—including the Velocity Verlet algorithm, Euler method, and central difference method. For instance, the Velocity Verlet algorithm offers distinct advantages: it not only eliminates dependence on prior step information but also maintains high-order accuracy.
While the primary objective of peridynamics is to model dynamic crack propagation, static solutions can be derived by employing dynamic relaxation techniques. This approach involves introducing an artificial damping coefficient into the motion equations, enabling the system to swiftly converge toward a steady-state solution—where particle acceleration diminishes to negligible levels—thereby approximating static equilibrium. Substitution of virtual inertia and damping terms into the motion equations of peridynamics yields
M u ¨ ( x , t ) + C u ˙ ( x , t ) = F ( η , ξ ) + b ( x , t ) ,
where M is the diagonal density matrix, and C is the damping coefficient.

2.4. Random Generation of Fibers

To accurately model fibers in Engineered Cementitious Composites (ECC), simulating their random spatial distribution is critical. For uniform random fiber placement, MATLAB (v2024) RAND function is employed to generate seed points. Within a rectangular domain of dimensions L × W, the fiber generation strategy proceeds as follows: (1) compute midpoint coordinates, (2) determine inclination angles, and (3) grow half-fiber lengths bidirectionally from the central point.
To ensure fibers remain entirely within the matrix, certain constraints must be imposed on their formation. Some researchers have proposed limiting the fiber’s central point to at least half its length within the matrix boundary’s inner side. While this approach offers simplicity and convenience, it fails to account for fibers approaching parallel matrix boundaries. This study proposes an alternative method that considers boundary fiber distribution while maintaining algorithmic simplicity.
The process initiates with the random generation of mid-point coordinates for fiber points. Subsequently, the two endpoints of the fiber are evaluated. If either endpoint extends beyond the base area, the current tilt angle is discarded, and the structure is regenerated. If multiple regeneration attempts fail to meet the requirement of retaining the fiber’s entire length within the base area, this indicates that the fiber midpoint was generated near the base corner, rendering successful fiber formation unfeasible. In such cases, the fiber midpoint coordinates are regenerated.
Consider a rectangular matrix with dimensions of 50 mm × 50 mm. Assuming fiber length of 12 mm and a total number of 500 fibers, the results obtained using two distinct generation strategies are illustrated in Figure 1. It can be observed that, using the general algorithm shown in Figure 1a, fibers are predominantly clustered within the interior region of the matrix, leading to an unrealistic distribution near the matrix boundaries. In contrast, the random fiber distribution strategy employed in this study explicitly accounts for fiber placement along the matrix edges, thereby yielding a more physically realistic configuration shown in Figure 1b.
The generation of fiber forces is intrinsically linked to crack propagation within matrix materials. As cracks form in the matrix, fibers serve as structural bridges between the crack faces, thereby initiating force generation. Building upon peri-dynamic models where material failure is characterized by bond fracture, we introduce a fiber activation parameter that responds to bond integrity. Fibers remain passive (unactivated) when intersecting bonds exhibit no damage. Upon bond damage initiation, the system partitions surrounding material particles into two groups based on the bond with the highest damage value, each group applying opposing end forces. Complete fiber failure occurs when the relative displacement between ends exceeds the maximum embedment length.
For a discrete fiber bridging a crack with opening displacement w, the residual tensile traction σf(w) contributed by the fiber is modeled as
σ f ( w ; l e , A f ) = 2 τ b p f A C 1 w w max ( l e ) , 0 < w w max ( l e ) 0 , w > w max ( l e ) ,
where w is the local crack opening displacement, le the effective fiber embedment length on one side of the crack, pf the fiber perimeter, AC the representative area associated with a single fiber, τb the effective interfacial bond shear strength between fiber and matrix, and Ef the elastic modulus of the fiber. A fiber contributes bridging traction only if it intersects a crack surface and satisfies le > 0 on both sides of the crack. In the NOSPD context, this is enforced by checking whether the material points connected by a fiber lie on opposite sides of a damage zone.
In this study, dynamic relaxation is employed to obtain static equilibrium solutions within the non-ordinary state-based peridynamics (NOSPD) framework. The procedure utilizes mass scaling and an artificial damping term proportional to nodal velocity, with a damping coefficient empirically calibrated to balance convergence efficiency and numerical stability—typically set within the range of 0.5–2.0 based on preliminary sensitivity analyses. The bond breakage criterion adopts a critical stretch-based damage law, modified to incorporate fiber-bridging effects through an enhanced energy dissipation threshold that accounts for the anisotropic microstructure induced by the 3D printing process. To mitigate spurious oscillations inherent in explicit time integration schemes, a combination of velocity averaging and adaptive time-step control is implemented, complemented by a stabilization term inspired by the hourglass control technique commonly used in meshfree methods. These numerical strategies collectively ensure robust and physically consistent simulation of crack initiation and propagation in 3D-printed fiber-reinforced concrete beams under bending loads.

3. Verification

The simulation results of the ECC specimen tensile multi-crack initiation test and the 3D-printed FRC Brazilian disk splitting test are compared with experimental results in this paper. This serves to validate the proposed numerical simulation method.

3.1. Random Generation of Fibers

This test uses a specimen cast from ECC (Engineered Cementitious Composite), with dimensions as shown in Figure 2. The EEC parameters come from the doctoral thesis [51]. It is assumed to be a plane stress problem, with a load of 2.5 MPa applied at both ends of the specimen. The concrete matrix has an elastic modulus of 22.35 GPa, a Poisson’s ratio of 0.2, a density of 2380 kg/m3, an ultimate tensile strength of 5.36 MPa, an ultimate compressive strength of 47.8 MPa, and a critical fracture energy of 3.8 J/m2. The fiber volume fractions are set to 1% and 2%, respectively. The distance between the material particles in the near-field dynamics is 0.25 mm, and the radius of the near field is taken as 1.00 mm. The time increment is taken as 5.0 × 10−8 s. Figure 3 presents a random distribution of fibers for the simple tension test.
Figure 4a–d illustrate crack propagation history of tensile specimens with 2% fiber volume fraction at the 1000th, 3000th, 5000th, and 8000th time steps, respectively. It is observed that initial defects serve as nucleation points for crack initiation to some extent, though cracks do not exclusively propagate from these defects. The cracks emerging at both ends of the test region undergo transient development before bifurcating, ultimately forming a diamond-shaped crack pattern at the center. Subsequently, these central cracks merge with the end cracks through coalescence, creating a dominant central crack zone. Notably, even after crack formation, the specimen maintains load-bearing capacity due to fiber bridging effects. This is followed by the emergence of multiple vertical crack propagation, effectively demonstrating the multiple cracking characteristic of Engineered Cementitious Composites (ECC). Figure 5a,b shows a comparison between results of the simulation and the laboratory experiment [53]. They are in good agreement.
When the fiber volume fraction is 1%, the number of fibers is set to 303, yielding a normalized fiber spacing of 71.81. The peridynamics simulation results are presented in Figure 6a–d. It is indicated that crack propagation remains within a controlled range, with no evidence of rapid unstable crack growth. Initial defects serve as preferential sites for crack initiation, though not exclusively. The final crack count ranges between 4 and 5, in good agreement with the experimental result, as shown in Figure 7a,b.
A tensile simulation of the dog bone-shaped specimen was conducted without fiber reinforcement. As shown in Figure 8a–d, the crack initiates from the initial defect and propagates toward the specimen edge, where fine branching begins to emerge. Overall, the simulation results closely match the experimental observations, as shown in Figure 9a,b.

3.2. 3D-Printed Fiber-Reinforced Disk Splitting Test

This section presents a numerical simulation of the Brazilian disk splitting test for ultra-high-performance fiber-reinforced concrete fabricated via 3D printing, with comparative analysis against experimental data by Yang et al. [54]. A rectangular concrete block is produced through 3D printing, where the X-axis aligns with the printing path direction, the Y-axis represents the out-of-plane direction, and the Z-axis denotes the vertical axis. Figure 10a–c present the 3D-printed fiber-reinforced specimens of the disk splitting test. The elastic modulus of the concrete matrix is set to be 46.65 GPa, Poisson ratio 0.2, compression strength 131.49 MPa, tensile strength 10.11 MPa, fracture energy 318 N/m, and time increment 2 × 10−8 s. Steel fibers were employed as reinforcement, with two distinct lengths: 6 mm and 10 mm. Figure 11a–f present the random distribution of fibers for the disk splitting test in different cases, P-XOZ-6, P-XOZ-10, P-XOY-6, P-XOY-10, P-YOZ-6, and P-YOZ-10, respectively.
The crack propagation process of P-XOZ-6 is illustrated in Figure 12. At the 2500th time step, stress concentration-induced damage initiates at both loading points, activating surrounding fibers to generate fiber-bridging forces. At the 4000th time step, cumulative damage forms distinct propagation paths extending from the loading points toward the center, with sequential fiber activation along these paths. At the 6000th time step, increased damage values at both loading points cause the propagation paths to approach convergence. At the 7500th time step, the intersecting damage paths form a central crack propagation that is maintained due to fiber reinforcement. The final damage distribution at the 8000th time step, compared with experimental results, is presented in Figure 13.
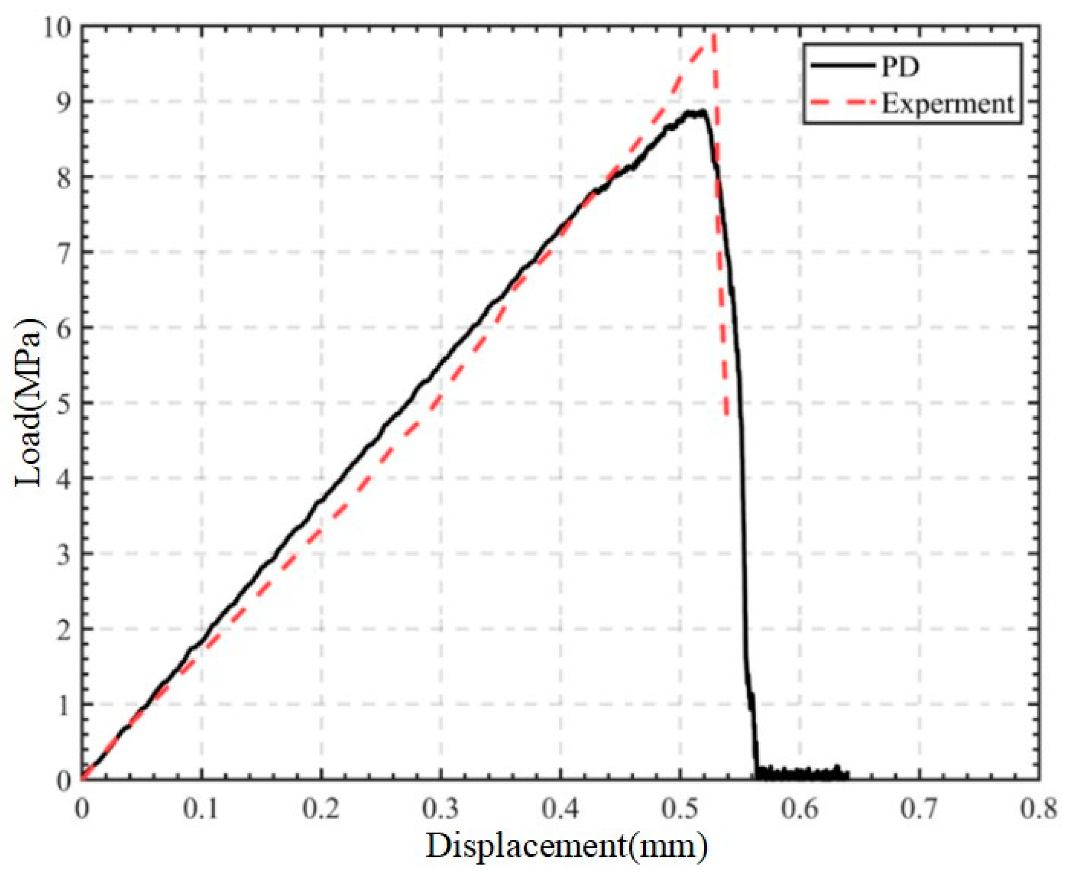
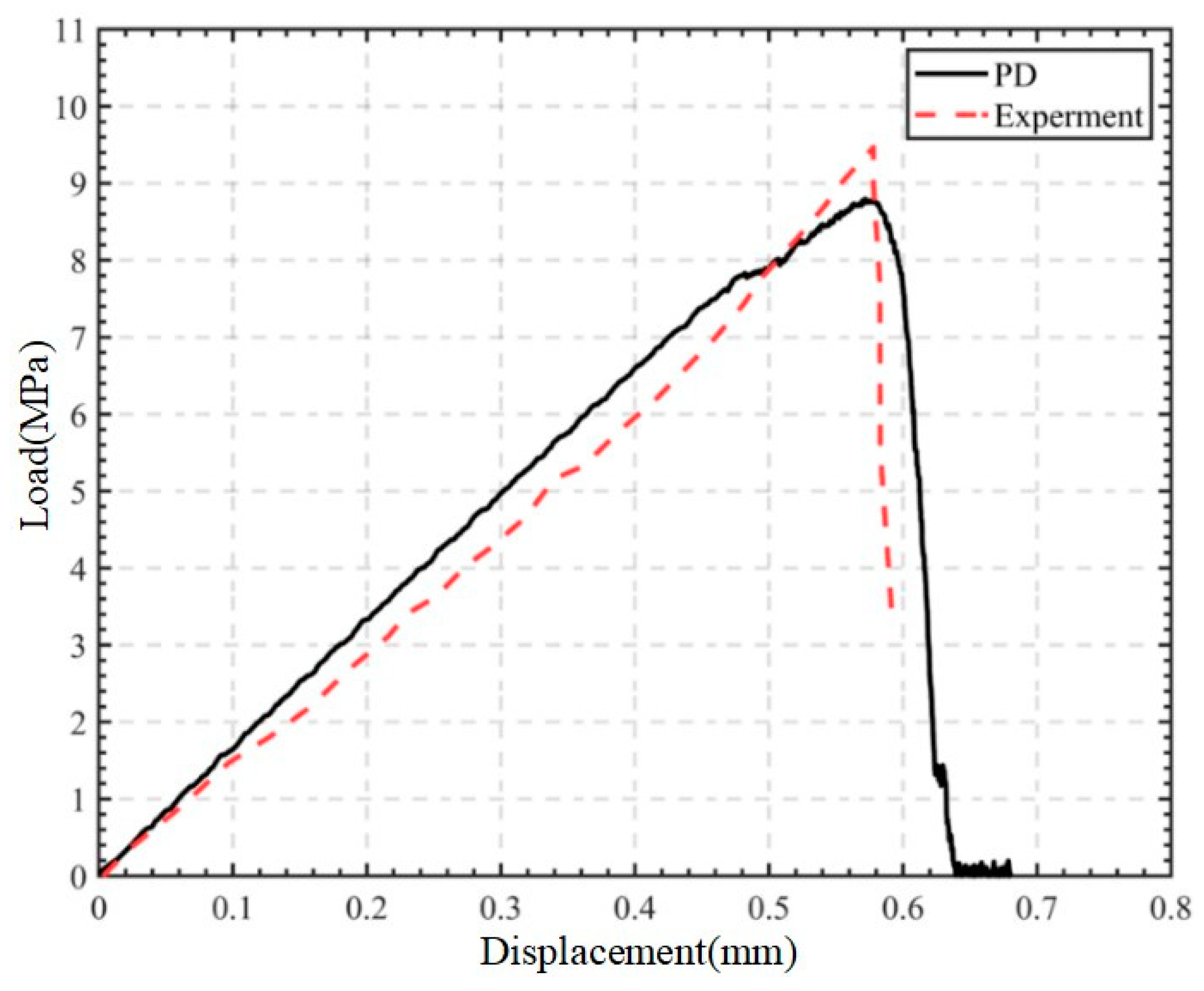
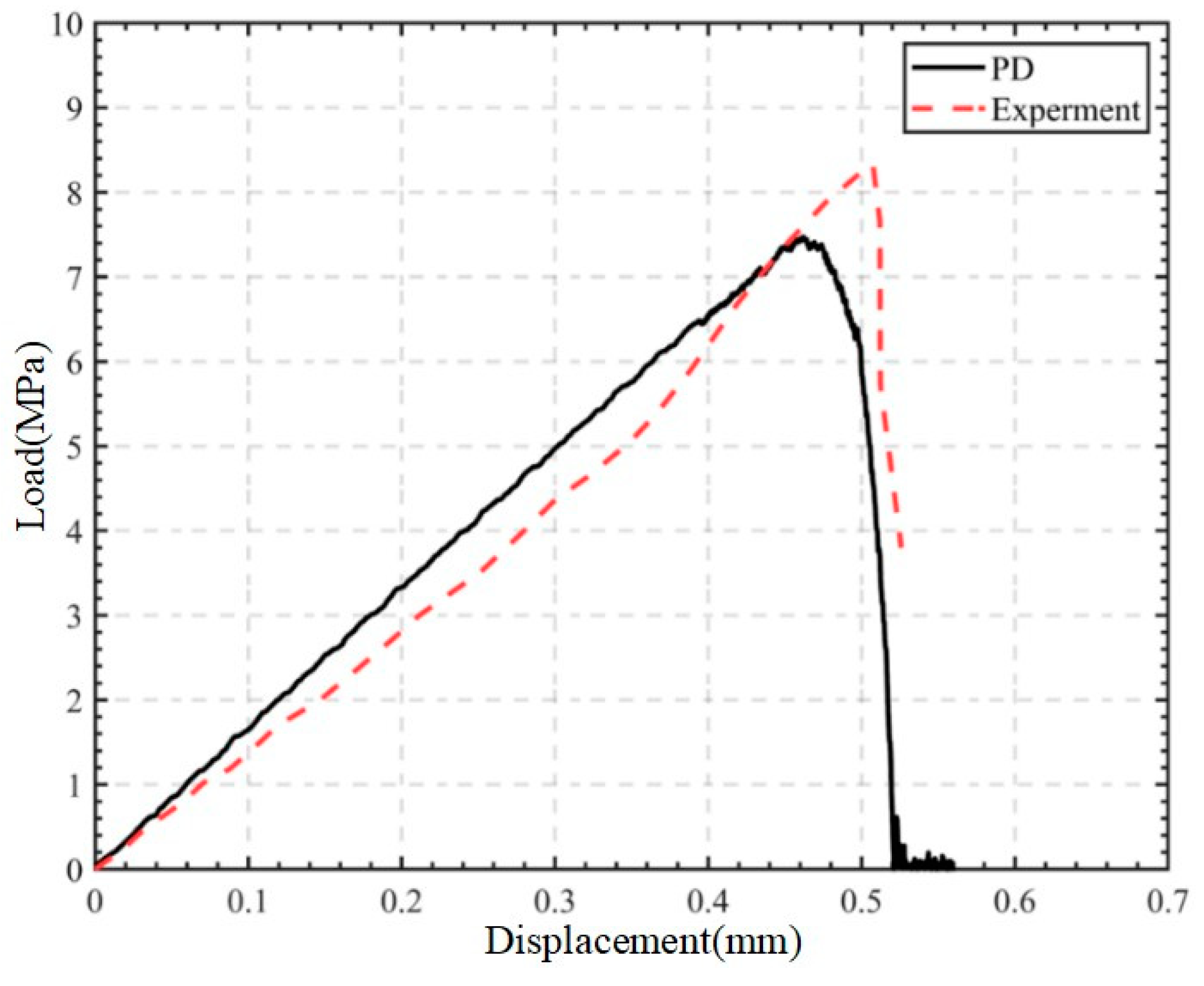
Figure 14 presents the load–displacement curve of specimen P-XOZ-6. The simulation results closely align with the experimental data during the initial ascending phase. However, the experimental curve exhibits a sharp decline after reaching its peak load, which may be attributed to potential defects introduced during printing or cutting. Probably, the post-peak behavior may be due to a lack of control during the test. In contrast, the simulation does not undergo sudden failure after peak load but instead demonstrates a gradual reduction in bearing capacity. This indicates that transversely distributed steel fibers in the vertical printing direction effectively bridged cracks after initiation, thereby enhancing the ductility of the disk-shaped specimen. The simulated peak load value was 19.91 MPa. Figure 15 shows the load–displacement curve of specimen P-XOZ-10, with a simulated peak load of 21.13 MPa. Compared to specimen P-XOZ-6, the results indicate that steel fiber length has a relatively minor influence on the load-bearing capacity of the 3D-printed concrete matrix. However, both specimens demonstrate a significant improvement in ductility perpendicular to the printing direction. Figure 16 presents the load–displacement curve of specimen P-XOY-6. During the initial loading stage, a distinct linear relationship between displacement and load is observed, with load increasing proportionally with displacement. However, upon reaching peak load, rapid crack propagation occurs, leading to a sudden loss of bearing capacity. This behavior suggests that under loading parallel to the printing direction, the steel fibers are predominantly aligned with the applied load, causing cracks to propagate along the fiber orientation. Consequently, the crack-bridging effect of the fibers is minimal, resulting in negligible enhancement of ductility for the 3D-printed concrete matrix. The simulated peak load value was approximately 7.42 MPa. Figure 17 presents the load–displacement curve of specimen P-XOY-10, with a simulated peak load of 8.93 MPa—higher than that of specimen P-XOY-6. However, the brittle failure characteristic remains unchanged. As shown in Figure 18, the load–displacement curve of specimen P-YOZ (without considering fiber reinforcement) exhibits behavior analogous to ordinarily cast Brazilian disk splitting tests. The influence of 3D printing interfaces at this scale is negligible. The specimen demonstrates a brittle failure mode, characterized by rapid crack nucleation, propagation, and reaching peak load. The simulated maximum load value of 8.8 MPa slightly exceeds that of specimen P-XOY-6.
In fact, reference [52] (which reports the experimental data used for validation) includes three replicate tests for the three-point bending configuration of 3D-printed fiber-reinforced concrete beams. All replicates exhibited similarly abrupt post-peak collapse, suggesting that this behavior is not an outlier but rather characteristic of the material system and manufacturing process. Post-test visual inspection in [52] revealed a consistent presence of interlayer delamination and localized debonding near the notch tip—defects inherent to extrusion-based 3D printing, especially when fibers are not perfectly aligned across layers.
Our current NOSB-PD model incorporates anisotropic strength and fracture energy based on print direction but assumes a relatively homogeneous distribution of fibers and bond quality. It does not explicitly resolve microscale printing-induced flaws (e.g., lack of interlayer fusion, air pockets, or fiber clustering). Consequently, the simulated response reflects an “idealized” fracture process governed primarily by tensile softening, leading to a smoother post-peak tail. In reality, the sudden loss of load capacity in experiments likely stems from catastrophic interlayer separation—a failure mode that involves mixed-mode delamination not fully captured by the current isotropic damage criterion applied within the anisotropic stiffness framework.
To better align simulation with experiment, future work will incorporate stochastic defect fields or interface-enriched peridynamic layers to explicitly model weak interlayer zones.

3.3. Sensitivity Analysis of Key Fiber-Bridging Parameters

To assess the robustness and physical fidelity of the proposed NOSPD model, parametric sensitivity studies were conducted with respect to the fiber activation threshold (ϕact)—the critical damage index above which a bond is considered cracked and eligible for fiber-bridging contribution—and the fiber distribution density (ρf), defined as the number of fibers per unit cross-sectional area (fibers/mm2).
The activation threshold governs when fiber bridging becomes active during crack evolution. Lower values (e.g., ϕact = 0.7) trigger bridging earlier in the damage process, while higher values (e.g., ϕact = 0.95) delay it until significant local softening has occurred. Peak load varies by less than 4% across this range, indicating insensitivity to the exact onset of bridging. However, post-peak ductility and residual load capacity are more sensitive: lower ϕact yields smoother softening due to earlier energy dissipation, while higher thresholds produce sharper drops followed by delayed bridging recovery. A value of ϕact = 0.9 was selected as optimal, balancing physical realism (bridging initiates near macro-crack formation) and numerical stability.
Fiber density directly controls the number of active bridging fibers across a crack plane. Simulations were performed for ρf = {0.5,1.0,1.5,2.0} fibers/mm2, corresponding to volume fractions of approximately 0.25%, 0.5%, 0.75%, and 1.0%, respectively (assuming steel fibers with df = 0.3 mm and lf = 13 mm). Peak load increases monotonically with ρf: a 100% increase in fiber density (from 1.0 to 2.0 fibers/mm2) raises peak load by 18%, consistent with experimental trends in FRC. Crack spacing and localization are also affected: higher ρf promotes multiple fine cracking, whereas low densities lead to a single dominant crack. The simulated load–deflection curves show excellent qualitative agreement with experimental data at ρf = 1.5 fibers/mm2, which was therefore adopted for the main validation cases.
These sensitivity analyses confirm that the model response is physically plausible and that the chosen parameter set ensures both accuracy and computational efficiency. Moreover, they highlight the model’s capability to capture the interplay between microstructural features (e.g., printing-induced fiber alignment and density variations) and macroscopic mechanical performance.

4. The Bending Test of 3D-Printed ECC Beams

In ECC (Engineered Cementitious Composites), the binder typically consists of Grade 42.5 ordinary Portland cement (OPC). This study employs hydroxypropyl methylcellulose (HPMC) and nano-clay (NC) as thixotropic agents, sodium gluconate (SG) as a retarder, and polycarboxylate superplasticizer (SP) as a water-reducing agent. The fine aggregate in ECC is silica sand (SS). The cementitious matrix comprises OPC, fly ash (FA), and silica fume.

4.1. Mixing Cement-Based Materials

This study utilizes chopped polyethylene (PE) fibers with a 1% volume fraction. The primary mixing procedure is as follows:
(1)
Dry Mixing: A 20 L single vertical-axis forced mixer is used to blend dry powders (OPC, SS, FA, and SF) at 140 rpm for 2 min.
(2)
Wet Mixing: Water and the superplasticizer (SP) are added, followed by mixing at 420 rpm for 2 min.
(3)
Fiber Incorporation: Chopped PE fibers are introduced and dispersed at 140 rpm until homogenous distribution is achieved.
(4)
Final Mixing: The mixture is further blended at 420 rpm for 1 min to ensure uniformity.

4.2. Preparing Specimen

The dimensions of the beam specimens to be prepared are 400 mm × 100 mm × 100 mm (length × width × height). The center-to-center distance between the two supports is 300 mm. The three-view drawings of the specimen are shown in Figure 19. Two different c values were selected: 0 and L/4. For specimen identification purposes, we assigned numbering as follows: cast specimens with c = 0 are labeled Cast0, while those with c = L/4 are labeled Cast1; similarly, printed specimens with c = 0 are designated Print0, and those with c = L/4 are designated Print1. A wide rectangular 3D printing nozzle was used to extrude material at a constant speed, producing single-layer print strips with a width of 100 mm and a height of 10 mm. Ten alternating passes were made to complete each printed specimen, resulting in two fully fabricated 3D-printed test pieces. Additionally, two cast specimens of identical dimensions were prepared using molds as control samples. The printing process in progress is shown in Figure 20.
After printing, the four specimens were left undisturbed on the printing platform for one day before being placed in a constant-temperature water bath set at 60 °C for curing. Following the curing process, the specimens were subjected to cutting. To guide crack propagation, a pre-existing crack measuring 30 mm × 5 mm was introduced at the base of each specimen using a stone-cutting machine.
For the subsequent three-point bending test analysis, the Digital Image Correlation (DIC) technique was employed. DIC is a non-contact, optical measurement method used to quantify surface deformation and motion. It operates on principles of digital image processing and computer vision, analyzing displacement, deformation, and strain information by comparing two or more captured images of the object’s surface. This allows for the reconstruction of the object’s deformation field or movement trajectory.

4.3. Experiments

The specimens underwent three-point bending tests immediately after curing, with the experimental setup shown in Figure 21 and Figure 22. The loading apparatus was a WAW-1000F hydraulic universal testing machine (Chuanbai Instrument Equipment Co., Ltd., Jinan, China) employing displacement-controlled loading at a rate of 0.2 mm/min until fracture occurred. A extensometer was used to measure deflection at the loading point. Except for Cast1, all three beams initiated failure from the notch region. The presence of 3D-printed interfaces influenced crack development, causing interlayer fractures when cracks reached the interface.
As shown in Figure 23, specimen Print0 initially exhibited elastic behavior under loading. The load-central deflection curve maintained a stable linear slope during this stage, with deformation increasing proportionally with applied load. With prolonged loading, visible bending gradually developed in the notched beam specimen. Upon reaching the cracking stress of ECC, cracks began to initiate at the notch region. At this point, the load–deflection curve exhibited characteristic serrated fluctuations, with each fluctuation corresponding to the formation of new microcracks. Simultaneous observation of crack openings revealed that PVA fibers spanning the cracks began to demonstrate their bridging effect. The load subsequently reached its peak value before gradually decreasing, while the serrated fluctuations persisted throughout this process.
The load–displacement curves of 3D-printed and cast ECC beams with a central opening at c = 0 are presented in Figure 22. It is observed that 3D printing slightly reduces the maximum load-bearing capacity of the beam while significantly enhancing its ductility. The maximum load-bearing capacity of the beam is approximately 12.9 kN.

4.4. Numerical Simulation

Following the three-point bending test configuration of ECC beams described in the previous section, a numerical model of notched ECC beams was developed. For simulation simplification, a plane-stress model was adopted with a computational thickness of 10 mm. The numerical model dimensions and boundary conditions are as follows: span length of 300 mm, 50 mm from supports to edges, 30 mm pre-notched height, 5 mm notch width, and 100 mm beam height. Given that crack propagation primarily occurs between the supports, the fiber distribution domain was constrained to this region to reduce computational requirements.
The notched ECC beam was discretized uniformly, with the corresponding peridynamic parameters determined previously. The damage parameters S0t, Sut, S0c, and Suc were set to S0, 2S0, fc/E, and 1000S0c, respectively. A six-layer boundary virtual layer was employed to apply displacement boundary conditions, constraining the left support in both x and y directions and the right support in the y direction only. The total number of material points after discretization was 10,114. Given the low loading rate in the three-point bending test of ECC beams, the condition can be considered quasi-static. The quasi-static condition was simulated using the adaptive dynamic relaxation method. The time step Δt was set to 1 s, with a displacement loading rate of 2 × 10−7 m/s.
Figure 24 presents the load–displacement curves obtained from four specimens under experimental testing and peridynamic (PD) simulation. In the experimental curves, the load initially increases gradually with displacement during the early loading stage. Upon reaching the first peak load, a slight decline occurs due to crack initiation in the specimens. However, the presence of fibers prevents complete failure, resulting in a subsequent minor load increase before stabilization within a plateau region where displacement continues to grow while load remains relatively constant.
The PD simulation curves exhibit early-stage fluctuations, which are attributed to the delayed fiber engagement in the numerical model. Specifically, fibers only become active after matrix cracking occurs, leading to lower initial peak loads compared to experimental results. Despite this discrepancy, the simulation successfully captures the ductile behavior of three-point bending specimens under fiber reinforcement.
Notably, the simulation results closely align with the experimental data during the initial development phase. However, the simulation’s initial peak load is lower than the experimental value, which is consistent with the semi-discrete model’s fiber activation definition. As loading progresses, the simulation curve shows oscillatory behavior, with the maximum load exceeding the experimental value. This discrepancy may stem from inherent defects introduced during the printing and concrete curing processes.
Quantitative comparison reveals that the peak load for specimen Cast0 in the PD simulation is approximately 12.93 kN, which is lower than the 14.58 kN peak load observed for specimen Print0. The superior performance of Print0 is attributed to the directional fiber distribution along the printing direction in 3D-printed specimens, which enhances their resistance to bending deformation and consequently improves load-bearing capacity.
In the current manuscript, only post-failure photographs supplemented with schematic sketches are presented due to space constraints and a focus on final fracture morphology for qualitative validation against PD predictions. We fully understand that time-resolved DIC-based strain or damage maps would provide far more valuable insight—particularly for tracking crack initiation, propagation sequence, and localization patterns—and enable a direct, frame-by-frame comparison with the evolving damage field from the peridynamics simulation (e.g., via the scalar damage index ϕ or bond breakage density). Upon reflection, this omission represents a missed opportunity to demonstrate the dynamic fidelity of our NOSB-PD model. In another publication, we will include a new figure (or Supplementary Materials) showing selected DIC snapshots at key loading stages (e.g., pre-peak, peak load, and early post-peak), overlaid with equivalent damage contours from the PD simulation. This will allow a direct visual and qualitative assessment of crack initiation location (e.g., at the notch tip vs. interlayer interfaces), propagation direction relative to print layers, development of secondary cracks or splitting zones, and temporal correlation between experimental strain localization and numerical bond failure. Additionally, we will briefly discuss any observed discrepancies—such as differences in crack branching timing or width—which may stem from idealized material assumptions in the model (e.g., homogeneous fiber distribution) versus real-world heterogeneities captured by DIC.

5. Conclusions

This study employs the non-ordinary state-based peridynamic (NOSPD) method to investigate the crack propagation and fracture behavior of 3D-printed fiber-reinforced concrete (FRC). By conceptualizing the fiber–matrix interaction as an external force acting on the matrix, we developed a semi-discrete modeling approach that circumvents the need for explicit fiber representation. The research methodology comprises three key components, direct tension test simulation, Brazilian disk test simulation, and three-point bending test simulation. The ordinary SBPD model was implemented to simulate the direct tension test of Engineered Cementitious Composite (ECC) dog bone-shaped specimens, successfully capturing the characteristic multi-crack initiation patterns observed in ECC materials. The same NOSPD model was applied to analyze the 3D-printed FRC Brazilian disk test, providing detailed insights into the crack initiation and propagation mechanisms, along with the corresponding load–displacement curves during fracture. The NOSPD model was utilized to dynamically simulate the fracture process of 3D-printed ECC beams in three-point bending configuration. This approach enabled the detection of interlayer cracks during failure and generated comprehensive load–displacement curves for the fracture analysis. The primary research findings and conclusions of this study are as follows:
(1)
A semi-discrete model, as defined in this study, was employed to simulate tensile tests of dog bone-shaped Engineered Cementitious Composite (ECC) under three fiber volume fractions: 2%, 1%, and zero fiber content. The simulation results were systematically compared with experimental data. At 2% fiber volume fraction, the simulation predicted 16–17 vertical cracks, while the experimental observation yielded 22 cracks. For 1% fiber volume fraction, both simulation and experimental results consistently identified four vertical cracks. In the zero-fiber case, a single vertical crack was observed in both simulation and experimental outcomes. Subsequently, the model was applied to simulate 3D-printed fiber-reinforced Brazilian disk tests, capturing the crack propagation process and generating load–displacement curves for comparative analysis against experimental results.
(2)
This study demonstrates that 3D-printed ECC beams exhibit similar load-bearing capacity and excellent ductility compared to cast ECC beams under three-point bending loads. The non-ordinary SBPD model successfully captured the crack initiation and propagation phenomena, including interlayer interfacial cracks and dynamic crack branching. The findings validate ECC as a viable material for 3D concrete printing technology, with potential applications in advanced construction engineering. Future research should focus on optimizing the 3D printing process parameters to further enhance the mechanical properties of 3D-printed ECC beams.
However, there is still much work to be done in further depth. In this paper, the bending of fibers is not considered during the generation of fibers. All fibers, whether steel fibers or polymer fibers, are considered as straight segments, which will cause some errors in the simulation of the model. Next, all models in this study are two-dimensional planar models. The two-dimensional simplification approach over-simplifies concrete behavior, such as the existence of printing interfaces outside the plane, which cannot be accurately modeled in 2D. Future research exploring peridynamics-based 3D simulations of fiber-reinforced concrete represents a promising direction for advancement. In addition, in this study, fiber activation occurs only when a fracture plane first crosses the fiber. When multiple fracture planes intersect the fiber, the fiber should be divided into segments, each interacting with its corresponding matrix. However, this model fails to account for such interactions, which introduces certain precision limitations.

Author Contributions

Conceptualization, T.Z. and Y.W.; methodology, T.Z.; resources, data curation, P.Z. (Peng Zhu); software, P.Z. (Peng Zhi); validation, T.Z. and C.Q.; formal analysis, M.B. and T.Z.; investigation, M.B. and C.Q.; writing—original draft preparation, T.Z.; writing—review and editing, Y.W.; visualization, T.Z.; supervision, P.Z. (Peng Zhu); project administration, Y.W.; funding acquisition, Y.W. All authors have read and agreed to the published version of the manuscript.

Funding

This research was funded by the National Natural Science Foundation of China (Grant No. 52178299).

Data Availability Statement

The data presented in this study are available on request from the corresponding author. The data are not publicly available due to privacy.

Acknowledgments

The authors also wish to thank the anonymous reviewers for their thorough review of the article and their constructive advice.

Conflicts of Interest

The authors declare no conflicts of interest.

Abbreviations

The following abbreviations are used in this manuscript:
OSPDOrdinary State-Based Peridynamics
ECCEngineered Cementitious Composite
PDPeridynamics
PEPolyethylene
SPSuperplasticizer
DICDigital Image Correlation
NOSPDNon-Ordinary State-Based Peridynamics
FRCFiber-Reinforced Concrete

References

  1. Xie, T.; Ozbakkaloglu, T. Behavior of steel fiber-reinforced high-strength concrete-filled FRP tube columns under axial compression. Eng. Struct. 2015, 90, 158–171. [Google Scholar] [CrossRef]
  2. Farnam, Y.; Mohammadi, S.; Shekarchi, M. Experimental and numerical investigations of low velocity impact behavior of high-performance fiber-reinforced cement based composite. Int. J. Impact Eng. 2010, 37, 220–229. [Google Scholar] [CrossRef]
  3. Li, V.; Maalej, M.; Hashida, T. Experimental determination of the stress-crack opening relation in fibre cementitious composites with a crack-tip singularity. J. Mater. Sci. 1994, 29, 2719–2724. [Google Scholar] [CrossRef]
  4. Wang, Y.J.; Zureick, A.H.; Cho, B.S.; Scott, D.E. Properties of fibre reinforced concrete using recycled fibres from carpet industrial waste. J. Mater. Sci. 1994, 29, 4191–4199. [Google Scholar] [CrossRef]
  5. Zollo, R.F. Fiber-reinforced concrete: An overview after 30 years of development. Cem. Concr. Compos. 1997, 19, 107–122. [Google Scholar] [CrossRef]
  6. Song, P.; Hwang, S. Mechanical properties of high-strength steel fiber-reinforced concrete. Constr. Build. Mater. 2004, 18, 669–673. [Google Scholar] [CrossRef]
  7. Afroughsabet, V.; Biolzi, L.; Ozbakkaloglu, T. High-performance fiber-reinforced concrete: A review. J. Mater. Sci. 2016, 51, 6517–6551. [Google Scholar] [CrossRef]
  8. Vantyghem, G.; De Corte, W.; Shakour, E.; Amir, O. 3D printing of a post-tensioned concrete girder designed by topology optimization. Autom. Constr. 2020, 112, 103084. [Google Scholar] [CrossRef]
  9. Gebhard, L.; Mata-Falcón, J.; Anton, A.; Dillenburger, B.; Kaufmann, W. Structural behaviour of 3D printed concrete beams with various reinforcement strategies. Eng. Struct. 2021, 240, 112380. [Google Scholar] [CrossRef]
  10. Zhang, J.; Li, V.C. Monotonic and fatigue performance in bending of fiber-reinforced engineered cementitious composite in overlay system. Cem. Concr. Res. 2002, 32, 415–423. [Google Scholar] [CrossRef]
  11. Tinoco, M.P.; de Andrade, S.F. Repair of pre-damaged RC beams using hybrid fiber reinforced strain hardening cementitious composites. Eng. Struct. 2021, 235, 112081. [Google Scholar] [CrossRef]
  12. Dong, F.Y.; Li, Z.H.; Yu, J.T.; Jiang, F.M.; Wang, H.P. Shaking-table test on a two-story timber-framed masonry structure retrofitted with ultra-high ductile concrete. J. Struct. Eng. 2022, 148, 04021226. [Google Scholar] [CrossRef]
  13. Pan, B.Z.; Liu, F.; Zhuge, Y.; Zeng, J.J.; Liao, J.J. ECCs/UHPFRCCs with and without FRP reinforcement for structural strengthening/repairing: A state-of-the-art review. Constr. Build. Mater. 2022, 316, 125824. [Google Scholar]
  14. Ngo, T.D.; Kashani, A.; Imbalzano, G.; Nguyen, K.T.Q.; Hui, D. Additive manufacturing (3D printing): A review of materials, methods, applications and challenges. Compos. Part B Eng. 2018, 143, 172–196. [Google Scholar] [CrossRef]
  15. Ma, G.W.; Li, Z.J.; Wang, L.; Wang, F.; Sanjayan, J. Mechanical anisotropy of aligned fiber reinforced composite for extrusion-based 3D printing. Constr. Build. Mater. 2019, 202, 770–783. [Google Scholar] [CrossRef]
  16. Zhang, Y.; Zhang, Y.S.; She, W.; Yang, L.; Lin, G.J.; Yang, Y.G. Rheological and harden properties of the high-thixotropy 3D printing concrete. Constr. Build. Mater. 2019, 201, 278–285. [Google Scholar] [CrossRef]
  17. Bahrami, K.; Afsari, A.; Janghorban, M.; Karami, B. Static analysis of monoclinic plates via a three-dimensional model using differential quadrature method. Struct. Eng. Mech. 2019, 72, 131–139. [Google Scholar]
  18. Batra, R.; Qian, L.; Chen, L. Natural frequencies of thick square plates made of orthotropic, trigonal, monoclinic, hexagonal and triclinic materials. J. Sound Vib. 2004, 270, 1074–1086. [Google Scholar] [CrossRef]
  19. Ferreira, A.; Fasshauer, G.; Batra, R. Natural frequencies of thick plates made of orthotropic, monoclinic, and hexagonal materials by a meshless method. J. Sound Vib. 2009, 319, 984–992. [Google Scholar] [CrossRef]
  20. Ferreira, A.; Batra, R. Natural frequencies of orthotropic, monoclinic and hexagonal plates by a meshless method. J. Sound Vib. 2005, 285, 734–742. [Google Scholar] [CrossRef]
  21. Wu, Y.C.; Yang, Q.F.; Kong, X.R.; Zhi, P.; Xiao, J.Z. Uncertainty quantification for the representative volume element of geometrically monoclinic 3D printed concrete. Int. J. Solids Struct. 2021, 226, 111102. [Google Scholar] [CrossRef]
  22. Xiao, J.; Liu, H.; Ding, T. Finite element analysis on the anisotropic behavior of 3D printed concrete under compression and flexure. Addit. Manuf. 2021, 39, 101712. [Google Scholar] [CrossRef]
  23. Ding, T.; Xiao, J.Z.; Zou, S.; Zhou, X.J. Anisotropic behavior in bending of 3D printed concrete reinforced with fibers. Compos. Struct. 2020, 254, 112808. [Google Scholar] [CrossRef]
  24. Ma, G.W.; Zhang, J.F.; Wang, L.; Li, Z.J.; Sun, J.B. Mechanical characterization of 3D printed anisotropic cementitious material by the electromechanical transducer. Smart Mater. Struct. 2018, 27, 075036. [Google Scholar] [CrossRef]
  25. Bažant, Z.P.; Oh, B.H. Crack band theory for fracture of concrete. Matér. Constr. 1983, 16, 155–177. [Google Scholar] [CrossRef]
  26. Docevska, M.; Markovski, G.; Mark, P. Experimental investigation on the reversibility of concrete creep under repeating loads. Mater. Struct. 2019, 52, 1–16. [Google Scholar] [CrossRef]
  27. Jenq, Y.; Shah, S.P. Two parameter fracture model for concrete. J. Eng. Mech. 1985, 111, 1227–1241. [Google Scholar] [CrossRef]
  28. Jenq, Y.S.; Shah, S.P. A Fracture toughness criterion for concrete. Eng. Fract. Mech. 1985, 21, 1055–1069. [Google Scholar] [CrossRef]
  29. Swartz, S.; Refai, T. Influence of size effects on opening mode fracture parameters for precracked concrete beams in bending. In Proceedings of the Fracture of Concrete and Rock: SEM-RILEM International Conference, Houston, TX, USA, 17–19 June 1987; Springer: Berlin/Heidelberg, Germany, 1989; pp. 242–254. [Google Scholar]
  30. Bažant, Z.P.; Kazemi, M. Determination of fracture energy, process zone longth and brittleness number from size effect, with application to rock and conerete. Int. J. Fract. 1990, 44, 111–131. [Google Scholar] [CrossRef]
  31. Moës, N.; Belytschko, T. Extended finite element method for cohesive crack growth. Eng. Fract. Mech. 2002, 69, 813–833. [Google Scholar] [CrossRef]
  32. Silling, S.A. Reformulation of elasticity theory for discontinuities and long-range forces. J. Mech. Phys. Solids 2000, 48, 175–209. [Google Scholar] [CrossRef]
  33. Silling, S.A.; Epton, M.; Weckner, O.; Xu, J.; Askari, E. Peridynamic states and constitutive modeling. J. Elast. 2007, 88, 151–184. [Google Scholar] [CrossRef]
  34. Warren, T.L.; Silling, S.A.; Askari, A.; Weckner, O.; Epton, M.A.; Xu, J. A non-ordinary state-based peridynamic method to model solid material deformation and fracture. Int. J. Solids Struct. 2009, 46, 1186–1195. [Google Scholar]
  35. Miranda, H.D.; Orr, J.; Williams, C. Fast interaction functions for bond-based peridynamics. Eur. J. Comput. Mech. 2018, 27, 247–276. [Google Scholar]
  36. Han, F.; Lubineau, G.; Azdoud, Y. Adaptive coupling between damage mechanics and peridynamics: A route for objective simulation of material degradation up to complete failure. J. Mech. Phys. Solids 2016, 94, 453–472. [Google Scholar] [CrossRef]
  37. Hu, W.K.; Wang, Y.N.; Yu, J.; Yen, C.F.; Bobaru, F. Impact damage on a thin glass plate with a thin polycarbonate backing. Int. J. Impact Eng. 2013, 62, 152–165. [Google Scholar] [CrossRef]
  38. Bobaru, F.; Ha, Y.D.; Hu, W. Damage progression from impact in layered glass modeled with peridynamics. Cent. Eur. J. Eng. 2012, 2, 551–561. [Google Scholar]
  39. Ha, Y.D.; Bobaru, F. Studies of dynamic crack propagation and crack branching with peridynamics. Int. J. Fract. 2010, 162, 229–244. [Google Scholar] [CrossRef]
  40. Oterkus, E.; Guven, I.; Madenci, E. Impact damage assessment by using peridynamic theory. Cent. Eur. J. Eng. 2012, 2, 523–531. [Google Scholar]
  41. Weckner, O.; Abeyaratne, R. The effect of long-range forces on the dynamics of a bar. J. Mech. Phys. Solids 2005, 53, 705–728. [Google Scholar] [CrossRef]
  42. Xia, Y.; Meng, X.H.; Shen, G.Z.; Zheng, G.J.; Hu, P. Isogeometric analysis of cracks with peridynamics. Comput. Methods Appl. Mech. Eng. 2021, 377, 113700. [Google Scholar] [CrossRef]
  43. Demmie, P.; Silling, S. An approach to modeling extreme loading of structures using peridynamics. J. Mech. Mater. Struct. 2007, 2, 1921–1945. [Google Scholar] [CrossRef]
  44. Das, S.; Hoffarth, C.; Ren, B.; Spencer, B.; Sant, G.; Rajan, S.D.; Neithalath, N. Simulating the fracture of notched mortar beams through extended finite-element method and peridynamics. J. Eng. Mech. 2019, 145, 04019049. [Google Scholar] [CrossRef]
  45. Lai, X.; Liu, L.S.; Li, S.F.; Zeleke, M.; Liu, Q.W.; Wang, Z. A non-ordinary state-based peridynamics modeling of fractures in quasi-brittle materials. Int. J. Impact Eng. 2018, 111, 130–146. [Google Scholar] [CrossRef]
  46. Behera, D.; Roy, P.; Madenci, E. Peridynamic correspondence model for finite elastic deformation and rupture in Neo-Hookean materials. Int. J. Non-Linear Mech. 2020, 126, 103564. [Google Scholar] [CrossRef]
  47. Zhu, J.; Ren, X.; Cervera, M. Peridynamic buildability analysis of 3D-printed concrete including damage, plastic flow and collapse. Addit. Manuf. 2023, 73, 103683. [Google Scholar] [CrossRef]
  48. Yaghoobi, A.; Chorzepa, M.G. Fracture analysis of fiber reinforced concrete structures in the micropolar peridynamic analysis framework. Eng. Fract. Mech. 2017, 169, 238–250. [Google Scholar] [CrossRef]
  49. Liu, H.; Xiao, J.; Ding, T. Flexural performance of 3D-printed composite beams with ECC and recycled fine aggregate concrete: Experimental and numerical analysis. Eng. Struct. 2023, 283, 115865. [Google Scholar] [CrossRef]
  50. Dell’Isola, F.; Andreaus, U.; Placidi, L. At the origins and in the vanguard of peridynamics, non-local and higher-gradient continuum mechanics: An underestimated and still topical contribution of Gabrio Piola. Math. Mech. Solids 2015, 20, 887–928. [Google Scholar] [CrossRef]
  51. Scerrato, D.; Giorgio, I.; Della Corte, A.; Madeo, A.; Dowling, N.E.; Darve, F. Towards the design of an enriched concrete with enhanced dissipation performances. Cem. Concr. Res. 2016, 84, 48–61. [Google Scholar] [CrossRef]
  52. Silling, S.A.; Askari, E. A meshfree method based on the peridynamic model of solid mechanics. Comput. Struct. 2005, 83, 1526–1535. [Google Scholar] [CrossRef]
  53. Kong, Y. Experimental Study and Numerical Simulation of Mechanical Properties of ECC. Ph.D. Thesis, Suzhou University of Science and Technology, Suzhou, China, 2020. [Google Scholar]
  54. Yang, Y.K.; Wu, C.Q.; Liu, Z.X.; Wang, H.L.; Ren, Q.C. Mechanical anisotropy of ultra-high performance fibre-reinforced concrete for 3D printing. Cem. Concr. Compos. 2022, 125, 104310. [Google Scholar] [CrossRef]
Figure 1. Fiber distribution using (a) the general strategy and (b) the proposed algorithm.
Figure 1. Fiber distribution using (a) the general strategy and (b) the proposed algorithm.
Buildings 16 01379 g001
Figure 2. The ECC specimen of the simple tension test.
Figure 2. The ECC specimen of the simple tension test.
Buildings 16 01379 g002
Figure 3. Random distribution of fibers for the simple tension test.
Figure 3. Random distribution of fibers for the simple tension test.
Buildings 16 01379 g003
Figure 4. Crack propagation history of tensile specimens with 2% fiber volume fraction at (a) the 1000th, (b) the 3000th, (c) the 5000th, and (d) the 8000th time steps.
Figure 4. Crack propagation history of tensile specimens with 2% fiber volume fraction at (a) the 1000th, (b) the 3000th, (c) the 5000th, and (d) the 8000th time steps.
Buildings 16 01379 g004
Figure 5. Comparison between crack propagation obtained from (a) the simulation and (b) the laboratory experiment [53].
Figure 5. Comparison between crack propagation obtained from (a) the simulation and (b) the laboratory experiment [53].
Buildings 16 01379 g005
Figure 6. Crack propagation history of tensile specimens with 1% fiber volume fraction at (a) the 800th, (b) the 1500th, (c) the 3500th, and (d) the 5000th time steps.
Figure 6. Crack propagation history of tensile specimens with 1% fiber volume fraction at (a) the 800th, (b) the 1500th, (c) the 3500th, and (d) the 5000th time steps.
Buildings 16 01379 g006aBuildings 16 01379 g006b
Figure 7. Comparison between crack propagation of the tensile specimen obtained from (a) the simulation and (b) the laboratory experiment [53].
Figure 7. Comparison between crack propagation of the tensile specimen obtained from (a) the simulation and (b) the laboratory experiment [53].
Buildings 16 01379 g007
Figure 8. Crack propagation history of tensile specimens with zero fiber volume fraction at (a) the 1000th, (b) the 2500th, (c) the 3500th, and (d) the 4500th time steps.
Figure 8. Crack propagation history of tensile specimens with zero fiber volume fraction at (a) the 1000th, (b) the 2500th, (c) the 3500th, and (d) the 4500th time steps.
Buildings 16 01379 g008aBuildings 16 01379 g008b
Figure 9. Comparison between crack propagation obtained from (a) the simulation and (b) the laboratory experiment [53].
Figure 9. Comparison between crack propagation obtained from (a) the simulation and (b) the laboratory experiment [53].
Buildings 16 01379 g009
Figure 10. The 3D-printed fiber-reinforced specimens of the disk splitting test in different cases: (a) P-XOZ, (b) P-XOY, (c) P-YOZ.
Figure 10. The 3D-printed fiber-reinforced specimens of the disk splitting test in different cases: (a) P-XOZ, (b) P-XOY, (c) P-YOZ.
Buildings 16 01379 g010
Figure 11. The random distribution of fibers for the disk splitting test in different cases: (a) P-XOZ-6, (b) P-XOZ-10, (c) P-XOY-6, (d) P-XOY-10, (e) P-YOZ-6, and (f) P-YOZ-10.
Figure 11. The random distribution of fibers for the disk splitting test in different cases: (a) P-XOZ-6, (b) P-XOZ-10, (c) P-XOY-6, (d) P-XOY-10, (e) P-YOZ-6, and (f) P-YOZ-10.
Buildings 16 01379 g011aBuildings 16 01379 g011b
Figure 12. Crack propagation history of disk splitting test for the specimen P-XOZ-6 at (a) the 2500th, (b) the 4000th, (c) the 6000th, and (d) the 7500th time steps.
Figure 12. Crack propagation history of disk splitting test for the specimen P-XOZ-6 at (a) the 2500th, (b) the 4000th, (c) the 6000th, and (d) the 7500th time steps.
Buildings 16 01379 g012aBuildings 16 01379 g012b
Figure 13. Comparison between crack propagation obtained from (a) the simulation and (b) the laboratory experiment [54].
Figure 13. Comparison between crack propagation obtained from (a) the simulation and (b) the laboratory experiment [54].
Buildings 16 01379 g013
Figure 14. Displacement–load curve of P-XOZ-6.
Figure 14. Displacement–load curve of P-XOZ-6.
Buildings 16 01379 g014
Figure 15. Displacement–load curve of P-XOZ-10.
Figure 15. Displacement–load curve of P-XOZ-10.
Buildings 16 01379 g015
Figure 16. Displacement–load curve of P-YOZ-6.
Figure 16. Displacement–load curve of P-YOZ-6.
Buildings 16 01379 g016
Figure 17. Displacement–load curve of P-YOZ-10.
Figure 17. Displacement–load curve of P-YOZ-10.
Buildings 16 01379 g017
Figure 18. Displacement–load curve of P-YOZ.
Figure 18. Displacement–load curve of P-YOZ.
Buildings 16 01379 g018
Figure 19. (a) Top view, (b) front view, (c) side view of the 3D-printed ECC beam of the bending test.
Figure 19. (a) Top view, (b) front view, (c) side view of the 3D-printed ECC beam of the bending test.
Buildings 16 01379 g019
Figure 20. Specimen prepared through (a) 3D printing and (b) pouring.
Figure 20. Specimen prepared through (a) 3D printing and (b) pouring.
Buildings 16 01379 g020
Figure 21. Schematic diagram of test device.
Figure 21. Schematic diagram of test device.
Buildings 16 01379 g021
Figure 22. Damaged mode of beam.
Figure 22. Damaged mode of beam.
Buildings 16 01379 g022
Figure 23. ECC beam load–displacement curve.
Figure 23. ECC beam load–displacement curve.
Buildings 16 01379 g023
Figure 24. Displacement–load curves of four specimens.
Figure 24. Displacement–load curves of four specimens.
Buildings 16 01379 g024
Disclaimer/Publisher’s Note: The statements, opinions and data contained in all publications are solely those of the individual author(s) and contributor(s) and not of MDPI and/or the editor(s). MDPI and/or the editor(s) disclaim responsibility for any injury to people or property resulting from any ideas, methods, instructions or products referred to in the content.

Share and Cite

MDPI and ACS Style

Zhu, T.; Wu, Y.; Zhi, P.; Zhu, P.; Bai, M.; Qi, C. Non-Ordinary State-Based Peridynamics Simulation for Crack Propagation of 3D-Printed Fiber-Reinforced Concrete Beam Under Bending. Buildings 2026, 16, 1379. https://doi.org/10.3390/buildings16071379

AMA Style

Zhu T, Wu Y, Zhi P, Zhu P, Bai M, Qi C. Non-Ordinary State-Based Peridynamics Simulation for Crack Propagation of 3D-Printed Fiber-Reinforced Concrete Beam Under Bending. Buildings. 2026; 16(7):1379. https://doi.org/10.3390/buildings16071379

Chicago/Turabian Style

Zhu, Tao, Yuching Wu, Peng Zhi, Peng Zhu, Meiyan Bai, and Cheng Qi. 2026. "Non-Ordinary State-Based Peridynamics Simulation for Crack Propagation of 3D-Printed Fiber-Reinforced Concrete Beam Under Bending" Buildings 16, no. 7: 1379. https://doi.org/10.3390/buildings16071379

APA Style

Zhu, T., Wu, Y., Zhi, P., Zhu, P., Bai, M., & Qi, C. (2026). Non-Ordinary State-Based Peridynamics Simulation for Crack Propagation of 3D-Printed Fiber-Reinforced Concrete Beam Under Bending. Buildings, 16(7), 1379. https://doi.org/10.3390/buildings16071379

Note that from the first issue of 2016, this journal uses article numbers instead of page numbers. See further details here.

Article Metrics

Back to TopTop