Sign in to use this feature.

Years

Between: -

Subjects

remove_circle_outline
remove_circle_outline
remove_circle_outline
remove_circle_outline
remove_circle_outline
remove_circle_outline
remove_circle_outline
remove_circle_outline
remove_circle_outline

Journals

Article Types

Countries / Regions

Search Results (164)

Search Parameters:
Keywords = concussion assessment

Order results
Result details
Results per page
Select all
Export citation of selected articles as:
16 pages, 1906 KB  
Article
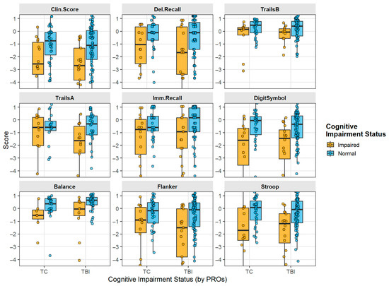
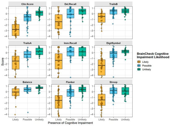
The Use of Digital Neurocognitive Assessments to Assess Traumatic Brain Injury and Dementia in Older Trauma Patients: An Emergency Department Feasibility Study
by Justin Weppner, Justin Gray, Damon Kuehl, Danielle Sandsmark, Nazanin Mirshahi, Ramon Diaz-Arrastia, Katya Rascovsky, W. Frank Peacock and Timothy E. Van Meter
Diagnostics 2026, 16(3), 400; https://doi.org/10.3390/diagnostics16030400 - 27 Jan 2026
Viewed by 63
Abstract
Background/Objectives: Older adults are disproportionately affected by traumatic brain injuries (TBIs), representing a significant portion of TBI-related hospitalizations and deaths. The objective of this study was to evaluate the feasibility and effectiveness of BrainCheck (Braincheck, Inc., Austin, TX, USA), a digital cognitive assessment [...] Read more.
Background/Objectives: Older adults are disproportionately affected by traumatic brain injuries (TBIs), representing a significant portion of TBI-related hospitalizations and deaths. The objective of this study was to evaluate the feasibility and effectiveness of BrainCheck (Braincheck, Inc., Austin, TX, USA), a digital cognitive assessment tool, in detecting acute TBI-related cognitive deficits in the context of dementia-related cognitive impairment in older adult emergency department (ED) patients. Methods: From March 2020 to November 2023, participants aged 65+ with mild TBI, as defined by the American College of Rehabilitation Medicine (ACRM) diagnostic criteria, and individuals with isolated orthopedic injuries were recruited from 14 U.S. type 1 and 2 trauma centers. After informed consent, each subject was assessed by well-validated neurocognitive tests to characterize pre- and postinjury cognitive status. The Clinical Dementia Rating (CDR) and Functional Activities Questionnaire (FAQ) were used to assess cognitive impairment, with the informant sections used to classify preinjury status. The Rivermead Post-Concussion Symptoms Questionnaire (RPQ16) was used to assess injury-related symptoms, and the tablet-based BrainCheck Battery was tested as a diagnostic platform for injury-related deficits across several functional domains. Spearman’s correlation was used to assess BrainCheck’s internal validity and its relationship with self-reported cognitive symptoms. Technology familiarity was self-reported on a 1 (lowest) to 5 (highest) Likert scale. ROC curves evaluated the tool’s accuracy in identifying cognitive impairment associated with TBI in the context of pre-existing cognitive impairment. Results: For the 101 mTBI and 52 orthopedic trauma control patients, BrainCheck demonstrated strong internal validity, with significant correlations among its component tests, indicating its effectiveness in assessing cognitive impairment. However, low correlations with RPQ16 self-reported symptoms suggest that BrainCheck and the self-reported questionnaire assess different aspects of cognitive functions. Conclusions: While BrainCheck effectively identified cognitive impairment, the composite battery and scoring did not differentiate TBI and dementia. Technology familiarity did not affect test outcomes. BrainCheck is a useful tool for evaluating cognitive function in adults aged ≥ 65 years with and without TBI in ED settings. Full article
(This article belongs to the Special Issue Clinical Diagnosis and Management in Emergency and Hospital Medicine)
Show Figures

Figure 1

32 pages, 3255 KB  
Article
Integrated Blood Biomarker and Neurobehavioural Signatures of Latent Neuroinjury in Experienced Military Breachers Exposed to Repetitive Low-Intensity Blast
by Alex P. Di Battista, Maria Y. Shiu, Oshin Vartanian, Catherine Tenn, Ann Nakashima, Janani Vallikanthan, Timothy Lam and Shawn G. Rhind
Int. J. Mol. Sci. 2026, 27(2), 592; https://doi.org/10.3390/ijms27020592 - 6 Jan 2026
Viewed by 349
Abstract
Repeated exposure to low-level blast overpressure (BOP) during controlled detonations is an emerging occupational health concern for military breachers and Special Operations Forces personnel, given accumulating evidence that chronic exposure may produce subtle, subclinical neurotrauma. This study derived a latent neuroinjury construct integrating [...] Read more.
Repeated exposure to low-level blast overpressure (BOP) during controlled detonations is an emerging occupational health concern for military breachers and Special Operations Forces personnel, given accumulating evidence that chronic exposure may produce subtle, subclinical neurotrauma. This study derived a latent neuroinjury construct integrating three complementary domains of brain health—post-concussive symptoms, working-memory performance, and circulating biomarkers—to determine whether breachers exhibit coherent patterns of neurobiological alteration. Symptom severity was assessed using the Rivermead Post-Concussion Questionnaire (RPQ), and working memory was assessed with the N-Back task and a panel of thirteen neuroproteomic biomarkers was measured reflecting astroglial activation, neuronal and axonal injury, oxidative stress, inflammatory signaling, and neurotrophic regulation. Experienced Canadian Armed Forces breachers with extensive occupational BOP exposure were compared with unexposed controls. Bayesian latent-variable modeling provided probabilistic evidence for a chronic, subclinical neurobiological signal, with the strongest contributions arising from self-reported symptoms and smaller but consistent contributions from the biomarker domain. Working-memory performance did not load substantively on the latent factor. Several RPQ items and circulating biomarkers showed robust loadings, and the latent neuroinjury factor was elevated in breachers relative to controls (97% posterior probability). The pattern is broadly consistent with subclinical neurobiological stress in the absence of measurable cognitive impairment, suggesting early or compensated physiological alterations rather than overt dysfunction. This multidomain, biomarker-informed framework provides a mechanistically grounded and scalable approach for identifying subtle neurobiological strain in military personnel routinely exposed to repetitive low-level blast. It may offer value for risk stratification, operational health surveillance, and the longitudinal monitoring of neurobiological change in high-risk occupations. Full article
(This article belongs to the Section Molecular Neurobiology)
Show Figures

Figure 1

30 pages, 828 KB  
Systematic Review
Sex Differences in Severity and Recovery Following Mild Traumatic Brain Injury: A Systematic Review
by Shanika Arachchi, Ed Daly, Anushree Dwivedi and Lisa Ryan
Brain Sci. 2026, 16(1), 77; https://doi.org/10.3390/brainsci16010077 - 6 Jan 2026
Viewed by 582
Abstract
Background: Sex-based variations in brain structure, hormonal balance, and neurochemistry may influence symptom presentation and recovery after mild traumatic brain injury (mTBI). This systematic review investigated sex-related differences in mTBI severity, symptoms, and recovery outcomes across different injury mechanisms. Methods: This [...] Read more.
Background: Sex-based variations in brain structure, hormonal balance, and neurochemistry may influence symptom presentation and recovery after mild traumatic brain injury (mTBI). This systematic review investigated sex-related differences in mTBI severity, symptoms, and recovery outcomes across different injury mechanisms. Methods: This review followed PRISMA 2020 guidelines and was registered with PROSPERO (CRD420251011379). Searches were conducted in PubMed, SPORTDiscus, Web of Science, and Scopus for articles published between 2000 and 2024. Eligible studies included adults (≥18 years) diagnosed with mTBI or concussion (Glasgow Coma Scale 13–15) with quantifiable outcome data for both sexes. Data extraction and quality assessment followed the JBI critical appraisal tools. Results: Forty-one studies involving 15,656 participants (8671 males; 6985 females) met the inclusion criteria. Female participants reported a greater symptom burden, higher pain intensity, and longer recovery times for gait abnormalities and return to activity compared with males. Neuroimaging studies showed more extensive white matter alterations in females, whereas males displayed greater reductions in cerebral blood flow. Cognitive and neurosensory outcomes revealed poorer cognitive performance, slower reaction times, and higher rates of vestibular–ocular and visual abnormalities in females. A limited number of studies explored electrophysiological measures, indicating sex-based differences in early brain responses to emotional stimuli. Conclusions: Sex plays an important role in symptom presentation and recovery after mTBI. Female patients demonstrate heightened vulnerability across several clinical domains, likely due to biological and neurochemical differences. Recognising these sex-specific patterns can support more targeted diagnostic and rehabilitation strategies. Future research should further explore the structural and biochemical mechanisms underlying these differences to improve precision in mTBI management. Full article
(This article belongs to the Section Neurorehabilitation)
Show Figures

Figure 1

12 pages, 818 KB  
Systematic Review
“All Hands on Deck”: A Systematic Review of Concussion Guidelines Across All Sailing Sports and a Call to Action
by Isabelle Graham, Ffion Taylor and Neil Heron
Sports 2025, 13(12), 455; https://doi.org/10.3390/sports13120455 - 18 Dec 2025
Viewed by 413
Abstract
Background: Sports-related concussions are complex, traumatic brain injuries as a result of a sporting accident. Prompt diagnosis and assessment with the use of diagnostic protocols help provide athletes with the appropriate management to minimise acute and chronic implications. Objective: The objective of this [...] Read more.
Background: Sports-related concussions are complex, traumatic brain injuries as a result of a sporting accident. Prompt diagnosis and assessment with the use of diagnostic protocols help provide athletes with the appropriate management to minimise acute and chronic implications. Objective: The objective of this systematic review is to review the current sailing concussion assessment and diagnostic guidelines and consequently propose a sailing concussion assessment and diagnostic protocol to use. Methods: Sailing organisations such as “World Sailing” were used to find current guidelines used in the sailing community. Electronic databases such as Google Scholar, Springer Link, and PubMed were used to identify relevant scientific papers. Keywords included “sailing”, “concussion”, “guidelines”, “sailing legislation”, and “sports-related concussion”. This systematic review is not limited to a specific sailing subtype. We included papers discussing concussion guidelines and excluded studies with no relevance to sports related concussions and without relevant guideline use. Findings were summarised in in text and tables. Results: While there is much research discussing head injuries in sailing, there is no literature specifically discussing protocols and guidance for concussion diagnosis and management in sailing-related concussions. Six concussion protocol papers are discussed. The World Sailing website advises individuals to use the CRT5 guidelines to assess a suspected concussion, which have been outdated by CRT6. While there are currently no standardised sailing-specific concussion assessment tools available, this review proposes a possible approach, introducing the concussion protocol used in the professional sailing league, SailGP. A sport-specific protocol is vital in addressing the specific risks associated with a sailing-related concussion. Conclusions: Concussions are a considerable risk in sailing due to the unique nature of the sport. Due to the lack of standardised concussion guidelines within the sailing community, a standardised, sport-specific concussion assessment tool, such as the one described for SailGP, should be developed through collaboration between medical professionals and sailing organisations. Full article
Show Figures

Figure 1

11 pages, 239 KB  
Article
The Relationship Between Neurocognitive Function and Concussion in Women Professional Football Players: A Cross-Sectional Study
by Freja Fredrika Lähteenmäki, Steve den Hollander, Dina Christa Janse van Rensburg, Tuomas Brinck, Gino Kerkhoffs and Vincent Gouttebarge
Sports 2025, 13(12), 448; https://doi.org/10.3390/sports13120448 - 11 Dec 2025
Cited by 1 | Viewed by 475
Abstract
Objective: To determine the neurocognitive functions of women professional football players and explore their potential connection to concussions. Methods: An observational cross-sectional study was conducted via electronic questionnaires. Neurocognitive function was assessed with the “CNS Vital Signs” testing tool. Results: In total, 68 [...] Read more.
Objective: To determine the neurocognitive functions of women professional football players and explore their potential connection to concussions. Methods: An observational cross-sectional study was conducted via electronic questionnaires. Neurocognitive function was assessed with the “CNS Vital Signs” testing tool. Results: In total, 68 participants performed the neurocognitive function testing. Compared with the reference population, players scored within the average range (≥90) for 11 of 12 neurocognitive domains. Motor speed was above average (SS = 111.7). Overall, no significant neurocognitive deficits were observed. Thirty-two participants (43%) reported one or more concussions, with defenders being most affected (50%). Among defenders, 64% (n = 16) have a history of one or multiple concussions. Players with a history of three concussions showed significant deficits in the simple attention domain. Conclusion: Professional women footballers did not show significant signs of neurocognitive function deficits. However, a history of three concussions was significantly associated with lower standard scores for the simple attention neurocognitive domain. Full article
26 pages, 1865 KB  
Article
An Exploratory Study of the Acute Effects of Football Heading on Postural Control and Corticospinal Inhibition
by Daniel J. Epifano, Jon Wheat, Ben Heller, Alan J. Pearce and Kane Middleton
Appl. Sci. 2025, 15(23), 12814; https://doi.org/10.3390/app152312814 - 3 Dec 2025
Viewed by 683
Abstract
Repetitive non-concussive head impacts (NCHIs) may contribute to long-term neurodegenerative conditions. However, objective, multimodal methods for monitoring acute changes in brain health biomarkers following NCHIs remain underdeveloped. In this exploratory study, we examined the effects of ten kicking and ten heading trials related [...] Read more.
Repetitive non-concussive head impacts (NCHIs) may contribute to long-term neurodegenerative conditions. However, objective, multimodal methods for monitoring acute changes in brain health biomarkers following NCHIs remain underdeveloped. In this exploratory study, we examined the effects of ten kicking and ten heading trials related to association football on linear and nonlinear measures of postural control and corticospinal inhibition. Postural control was assessed via force platform analysis in dual-stance and single-leg protocols, and corticospinal inhibition was measured using transcranial magnetic stimulation with electromyography. Large effects of condition were found for anteroposterior postural complexity (CI-AP), anteroposterior sway amplitude, mediolateral centre of pressure shift and cortical silent period (η2 > 0.14). Pairwise comparisons revealed large post-heading effects, particularly in CI-AP, which decreased significantly relative to baseline (dz = 0.71, p = 0.018) and showed a moderate negative effect relative to post-kicking testing (dz = 0.53, p = 0.069). These findings suggest a possible reduction in postural control adaptability following exposure to ten NCHIs, consistent with patterns observed in mild traumatic brain injury. Whilst confirmatory research with larger samples is warranted, nonlinear measures of postural control complexity demonstrate promise as a sensitive biomarker for detecting acute NCHI-related changes. Full article
(This article belongs to the Special Issue Human Performance and Health in Sport and Exercise—2nd Edition)
Show Figures

Figure 1

19 pages, 1297 KB  
Article
Extracranial Hemodynamic Responses to a Noxious Cold Pressor Task Differ Between Persistent Post-Traumatic Headache and Healthy Controls
by Aaron W. Parr, David B. Berry, Bahar Shahidi, Dawn M. Schiehser and Katrina S. Monroe
J. Pers. Med. 2025, 15(12), 593; https://doi.org/10.3390/jpm15120593 - 3 Dec 2025
Viewed by 433
Abstract
Background/Objectives: Headache after a traumatic brain injury (TBI) is one of the most common post-concussive symptoms and is associated with altered pain processing and elevated disability levels. Understanding physiologic correlates of nociception in individuals with persistent post-traumatic headache (pPTH) may help identify novel [...] Read more.
Background/Objectives: Headache after a traumatic brain injury (TBI) is one of the most common post-concussive symptoms and is associated with altered pain processing and elevated disability levels. Understanding physiologic correlates of nociception in individuals with persistent post-traumatic headache (pPTH) may help identify novel treatment targets for pain-related disability. The objective of this case–control study was to compare extra- and intracranial hemodynamic responses to a noxious cold pressor task (CPT) between individuals with pPTH and healthy controls (HC) using functional near-infrared spectroscopy (fNIRS). Methods: Ten individuals with pPTH were compared to ten HC with no history of TBI, persistent headache, or chronic pain. fNIRS optodes over the medial prefrontal cortex (PFC) measured extra- and intracranial peak-to-peak hemodynamic responses during tepid- (control) and cold-water (CPT) hand immersion. Evoked pain responses during the CPT were assessed with numeric pain ratings. Linear mixed effects modeling assessed the role of group and evoked pain on hemodynamic responses. Results: pPTH group membership (p = 0.031) predicted greater extracranial hemodynamic responses to the CPT, whereas intracranial PFC responses did not differ between groups. Regardless of group membership, greater increases in pain intensity during the CPT were associated with increased hemodynamic responses for the dorsomedial PFC (p = 0.031). Conclusions: Compared to controls, individuals with pPTH responded to a noxious cold stimulus with elevated systemic hemodynamic responses regulated by the autonomic nervous system. Irrespective of group, hemodynamic responses within the dmPFC were associated with evoked pain responses to the CPT and may provide a useful biomarker for individual variations in cortical pain processing for healthy and clinical populations. Full article
(This article belongs to the Section Disease Biomarkers)
Show Figures

Figure 1

15 pages, 792 KB  
Article
Concussion-Related Cognitive and Lipid Changes in Retired UK Rugby Players Study
by Norah Alanazi, Toni Robinson, Ian Entwistle, Karen Hind and Paul Chazot
Int. J. Mol. Sci. 2025, 26(22), 11002; https://doi.org/10.3390/ijms262211002 - 13 Nov 2025
Viewed by 924
Abstract
Long-term effects of concussions, particularly in contact sport athletes, have been linked to changes in neuronal health. Lipid dysregulation has emerged as a potential contributor to neuronal injury and may serve as a measurable biomarker of brain pathology. This study investigated cognitive scores [...] Read more.
Long-term effects of concussions, particularly in contact sport athletes, have been linked to changes in neuronal health. Lipid dysregulation has emerged as a potential contributor to neuronal injury and may serve as a measurable biomarker of brain pathology. This study investigated cognitive scores and serum lipid biomarkers in retired rugby players with a history of concussion to assess their association with concussion exposure. Serum levels of 24-hydroxycholesterol (24-HC), 25-HC, 27-HC, total triglycerides, and ceramide were compared between retired rugby players with a history of repeated concussions (n = 26) and non-contact sport controls (n = 19). ELISA-based quantification and statistical analyses identified significant group differences. Concussed athletes exhibited significantly lower serum 24-HC and significantly higher levels of 27-HC, triglycerides, and ceramide compared to controls, while no significant difference was observed for 25-HC. These findings indicate that repeated concussion is associated with reductions in cognitive performance and persistent alterations in serum lipid profiles. The observed lipid changes, particularly in 24-HC, 27-HC, ceramide, and triglycerides, may serve as measurable biomarkers of concussion-related biochemical alterations, providing a foundation for future studies aimed at monitoring neurological health in at-risk populations. Full article
(This article belongs to the Section Molecular Biology)
Show Figures

Figure 1

25 pages, 2580 KB  
Article
Cerebral Oxygenation and Cardiac Responses in Adult Women’s Rugby: A Season-Long Study
by Ben Jones, Mohammadreza Jamalifard, Mike Rogerson, Javier Andreu-Perez, Jay Perrett, Ed Hope, Lachlan Carpenter, Tracy Lewis, J. Patrick Neary, Chris E. Cooper and Sally Waterworth
Physiologia 2025, 5(4), 46; https://doi.org/10.3390/physiologia5040046 - 13 Nov 2025
Viewed by 661
Abstract
Background: Sport-related concussion is common in rugby union, yet female players remain underrepresented in research. This study examined seasonal changes in cerebral oxygenation, cardiac function, and concussion symptomology in adult female rugby players, and explored acute physiological responses following a single documented concussion. [...] Read more.
Background: Sport-related concussion is common in rugby union, yet female players remain underrepresented in research. This study examined seasonal changes in cerebral oxygenation, cardiac function, and concussion symptomology in adult female rugby players, and explored acute physiological responses following a single documented concussion. Methods: A total of 29 adult females (19 amateur rugby, 10 control) completed pre-, mid-, and end-season assessments. Measures included functional near-infrared spectroscopy (fNIRS) of the pre-frontal cortex, seismocardiography (SCG)-derived cardiac timing indices, and Sport Concussion Assessment Tool 6 (SCAT6). Group and time effects were analysed using general linear models and statistical parametric mapping. Typical error (TE) and its 90% confidence intervals (90% CI) were used to determine meaningful changes post-concussion. Results: Rugby players reported more SCAT6 symptoms (number: p = 0.006, η2p = 0.23; severity: p = 0.020, η2p = 0.17). They also had shorter systolic time (p = 0.002, η2p = 0.19) and higher twist force values (p = 0.014, η2p= 0.21) than controls. fNIRS revealed higher right-hemisphere oxyhaemoglobin (ΔO2Hb) responses for both tasks (ps < 0.001, η2p = 0.77 and η2p = 0.80) and lower activation in specific prefrontal channels. No seasonal changes occurred in global oxygenation or frequency band activity. In the exploratory single-concussion case, symptomology, SCG twist force, ΔO2Hb, and cardiac band power exceeded TE and its 90% CI at 5 days post-injury. Conclusions: The multimodal approach detected stable group-level physiology alongside localised cortical and cardiac differences, and acute changes following concussion. While these results highlight the potential of combined fNIRS and SCG measures to capture physiological disturbances, the small sample size and single-concussion case necessitate cautious interpretation. Further validation in larger, longitudinal cohorts is required before any biomarker utility can be inferred. Full article
(This article belongs to the Section Exercise Physiology)
Show Figures

Figure 1

24 pages, 1648 KB  
Article
Normative Data for a Multi-Domain Concussion Assessment in the Female Community Sport of Ladies Gaelic Football
by Róisín Leahy, Keith D. Rochfort, Enda Whyte, Anthony P. Kontos, Michael W. Collins and Siobhán O'Connor
Sports 2025, 13(11), 405; https://doi.org/10.3390/sports13110405 - 12 Nov 2025
Viewed by 822
Abstract
Due to the highly individualised presentation of sport-related concussion (SRC), multi-domain assessments examining cognitive, migraine, vestibular, ocular, mood, sleep, and neck-related function have been suggested to assist clinicians with diagnosis, management, and rehabilitation. Normative data on such assessments for female, community players from [...] Read more.
Due to the highly individualised presentation of sport-related concussion (SRC), multi-domain assessments examining cognitive, migraine, vestibular, ocular, mood, sleep, and neck-related function have been suggested to assist clinicians with diagnosis, management, and rehabilitation. Normative data on such assessments for female, community players from countries outside the U.S. are needed. This study aimed to (i) describe normative data from community-level Ladies Gaelic Football players using a multi-domain assessment, and (ii) compare findings between adolescent and adult players. A total of 138 LGF players without SRC (101 adults, 37 adolescents) completed a multi-domain SRC assessment including Sport Concussion Assessment Tool 5th Edition, Concussion Clinical Profiles Screening, Vestibular/Ocular Motor Screening (VOMS), Immediate Post-Concussion Assessment and Cognitive Testing (ImPACT®), Patient Health Questionnaire-9, Generalised Anxiety Disorder-7, Pittsburgh Sleep Quality Index, Migraine Disability Assessment, and Neck Bournemouth Questionnaire, and neck dynamometry. Normative data were summarised using descriptive statistics, while differences in test scores between adolescents and adults were examined using parametric or non-parametric tests. While adolescents and adults scored similarly on most measures, adolescents scored worse on ImPACT® visual–motor speed (d = 0.09) and reaction time (r = 0.52), SCAT5 concentration (V = 0.38), total modified Balance Error Scoring System (r = 0.42), and CP Screen vestibular profile (r = 0.38) (p < 0.05). This is the first study to describe and compare normative data for multidomain SRC assessments in adolescent and adult female, community athletes. Differences in some tests between adolescents and adults highlight the need for demographic-specific normative data when interpreting post-SRC assessment results. Full article
(This article belongs to the Special Issue Sport-Related Concussion and Head Impact in Athletes)
Show Figures

Figure A1

13 pages, 443 KB  
Review
Objective Markers for Diagnosing Concussions: Beyond Blood Biomarkers and the Role of Real-Time Diagnostic Tools
by Robert Kamil, Youssef Atef AbdelAlim, Shiv Patel, Paxton Sweeney, Harry Feng, Jasdeep Hundal and Ira Goldstein
J. Clin. Med. 2025, 14(21), 7727; https://doi.org/10.3390/jcm14217727 - 30 Oct 2025
Viewed by 934
Abstract
Concussions, classified as a type of mild traumatic brain injury (mTBI), are frequently underdiagnosed due to the subjective nature of symptoms and limitations in existing diagnostic methodologies. Current clinical evaluations, including tools such as the Sport Concussion Assessment Tool 5 (SCAT5), Balance Error [...] Read more.
Concussions, classified as a type of mild traumatic brain injury (mTBI), are frequently underdiagnosed due to the subjective nature of symptoms and limitations in existing diagnostic methodologies. Current clinical evaluations, including tools such as the Sport Concussion Assessment Tool 5 (SCAT5), Balance Error Scoring System (BESS), and Vestibular Ocular Motor Screening (VOMS), demonstrate high sensitivity and specificity but often fail to capture the full complexity of concussive injuries. Emerging diagnostic approaches, such as blood biomarkers (for example, glial fibrillary acidic protein (GFAP), ubiquitin C-terminal hydrolase-L1 (UCH-L1), S100 calcium-binding protein B (S100B), and tau) and advanced neuroimaging techniques (for example, diffusion tensor imaging (DTI) and functional magnetic resonance imaging (fMRI)), show promise but remain impractical for routine clinical use due to accessibility and standardization challenges. This review examines objective markers, including neuroimaging, electrophysiological measures (for example, Electroencephalography (EEG), Magnetoencephalography (MEG)), and real-time diagnostic tools, as complementary strategies to enhance traditional clinical evaluations. Findings indicate that while clinical assessments remain central to concussion diagnosis, integrating them with advanced imaging and electrophysiological tools can provide more accurate diagnostics and recovery tracking. Biomarkers, although not yet ready for widespread use, hold significant potential for future applications. Further research is required to validate these methods and establish standardized protocols to facilitate their integration into clinical practice. Full article
(This article belongs to the Section Brain Injury)
Show Figures

Figure 1

15 pages, 843 KB  
Article
Long-Term Cumulative Effects of Repeated Concussions in Cyclists: A Neurophysiological and Sensorimotor Study
by Alan J. Pearce and Doug King
J. Funct. Morphol. Kinesiol. 2025, 10(4), 414; https://doi.org/10.3390/jfmk10040414 - 22 Oct 2025
Viewed by 712
Abstract
Objectives: Sports-related concussion (SRC) is mostly associated with contact and combat sports. However, emerging evidence suggest that cyclists are also at risk of repeated concussion injury. Moreover, long-term neurophysiological outcomes in cycling cohorts remain underexplored. This novel study investigated the long-term effect [...] Read more.
Objectives: Sports-related concussion (SRC) is mostly associated with contact and combat sports. However, emerging evidence suggest that cyclists are also at risk of repeated concussion injury. Moreover, long-term neurophysiological outcomes in cycling cohorts remain underexplored. This novel study investigated the long-term effect of repetitive concussions in cyclists. Road, mountain biking (MTB), and BMX riders with a history of concussions and self-reported persistent symptoms were assess for neurophysiology and cognitive–motor performance compared to previously concussed cyclists with no ongoing symptoms. Both groups were compared to age-matched with controls. Methods: Using a cross-sectional between-group design, 25 cyclists with a history of concussions (15 symptomatic, 10 asymptomatic) and 20 controls completed symptom reporting, cognitive and balance assessments (SCAT5), sensorimotor testing using vibrotactile stimulation, and neurophysiological assessments via transcranial magnetic stimulation (TMS). Results: Symptomatic cyclists reported a higher number of concussions compared to asymptomatic cyclists (p = 0.041). Cognitive testing revealed large effects (d > 1.0), with impaired concentration in symptomatic cyclists compared to controls (p = 0.005). Motor assessments demonstrated large effects (d > 1.0), with slower tandem gait times (p < 0.001) and greater errors (p = 0.02) in the symptomatic group. Sensorimotor testing indicated slowed simple reaction times (p = 0.001) and poorer temporal order judgement (p = 0.038). TMS showed large effects (d > 1.0) in increased cortical inhibition in the symptomatic group, with prolong cortical silent periods (p < 0.05) and large effects (d > 1.0), and reduced short interval intracortical inhibition (p = 0.001) compared to asymptomatic cyclists and controls. Conclusions: Cyclists reporting persistent symptoms showed greater cortical inhibition and impaired cognitive–motor performance, consistent with findings in contact sport athletes. These results suggest that repeated concussions in cycling carry risk of chronic neurophysiological alterations. Cycling disciplines should consider more rigorous concussion identification protocols and stricter management strategies to mitigate persistent and long-term consequences. Full article
Show Figures

Figure 1

20 pages, 3458 KB  
Article
Injuries and Illnesses in Male and Female Sailors Throughout the Professional Sailing Circuit SailGP: A Retrospective Cohort Study of SailGP’s Season 3
by Matthew Linvill, Thomas Fallon, Hannah Diamond, Jo Larkin and Neil Heron
J. Funct. Morphol. Kinesiol. 2025, 10(4), 394; https://doi.org/10.3390/jfmk10040394 - 9 Oct 2025
Viewed by 933
Abstract
Objectives: SailGP is an international professional mixed-sex sailing competition, which uses F50 foiling catamarans capable of reaching speeds up to ~100 km/h. This seminal study assesses injuries and illnesses observed by male and female sailors during trainings and competitions in SailGP’s third season. [...] Read more.
Objectives: SailGP is an international professional mixed-sex sailing competition, which uses F50 foiling catamarans capable of reaching speeds up to ~100 km/h. This seminal study assesses injuries and illnesses observed by male and female sailors during trainings and competitions in SailGP’s third season. This study aims to assess injury and illness incidence, comparing results with other professional sailing events and high-performance sports. In addition, injury and illness risk factors (sex and position) will be explored with the goal to reduce morbidity for future seasons. Materials and Methods: This retrospective cohort design analysed medical records of male and female sailors during SailGP’s third season (April 2022 to May 2023). Risk factors assessed included sailor sex, sailor position (helm, strategist, grinder, flight controller and wing trimmer), sailing venue, wind speed and mechanism of injury/nature of illness. International Olympic Committee reporting guidelines on injuries and illnesses were followed, including the STROBE-SIIS checklist. Confidence intervals were set at 95%, statistical tests were two-sided and p-values < 0.05 were considered statistically significant. Results: A total of 40 on-water injuries were reported in 32 athletes. Injury incidence was greater during competitions than trainings, with strategists and then grinders being the most frequently injured positions. Competition injury incidence was 32.6 per 1000 h and 6.42 injuries per 365 days. Training injury incidence was 2.62 injuries per 1000 h and 3.82 injuries per 365 days. Knee, ankle, hand and head injuries were most prevalent, with three concussions observed during trainings and competitions (two female and one male). Direct impacts and falls during manoeuvres caused most injuries. Overall injury incidence (IRR = 2.69 [95% CI 1.41–5.16]), risk of training injuries (RR = 3.75 [95% CI 1.59–8.83], p = 0.001), risk of competition injuries (RR = 1.79 [95% CI 0.65–4.90], p = 0.25) and overall concussion risk (RR = 10.04 [95% CI 0.91–110.46], p = 0.02) were greater in females. Ten sailors accounted for 17 illnesses. Females had a 3.33 increase in training and competition illnesses (IRR = 3.33 [95% CI 0.94–11.81]). Conclusions: Competition injury incidence was higher than previous reported sailing studies. Knee injuries were most prevalent and direct impacts caused most injuries. Female sailors reported a higher injury and illness incidence. These results may guide injury prevention efforts and the development of an IOC-equivalent consensus statement. Future studies should examine time loss. Full article
(This article belongs to the Special Issue Sports Medicine and Public Health)
Show Figures

Graphical abstract

13 pages, 249 KB  
Article
Concussions in Portuguese Professional Football: A Preliminary Epidemiological Study
by André Moreira, Filipe Froes, Gonçalo Vaz, Alexandre Fernandes, Basil Ribeiro, Frank Mederos, Gabriel Nogueira, Hugo Almeida, Pedro Caetano, Pedro Prata, Ana Teixeira and Reinaldo Teixeira
Diseases 2025, 13(10), 332; https://doi.org/10.3390/diseases13100332 - 8 Oct 2025
Viewed by 633
Abstract
Introduction: Concussions are a growing concern in professional football due to their potential short- and long-term neurological consequences. Despite increasing global awareness, data on the epidemiology and clinical management of concussions in Portuguese football remain scarce. This preliminary exploratory study aimed to characterize [...] Read more.
Introduction: Concussions are a growing concern in professional football due to their potential short- and long-term neurological consequences. Despite increasing global awareness, data on the epidemiology and clinical management of concussions in Portuguese football remain scarce. This preliminary exploratory study aimed to characterize the incidence, mechanisms, symptomatology, and medical response to concussions in Portugal’s Professional Football Leagues during the 2023/2024 season, based on reported cases. Methods: A retrospective observational analysis was conducted on head injuries reported by club medical teams during official matches in Liga Portugal First and Second Leagues. Collected variables included player position, time of injury, mechanism, symptoms, medical interventions and hospital referral. Results: Only six concussions were reported during official matches, with an overall incidence of 0.60 per 1000 player-hours. Most occurred in defenders, primarily due to head-to-head collisions, followed by ball impact, falls, and maxillofacial trauma. Injuries were more frequent during the final third of matches. Common symptoms included loss of consciousness, headache, and amnesia. Half of the players were referred to hospital care and underwent cranial CT scans. Among all variables analyzed, a statistically significant association was found between mechanism of injury and occurrence of amnesia (p = 0.014), with non-head-to-head impacts more frequently associated with amnesia. However, given the extremely limited sample size, this finding should be interpreted with extreme caution and requires replication in larger cohorts. Conclusions: This preliminary study suggests that defenders face a higher risk of head injuries, particularly from head-to-head impacts occurring late in matches. The prevalence of severe symptoms and the potential association between non-head-to-head impacts and amnesia highlight the need for more robust injury surveillance systems and underscore the importance of improved sideline assessment and return-to-play protocols. The findings emphasize the urgent need for comprehensive, standardized reporting mechanisms for concussions. Further research should explore long-term neurological effects and the effectiveness of preventive measures such as rule modifications, protective measures, and enhanced concussion management protocols, supported by more extensive and systematically collected data. Full article
21 pages, 1119 KB  
Review
Examining Technological Applications Used for the Cognitive Assessment and Rehabilitation of Concussed Individuals: A Rapid Review
by Isabella P. Garito, Sahil Patel and Lora Appel
Technologies 2025, 13(9), 418; https://doi.org/10.3390/technologies13090418 - 16 Sep 2025
Viewed by 1094
Abstract
The use of technological applications for cognitive assessment and rehabilitation is growing, yet tools specifically targeting cognition in concussed individuals remain underexplored. This rapid review examined technologies used for cognitive assessment and/or rehabilitation following concussion. Specific objectives were to identify (1) cognitive domains [...] Read more.
The use of technological applications for cognitive assessment and rehabilitation is growing, yet tools specifically targeting cognition in concussed individuals remain underexplored. This rapid review examined technologies used for cognitive assessment and/or rehabilitation following concussion. Specific objectives were to identify (1) cognitive domains targeted, (2) participant populations recruited, (3) quality of assessment or therapeutic impact, and (4) user involvement in application design. A structured search across three databases yielded 16 articles analyzing 21 applications. Four (25%) focused primarily on cognition, while the remainder addressed multiple domains. Most applications assessed cognition, and study populations frequently included athletes and military members/veterans. Only two (12.5%) studies reported user feedback on application design. Findings suggest a need for broader requirements of concussed civilians to improve representativeness, and for future research to prioritize the development of applications targeting cognitive rehabilitation in concussed populations. Full article
(This article belongs to the Section Assistive Technologies)
Show Figures

Figure 1

Back to TopTop