Integrated Blood Biomarker and Neurobehavioural Signatures of Latent Neuroinjury in Experienced Military Breachers Exposed to Repetitive Low-Intensity Blast
Abstract
1. Introduction
2. Results
2.1. Participant Characteristics
2.2. Item Contributions to the Latent Neuroinjury Score
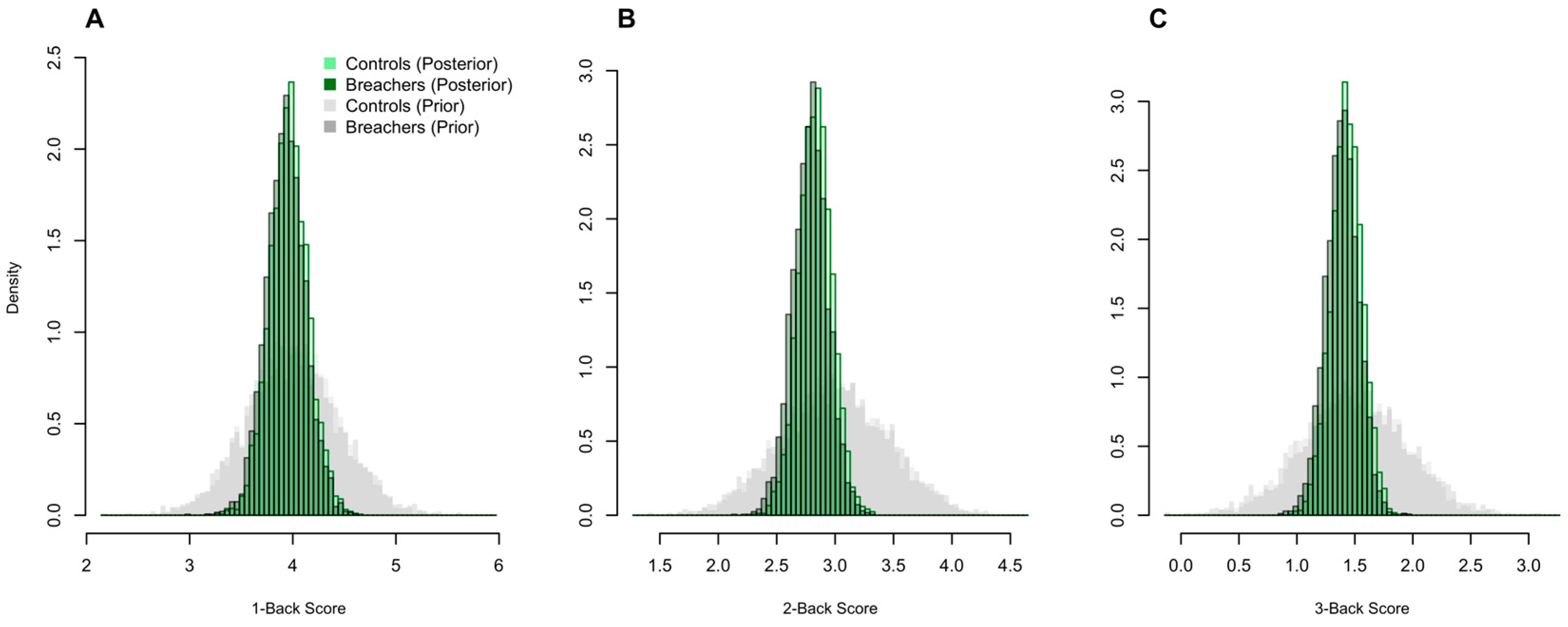
2.3. Latent Neurological Injury Scores in Breachers and Controls
2.4. Practical Implications of Elevated Neuroinjury Scores
3. Discussion
3.1. Overview and Principal Findings
3.2. Alignment with Prior Human Blast Biomarker Studies
3.3. Methodological and Analytical Advances
3.4. Reconciling “Normal” Cognition with Subclinical Neural Stress
3.5. Integrating Symptom, Neurobiological, and Mechanistic Domains
3.6. Implications for Clinical Translation and Operational Readiness
3.7. Limitations and Future Directions
4. Materials and Methods
4.1. Participants
4.2. Experimental Design and Procedures
4.2.1. Rivermead Post-Concussion Symptoms Questionnaire
4.2.2. N-Back Test of Working Memory
4.3. Blood Sample Collection, Processing and Storage
4.4. Plasma Neurological Biomarker Analyses
4.5. Data Analysis
4.5.1. Workflow
4.5.2. Scientific Modeling Assumptions
4.5.3. Statistical Modeling Assumptions
4.5.4. Data
4.5.5. Estimands (Quantities of Interest)
4.5.6. Estimators (Statistical Models Used)
4.5.7. Estimates (Posterior Inferences)
4.5.8. Software
4.5.9. Reproducibility
5. Conclusions
Supplementary Materials
Author Contributions
Funding
Institutional Review Board Statement
Informed Consent Statement
Data Availability Statement
Acknowledgments
Conflicts of Interest
Abbreviations
| Aβ | Amyloid-β |
| Aβ40/42 | Amyloid-β 40 and 42 peptides |
| AD | Alzheimer’s disease |
| ANAM | Automated Neuropsychological Assessment Metrics |
| APP | Amyloid precursor protein |
| ATP | Adenosine triphosphate |
| BBB | Blood–brain barrier |
| BDNF | Brain-derived neurotrophic factor |
| BD-tau | Brain-derived tau |
| BOP | Blast overpressure |
| CAF | Canadian Armed Forces |
| CI | Credible interval |
| CMI | Cognitive–motor integration |
| CNS | Central nervous system |
| CREB | cAMP response element-binding protein |
| CSF | Cerebrospinal fluid |
| CTE | Chronic traumatic encephalopathy |
| DTI | Diffusion tensor imaging |
| EEG | Electroencephalography |
| EV | Extracellular vesicle |
| fMRI | Functional magnetic resonance imaging |
| GFAP | Glial fibrillary acidic protein |
| IL-6 | Interleukin-6 |
| IRR | Injury risk ratio (if present) |
| JNK | c-Jun N-terminal kinase |
| MAPK | Mitogen-activated protein kinase |
| MBP | Myelin basic protein |
| MCP-1 | Monocyte chemoattractant protein-1 |
| MEG | Magnetoencephalography |
| MMP | Matrix metalloproteinase |
| mBDNF | Mature BDNF |
| mTBI | Mild traumatic brain injury |
| NfL | Neurofilament light chain |
| pNF-H | Phosphorylated neurofilament heavy chain |
| NGRN | Neurogranin |
| NSE | Neuron-specific enolase |
| PET | Positron emission tomography |
| PCL | PTSD Checklist |
| PI3K | Phosphoinositide 3-kinase |
| PLCγ | Phospholipase C-gamma |
| PRDX-6 | Peroxiredoxin-6 |
| PTSD | Post-traumatic stress disorder |
| RBANS | Repeatable Battery for the Assessment of Neuropsychological Status |
| RPQ | Rivermead Post-Concussion Questionnaire |
| S100b | S100 calcium-binding protein beta |
| SOF | Special Operations Forces |
| T-tau | Total tau |
| TBI | Traumatic brain injury |
| TNF-α | Tumor necrosis factor-alpha |
| TrkB | Tropomyosin receptor kinase B |
| UCH-L1 | Ubiquitin carboxy-terminal hydrolase L1 |
| VCAM-1/ICAM-1 | Vascular/Intercellular cell adhesion molecules |
| VILIP-1 | Visinin-like protein 1 |
References
- Belding, J.N.; Kolaja, C.A.; Rull, R.P.; Trone, D.W. Single and repeated high-level blast, low-level blast, and new-onset self-reported health conditions in the U.S. Millennium Cohort Study: An exploratory investigation. Front. Neurol. 2023, 14, 1110717. [Google Scholar] [CrossRef] [PubMed]
- Martindale, S.L.; Belding, J.N.; Crawford, C.D.; Rowland, J.A. Validation of Military Occupational Specialty as a Proxy for Blast Exposure Using the Salisbury Blast Interview. J. Neurotrauma 2023, 40, 2321–2329. [Google Scholar] [CrossRef] [PubMed]
- Kamimori, G.H.; Reilly, L.A.; LaValle, C.R.; Da Silva, U.B.O. Occupational overpressure exposure of breachers and military personnel. Shock Waves 2017, 27, 837–847. [Google Scholar] [CrossRef]
- Carr, W.; Dell, K.C.; Yanagi, M.A.; Hassan, D.M.; LoPresti, M.L. Perspectives on repeated low-level blast and the measurement of neurotrauma in humans as an occupational exposure risk. Shock Waves 2017, 27, 829–836. [Google Scholar] [CrossRef]
- Stone, J.R.; Avants, B.B.; Tustison, N.J.; Wassermann, E.M.; Gill, J.; Polejaeva, E.; Dell, K.C.; Carr, W.; Yarnell, A.M.; LoPresti, M.L.; et al. Functional and Structural Neuroimaging Correlates of Repetitive Low-Level Blast Exposure in Career Breachers. J. Neurotrauma 2020, 37, 2468–2481. [Google Scholar] [CrossRef]
- Martindale, S.L.; Ord, A.S.; Rowland, J.A. Influence of blast exposure on cognitive functioning in combat veterans. Neuropsychology 2020, 34, 735–743. [Google Scholar] [CrossRef]
- de Souza, N.L.; Lindsey, H.M.; Dorman, K.; Dennis, E.L.; Kennedy, E.; Menefee, D.S.; Parrott, J.S.; Jia, Y.; Pugh, M.J.V.; Walker, W.C.; et al. Neuropsychological Profiles of Deployment-Related Mild Traumatic Brain Injury: A LIMBIC-CENC Study. Neurology 2024, 102, e209417. [Google Scholar] [CrossRef] [PubMed]
- Miller, A.R.; Martindale, S.L.; Rowland, J.A.; Walton, S.; Talmy, T.; Walker, W.C. Blast-related mild TBI: LIMBIC-CENC focused review with implications commentary. NeuroRehabilitation 2024, 55, 329–345. [Google Scholar] [CrossRef]
- Martindale, S.L.; Kolaja, C.A.; Belding, J.N.; Liu, L.; Rull, R.P.; Trone, D.W.; Rowland, J.A. Blast exposure and long-term diagnoses among veterans: A millennium cohort study investigation of high-level blast and low-level blast. Front. Neurol. 2025, 16, 1599351. [Google Scholar] [CrossRef]
- Solar, K.G.; Ventresca, M.; Zamyadi, R.; Zhang, J.; Jetly, R.; Vartanian, O.; Rhind, S.G.; Dunkley, B.T. Repetitive subconcussion results in disrupted neural activity independent of concussion history. Brain Commun. 2024, 6, fcae348. [Google Scholar] [CrossRef]
- Tate, C.M.; Wang, K.K.; Eonta, S.; Zhang, Y.; Carr, W.; Tortella, F.C.; Hayes, R.L.; Kamimori, G.H. Serum brain biomarker level, neurocognitive performance, and self-reported symptom changes in soldiers repeatedly exposed to low-level blast: A breacher pilot study. J. Neurotrauma 2013, 30, 1620–1630. [Google Scholar] [CrossRef] [PubMed]
- Vartanian, O.; Tenn, C.; Rhind, S.G.; Nakashima, A.; Di Battista, A.P.; Sergio, L.E.; Gorbet, D.J.; Fraser, D.D.; Colantonio, A.; King, K.; et al. Blast in Context: The Neuropsychological and Neurocognitive Effects of Long-Term Occupational Exposure to Repeated Low-Level Explosives on Canadian Armed Forces’ Breaching Instructors and Range Staff. Front. Neurol. 2020, 11, 588531. [Google Scholar] [CrossRef]
- Vartanian, O.; Coady, L.; Blackler, K.; Fraser, B.; Cheung, B. Neuropsychological, Neurocognitive, Vestibular, and Neuroimaging Correlates of Exposure to Repetitive Low-Level Blast Waves: Evidence from Four Nonoverlapping Samples of Canadian Breachers. Mil. Med. 2021, 186, e393–e400. [Google Scholar] [CrossRef]
- Nakashima, A.; Vartanian, O.; Rhind, S.G.; King, K.; Tenn, C.; Jetly, C.R. Repeated Occupational Exposure to Low-level Blast in the Canadian Armed Forces: Effects on Hearing, Balance, and Ataxia. Mil. Med. 2022, 187, e201–e208. [Google Scholar] [CrossRef]
- Brown, K. Relationship Between Cognition and Blast Exposure Symptom Severity in Military Veterans and Servicemembers. Arch. Phys. Med. Rehabil. 2025, 106, e106. [Google Scholar] [CrossRef]
- Shea, K.; Vartanian, O.; Rhind, S.G.; Tenn, C.; Nakashima, A. Impact of Low-Level Blast Exposure from Military Training and Career Cumulation on Hearing Outcomes. Mil. Med. 2025, 190, e1999–e2006. [Google Scholar] [CrossRef]
- Belanger, H.G.; Bowling, F.Y.; Yao, E.F. Low-Level Blast Exposure in Humans a Systematic Review of Acute and Chronic Effects. J. Spec. Oper. Med. 2020, 20, 87–93. [Google Scholar] [CrossRef]
- Vartanian, O.; Rhind, S.G.; Nakashima, A.; Tenn, C.; Lam, T.K.; Shiu, M.; Caddy, N.; King, K.; Natale, A.; Jetly, R. Blast effects on post-concussive and mental health outcomes: Data from Canadian Armed Forces breachers and snipers. J. Mil. Veter. Fam. Health 2022, 8, 82–96. [Google Scholar] [CrossRef]
- Belding, J.N.; Bonkowski, J.; Englert, R. Traumatic brain injury and occupational risk of low-level blast exposure on adverse career outcomes: An examination of administrative and medical separations from Service (2005–2015). Front. Neurol. 2024, 15, 1389757. [Google Scholar] [CrossRef] [PubMed]
- Epshtein, E.; Shraga, S.; Radomislensky, I.; Martindale, S.L.; Bushinsky, S.; Benov, A.; Almog, O.; Tsur, A.M.; Talmy, T.; Bahouth, H.; et al. Blast injury and chronic psychiatric disability in military personnel: Exploring the association beyond posttraumatic stress disorder. J. Psychiatr. Res. 2025, 184, 515–521. [Google Scholar] [CrossRef]
- Martindale, S.L.; Bailie, J.M.; Miles, S.R.; Walker, W.C.; Babakhanyan, I.; Davenport, N.D.; Magnante, A.T.; Hinds, S.R.; Craig, K.M.; Rowland, J.A. Cumulative and Contextual Effects of Low-Level Blast Exposure on Cognitive Function in Military Personnel: Interactions with PTSD and Mild TBI. J. Head Trauma Rehabil. 2025. [Google Scholar] [CrossRef]
- Rutter, B.; Song, H.; DePalma, R.G.; Hubler, G.; Cui, J.; Gu, Z.; E Johnson, C. Shock Wave Physics as Related to Primary Non-Impact Blast-Induced Traumatic Brain Injury. Mil. Med. 2021, 186, 601–609. [Google Scholar] [CrossRef]
- Liang, R.; Wang, H.; Gao, J.; Wang, J.; Zhang, W.; Qian, A. Assessment model of blast injury: A narrative review. iScience 2025, 28, 112830. [Google Scholar] [CrossRef] [PubMed]
- Kuriakose, M.; Younger, D.; Ravula, A.R.; Alay, E.; Rao, K.V.R.; Chandra, N. Synergistic Role of Oxidative Stress and Blood-Brain Barrier Permeability as Injury Mechanisms in the Acute Pathophysiology of Blast-induced Neurotrauma. Sci. Rep. 2019, 9, 7717. [Google Scholar] [CrossRef] [PubMed]
- Donat, C.K.; Lopez, M.Y.; Sastre, M.; Baxan, N.; Goldfinger, M.; Seeamber, R.; Müller, F.; Davies, P.; Hellyer, P.; Siegkas, P.; et al. From biomechanics to pathology: Predicting axonal injury from patterns of strain after traumatic brain injury. Brain 2021, 144, 70–91. [Google Scholar] [CrossRef]
- Uzunalli, G.; Herr, S.; Dieterly, A.M.; Shi, R.; Lyle, L.T. Structural disruption of the blood–brain barrier in repetitive primary blast injury. Fluids Barriers CNS 2021, 18, 2. [Google Scholar] [CrossRef] [PubMed]
- Yu, X.; Nguyen, T.-T.; Wu, T.; Ghajari, M. Non-Lethal Blasts Can Generate Cavitation in Cerebrospinal Fluid While Severe Helmeted Impacts Cannot: A Novel Mechanism for Blast Brain Injury. Front. Bioeng. Biotechnol. 2022, 10, 808113. [Google Scholar] [CrossRef]
- Zhu, X.; Chu, X.; Wang, H.; Liao, Z.; Xiang, H.; Zhao, W.; Yang, L.; Wu, P.; Liu, X.; Chen, D.; et al. Investigating neuropathological changes and underlying neurobiological mechanisms in the early stages of primary blast-induced traumatic brain injury: Insights from a rat model. Exp. Neurol. 2024, 375, 114731. [Google Scholar] [CrossRef]
- Siedhoff, H.R.; Chen, S.; Song, H.; Cui, J.; Cernak, I.; Cifu, D.X.; DePalma, R.G.; Gu, Z. Perspectives on Primary Blast Injury of the Brain: Translational Insights into Non-inertial Low-Intensity Blast Injury. Front. Neurol. 2021, 12, 818169. [Google Scholar] [CrossRef]
- Sachdeva, T.; Ganpule, S.G. Twenty Years of Blast-Induced Neurotrauma: Current State of Knowledge. Neurotrauma Rep. 2024, 5, 243–253. [Google Scholar] [CrossRef]
- Courtney, A.; Courtney, M. A thoracic mechanism of mild traumatic brain injury due to blast pressure waves. Med. Hypotheses 2009, 72, 76–83. [Google Scholar] [CrossRef]
- Rubio, J.E.; Skotak, M.; Alay, E.; Sundaramurthy, A.; Subramaniam, D.R.; Kote, V.B.; Yeoh, S.; Monson, K.; Chandra, N.; Unnikrishnan, G.; et al. Does Blast Exposure to the Torso Cause a Blood Surge to the Brain? Front. Bioeng. Biotechnol. 2020, 8, 573647. [Google Scholar] [CrossRef]
- Sosa, M.A.G.; De Gasperi, R.; Pryor, D.; Garcia, G.S.P.; Perez, G.M.; Abutarboush, R.; Kawoos, U.; Hogg, S.; Ache, B.; Janssen, W.G.; et al. Low-level blast exposure induces chronic vascular remodeling, perivascular astrocytic degeneration and vascular-associated neuroinflammation. Acta Neuropathol. Commun. 2021, 9, 167. [Google Scholar] [CrossRef]
- Kawoos, U.; Abutarboush, R.; Gu, M.; Chen, Y.; Statz, J.K.; Goodrich, S.Y.; Ahlers, S.T. Blast-induced temporal alterations in blood–brain barrier properties in a rodent model. Sci. Rep. 2021, 11, 5906. [Google Scholar] [CrossRef] [PubMed]
- Rubio, J.E.; Unnikrishnan, G.; Sajja, V.S.S.S.; Van Albert, S.; Rossetti, F.; Skotak, M.; Alay, E.; Sundaramurthy, A.; Subramaniam, D.R.; Long, J.B.; et al. Investigation of the direct and indirect mechanisms of primary blast insult to the brain. Sci. Rep. 2021, 11, 16040. [Google Scholar] [CrossRef]
- Elster, N.; Boutillier, J.; Magnan, P.; Naz, P.; Willinger, R.; Deck, C. A critical review of experimental analyses performed on animals, post-mortem human subjects, and substitutes to explore primary blast-induced Traumatic Brain Injuries. Front. Mech. Eng. 2023, 9, 1185231. [Google Scholar] [CrossRef]
- Abutarboush, R.; Reed, E.; Chen, Y.; Gu, M.; Watson, C.; Kawoos, U.; Statz, J.K.; Tschiffely, A.E.; Ciarlone, S.; Perez-Garcia, G.; et al. Exposure to Low-Intensity Blast Increases Clearance of Brain Amyloid Beta. J. Neurotrauma 2024, 41, 685–704. [Google Scholar] [CrossRef] [PubMed]
- Braun, M.; Sevao, M.; A Keil, S.; Gino, E.; Wang, M.X.; Lee, J.; A Haveliwala, M.; Klein, E.; Agarwal, S.; Pedersen, T.; et al. Macroscopic changes in aquaporin-4 underlie blast traumatic brain injury-related impairment in glymphatic function. Brain 2024, 147, 2214–2229. [Google Scholar] [CrossRef]
- Readnower, R.D.; Chavko, M.; Adeeb, S.; Conroy, M.D.; Pauly, J.R.; McCarron, R.M.; Sullivan, P.G. Increase in blood–brain barrier permeability, oxidative stress, and activated microglia in a rat model of blast-induced traumatic brain injury. J. Neurosci. Res. 2010, 88, 3530–3539. [Google Scholar] [CrossRef]
- Huber, B.; Meabon, J.; Hoffer, Z.; Zhang, J.; Hoekstra, J.; Pagulayan, K.; McMillan, P.; Mayer, C.; Banks, W.; Kraemer, B.; et al. Blast exposure causes dynamic microglial/macrophage responses and microdomains of brain microvessel dysfunction. Neuroscience 2016, 319, 206–220. [Google Scholar] [CrossRef]
- Shively, S.B.; Horkayne-Szakaly, I.; Jones, R.V.; Kelly, J.P.; Armstrong, R.C.; Perl, D.P. Characterisation of interface astroglial scarring in the human brain after blast exposure: A post-mortem case series. Lancet Neurol. 2016, 15, 944–953. [Google Scholar] [CrossRef]
- Hernandez, A.; Tan, C.; Plattner, F.; Logsdon, A.F.; Pozo, K.; Yousuf, M.A.; Singh, T.; Turner, R.C.; Lucke-Wold, B.P.; Huber, J.D.; et al. Exposure to mild blast forces induces neuropathological effects, neurophysiological deficits and biochemical changes. Mol. Brain 2018, 11, 64, Correction in Mol. Brain 2021, 14, 164. [Google Scholar] [CrossRef] [PubMed]
- Iacono, D.; Murphy, E.K.; Stimpson, C.D.; Leonessa, F.; Perl, D.P. Double Blast Wave Primary Effect on Synaptic, Glymphatic, Myelin, Neuronal and Neurovascular Markers. Brain Sci. 2023, 13, 286. [Google Scholar] [CrossRef]
- Nishii, K.; Satoh, Y.; Higashi, T.; Matsui, T.; Ishizuka, T.; Kashitani, M.; Saitoh, D.; Kobayashi, Y. Evans blue and FITC-dextran double labeling reveals precise sequence of vascular leakage and glial responses after exposure to mild-level blast-associated shock waves. J. Neurotrauma 2023, 40, 1228–1242. [Google Scholar] [CrossRef] [PubMed]
- Rhind, S.G.; Shiu, M.Y.; Tenn, C.; Nakashima, A.; Jetly, R.; Sajja, V.S.S.S.; Long, J.B.; Vartanian, O. Repetitive Low-Level Blast Exposure Alters Circulating Myeloperoxidase, Matrix Metalloproteinases, and Neurovascular Endothelial Molecules in Experienced Military Breachers. Int. J. Mol. Sci. 2025, 26, 1808. [Google Scholar] [CrossRef] [PubMed]
- Goodrich, J.A.; Kim, J.H.; Situ, R.; Taylor, W.; Westmoreland, T.; Du, F.; Parks, S.; Ling, G.; Hwang, J.Y.; Rapuano, A.; et al. Neuronal and glial changes in the brain resulting from explosive blast in an experimental model. Acta Neuropathol. Commun. 2016, 4, 124. [Google Scholar] [CrossRef]
- Elder, G.A.; Sosa, M.A.G.; De Gasperi, R.; Garcia, G.P.; Perez, G.M.; Abutarboush, R.; Kawoos, U.; Zhu, C.W.; Janssen, W.G.M.; Stone, J.R.; et al. The Neurovascular Unit as a Locus of Injury in Low-Level Blast-Induced Neurotrauma. Int. J. Mol. Sci. 2024, 25, 1150. [Google Scholar] [CrossRef]
- Kilgore, M.O.; Hubbard, W.B. Effects of Low-Level Blast on Neurovascular Health and Cerebral Blood Flow: Current Findings and Future Opportunities in Neuroimaging. Int. J. Mol. Sci. 2024, 25, 642. [Google Scholar] [CrossRef]
- Norris, C.; Murphy, S.F.; VandeVord, P.J. Acute astrocytic and neuronal regulation of glutamatergic protein expression following blast. Neurosci. Lett. 2025, 848, 138108. [Google Scholar] [CrossRef]
- E Eonta, S.; Kamimori, G.H.; Wang, K.K.W.; Carr, W.; LaValle, C.R.; Egnoto, M.J.; Tate, C.M. Case Study of a Breacher: Investigation of Neurotrauma Biomarker Levels, Self-reported Symptoms, and Functional MRI Analysis Before and After Exposure to Measured Low-Level Blast. Mil. Med. 2020, 185, e513–e517. [Google Scholar] [CrossRef]
- Frueh, B.C.; Madan, A.; Fowler, J.C.; Stomberg, S.; Bradshaw, M.; Kelly, K.; Weinstein, B.; Luttrell, M.; Danner, S.G.; Beidel, D.C. “Operator syndrome”: A unique constellation of medical and behavioral health-care needs of military special operation forces. Int. J. Psychiatry Med. 2020, 55, 281–295. [Google Scholar] [CrossRef]
- Englert, R.M.; Belding, J.N.; Thomsen, C.J. Self-Reported Symptoms in U.S. Marines Following Blast- and Impact-Related Concussion. Mil. Med. 2023, 188, e2118–e2125. [Google Scholar] [CrossRef]
- Beard, K.; Gauff, A.K.; Pennington, A.M.; Marion, D.W.; Smith, J.; Sloley, S. Biofluid, Imaging, Physiological, and Functional Biomarkers of Mild Traumatic Brain Injury and Subconcussive Head Impacts. J. Neurotrauma 2024, 42, 1601–1620. [Google Scholar] [CrossRef]
- Mathew, D.; Purohit, P.; Gadwal, A.; Anil, A.; Sharma, R.K.; Meshram, V.P.; Setia, P. Integrated Assessment of GFAP and UCH-L1 for their utility in severity assessment and outcome prediction in Traumatic Brain Injury. Int. J. Leg. Med. 2024, 138, 2559–2568. [Google Scholar] [CrossRef]
- Bazarian, J.J.; Zetterberg, H.; Buki, A.; Dengler, B.A.; Diaz-Arrastia, R.; Korley, F.K.; Lazarus, R.; Meier, T.B.; Mondello, S.; Moritz, K.; et al. Blood-Based Biomarkers for Improved Characterization of Traumatic Brain Injury: Recommendations from the 2024 National Institute for Neurological Disorders and Stroke Traumatic Brain Injury Classification and Nomenclature Initiative Blood-Based Biomarkers Working Group. J. Neurotrauma 2025, 42, 1065–1085. [Google Scholar] [CrossRef] [PubMed]
- Lisi, I.; Moro, F.; Mazzone, E.; Marklund, N.; Pischiutta, F.; Kobeissy, F.; Mao, X.; Corrigan, F.; Helmy, A.; Nasrallah, F.; et al. Exploiting blood-based biomarkers to align preclinical models with human traumatic brain injury. Brain 2025, 148, 1062–1080. [Google Scholar] [CrossRef] [PubMed]
- Di Battista, A.P.; Rhind, S.G.; Baker, A.J. Application of blood-based biomarkers in human mild traumatic brain injury. Front. Neurol. 2013, 4, 44. [Google Scholar] [CrossRef] [PubMed]
- Di Battista, A.P.; Buonora, J.E.; Rhind, S.G.; Hutchison, M.G.; Baker, A.J.; Rizoli, S.B.; Diaz-Arrastia, R.; Mueller, G.P. Blood Biomarkers in Moderate-To-Severe Traumatic Brain Injury: Potential Utility of a Multi-Marker Approach in Characterizing Outcome. Front. Neurol. 2015, 6, 110. [Google Scholar] [CrossRef]
- Di Battista, A.P.; Rhind, S.G.; Baker, A.J.; Jetly, R.; Debad, J.D.; Richards, D.; Hutchison, M.G. An investigation of neuroinjury biomarkers after sport-related concussion: From the subacute phase to clinical recovery. Brain Inj. 2018, 32, 575–582. [Google Scholar] [CrossRef]
- Rubenstein, R.; Chang, B.; Yue, J.K.; Chiu, A.; Winkler, E.A.; Puccio, A.M.; Diaz-Arrastia, R.; Yuh, E.L.; Mukherjee, P.; Valadka, A.B.; et al. Comparing Plasma Phospho Tau, Total Tau, and Phospho Tau–Total Tau Ratio as Acute and Chronic Traumatic Brain Injury Biomarkers. JAMA Neurol. 2017, 74, 1063–1072. [Google Scholar] [CrossRef]
- Huibregtse, M.E.; Bazarian, J.J.; Shultz, S.R.; Kawata, K. The biological significance and clinical utility of emerging blood biomarkers for traumatic brain injury. Neurosci. Biobehav. Rev. 2021, 130, 433–447. [Google Scholar] [CrossRef]
- Miner, A.E.; Groh, J.R.; Tripodis, Y.; Adler, C.H.; Balcer, L.J.; Bernick, C.; Zetterberg, H.; Blennow, K.; Peskind, E.; Ashton, N.J.; et al. Examination of plasma biomarkers of amyloid, tau, neurodegeneration, and neuroinflammation in former elite American football players. Alzheimer’s Dement. 2024, 20, 7529–7546. [Google Scholar] [CrossRef] [PubMed]
- Park, Y.; Kc, N.; Paneque, A.; Cole, P.D. Tau, Glial Fibrillary Acidic Protein, and Neurofilament Light Chain as Brain Protein Biomarkers in Cerebrospinal Fluid and Blood for Diagnosis of Neurobiological Diseases. Int. J. Mol. Sci. 2024, 25, 6295. [Google Scholar] [CrossRef]
- Luo, R.; Yu, J.-T. New biomarkers for early-stage tau pathology in Alzheimer’s disease. Nat. Aging 2025, 5, 734–735. [Google Scholar] [CrossRef] [PubMed]
- Roy, M.J.; Keyser, D.O.; Rowe, S.S.; Hernandez, R.S.; Dovel, M.; Romero, H.; Lee, D.; Menezes, M.; Magee, E.; Brooks, D.J.; et al. Methodology of the INVestigating traIning assoCiated blasT pAthology (INVICTA) study. BMC Med Res. Methodol. 2022, 22, 317. [Google Scholar] [CrossRef]
- I Kocik, V.; A Dengler, B.; A Rizzo, J.; Moran, M.M.; Willis, A.M.; April, M.D.; Schauer, S.G. A Narrative Review of Existing and Developing Biomarkers in Acute Traumatic Brain Injury for Potential Military Deployed Use. Mil. Med. 2024, 189, e1374–e1380. [Google Scholar] [CrossRef] [PubMed]
- Wang, Z.; Sun, S.; Liu, Q.; Kranfli, A.A.; Nemes, J.; Sullan, M.; Hoisington, A.; Brenner, L.A.; Skotak, M.; LaValle, C.R.; et al. Impact of prior exposures on biomarkers of blast during military tactical training. Front. Neurol. 2025, 16, 1589742. [Google Scholar] [CrossRef]
- Svetlov, S.I.; Larner, S.F.; Kirk, D.R.; Atkinson, J.; Hayes, R.L.; Wang, K.K. Biomarkers of blast-induced neurotrauma: Profiling molecular and cellular mechanisms of blast brain injury. J. Neurotrauma 2009, 26, 913–921. [Google Scholar] [CrossRef]
- Boutté, A.M.; Thangavelu, B.; Nemes, J.; LaValle, C.R.; Egnoto, M.; Carr, W.; Kamimori, G.H. Neurotrauma Biomarker Levels and Adverse Symptoms Among Military and Law Enforcement Personnel Exposed to Occupational Overpressure Without Diagnosed Traumatic Brain Injury. JAMA Netw. Open 2021, 4, e216445. [Google Scholar] [CrossRef]
- Vorn, R.; Edwards, K.A.; Hentig, J.; Yun, S.; Kim, H.-S.; Lai, C.; Devoto, C.; Yarnell, A.M.; Polejaeva, E.; Dell, K.C.; et al. A Pilot Study of Whole-Blood Transcriptomic Analysis to Identify Genes Associated with Repetitive Low-Level Blast Exposure in Career Breachers. Biomedicines 2022, 10, 690. [Google Scholar] [CrossRef]
- Cheung, T.Y.A. Application of functional magnetic resonance imaging in diagnosing blast-related traumatic brain injuries. Theor. Nat. Sci. 2024, 65, 182–186. [Google Scholar] [CrossRef]
- Carr, W.; Yarnell, A.M.; Ong, R.; Walilko, T.; Kamimori, G.H.; da Silva, U.; McCarron, R.M.; LoPresti, M.L. Ubiquitin carboxy-terminal hydrolase-l1 as a serum neurotrauma biomarker for exposure to occupational low-level blast. Front. Neurol. 2015, 6, 49. [Google Scholar] [CrossRef]
- Edwards, K.A.; Leete, J.J.; Tschiffely, A.E.; Moore, C.Y.; Dell, K.C.; Statz, J.K.; Carr, W.; Walker, P.B.; LoPresti, M.L.; Ahlers, S.T.; et al. Blast exposure results in tau and neurofilament light chain changes in peripheral blood. Brain Inj. 2020, 34, 1213–1221. [Google Scholar] [CrossRef]
- Rhind, S.G.; Shiu, M.Y.; Vartanian, O.; Tenn, C.; Nakashima, A.; Jetly, R.; Yang, Z.; Wang, K.K. Circulating Brain-Reactive Autoantibody Profiles in Military Breachers Exposed to Repetitive Occupational Blast. Int. J. Mol. Sci. 2024, 25, 13683. [Google Scholar] [CrossRef] [PubMed]
- Sergio, L.E.; Gorbet, D.J.; Adams, M.S.; Dobney, D.M. The Effects of Mild Traumatic Brain Injury on Cognitive-Motor Integration for Skilled Performance. Front. Neurol. 2020, 11, 541630. [Google Scholar] [CrossRef] [PubMed]
- Miller, M.R.; DiBattista, A.; Patel, M.A.; Daley, M.; Tenn, C.; Nakashima, A.; Rhind, S.G.; Vartanian, O.; Shiu, M.Y.; Caddy, N.; et al. A Distinct Metabolite Signature in Military Personnel Exposed to Repetitive Low-Level Blasts. Front. Neurol. 2022, 13, 831792. [Google Scholar] [CrossRef] [PubMed]
- Chaganti, S.; Plassard, A.J.; Wilson, L.; Smith, M.A.; Patel, M.B.; Landman, B.A. A Bayesian Framework for Early Risk Prediction in Traumatic Brain Injury. Proc. SPIE Int. Soc. Opt. Eng. 2016, 9784, 978422. [Google Scholar] [CrossRef]
- Mueller, P.M.; Torres-Espín, A.; Haar, C.V. Bayesian Methods: A Means of Improving Statistical Power in Preclinical Neurotrauma? Neurotrauma Rep. 2024, 5, 699–707. [Google Scholar] [CrossRef]
- Owen, A.M.; McMillan, K.M.; Laird, A.R.; Bullmore, E. N-back working memory paradigm: A meta-analysis of normative functional neuroimaging studies. Hum. Brain Mapp. 2005, 25, 46–59. [Google Scholar] [CrossRef]
- Smits, M.; Dippel, D.W.; Houston, G.C.; Wielopolski, P.A.; Koudstaal, P.J.; Hunink, M.M.; van der Lugt, A. Postconcussion syndrome after minor head injury: Brain activation of working memory and attention. Hum. Brain Mapp. 2009, 30, 2789–2803. [Google Scholar] [CrossRef] [PubMed]
- Elder, G.A.; Sosa, M.A.G.; De Gasperi, R.; Stone, J.R.; Dickstein, D.L.; Haghighi, F.; Hof, P.R.; Ahlers, S.T. Vascular and Inflammatory Factors in the Pathophysiology of Blast-Induced Brain Injury. Front. Neurol. 2015, 6, 48. [Google Scholar] [CrossRef]
- Basile, E.J.; Syed, F.; Wei, O.C.; Toma, M.; Frankini, E.L.; Ong, C.W. Understanding Traumatic Brain Injuries in Military Personnel: Investigating the Dynamic Interplay of the Cerebrospinal Fluid and Brain During Blasts. Cureus 2023, 15, e46962. [Google Scholar] [CrossRef]
- Agoston, D.V.; Kamnaksh, A. Modeling the Neurobehavioral Consequences of Blast-Induced Traumatic Brain Injury Spectrum Disorder and Identifying Related Biomarkers. In Brain Neurotrauma: Molecular, Neuropsychological, and Rehabilitation Aspects; Kobeissy, F.H., Ed.; Taylor & Francis: Boca Raton, FL, USA, 2015. [Google Scholar]
- Kamimori, G.H.; LaValle, C.R.; E Eonta, S.; Carr, W.; Tate, C.; Wang, K.K.W. Longitudinal Investigation of Neurotrauma Serum Biomarkers, Behavioral Characterization, and Brain Imaging in Soldiers Following Repeated Low-Level Blast Exposure (New Zealand Breacher Study). Mil. Med. 2018, 183, 28–33. [Google Scholar] [CrossRef]
- Boutté, A.M.; Thangavelu, B.; LaValle, C.R.; Nemes, J.; Gilsdorf, J.; Shear, D.A.; Kamimori, G.H. Brain-related proteins as serum biomarkers of acute, subconcussive blast overpressure exposure: A cohort study of military personnel. PLoS ONE 2019, 14, e0221036. [Google Scholar] [CrossRef]
- Thangavelu, B.; LaValle, C.R.; Egnoto, M.J.; Nemes, J.; Boutté, A.M.; Kamimori, G.H. Overpressure Exposure from .50-Caliber Rifle Training Is Associated with Increased Amyloid Beta Peptides in Serum. Front. Neurol. 2020, 11, 620. [Google Scholar] [CrossRef] [PubMed]
- Tschiffely, A.E.; Statz, J.K.; Edwards, K.A.; Goforth, C.; Ahlers, S.T.; Carr, W.S.; Gill, J.M. Assessing a Blast-Related Biomarker in an Operational Community: Glial Fibrillary Acidic Protein in Experienced Breachers. J. Neurotrauma 2020, 37, 1091–1096. [Google Scholar] [CrossRef] [PubMed]
- Gill, J.; Cashion, A.; Osier, N.; Arcurio, L.; Motamedi, V.; Dell, K.C.; Carr, W.; Kim, H.-S.; Yun, S.; Walker, P.; et al. Moderate blast exposure alters gene expression and levels of amyloid precursor protein. Neurol. Genet. 2017, 3, e186. [Google Scholar] [CrossRef] [PubMed]
- Gill, J.; Motamedi, V.; Osier, N.; Dell, K.; Arcurio, L.; Carr, W.; Walker, P.; Ahlers, S.; LoPresti, M.; Yarnell, A. Moderate blast exposure results in increased IL-6 and TNFα in peripheral blood. Brain Behav. Immun. 2017, 65, 90–94, Erratum in Brain Behav. Immun. 2018, 69, 631. [Google Scholar] [CrossRef]
- Gyorgy, A.; Ling, G.; Wingo, D.; Walker, J.; Tong, L.; Parks, S.; Januszkiewicz, A.; Baumann, R.; Agoston, D.V. Time-dependent changes in serum biomarker levels after blast traumatic brain injury. J. Neurotrauma 2011, 28, 1121–1126. [Google Scholar] [CrossRef]
- Muneer, P.A.; Saikia, B.B.; Bhowmick, S. Synergistic effect of mild traumatic brain injury and alcohol aggravates neuroinflammation, amyloidogenesis, tau pathology, neurodegeneration, and blood-brain barrier alterations: Impact on psychological stress. Exp. Neurol. 2022, 358, 114222. [Google Scholar] [CrossRef]
- Edwards, K.A.; Greer, K.; Leete, J.; Lai, C.; Devoto, C.; Qu, B.-X.; Yarnell, A.M.; Polejaeva, E.; Dell, K.C.; LoPresti, M.L.; et al. Neuronally-derived tau is increased in experienced breachers and is associated with neurobehavioral symptoms. Sci. Rep. 2021, 11, 19527. [Google Scholar] [CrossRef]
- Edwards, K.A.; Leete, J.J.; Smith, E.G.; Quick, A.; Modica, C.M.; Wassermann, E.M.; Polejaeva, E.; Dell, K.C.; LoPresti, M.; Walker, P.; et al. Elevations in Tumor Necrosis Factor Alpha and Interleukin 6 From Neuronal-Derived Extracellular Vesicles in Repeated Low-Level Blast Exposed Personnel. Front. Neurol. 2022, 13, 723923. [Google Scholar] [CrossRef]
- Agoston, D.V.; McCullough, J.; Aniceto, R.; Lin, I.-H.; Kamnaksh, A.; Eklund, M.; Graves, W.M., 3rd; Dunbar, C.; Engall, J.; Schneider, E.B.; et al. Blood-Based Biomarkers of Repetitive, Subconcussive Blast Overpressure Exposure in the Training Environment: A Pilot Study. Neurotrauma Rep. 2022, 3, 479–490. [Google Scholar] [CrossRef]
- Graham, N.S.N.; Blissitt, G.; Zimmerman, K.; Friedland, D.; Dumas, M.-E.; Coady, E.; Heslegrave, A.; Zetterberg, H.; Escott-Price, V.; Schofield, S.; et al. ADVANCE-TBI study protocol: Traumatic brain injury outcomes in UK military personnel serving in Afghanistan between 2003 and 2014—A longitudinal cohort study. BMJ Open 2023, 13, e069243. [Google Scholar] [CrossRef] [PubMed]
- Dickstein, D.L.; De Gasperi, R.; Sosa, M.A.G.; Perez-Garcia, G.; Short, J.A.; Sosa, H.; Perez, G.M.; Tschiffely, A.E.; Dams-O’cOnnor, K.; Pullman, M.Y.; et al. Brain and blood biomarkers of tauopathy and neuronal injury in humans and rats with neurobehavioral syndromes following blast exposure. Mol. Psychiatry 2021, 26, 5940–5954. [Google Scholar] [CrossRef] [PubMed]
- Vorn, R.; Naunheim, R.; Lai, C.; Wagner, C.; Gill, J.M. Elevated Axonal Protein Markers Following Repetitive Blast Exposure in Military Personnel. Front. Neurosci. 2022, 16, 853616. [Google Scholar] [CrossRef]
- Gilmore, N.; Tseng, C.-E.J.; Maffei, C.; Tromly, S.L.; Deary, K.B.; McKinney, I.R.; Kelemen, J.N.; Healy, B.C.; Hu, C.G.; Ramos-Llordén, G.; et al. Impact of repeated blast exposure on active-duty United States Special Operations Forces. Proc. Natl. Acad. Sci. USA 2024, 121, e2313568121. [Google Scholar] [CrossRef]
- Barbosa, M.G.d.S.; Francisco, G.G.d.O.A.; de Souza, R.L.V.; de Souza, J.M.A.; Carneiro, R.A.; Rabelo, N.N.; Chaurasia, B. Chronic traumatic encephalopathy in athletes, players, boxers and military: Systematic review. Ann. Med. Surg. 2024, 86, 7238–7247. [Google Scholar] [CrossRef]
- Di Battista, A.P.; Churchill, N.; Schweizer, T.A.; Rhind, S.G.; Richards, D.; Baker, A.J.; Hutchison, M.G. Blood biomarkers are associated with brain function and blood flow following sport concussion. J. Neuroimmunol. 2018, 319, 1–8. [Google Scholar] [CrossRef] [PubMed]
- Buonora, J.E.; Yarnell, A.M.; Lazarus, R.C.; Mousseau, M.; Latour, L.L.; Rizoli, S.B.; Baker, A.J.; Rhind, S.G.; Diaz-Arrastia, R.; Mueller, G.P. Multivariate analysis of traumatic brain injury: Development of an assessment score. Front. Neurol. 2015, 6, 68. [Google Scholar] [CrossRef]
- Edlow, B.L.; Bodien, Y.G.; Baxter, T.; Belanger, H.G.; Cali, R.J.; Deary, K.B.; Fischl, B.; Foulkes, A.S.; Gilmore, N.; Greve, D.N.; et al. Long-Term Effects of Repeated Blast Exposure in United States Special Operations Forces Personnel: A Pilot Study Protocol. J. Neurotrauma 2022, 39, 1391–1407. [Google Scholar] [CrossRef] [PubMed]
- Stone, J.R.; Avants, B.B.; Tustison, N.J.; Gill, J.; Wilde, E.A.; Neumann, K.D.; Gladney, L.A.; Kilgore, M.O.; Bowling, F.; Wilson, C.M.; et al. Neurological Effects of Repeated Blast Exposure in Special Operations Personnel. J. Neurotrauma 2024, 41, 942–956. [Google Scholar] [CrossRef] [PubMed]
- Meier, T.B.; Huber, D.L.; Goeckner, B.D.; Gill, J.M.; Pasquina, P.; Broglio, S.P.; McAllister, T.W.; Harezlak, J.; McCrea, M.A.; for CARE Consortium Investigators. Association of Blood Biomarkers of Inflammation with Acute Concussion in Collegiate Athletes and Military Service Academy Cadets. Neurology 2024, 102, e207991. [Google Scholar] [CrossRef]
- Butler, M.L.M.D.; Pervaiz, N.; Breen, K.; Calderazzo, S.; Ypsilantis, P.; Wang, Y.; Breda, J.C.; Mazzilli, S.; Nicks, R.; Spurlock, E.; et al. Repeated head trauma causes neuron loss and inflammation in young athletes. Nature 2025, 647, 228–237. [Google Scholar] [CrossRef]
- Good, I.J. Good Thinking: The Foundations of Probability and its Applications; Courier Corporation: North Chelmsford, MA, USA, 2009. [Google Scholar]
- Betancourt, M. Towards a Principled Bayesian Workflow. 2020. Available online: https://betanalpha.github.io/assets/case_studies/principled_bayesian_workflow.html (accessed on 20 November 2025).
- McElreath, R. Statistical Rethinking: A Bayesian Course with Examples in R and Stan; Chapman and Hall/CRC: New York, NY, USA, 2020. [Google Scholar]
- Nelson, N.W.; Davenport, N.D.; Sponheim, S.R.; Anderson, C.R. Blast-Related Mild Traumatic Brain Injury: Neuropsychological Evaluation and Findings. In Brain Neurotrauma: Molecular, Neuropsychological, and Rehabilitation Aspects; Kobeissy, F.H., Ed.; Taylor & Francis: Boca Raton, FL, USA, 2015. [Google Scholar]
- Bigler, E.D. Systems Biology, Neuroimaging, Neuropsychology, Neuroconnectivity and Traumatic Brain Injury. Front. Syst. Neurosci. 2016, 10, 55. [Google Scholar] [CrossRef]
- Pagulayan, K.F.; Petrie, E.C.; Cook, D.G.; Hendrickson, R.C.; Rau, H.; Reilly, M.; Mayer, C.; Meabon, J.S.; Raskind, M.A.; Peskind, E.R.; et al. Effect of blast-related mTBI on the working memory system: A resting state fMRI study. Brain Imaging Behav. 2018, 14, 949–960. [Google Scholar] [CrossRef]
- Bigler, E.D.; Allder, S.; Victoroff, J. What traditional neuropsychological assessment got wrong about mild traumatic brain injury. II: Limitations in test development, research design, statistical and psychometric issues. Brain Inj. 2024, 38, 1053–1074. [Google Scholar] [CrossRef]
- Bigler, E.D.; Allder, S.; Dunkley, B.T.; Victoroff, J. What traditional neuropsychological assessment got wrong about mild traumatic brain injury. I: Historical perspective, contemporary neuroimaging overview and neuropathology update. Brain Inj. 2025, 39, 1161–1183. [Google Scholar] [CrossRef]
- Lamichhane, B.; Westbrook, A.; Cole, M.W.; Braver, T.S. Exploring brain-behavior relationships in the N-back task. NeuroImage 2020, 212, 116683. [Google Scholar] [CrossRef]
- Woodrow, R.E.; Winzeck, S.; I Luppi, A.; Kelleher-Unger, I.R.; Spindler, L.R.B.; Wilson, J.T.L.; Newcombe, V.F.J.; CENTER-TBI MRI Substudy Participants and Investigators; Coles, J.P.; Menon, D.K.; et al. Acute thalamic connectivity precedes chronic post-concussive symptoms in mild traumatic brain injury. Brain 2023, 146, 3484–3499. [Google Scholar] [CrossRef] [PubMed]
- Jolly, A.E.; Scott, G.T.; Sharp, D.J.; Hampshire, A.H. Distinct patterns of structural damage underlie working memory and reasoning deficits after traumatic brain injury. Brain 2020, 143, 1158–1176. [Google Scholar] [CrossRef]
- Hagen, A.C.; Tracy, B.L.; Stephens, J.A. Altered neural recruitment despite dual task performance recovery in athletes with repeat concussion. medRxiv 2024. [Google Scholar] [CrossRef]
- Dretsch, M.N.; Coldren, R.L.; Kelly, M.P.; Parish, R.V.; Russell, M.L. No Effect of Mild Nonconcussive Injury on Neurocognitive Functioning in U.S. Army Soldiers Deployed to Iraq. Mil. Med. 2012, 177, 1011–1014. [Google Scholar] [CrossRef] [PubMed][Green Version]
- Sosa, M.A.G.; De Gasperi, R.; Garcia, G.S.P.; Perez, G.M.; Searcy, C.; Vargas, D.; Spencer, A.; Janssen, P.L.; Tschiffely, A.E.; McCarron, R.M.; et al. Low-level blast exposure disrupts gliovascular and neurovascular connections and induces a chronic vascular pathology in rat brain. Acta Neuropathol. Commun. 2019, 7, 6. [Google Scholar] [CrossRef]
- Di Battista, A.P.; Rhind, S.G.; Tenn, C.; Nakashima, A.; Lam, T.K.; Shiu, M.Y.; King, K.; Ouellet, S.; Vartanian, O. The impact of repetitive exposure to low-level blast on neurocognitive function in Canadian Armed Forces’ breachers, snipers, and military controls. J. Int. Neuropsychol. Soc. 2025, 31, 611–626. [Google Scholar] [CrossRef] [PubMed]
- Friedl, K.; Grate, S.; Proctor, S.; Ness, J.; Lukey, B.; Kane, R. Army research needs for automated neuropsychological tests: Monitoring soldier health and performance status. Arch. Clin. Neuropsychol. 2007, 22, S7–S14. [Google Scholar] [CrossRef]
- Brenner, L.A.; Terrio, H.; Homaifar, B.Y.; Gutierrez, P.M.; Staves, P.J.; Harwood, J.E.F.; Reeves, D.; Adler, L.E.; Ivins, B.J.; Helmick, K.; et al. Neuropsychological test performance in soldiers with blast-related mild TBI. Neuropsychology 2010, 24, 160–167. [Google Scholar] [CrossRef]
- Haran, F.J.; Handy, J.D.; Servatius, R.J.; Rhea, C.K.; Tsao, J.W. Acute neurocognitive deficits in active duty service members following subconcussive blast exposure. Appl. Neuropsychol. Adult 2019, 28, 297–309. [Google Scholar] [CrossRef] [PubMed]
- Vincent, A.S.; Roebuck-Spencer, T.M.; Fuenzalida, E.; Gilliland, K. Test–retest reliability and practice effects for the ANAM General Neuropsychological Screening battery. Clin. Neuropsychol. 2018, 32, 479–494. [Google Scholar] [CrossRef]
- Hayes, J.P.; Morey, R.A.; Tupler, L.A. A case of frontal neuropsychological and neuroimaging signs following multiple primary-blast exposure. Neurocase 2012, 18, 258–269. [Google Scholar] [CrossRef]
- Clark, A.L.; Merritt, V.C.; Bigler, E.D.; Bangen, K.J.; Werhane, M.; Sorg, S.F.; Bondi, M.W.; Schiehser, D.M.; Delano-Wood, L. Blast-Exposed Veterans with Mild Traumatic Brain Injury Show Greater Frontal Cortical Thinning and Poorer Executive Functioning. Front. Neurol. 2018, 9, 873. [Google Scholar] [CrossRef] [PubMed]
- A Champagne, A.; Coverdale, N.S.; Ross, A.; Murray, C.; Vallee, I.; Cook, D.J. Characterizing changes in network connectivity following chronic head trauma in special forces military personnel: A combined resting-fMRI and DTI study. Brain Inj. 2021, 35, 760–768. [Google Scholar] [CrossRef] [PubMed]
- Nathan, D.E.; Bellgowan, J.F.; Oakes, T.R.; French, L.M.; Nadar, S.R.; Sham, E.B.; Liu, W.; Riedy, G. Assessing Quantitative Changes in Intrinsic Thalamic Networks in Blast and Nonblast Mild Traumatic Brain Injury: Implications for Mechanisms of Injury. Brain Connect. 2016, 6, 389–402. [Google Scholar] [CrossRef] [PubMed]
- Sullivan, D.R.; Hayes, J.P.; Lafleche, G.; Salat, D.H.; Verfaellie, M. Functional Brain Alterations Associated with Cognitive Control in Blast-Related Mild Traumatic Brain Injury. J. Int. Neuropsychol. Soc. 2018, 24, 662–672. [Google Scholar] [CrossRef]
- Lam, T.K.; Rhind, S.G.; Tenn, C.; Nakashima, A.; Shiu, M.; King, K.; Caddy, N.; Vallikanthan, J.; Vartanian, O. Connecting the Dots: Investigating Brain Connectivity Changes in Military Breachers and Snipers Exposed to Repetitive Low-Level Blast; NATO: Brussels, Belgium, 2025; p. 9. [Google Scholar]
- Robinson, M.E.; Clark, D.C.; Milberg, W.P.; McGlinchey, R.E.; Salat, D.H. Characterization of Differences in Functional Connectivity Associated with Close-Range Blast Exposure. J. Neurotrauma 2017, 34, S53–S61. [Google Scholar] [CrossRef]
- Dogra, S.; Arabshahi, S.; Wei, J.; Saidenberg, L.; Kang, S.K.; Chung, S.; Laine, A.; Lui, Y.W. Functional Connectivity Changes on Resting-State fMRI After Mild Traumatic Brain Injury: A Systematic Review. AJNR Am. J. Neuroradiol. 2024, 45, 795–801. [Google Scholar] [CrossRef]
- Diociasi, A.; Iaccarino, M.A.; Sorg, S.; Lubin, E.J.; Wisialowski, C.; Dua, A.; Tan, C.O.; Gupta, R. Distinct Functional MRI Connectivity Patterns and Cortical Volume Variations Associated with Repetitive Blast Exposure in Special Operations Forces Members. Radiology 2025, 315, e233264. [Google Scholar] [CrossRef]
- Hurtubise, J.M.; Gorbet, D.J.; Hynes, L.; Macpherson, A.K.; Sergio, L.E. Cortical and cerebellar structural correlates of cognitive-motor integration performance in females with and without persistent concussion symptoms. Brain Inj. 2023, 37, 397–411. [Google Scholar] [CrossRef]
- Gattoni, C.; Martinez-Gonzalez, B.; Li, C.; Marcora, S.M. Assessing Cognitive-Motor Interference in Military Contexts: Validity and Reliability of Two Dual-Tasking Tests. Mil. Med. 2023, 188, e2900–e2908. [Google Scholar] [CrossRef]
- Wang, W.; Li, H.; Wang, Y.; Liu, L.; Qian, Q. Changes in effective connectivity during the visual-motor integration tasks: A preliminary f-NIRS study. Behav. Brain Funct. 2024, 20, 4. [Google Scholar] [CrossRef]
- Bodien, Y.G.; Fecchio, M.; Gilmore, N.; Freeman, H.J.; Sanders, W.R.; Meydan, A.; Lawrence, P.K.; Atalay, A.S.; Kirsch, J.; Healy, B.C.; et al. Multimodal Biomarkers of Consciousness in Acute Severe Traumatic Brain Injury. J. Neurotrauma 2025. [Google Scholar] [CrossRef] [PubMed]
- Jones, C.; Harasym, J.; Miguel-Cruz, A.; Chisholm, S.; Smith-MacDonald, L.; Brémault-Phillips, S. Neurocognitive Assessment Tools for Military Personnel with Mild Traumatic Brain Injury: Scoping Literature Review. JMIR Ment. Health 2021, 8, e26360. [Google Scholar] [CrossRef] [PubMed]
- Kim, S.Y.; Yeh, P.-H.; Ollinger, J.M.; Morris, H.D.; Hood, M.N.; Ho, V.B.; Choi, K.H. Military-related mild traumatic brain injury: Clinical characteristics, advanced neuroimaging, and molecular mechanisms. Transl. Psychiatry 2023, 13, 289. [Google Scholar] [CrossRef]
- Goldstein, L.E.; Fisher, A.M.; Tagge, C.A.; Zhang, X.-L.; Velisek, L.; Sullivan, J.A.; Upreti, C.; Kracht, J.M.; Ericsson, M.; Wojnarowicz, M.W.; et al. Chronic traumatic encephalopathy in blast-exposed military veterans and a blast neurotrauma Mouse model. Sci. Transl. Med. 2012, 4, 134ra60. [Google Scholar] [CrossRef] [PubMed]
- Tate, D.F.; Wade, B.S.C.; Velez, C.S.; Bigler, E.D.; Davenport, N.D.; Dennis, E.L.; Esopenko, C.; Hinds, S.R.; Kean, J.; Kennedy, E.; et al. Persistent MRI Findings Unique to Blast and Repetitive Mild TBI: Analysis of the CENC/LIMBIC Cohort Injury Characteristics. Mil. Med. 2024, 189, e1938–e1946. [Google Scholar] [CrossRef]
- Scheller, E.; Minkova, L.; Leitner, M.; Kloppel, S. Attempted and successful compensation in preclinical and early manifest neurodegeneration—A review of task FMRI studies. Front. Psychiatry 2014, 5, 132. [Google Scholar] [CrossRef] [PubMed]
- Franke, L.M.; Perera, R.A.; Sponheim, S.R. Long-term resting EEG correlates of repetitive mild traumatic brain injury and loss of consciousness: Alterations in alpha-beta power. Front. Neurol. 2023, 14, 1241481. [Google Scholar] [CrossRef]
- Rowland, J.A.; Stapleton-Kotloski, J.R.; Godwin, D.W.; Hamilton, C.A.; Martindale, S.L. The Functional Connectome and Long-Term Symptom Presentation Associated with Mild Traumatic Brain Injury and Blast Exposure in Combat Veterans. J. Neurotrauma 2024, 41, 2513–2527. [Google Scholar] [CrossRef]
- Bigler, E.D.; Allder, S.; Dunkley, B.T.; Victoroff, J. What traditional neuropsychological assessment got wrong about mild traumatic brain injury. IV: Clinical applications and future directions. Brain Inj. 2025, 39, 703–719. [Google Scholar] [CrossRef]
- Martindale, S.L.; Ord, A.S.; Lad, S.S.; Miskey, H.M.; Taber, K.H.; Rowland, J.A. Differential effects of deployment and nondeployment mild TBI on neuropsychological outcomes. Rehabil. Psychol. 2020, 66, 128–138. [Google Scholar] [CrossRef]
- Merritt, V.C.; Jurick, S.M.; Crocker, L.D.; Sullan, M.J.; Sakamoto, M.S.; Davey, D.K.; Hoffman, S.N.; Keller, A.V.; Jak, A.J. Associations Between Multiple Remote Mild TBIs and Objective Neuropsychological Functioning and Subjective Symptoms in Combat-Exposed Veterans. Arch. Clin. Neuropsychol. 2020, 35, 491–505. [Google Scholar] [CrossRef]
- Lippa, S.M.; Yeh, P.-H.; Gill, J.; French, L.M.; Brickell, T.A.; Lange, R.T. Plasma Tau and Amyloid Are Not Reliably Related to Injury Characteristics, Neuropsychological Performance, or White Matter Integrity in Service Members with a History of Traumatic Brain Injury. J. Neurotrauma 2019, 36, 2190–2199. [Google Scholar] [CrossRef]
- Vedantam, A.; Brennan, J.; Levin, H.S.; McCarthy, J.J.; Dash, P.K.; Redell, J.B.; Yamal, J.-M.; Robertson, C.S. Early versus Late Profiles of Inflammatory Cytokines after Mild Traumatic Brain Injury and Their Association with Neuropsychological Outcomes. J. Neurotrauma 2021, 38, 53–62. [Google Scholar] [CrossRef]
- de Souza, N.L.; Esopenko, C.; Jia, Y.; Parrott, J.S.; Merkley, T.L.; Dennis, E.L.; Hillary, F.G.; Velez, C.M.; Cooper, D.B.; Kennedy, J.E.; et al. Discriminating Mild Traumatic Brain Injury and Posttraumatic Stress Disorder Using Latent Neuroimaging and Neuropsychological Profiles in Active-Duty Military Service Members. J. Head Trauma Rehabil. 2022, 38, E254–E266. [Google Scholar] [CrossRef]
- Bhaumik, D.K.; Wang, Y.; Yen, P.-S.; Ajilore, O.A. Development of a Bayesian multimodal model to detect biomarkers in neuroimaging studies. Front. Neuroimaging 2023, 2, 1147508. [Google Scholar] [CrossRef] [PubMed]
- Jackson, D.; Zhang, F.; Burman, C.; Sharples, L. Bayesian Solutions for Assessing Differential Effects in Biomarker Positive and Negative Subgroups. Pharm. Stat. 2025, 24, e2456. [Google Scholar] [CrossRef] [PubMed]
- Wang, K.; Hua, W.; Wang, M.; Xu, Y. A Bayesian semi-parametric model for learning biomarker trajectories and changepoints in the preclinical phase of Alzheimer’s disease. Biometrics 2024, 80, ujae048. [Google Scholar] [CrossRef]
- Hlavac, N.; VandeVord, P.J. Astrocyte Mechano-Activation by High-Rate Overpressure Involves Alterations in Structural and Junctional Proteins. Front. Neurol. 2019, 10, 99. [Google Scholar] [CrossRef] [PubMed]
- Norris, C.; Garimella, H.T.; Carr, W.; Boutté, A.M.; Gupta, R.K.; Przekwas, A.J. Modeling biomarker kinetics of Abeta levels in serum following blast. Front. Neurol. 2025, 16, 1548589. [Google Scholar] [CrossRef]
- Agtarap, S.; Hungerford, L.D.; Ettenhofer, M.L. Identifying Unique Symptom Groups Following Mild Traumatic Brain Injury Using the Neurobehavioral Symptom Inventory and PTSD Checklist-5 in Military Personnel: A Bifactor Analysis. J. Head Trauma Rehabil. 2023, 38, E371–E383. [Google Scholar] [CrossRef]
- Belding, J.N.; Bonkowski, J.; Englert, R.; Stanfill, A.G.; Tsao, J.W. Associations between concussion and more severe TBIs, mild cognitive impairment, and early-onset dementia among military retirees over 40 years. Front. Neurol. 2024, 15, 1442715. [Google Scholar] [CrossRef] [PubMed]
- A Wilde, E.; Wanner, I.-B.; Kenney, K.; Gill, J.; Stone, J.R.; Disner, S.; Schnakers, C.; Meyer, R.; Prager, E.M.; Haas, M.; et al. A Framework to Advance Biomarker Development in the Diagnosis, Outcome Prediction, and Treatment of Traumatic Brain Injury. J. Neurotrauma 2022, 39, 436–457. [Google Scholar] [CrossRef]
- Ahlers, S.T.; Beliveau, P.; Bjerke, A.; Bompaire, F.; Borkholder, D.A.; Carr, W.S.; Featherman, S.J.; Flierman, N.; Grobert, S.; Josey, T.; et al. Guidelines to Mitigate Military Occupational Brain Health Risks from Repetitive Blast Exposure; North Atlantic Treaty Organization: Brussels, Belgium, 2025; p. 100. [Google Scholar]
- Vartanian, O.; Blackler, K.; Nakashima, A.; Outelllet, S. Assessment of Blast Overpressure in the Canadian Forces School of Military Engineering (CFSME) Breaching Environment; DRDC-RDDC-2015-L194; DRDC TRC: Toronto, ON, Canada, 2015; p. 6. [Google Scholar]
- Mishra, V.; Skotak, M.; Schuetz, H.; Heller, A.; Haorah, J.; Chandra, N. Primary blast causes mild, moderate, severe and lethal TBI with increasing blast overpressures: Experimental rat injury model. Sci. Rep. 2016, 6, 26992. [Google Scholar] [CrossRef]
- Sloley, S.S.; Turner, S.M. Evaluating evidence supporting the relevancy of 4 psi as a blast overpressure value associated with brain health and performance outcomes following low-level blast overpressure exposure. Shock Waves 2024, 34, 293–302. [Google Scholar] [CrossRef]
- King, N.S.; Crawford, S.; Wenden, F.J.; Moss, N.E.G.; Wade, D.T. The Rivermead Post Concussion Symptoms Questionnaire: A measure of symptoms commonly experienced after head injury and its reliability. J. Neurol. 1995, 242, 587–592. [Google Scholar] [CrossRef]
- Eyres, S.; Carey, A.; Gilworth, G.; Neumann, V.; Tennant, A. Construct validity and reliability of the Rivermead Post-Concussion Symptoms Questionnaire. Clin. Rehabil. 2005, 19, 878–887. [Google Scholar] [CrossRef]
- Kane, M.J.; Brown, L.H.; McVay, J.C.; Silvia, P.J.; Myin-Germeys, I.; Kwapil, T.R. For whom the mind wanders, and when: An experience-sampling study of working memory and executive control in daily life. Psychol. Sci. 2007, 18, 614–621. [Google Scholar] [CrossRef] [PubMed]
- Stanislaw, H.; Todorov, N. Calculation of signal detection theory measures. Behav. Res. Methods Instrum. Comput. 1999, 31, 137–149. [Google Scholar] [CrossRef]
- Di Battista, A.P.; Rhind, S.G.; Richards, D.; Churchill, N.; Baker, A.J.; Hutchison, M.G. Altered Blood Biomarker Profiles in Athletes with a History of Repetitive Head Impacts. PLoS ONE 2016, 11, e0159929, Correction in PLoS ONE 2016, 11, e0164912. [Google Scholar] [CrossRef]
- Di Battista, A.P.; Moes, K.A.; Shiu, M.Y.; Hutchison, M.G.; Churchill, N.; Thomas, S.G.; Rhind, S.G. High-Intensity Interval Training Is Associated with Alterations in Blood Biomarkers Related to Brain Injury. Front. Physiol. 2018, 9, 1367. [Google Scholar] [CrossRef] [PubMed]
- Di Battista, A.P.; Churchill, N.; Rhind, S.G.; Richards, D.; Hutchison, M.G. The relationship between symptom burden and systemic inflammation differs between male and female athletes following concussion. BMC Immunol. 2020, 21, 11. [Google Scholar] [CrossRef] [PubMed]
- Asken, B.M.; Yang, Z.; Xu, H.; Weber, A.G.; Hayes, R.L.; Bauer, R.M.; DeKosky, S.T.; Jaffee, M.S.; Wang, K.K.; Clugston, J.R. Acute Effects of Sport-Related Concussion on Serum Glial Fibrillary Acidic Protein, Ubiquitin C-Terminal Hydrolase L1, Total Tau, and Neurofilament Light Measured by a Multiplex Assay. J. Neurotrauma 2020, 37, 1537–1545. [Google Scholar] [CrossRef]
- Rubenstein, R.; McQuillan, L.; Wang, K.K.; Robertson, C.S.; Chang, B.; Yang, Z.; Xu, H.; Williamson, J.B.; Wagner, A.K. Temporal Profiles of P-Tau, T-Tau, and P-Tau:Tau Ratios in Cerebrospinal Fluid and Blood from Moderate-Severe Traumatic Brain Injury Patients and Relationship to 6–12 Month Global Outcomes. J. Neurotrauma 2024, 41, 369–392. [Google Scholar] [CrossRef] [PubMed]
- Betancourt, M. (Co)variations On a Theme: Variate–Covariate Modeling. Available online: https://betanalpha.github.io/assets/case_studies/variate_covariate_modeling.html (accessed on 20 November 2025).
- Gabry, J.; Češnovar, R. R Interface to CmdStan, R Package Version 0.6.0; R Team: Vienna, Austria, 2023. [Google Scholar]
- R Team. Download RStudio, Version 2022.07.2+576; R Team: Vienna, Austria, 2022. [Google Scholar]
- Betancourt, M. mcmc_visualization_tools: Markov Chain Monte Carlo Visualization Tools. Available online: https://github.com/betanalpha/mcmc_visualization_tools (accessed on 20 November 2025).
- McElreath, R. Rethinking: Statistical Rethinking Book Package, Version 1.96; R Team: Vienna, Austria, 2020. [Google Scholar]
- Iannone, R.; Cheng, J.; Schloerke, B.; Hughes, E.; Lauer, A.; Seo, J.; Brevoort, K.; Roy, O. Gt: Easily Create Presentation-Ready Display Tables, Version 0.2.0; R Team: Vienna, Austria, 2020. [Google Scholar]
- Sjoberg, D.D.; Larmarange, J.; Curry, M.; Lavery, J.; Whiting, K.; Zabor, E.C.; Bai, X.; Drill, E.; Flynn, J.; Hannum, M. Gtsummary: Presentation-Ready Data Summary and Analytic Result Tables, Version 1.8.1; R Team: Vienna, Austria, 2024. [Google Scholar]
- Wickham, H. Dplyr: A Grammar of Data Manipulation, Version 04; R Team: Vienna, Austria, 2015. [Google Scholar]
- Wickham, H.; Vaughan, D.; Girlich, M.; Ushey, K. Tidyr: Tidy Messy Data, Version 2.3.0; R Team: Vienna, Austria, 2024. [Google Scholar]
- Wickham, H. Stringr: Simple, Consistent Wrappers for Common String Operations, Version 1.4.0; R Team: Vienna, Austria, 2019. [Google Scholar]
- Wickham, H. Data analysis. In Ggplot2: Elegant Graphics for Data Analysis; Springer: Cham, Switzerland, 2016; pp. 189–201. [Google Scholar]
- Wilke, C.O. Cowplot: Streamlined Plot Theme and Plot Annotations for ‘ggplot2’, Version 1.1.1; R Team: Vienna, Austria, 2025. [Google Scholar]
- Wickham, H. Forcats: Tools for Working with Categorical Variables (Factors), Version 1.1.1; R Team: Vienna, Austria, 2025. [Google Scholar]
- Xie, Y. TinyTeX: A lightweight, cross-platform, and easy-to-maintain LaTeX distribution based on TeX Live. TUGboat 2019, 40, 30–32. [Google Scholar]
- Ooms, J. Magick: Advanced Graphics and Image-Processing in R, Version 2.7.0; R Team: Vienna, Austria, 2025. [Google Scholar]
- Ooms, J. Pdftools: Text Extraction, Rendering and Converting of PDF Documents, Version 2.0; R Team: Vienna, Austria, 2020. [Google Scholar]






| Characteristic | Breacher (N = 18) | Control (N = 19) |
|---|---|---|
| Sex | ||
| Female | 2 (11%) | 2 (11%) |
| Male | 16 (89%) | 17 (89%) |
| Age | 32.0 (26.0, 37.0) | 32.0 (27.0, 36.0) |
| Status | ||
| Primary Reserve | 9 (50%) | 11 (58%) |
| Regular Force | 9 (50%) | 8 (42%) |
| Rank | ||
| Junior NCM | 5 (28%) | 13 (68%) |
| Senior | 11 (61%) | 0 (0%) |
| Subordinate Officer | 0 (0%) | 0 (0%) |
| Junior Officer | 2 (11%) | 6 (32%) |
| Senior Officer | 0 (0%) | 0 (0%) |
| General Officer | 0 (0%) | 0 (0%) |
| Years of Breaching | 6.5 (4.0, 10.0) | 0.0 (0.0, 0.0) |
| War Zone Deployment | 10 (63%) | 0 (0%) |
| N-Back Prime | ||
| 1-Back | 4.7 (4.0, 4.7) | 4.0 (3.4, 4.7) |
| 2-Back | 2.6 (2.2, 3.1) | 2.8 (2.1, 3.6) |
| 3-Back | 1.2 (0.8, 1.7) | 1.3 (1.2, 1.8) |
Disclaimer/Publisher’s Note: The statements, opinions and data contained in all publications are solely those of the individual author(s) and contributor(s) and not of MDPI and/or the editor(s). MDPI and/or the editor(s) disclaim responsibility for any injury to people or property resulting from any ideas, methods, instructions or products referred to in the content. |
© 2026 by the authors. Licensee MDPI, Basel, Switzerland. This article is an open access article distributed under the terms and conditions of the Creative Commons Attribution (CC BY) license.
Share and Cite
Di Battista, A.P.; Shiu, M.Y.; Vartanian, O.; Tenn, C.; Nakashima, A.; Vallikanthan, J.; Lam, T.; Rhind, S.G. Integrated Blood Biomarker and Neurobehavioural Signatures of Latent Neuroinjury in Experienced Military Breachers Exposed to Repetitive Low-Intensity Blast. Int. J. Mol. Sci. 2026, 27, 592. https://doi.org/10.3390/ijms27020592
Di Battista AP, Shiu MY, Vartanian O, Tenn C, Nakashima A, Vallikanthan J, Lam T, Rhind SG. Integrated Blood Biomarker and Neurobehavioural Signatures of Latent Neuroinjury in Experienced Military Breachers Exposed to Repetitive Low-Intensity Blast. International Journal of Molecular Sciences. 2026; 27(2):592. https://doi.org/10.3390/ijms27020592
Chicago/Turabian StyleDi Battista, Alex P., Maria Y. Shiu, Oshin Vartanian, Catherine Tenn, Ann Nakashima, Janani Vallikanthan, Timothy Lam, and Shawn G. Rhind. 2026. "Integrated Blood Biomarker and Neurobehavioural Signatures of Latent Neuroinjury in Experienced Military Breachers Exposed to Repetitive Low-Intensity Blast" International Journal of Molecular Sciences 27, no. 2: 592. https://doi.org/10.3390/ijms27020592
APA StyleDi Battista, A. P., Shiu, M. Y., Vartanian, O., Tenn, C., Nakashima, A., Vallikanthan, J., Lam, T., & Rhind, S. G. (2026). Integrated Blood Biomarker and Neurobehavioural Signatures of Latent Neuroinjury in Experienced Military Breachers Exposed to Repetitive Low-Intensity Blast. International Journal of Molecular Sciences, 27(2), 592. https://doi.org/10.3390/ijms27020592

