Sign in to use this feature.

Years

Between: -

Subjects

remove_circle_outline
remove_circle_outline
remove_circle_outline
remove_circle_outline
remove_circle_outline
remove_circle_outline
remove_circle_outline

Journals

Article Types

Countries / Regions

Search Results (8)

Search Parameters:
Keywords = coherent edge radiation

Order results
Result details
Results per page
Select all
Export citation of selected articles as:
29 pages, 17179 KB  
Article
Spatiotemporal Cavitation Dynamics and Acoustic Responses of a Hydrofoil
by Ding Tian, Xin Xia, Yu Lu, Jianping Yuan and Qiaorui Si
Water 2025, 17(18), 2776; https://doi.org/10.3390/w17182776 - 19 Sep 2025
Viewed by 339
Abstract
This study aims to investigate the spatiotemporal evolution of cavitating flow and the associated acoustic responses around a NACA0015 hydrofoil. A coupled fluid–acoustic interaction model is developed by integrating a nonlinear cavitation model with vortex–sound coupling theory. Numerical simulations are conducted within a [...] Read more.
This study aims to investigate the spatiotemporal evolution of cavitating flow and the associated acoustic responses around a NACA0015 hydrofoil. A coupled fluid–acoustic interaction model is developed by integrating a nonlinear cavitation model with vortex–sound coupling theory. Numerical simulations are conducted within a computational domain established for the hydrofoil to capture the interactions between cavitation dynamics and acoustic radiation. The results indicate that the temporal variations in cavity evolution and pressure fluctuations agree well with experimental observations. The simulations predict a dominant pressure fluctuation frequency of 30.15 Hz, consistent with the cavitation shedding frequency, revealing that the evolution of leading-edge vortex structures governs the periodic variations in the lift-to-drag ratio. Cavitation significantly modifies the development of vortex structures, with vortex stretching effects mainly concentrated near cavitation regions. The dilation–contraction term is closely associated with cavity formation, while the pressure–torque tilting term predominantly affects cloud cavitation collapse. Dynamic mode decomposition (DMD) shows that the coherent structures of the leading modes exhibit morphological similarity to multiscale cavitation and vortex structures. Furthermore, hydrofoil cavitation noise consists mainly of loading noise and cavitation-induced pulsating radiation noise, with surface acoustic sources concentrated in cloud cavitation shedding regions. The dominant frequency of cavitation-induced radiation noise is highly consistent with experimental measurements. Full article
Show Figures

Figure 1

12 pages, 2997 KB  
Article
Tensile Microstrain Fluctuations in the BaPbO Units in Superconducting BaPb1−xBixO3 by Scanning Dispersive Micro-XANES
by Ruben Albertini, Salvatore Macis, Andrei A. Ivanov, Alexey P. Menushenkov, Alessandro Puri, Virginia Monteseguro, Boby Joseph, Wei Xu, Augusto Marcelli, Paula Giraldo-Gallo, Ian Randal Fisher, Antonio Bianconi and Gaetano Campi
Condens. Matter 2023, 8(3), 57; https://doi.org/10.3390/condmat8030057 - 11 Jul 2023
Cited by 2 | Viewed by 2345
Abstract
BaPb1−xBixO3 (BPBO) bismuthate, showing high TC superconductivity for 0.05 < x < 0.35, is an archetypal system for studying the complex inhomogeneity of perovskite lattice favoring the emergence of quantum coherence, called the superstripes phase. Local lattice [...] Read more.
BaPb1−xBixO3 (BPBO) bismuthate, showing high TC superconductivity for 0.05 < x < 0.35, is an archetypal system for studying the complex inhomogeneity of perovskite lattice favoring the emergence of quantum coherence, called the superstripes phase. Local lattice fluctuations, detected by EXAFS; nanoscale stripes, detected by electron microscopy; and two competing crystalline structures, detected by diffraction, are known to characterize the superconducting phase. At nanoscale [BaBiO3] centered nanoscale units (BBO) coexist with BaPbO3 centered (BPO) units in the BPBO perovskite; therefore, we expect a tensile microstrain in BPO units due the misfit strain between the two different lattices. Here, we report the measurement of the spatial micro-fluctuations of the local tensile microstrain ε in the BaPO units in superconducting Ba(Pb1−xBix)O3 crystals with x1 = 0.19 an x2 = 0.28. We show here the feasibility of applying the scanning dispersive micro-X-ray absorption near edge structure (SdμXANES) technique, using focused synchrotron radiation, to probe the microscale spatial fluctuations of the microstrain in BPO units. This unconventional real-space SdμXANES microscopy at the Pb L3 edge has been collected in the dispersive mode. Our experimental method allows us to measure either the local Bi chemical concentration x and the local lattice microstrain of local BBO and BPO units. The 5 × 5 micron-size spots from the focused X-ray beam allowed us to obtain maps of 1600 points covering an area of 200 × 200 microns. The mapping shows a substantial difference between the spatial fluctuations of the microstrain ε and the chemical inhomogeneity x. Moreover, we show the different relations ε(x) in samples with lower (x1 = 0.19) and higher (x2 = 0.28) doping respect to the optimum doping (x = 0.25). Full article
(This article belongs to the Section Superconductivity)
Show Figures

Figure 1

17 pages, 5515 KB  
Article
Automatic Segmentation of Laser-Induced Injury OCT Images Based on a Deep Neural Network Model
by Tianxin Gao, Shuai Liu, Enze Gao, Ancong Wang, Xiaoying Tang and Yingwei Fan
Int. J. Mol. Sci. 2022, 23(19), 11079; https://doi.org/10.3390/ijms231911079 - 21 Sep 2022
Cited by 10 | Viewed by 2586
Abstract
Optical coherence tomography (OCT) has considerable application potential in noninvasive diagnosis and disease monitoring. Skin diseases, such as basal cell carcinoma (BCC), are destructive; hence, quantitative segmentation of the skin is very important for early diagnosis and treatment. Deep neural networks have been [...] Read more.
Optical coherence tomography (OCT) has considerable application potential in noninvasive diagnosis and disease monitoring. Skin diseases, such as basal cell carcinoma (BCC), are destructive; hence, quantitative segmentation of the skin is very important for early diagnosis and treatment. Deep neural networks have been widely used in the boundary recognition and segmentation of diseased areas in medical images. Research on OCT skin segmentation and laser-induced skin damage segmentation based on deep neural networks is still in its infancy. Here, a segmentation and quantitative analysis pipeline of laser skin injury and skin stratification based on a deep neural network model is proposed. Based on the stratification of mouse skins, a laser injury model of mouse skins induced by lasers was constructed, and the multilayer structure and injury areas were accurately segmented by using a deep neural network method. First, the intact area of mouse skin and the damaged areas of different laser radiation doses are collected by the OCT system, and then the labels are manually labeled by experienced histologists. A variety of deep neural network models are used to realize the segmentation of skin layers and damaged areas on the skin dataset. In particular, the U-Net model based on a dual attention mechanism is used to realize the segmentation of the laser-damage structure, and the results are compared and analyzed. The segmentation results showed that the Dice coefficient of the mouse dermis layer and injury area reached more than 0.90, and the Dice coefficient of the fat layer and muscle layer reached more than 0.80. In the evaluation results, the average surface distance (ASSD) and Hausdorff distance (HD) indicated that the segmentation results are excellent, with a high overlap rate with the manually labeled area and a short edge distance. The results of this study have important application value for the quantitative analysis of laser-induced skin injury and the exploration of laser biological effects and have potential application value for the early noninvasive detection of diseases and the monitoring of postoperative recovery in the future. Full article
Show Figures

Figure 1

8 pages, 2588 KB  
Article
Investigating Coherent Magnetization Control with Ultrashort THz Pulses
by Xuan Liu, Emmanuelle Jal, Renaud Delaunay, Romain Jarrier, Gheorghe Sorin Chiuzbaian, Grégory Malinowski, Torsten Golz, Ekaterina Zapolnova, Rui Pan, Nikola Stojanovic, Jan Lüning and Boris Vodungbo
Appl. Sci. 2022, 12(3), 1323; https://doi.org/10.3390/app12031323 - 26 Jan 2022
Cited by 7 | Viewed by 3192
Abstract
Coherent terahertz control of magnetization dynamics is an area of current interest due to its great potential for the realization of magnetization control on ultrafast timescales in commercial devices. Here we report on an experiment realized at the THz beamline of the free [...] Read more.
Coherent terahertz control of magnetization dynamics is an area of current interest due to its great potential for the realization of magnetization control on ultrafast timescales in commercial devices. Here we report on an experiment realized at the THz beamline of the free electron laser FLASH at DESY which offers a tunable terahertz radiation source and spontaneously synchronized free-electron laser X-ray pulses to resonantly probe the magnetization state of a ferromagnetic film. In this proof-of-principle experiment, we have excited a thin Permalloy film at different THz wavelengths and recorded the induced magnetization dynamics with photons resonantly tuned to the Ni M2,3 absorption edge. For THz pump pulses including higher orders of the undulator source we observed demagnetization dynamics, which precise shape depended on the employed fundamental wavelength of the undulator source. Analyzing the shape in detail, we can reconstruct the temporal profile of the electric field of the THz pump pulse. This offers a new method for the realization of an in-situ terahertz beamline diagnostic which will help researchers to adjust the pulse characteristics as needed, for example, for future studies of THz induced coherent control of magnetization dynamics. Full article
(This article belongs to the Special Issue Latest Trends in Free Electron Lasers)
Show Figures

Figure 1

16 pages, 6559 KB  
Article
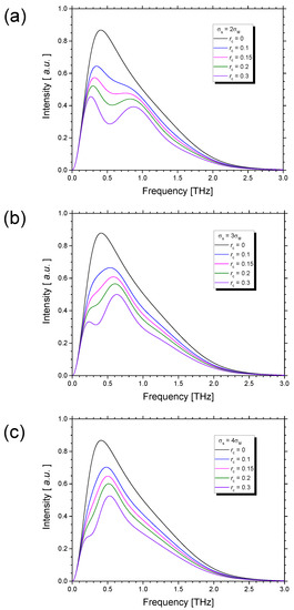
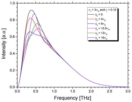
Peak Shift of Coherent Edge Radiation Spectrum Depending on Radio Frequency Field Phase of Accelerator
by Norihiro Sei, Heishun Zen and Hideaki Ohgaki
Appl. Sci. 2022, 12(2), 626; https://doi.org/10.3390/app12020626 - 10 Jan 2022
Cited by 2 | Viewed by 3176
Abstract
Spectra of coherent edge radiation (CER) were observed at the S-band linac facility of Kyoto University Free Electron Laser. A local maximum was observed in the CER spectrum on-crest operation of the radio frequency (RF) field. As the phase of the RF field [...] Read more.
Spectra of coherent edge radiation (CER) were observed at the S-band linac facility of Kyoto University Free Electron Laser. A local maximum was observed in the CER spectrum on-crest operation of the radio frequency (RF) field. As the phase of the RF field was shifted from the crest, the frequency of the maximum decreased, and the CER spectrum approached a spectrum of Gaussian-distributed electrons in a bunch. It was found that this strange spectrum can be explained by a model in which a satellite pulse exists around a main pulse in the electron bunch. Furthermore, it demonstrated that CER is an effective tool for monitoring the shape of the electron bunch. Full article
(This article belongs to the Section Optics and Lasers)
Show Figures

Figure 1

18 pages, 736 KB  
Article
Flexible and Coherent Soft X-ray Pulses at High Repetition Rate: Current Research and Perspectives
by Lucas Schaper, Sven Ackermann, Enrico Allaria, Philipp Amstutz, Karolin Baev, Martin Beye, Christopher Gerth, Ingmar Hartl, Wolfgang Hillert, Katja Honkavaara, Mehdi Mohammad Kazemi, Tino Lang, Pardis Niknejadi, Fabian Pannek, Juliane Rönsch-Schulenburg, Dmitrii Samoilenko, Evgeny Schneidmiller, Siegfried Schreiber, Markus Tischer, Mathias Vogt, Mikhail Yurkov and Johann Zemellaadd Show full author list remove Hide full author list
Appl. Sci. 2021, 11(20), 9729; https://doi.org/10.3390/app11209729 - 18 Oct 2021
Cited by 12 | Viewed by 3474
Abstract
The successful realization of high gain free-electron lasers has opened new possibilities to X-ray scientists for investigating matter in different states. The availability of unprecedented photon properties stimulated the development of new experimental techniques capable of taking full advantage of these options and [...] Read more.
The successful realization of high gain free-electron lasers has opened new possibilities to X-ray scientists for investigating matter in different states. The availability of unprecedented photon properties stimulated the development of new experimental techniques capable of taking full advantage of these options and has started a virtuous collaboration between machine experts and photon users to improve further and optimize the generated X-ray pulses. Over the recent years, this has led to the development of several advanced free-electron laser (FEL) schemes to tailor the photon properties to specific experimental demands. Presently, tunable wavelength X-ray pulses with extremely high brilliance and short pulse characteristics are a few of the many options available at FELs. Few facilities can offer options such as narrowband or extremely short pulses below one fs duration and simultaneous pulses of multiple colors enabling resonant X-ray pump—X-ray probe experiments with sub fs resolution. Fully coherent X-ray radiation (both spatial and temporal) can also be provided. This new option has stimulated the application of coherent control techniques to the X-ray world, allowing for experiments with few attoseconds resolution. FELs often operate at a relatively low repetition rate, typically on the order of tens of Hz. At FLASH and the European XFEL, however, the superconducting accelerators allow generating thousands of pulses per second. With the implementation of a new seeded FEL line and with an upgrade at FLASH linac, all the new features will become available in the soft X-ray spectral range down to the oxygen K edge with unprecedented average photon flux due to the high repetition rate of pulses. Full article
(This article belongs to the Special Issue Latest Trends in Free Electron Lasers)
Show Figures

Figure 1

16 pages, 9123 KB  
Article
The Application of a Linear Microphone Array in the Quantitative Evaluation of the Blade Trailing-Edge Noise Reduction
by Weijie Chen, Luqin Mao, Kangshen Xiang, Fan Tong and Weiyang Qiao
Appl. Sci. 2021, 11(2), 572; https://doi.org/10.3390/app11020572 - 8 Jan 2021
Cited by 3 | Viewed by 2707
Abstract
This paper concerns the application of a linear microphone array in the quantitative evaluation of blade trailing-edge (TE) noise reduction. The noise radiation from the blades with straight and serrated TEs is measured in an indoor open-jet wind tunnel. The array data are [...] Read more.
This paper concerns the application of a linear microphone array in the quantitative evaluation of blade trailing-edge (TE) noise reduction. The noise radiation from the blades with straight and serrated TEs is measured in an indoor open-jet wind tunnel. The array data are processed using the inverse method based on the Clean algorithm based on spatial source coherence (Clean-SC). In order to obtain correct application and achieve the best effect for the microphone array test, the computing software for array data reduction is firstly developed and assessed by Sarradj’s benchmark case. The assessment results show that the present array data processing method has a good accuracy with an error less than 0.5 dB in a wide frequency range. Then, a linear array with 32 microphones is designed to identify the noise source of a NACA65(12)-10 blade. The performance of the Clean-SC algorithm is compared with the Clean algorithm based on point spread functions (Clean-PSF) method for experimentally identifying the noise sources of the blade. The results show that there is about a 2 dB error when using the Clean-PSF algorithm due to the interference of different aerodynamic noise sources. Experimental studies are conducted to study the blade TE noise reduction using serrated TEs. The TE noise for the blade with and without sawtooth configurations is measured with the flow speeds from 20 m/s to 70 m/s, and the corresponding Reynolds numbers based on the chord are from 200,000 to 700,000. Parametric studies of the sawtooth amplitude and wavelength are conducted to understand the noise reduction law. It is observed that the TE noise reduction is sensitive to both the amplitude and wavelength. The flow speed also affects the noise reduction in the serrated TEs. To obtain the best noise suppression effect, the sawtooth configuration should be carefully designed according to the actual working conditions and airflow parameters. Full article
(This article belongs to the Special Issue Recent Advances in Flow-Induced Noise)
Show Figures

Figure 1

18 pages, 15384 KB  
Article
Speckle Reduction by Directional Coherent Anisotropic Diffusion
by Guo Zhang, Fengcheng Guo, Qingjun Zhang, Kai Xu, Peng Jia and Xiaoyun Hao
Remote Sens. 2019, 11(23), 2768; https://doi.org/10.3390/rs11232768 - 24 Nov 2019
Cited by 10 | Viewed by 4509
Abstract
To effectively balance speckle smoothing and preservation of edges and radiation, a novel anisotropic diffusion filter was developed that uses a directional coherent coefficient. The proposed filter effectively improves the edge detection operator of a traditional anisotropic diffusion filter. The new edge detection [...] Read more.
To effectively balance speckle smoothing and preservation of edges and radiation, a novel anisotropic diffusion filter was developed that uses a directional coherent coefficient. The proposed filter effectively improves the edge detection operator of a traditional anisotropic diffusion filter. The new edge detection operator calculates 16 direction coherence coefficients to avoid the interference of the edge direction. For the diffusion function, the proposed method directly uses the detected directional coherent edge as the diffusion coefficient, which simplifies the calculation of the diffusion function and avoids the adverse effects of inaccurate estimation of the diffusion function threshold for a traditional anisotropic diffusion filter. The influence of the number of iterations and time steps on the proposed filter was analyzed. A series of experiments was conducted with a simulated image and three real synthetic-aperture radar images from different sensors. The results confirmed that the proposed method not only significantly reduces speckle but also effectively preserves the edge and radiation information of images. Full article
(This article belongs to the Section Remote Sensing Image Processing)
Show Figures

Graphical abstract

Back to TopTop