Speckle Reduction by Directional Coherent Anisotropic Diffusion
Abstract
1. Introduction
2. Materials and Methods
2.1. Speckle Model
2.2. Anisotropic Diffusion Filtering
2.3. Directional Coherent Edge Detection
2.4. Method and Processes
- Construct a new PDE with the directional coherent edge detection operator:
- Calculate DF with Equation (17) and Equation (18).
- Calculate div(DF·▽I) with Equation (13).
- Calculate the final filtering result with Equation (12).
3. Results
3.1. Data Acquisition
3.2. Method Selection
3.3. Evaluation Methods
- The equivalent number of looks (ENL) indicates the speckle smoothing ability in homogeneous areas. For the actual evaluation, five homogeneous regions were randomly selected, and their average ENLs were used as the final ENL value. A higher ENL value indicates better smoothing.
- The structural similarity (SSIM) [36] measures the edge preservation by the filter. The ideal value is 1, which corresponds to a high level of edge preservation.
- The root mean square error (RMSE) was used to measure the radiation retention between the despeckled and noisy images. The ideal value of RMSE is 0, which corresponds to the expected radiation retention.
- The M-index [37] can synthetically measure both speckle smoothing and edge preservation. The ideal value of the M-index is 0, which indicates that the filtering algorithm is performing well.
3.4. Experiment on Simulation Data
3.5. Experiment on Actual SAR Data
3.5.1. Experiment on the GF-3 SAR Image
3.5.2. Experiment on the TerraSAR-X SAR Image
3.5.3. Experiment on the Radarsat-2 SAR Image
4. Discussion
4.1. Influence of Number of Iterations on the DCAD Filter
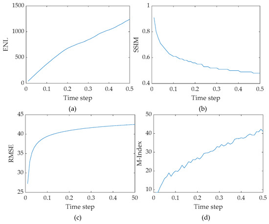
4.2. Influence of the Time Step on the DCAD Filter
5. Conclusions
Author Contributions
Funding
Acknowledgments
Conflicts of Interest
References
- Oliver, C.; Quegan, S. Understanding Synthetic Aperture Radar Images; Artech House: Boston, MA, USA, 1998. [Google Scholar]
- Argenti, F.; Lapini, A.; Bianchi, T.; Alparone, L. A Tutorial on Speckle Reduction in Synthetic Aperture Radar Images. IEEE Geosci. Remote Sens. Mag. 2013, 1, 6–35. [Google Scholar] [CrossRef]
- Tounsi, Y.; Kumar, M.; Nassim, A.; Mendoza-Santoyo, F.; Matoba, O. Speckle denosing by variant nonlocal means methods. Appl. Optics 2019, 58, 7110–7210. [Google Scholar] [CrossRef] [PubMed]
- Tounsi, Y.; Kumar, M.; Nassim, A.; Mendoza-Santoyo, F. Speckle noise reduction in digital speckle pattern interferometric fringes by nonlocal means and its related adaptive kernel-based methods. Appl. Opt. 2018, 57, 7681–7690. [Google Scholar] [CrossRef] [PubMed]
- Zada, S.; Tounsi, Y.; Kumar, M.; Mendoza-Santoyo, F.; Nassim, A. Contribution study of monogenic wavelets transform to reduce speckle noise in digital speckle pattern interferometry. Opt. Eng. 2019, 58, 034109. [Google Scholar] [CrossRef]
- Buades, A.; Coll, B.; Morel, J.-M. A Non-Local Algorithm for Image Denoising. In Proceedings of the 2005 IEEE Computer Society Conference on Computer Vision and Pattern Recognition (CVPR 05), San Diego, CA, USA, 20–25 June 2005; Volume 2, pp. 60–65. [Google Scholar]
- Ery, A.C.; Salmon, J.; Willett, R. Oracle inequalities and minimax rates for nonlocal means and related adaptive kernel-based methods. SIAM J. Imaging Sci. 2013, 5, 944–992. [Google Scholar]
- Coupé, P.; Hellier, P.; Kervrann, C.; Barillot, C. Nonlocal means-based speckle filtering for ultrasound images. IEEE Trans. Image Process. 2009, 18, 2221–2229. [Google Scholar] [CrossRef]
- Lee, J.-S. Digital Image Enhancement and Noise Filtering by Use of Local Statistics. IEEE Trans. Pattern Anal. Mach. Intell. 1980, 165–168. [Google Scholar] [CrossRef]
- Lee, J.-S. Refined filtering of image noise using local statistics. Comput. Graph. Image Process. 1981, 15, 380–389. [Google Scholar] [CrossRef]
- Lee, J.-S. Digital image smoothing and the sigma filter. Comput. Vision, Graph. Image Process. 1983, 24, 255–269. [Google Scholar] [CrossRef]
- Lee, J.S.; Wen, J.H.; Ainsworth, T.L.; Chen, K.S.; Chen, A.J. Improved sigma filter for speckle filtering of SAR imagery. IEEE Trans. Geosci. Remote Sens. 2009, 47, 202–213. [Google Scholar]
- Frost, V.S.; Stiles, J.A.; Shanmugan, K.S.; Holtzman, J.C. A Model for Radar Images and Its Application to Adaptive Digital Filtering of Multiplicative Noise. IEEE Trans. Pattern Anal. Mach. Intell. 1982, 157–166. [Google Scholar] [CrossRef] [PubMed]
- Touzi, R. A review of speckle filtering in the context of estimation theory. IEEE Trans. Geosci. Remote Sens. 2002, 40, 2392–2404. [Google Scholar] [CrossRef]
- Kuan, D.T.; Sawchuk, A.A.; Strand, T.C.; Chavel, P. Adaptive Noise Smoothing Filter for Images with Signal-Dependent Noise. IEEE Trans. Pattern Anal. Mach. Intell. 1985, 165–177. [Google Scholar] [CrossRef] [PubMed]
- Lopes, A.; Touzi, R.; Nezry, E. Adaptive speckle filters and scene heterogeneity. IEEE Trans. Geosci. Remote Sens. 1990, 28, 992–1000. [Google Scholar] [CrossRef]
- Xie, H.; Pierce, L.; Ulaby, F. SAR speckle reduction using wavelet denoising and Markov random field modeling. IEEE Trans. Geosci. Remote Sens. 2002, 40, 2196–2212. [Google Scholar] [CrossRef]
- Achim, A.; Tsakalides, P.; Bezerianos, A. SAR image denoising via Bayesian wavelet shrinkage based on heavy-tailed modeling. IEEE Trans. Geosci. Remote Sens. 2003, 41, 1773–1784. [Google Scholar] [CrossRef]
- Ranjani, J.J.; Thiruvengadam, S.J. Dual-Tree Complex Wavelet Transform Based SAR Despeckling Using Interscale Dependence. IEEE Trans. Geosci. Remote Sens. 2010, 48, 2723–2731. [Google Scholar] [CrossRef]
- Liu, S.; Shi, M.; Hu, S.; Xiao, Y. Synthetic aperture radar image de-noising based on Shearlet transform using the context-based model. Phys. Commun. 2014, 13, 221–229. [Google Scholar] [CrossRef]
- Guo, F.; Zhang, G.; Zhang, Q.; Zhao, R.; Deng, M.; Xu, K. Speckle Suppression by Weighted Euclidean Distance Anisotropic Diffusion. Remote Sens. 2018, 10, 722. [Google Scholar] [CrossRef]
- Zhu, L. Study on Speckle Reduction Methods for Synthetic Aperture Radar Images; Xidian University: Xi’an, China, 2013. [Google Scholar]
- Li, J.C. The Research on Speckle Reduction for Synthetic Aperture Radar Images; National University of Defense Technology: Changsha, China, 2014. [Google Scholar]
- Perona, P.; Malik, J. Scale-space and edge detection using anisotropic diffusion. IEEE Trans. Pattern Anal. Mach. Intell. 1990, 12, 629–639. [Google Scholar] [CrossRef]
- Yu, Y.; Acton, S. Speckle reducing anisotropic diffusion. IEEE Trans. Image Process. 2002, 11, 1260–1270. [Google Scholar] [PubMed]
- Aja-Fernández, S.; Alberola-López, C. On the estimation of the coefficient of variation for anisotropic diffusion speckle filtering. IEEE Trans. Image Process. 2006, 15, 2694–2701. [Google Scholar] [CrossRef] [PubMed]
- Liu, G.; Zeng, X.; Tian, F.; Li, Z.; Chaibou, K. Speckle reduction by adaptive window anisotropic diffusion. Signal Process. 2009, 89, 2233–2243. [Google Scholar] [CrossRef]
- Mishra, D.; Chaudhury, S.; Sarkar, M.; Soin, A.S.; Sharma, V. Edge Probability and Pixel Relativity-Based Speckle Reducing Anisotropic Diffusion. IEEE Trans. Image Process. 2018, 27, 649–664. [Google Scholar] [CrossRef]
- Li, J.C.; Ma, Z.H.; Peng, Y.X.; Huang, H. Speckle reduction by image entropy anisotropic diffusion. Acta Phys. Sin. 2013, 62, 099501. [Google Scholar]
- Frery, A.C.; Yanasse, C.d.C.F.; Santa’Anna, S.J.S. Statistical Characterization of SAR Data: The Multiplicative Model and Extensions; Simposio Latinoamericano de Especialistas en Percepcion Remota: Puerto Vallarta, Mexico, 1995. [Google Scholar]
- Touzi, R.; Lopes, A.; Bruniquel, J. Coherence estimation of SAR imagery. IEEE Trans. Geosci. Remote Sens. 1999, 37, 135–149. [Google Scholar] [CrossRef]
- Zhang, H.; Wang, C.; Wu, T.; Tang, Y.X. Research on DInSAR Method Based on Coherent Target; Science Press: Beijing, China, 2009. [Google Scholar]
- Ferraioli, G.; Pascazio, V.; Schirinzi, G. Ratio-Based Nonlocal Anisotropic Despeckling Approach for SAR Images. IEEE Trans. Geosci. Remote Sens. 2019, 57, 7785–7798. [Google Scholar] [CrossRef]
- Cozzolino, D.; Parrilli, S.; Scarpa, G.; Poggi, G.; Verdoliva, L. Fast adaptive nonlocal SAR despeckling. IEEE Geosci. Remote Sens. Lett. 2014, 11, 524–528. [Google Scholar] [CrossRef]
- Dabov, K.; Foi, A.; Katkovnik, V.; Egiazarian, K. Image denoising by sparse 3-D transform-domain collaborative filtering. IEEE Trans. Image Process. 2007, 16, 2080–2095. [Google Scholar] [CrossRef]
- Wang, Z.; Bovik, A.; Sheikh, H.; Simoncelli, E. Image Quality Assessment: From Error Visibility to Structural Similarity. IEEE Trans. Image Process. 2004, 13, 600–612. [Google Scholar] [CrossRef]
- Gomez, L.; Ospina, R.; Frery, A.C. Unassisted Quantitative Evaluation of Despeckling Filters. Remote Sens. 2017, 9, 389. [Google Scholar] [CrossRef]

















| IDEAL | None | SRAD | I-Lee | FANS | DCAD | |
|---|---|---|---|---|---|---|
| ENL | Large | 4 | 2487 | 269 | 1358 | 310 |
| SSIM | 1 | — | 0.53 | 0.56 | 0.58 | 0.58 |
| RMSE | 0 | — | 57.15 | 56.74 | 61.16 | 56.06 |
| M-Index | 0 | — | 78.44 | 63.05 | 42.76 | 46.32 |
| IDEAL | None | SRAD | I-Lee | FANS | DCAD | |
|---|---|---|---|---|---|---|
| ENL | Large | 3 | 999 | 91 | 158 | 195 |
| SSIM | 1 | — | 0.55 | 0.63 | 0.65 | 0.69 |
| RMSE | 0 | — | 49.2 | 43.2 | 36.35 | 37.39 |
| M-Index | 0 | — | 23.38 | 16.79 | 29.42 | 15.99 |
| IDEAL | None | SRAD | I-Lee | FANS | DCAD | |
|---|---|---|---|---|---|---|
| ENL | Large | 4 | 1252 | 89 | 98 | 93 |
| SSIM | 1 | — | 0.44 | 0.55 | 0.59 | 0.55 |
| RMSE | 0 | — | 45.01 | 42.51 | 39.61 | 41.73 |
| M-Index | 0 | — | 10.61 | 10.45 | 11.40 | 6.73 |
| IDEAL | None | SRAD | I-Lee | FANS | DCAD | |
|---|---|---|---|---|---|---|
| ENL | Large | 3 | 747 | 112 | 156 | 119 |
| SSIM | 1 | — | 0.47 | 0.66 | 0.68 | 0.67 |
| RMSE | 0 | — | 54.35 | 50.66 | 47.58 | 46.88 |
| M-Index | 0 | — | 15.27 | 7.63 | 13.10 | 9.82 |
© 2019 by the authors. Licensee MDPI, Basel, Switzerland. This article is an open access article distributed under the terms and conditions of the Creative Commons Attribution (CC BY) license (http://creativecommons.org/licenses/by/4.0/).
Share and Cite
Zhang, G.; Guo, F.; Zhang, Q.; Xu, K.; Jia, P.; Hao, X. Speckle Reduction by Directional Coherent Anisotropic Diffusion. Remote Sens. 2019, 11, 2768. https://doi.org/10.3390/rs11232768
Zhang G, Guo F, Zhang Q, Xu K, Jia P, Hao X. Speckle Reduction by Directional Coherent Anisotropic Diffusion. Remote Sensing. 2019; 11(23):2768. https://doi.org/10.3390/rs11232768
Chicago/Turabian StyleZhang, Guo, Fengcheng Guo, Qingjun Zhang, Kai Xu, Peng Jia, and Xiaoyun Hao. 2019. "Speckle Reduction by Directional Coherent Anisotropic Diffusion" Remote Sensing 11, no. 23: 2768. https://doi.org/10.3390/rs11232768
APA StyleZhang, G., Guo, F., Zhang, Q., Xu, K., Jia, P., & Hao, X. (2019). Speckle Reduction by Directional Coherent Anisotropic Diffusion. Remote Sensing, 11(23), 2768. https://doi.org/10.3390/rs11232768

