Sign in to use this feature.

Years

Between: -

Subjects

remove_circle_outline
remove_circle_outline
remove_circle_outline
remove_circle_outline
remove_circle_outline
remove_circle_outline
remove_circle_outline
remove_circle_outline
remove_circle_outline

Journals

remove_circle_outline
remove_circle_outline
remove_circle_outline
remove_circle_outline
remove_circle_outline
remove_circle_outline

Article Types

Countries / Regions

remove_circle_outline
remove_circle_outline
remove_circle_outline

Search Results (390)

Search Parameters:
Keywords = cognitive demand of tasks

Order results
Result details
Results per page
Select all
Export citation of selected articles as:
26 pages, 2365 KB  
Article
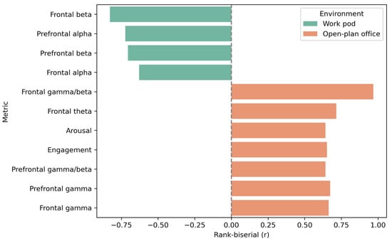
Temporal Trajectories in EEG-Based Mental Workload: Effects of Workspace Type
by María Pérez-Martínez, Robi Barranco-Merino, Juan Luis Higuera-Trujillo and Carmen Llinares
Buildings 2026, 16(1), 176; https://doi.org/10.3390/buildings16010176 - 30 Dec 2025
Abstract
Open-plan offices are a common format in contemporary work environments, but their exposed nature may increase cognitive demands. Work pods and other enclosed microspaces have been proposed as an alternative. However, scientific evidence demonstrating that these isolated spaces effectively reduce cognitive load remains [...] Read more.
Open-plan offices are a common format in contemporary work environments, but their exposed nature may increase cognitive demands. Work pods and other enclosed microspaces have been proposed as an alternative. However, scientific evidence demonstrating that these isolated spaces effectively reduce cognitive load remains scarce. This study examines how workspace type influences mental workload by analyzing how cognitive load evolves across two spatial configurations (open-plan office and work pod) during typical office tasks. Twenty-six participants completed auditory, reading, and writing tasks while their brain activity was recorded using EEG. The results show that each spatial typology generates distinct patterns of cortical activation: in the open-plan office, neural activity progressively increased throughout the tasks, indicating a growing effort to maintain performance, whereas in the work pod activation levels decreased, suggesting reduced cortical effort required to sustain task. These findings provide neurophysiological evidence that spatial design directly influences the mental workload associated with office work. Full article
Show Figures

Figure 1

29 pages, 10739 KB  
Article
A Chimpanzee Troop-Inspired Algorithm for Multiple Unmanned Aerial Vehicles on Patrolling Missions
by Ebtesam Aloboud and Heba Kurdi
Drones 2026, 10(1), 10; https://doi.org/10.3390/drones10010010 - 25 Dec 2025
Viewed by 290
Abstract
Persistent patrolling with multiple Unmanned Aerial Vehicles (UAVs) remains challenging due to dynamic surveillance priorities, heterogeneous node importance, and evolving operational constraints. We present the novel Chimpanzee Troop Algorithm for Patrolling (CTAP), a decentralized policy inspired by chimpanzees fission–fusion dynamics and territorial behavior. [...] Read more.
Persistent patrolling with multiple Unmanned Aerial Vehicles (UAVs) remains challenging due to dynamic surveillance priorities, heterogeneous node importance, and evolving operational constraints. We present the novel Chimpanzee Troop Algorithm for Patrolling (CTAP), a decentralized policy inspired by chimpanzees fission–fusion dynamics and territorial behavior. CTAP provides three capabilities: (i) on-the-fly patrol-group instantiation, (ii) importance-aware territorial partitioning of the patrol graph, and (iii) adaptive boundary expansion via a lightweight shared-memory overlay that coordinates neighboring groups without centralization. Unlike the Ant Colony Optimization (ACO), Heuristic Pathfinder Conscientious Cognitive (HPCC), Recurrent LSTM Path-Maker (RLPM), State-Exchange Bayesian Strategy (SEBS), and Dynamic Task Assignment via Auctions (DTAP) baselines, CTAP couples local-idleness reduction with controlled edge-exploration, yielding stable coverage under shifting demand. We evaluate these approaches across multiple maps and fleet sizes using the average weighted idleness, global worst-weighted idleness, and Time-Normalized Idleness metrics. CTAP reduces the average weighted idleness by 7% to 22% and the global worst-weighted idleness by 30–65% relative to the strongest competitor and attains the lowest Time-Normalized Idleness in every configuration. These results show that a simple, communication-limited, partition-based policy enables robust, scalable patrolling suitable for resource-constrained UAV teams in smart-city environments. Full article
Show Figures

Figure 1

24 pages, 2587 KB  
Article
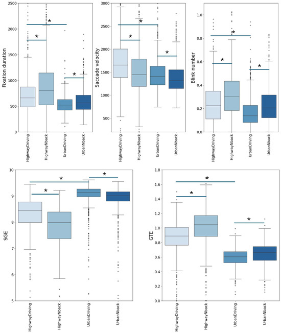
Discriminative Capabilities of Eye Gaze Measures for Cognitive Load Evaluation in a Driving Simulation Task
by Anastasiia Bakhchina, Karina Arutyunova, Evgenii Burashnikov, Anastasiya Filatova, Andrei Filimonov and Ivan Shishalov
J. Eye Mov. Res. 2026, 19(1), 1; https://doi.org/10.3390/jemr19010001 - 24 Dec 2025
Viewed by 107
Abstract
Driving is a cognitively demanding task engaging attentional effort and working memory resources, which increases cognitive load. The aim of this study was to evaluate the discriminative capabilities of an objective eye tracking method in comparison to a subjective self-report scale (the NASA–Task [...] Read more.
Driving is a cognitively demanding task engaging attentional effort and working memory resources, which increases cognitive load. The aim of this study was to evaluate the discriminative capabilities of an objective eye tracking method in comparison to a subjective self-report scale (the NASA–Task Load Index) in distinguishing cognitive load levels during driving. Participants (N = 685) performed highway and urban driving in a fixed-base driving simulator. The N-Back test was used as a secondary task to increase cognitive load. In line with previous studies, the NASA–Task Load Index was shown to be an accurate self-report tool in distinguishing conditions with higher and lower levels of cognitive load due to the additional N-Back task, with best average accuracy of 0.81 within the highway driving scenario. Eye gaze metrics worked best when differentiating between stages of highway and urban driving, with an average accuracy of 0.82. Eye gaze entropy measures were the best indicators for cognitive load dynamics, with average accuracy reaching 0.95 for gaze transition entropy in the urban vs. highway comparison. Eye gaze metrics showed significant correlations with the NASA–Task Load Index results in urban driving stages, but not in highway driving. The results demonstrate that eye gaze metrics can be used in combination with self-reports for developing algorithms of cognitive load evaluation and reliable driver state prediction in different road conditions. Full article
Show Figures

Figure 1

21 pages, 6612 KB  
Article
Functional Connectivity of Auditory, Motor, and Reward Networks at Rest and During Music Listening
by Kai Yi (Kaye) Han, Jinyu Wang, Benjamin M. Kubit, Corinna Parrish and Psyche Loui
Brain Sci. 2026, 16(1), 15; https://doi.org/10.3390/brainsci16010015 - 22 Dec 2025
Viewed by 181
Abstract
Background/Objectives: Music engages multiple brain networks simultaneously, yet most studies examine these networks in isolation. Methods: We investigated functional connectivity among the auditory, motor, and reward networks during music listening in different contexts using fMRI data from two samples (N = 39 [...] Read more.
Background/Objectives: Music engages multiple brain networks simultaneously, yet most studies examine these networks in isolation. Methods: We investigated functional connectivity among the auditory, motor, and reward networks during music listening in different contexts using fMRI data from two samples (N = 39 each): focused music listening and background music during cognitive tasks. ROI-to-ROI, seed-based, and graph theory analyses examined connectivity patterns among 46 regions spanning the three networks. Results: Both contexts showed enhanced within-auditory network connectivity compared to rest, suggesting that this is fundamental to music processing. However, between-network patterns diverged markedly. Background music listening during cognitive tasks preserved reward-motor coupling while reducing auditory-motor and auditory-reward connectivity. Focused music listening produced widespread negative correlations between motor regions and both the auditory and reward networks, potentially reflecting motor suppression in the scanner environment. Graph theory measures revealed context-specific hub reorganization: reward regions (nucleus accumbens, caudate) showed increased centrality during background music listening, while the amygdala and frontal orbital cortex were selectively enhanced during focused listening. Conclusions: These findings demonstrate that music engagement involves context-dependent network reorganization beyond simple attention effects. The same musical stimulus engages different neural mechanisms depending on concurrent cognitive demands, motor requirements, and listening goals. Enhanced within-auditory connectivity appears consistent across contexts, but between-network interactions are shaped by the broader cognitive-behavioral context. These results highlight the importance of considering ecological context when studying music processing and designing music-based interventions, as network connectivity patterns during music listening reflect complex interactions between task demands, attentional resources, and musical engagement rather than music processing alone. Full article
Show Figures

Figure 1

12 pages, 1144 KB  
Article
Baseline Resting-State Network Integration Modulates Task Performance and Aftereffect
by Rok Požar, Tim Martin, Mary Katherine Kerlin, Aidan McColligan, Bruno Giordani and Voyko Kavcic
Sensors 2026, 26(1), 41; https://doi.org/10.3390/s26010041 - 20 Dec 2025
Viewed by 282
Abstract
Understanding how intrinsic brain networks adapt to cognitive demands is central to neuroscience. The aim of this study was to examine how eyes-open and eyes-closed resting-state network integration, derived from electroencephalography before and after a visual oddball task, relates to task performance in [...] Read more.
Understanding how intrinsic brain networks adapt to cognitive demands is central to neuroscience. The aim of this study was to examine how eyes-open and eyes-closed resting-state network integration, derived from electroencephalography before and after a visual oddball task, relates to task performance in young adults. Task engagement reduced global integration in theta, lower alpha, and beta bands, independent of eye condition, indicating a transient shift toward a less demanding post-task configuration. Eyes-open resting states consistently exhibited higher integration than eyes-closed in the upper alpha band, both before and after the task, reflecting enhanced inter-regional communication and sensory readiness. Importantly, higher pre-task beta-band integration during eyes-open resting state predicted faster reaction times and larger post-task decreases in integration, highlighting baseline network organization as a determinant of cognitive efficiency and neural flexibility. These findings support the concept of neural reserve, where intrinsic network efficiency and adaptability underpin both performance readiness and dynamic reorganization. Overall, the results demonstrate that resting-state network integration—modulated by both eye condition and task engagement—captures fundamental aspects of the brain’s capacity for efficient and flexible cognitive function. Full article
Show Figures

Figure 1

29 pages, 5168 KB  
Article
Effects of Dual-Operator Modes on Team Situation Awareness: A Non-Dyadic HMI Perspective in Intelligent Coal Mines
by Xiaofang Yuan, Xinxiang Zhang, Jiawei He and Linhui Sun
Appl. Sci. 2025, 15(24), 13222; https://doi.org/10.3390/app152413222 - 17 Dec 2025
Viewed by 187
Abstract
Under the context of non-dyadic human–machine interaction in intelligent coal mines, this study investigates the impact of different dyadic collaboration modes on Team Situation Awareness (TSA). Based on a simulated coal mine monitoring task, the experiment compares four working modes—Individual Operation, Supervised Operation, [...] Read more.
Under the context of non-dyadic human–machine interaction in intelligent coal mines, this study investigates the impact of different dyadic collaboration modes on Team Situation Awareness (TSA). Based on a simulated coal mine monitoring task, the experiment compares four working modes—Individual Operation, Supervised Operation, Cooperative Operation, and Divided-task Operation—across tasks of varying complexity. TSA was assessed using both objective (SAGAT) and subjective (SART) measures, alongside parallel evaluations of task performance and workload (NASA-TLX). The results demonstrate that, compared to Individual or Supervised Operation, both Cooperative and Divided-task Operation significantly enhance TSA and task performance. Cooperative Operation improves information integration and comprehension, while Divided-task Operation enhances response efficiency by enabling focused attention on role-specific demands. Moreover, dyadic collaboration reduces cognitive workload, with the task-sharing mode showing the lowest cognitive and temporal demands. The findings indicate that clear task structuring and real-time information exchange can alleviate cognitive bottlenecks and promote accurate environmental perception. Theoretically, this study extends the application of non-dyadic interaction theory to intelligent coal mine scenarios and empirically validates a “Collaboration Mode–TSA–Performance” model. Practically, it provides design implications for adaptive collaboration frameworks in high-risk, high-complexity industrial systems, highlighting the value of dynamic role allocation in optimizing cognitive resource utilization and enhancing operational safety. Full article
Show Figures

Figure 1

21 pages, 2975 KB  
Article
Where Vision Meets Memory: An Eye-Tracking Study of In-App Ads in Mobile Sports Games with Mixed Visual-Quantitative Analytics
by Ümit Can Büyükakgül, Arif Yüce and Hakan Katırcı
J. Eye Mov. Res. 2025, 18(6), 74; https://doi.org/10.3390/jemr18060074 - 10 Dec 2025
Viewed by 390
Abstract
Mobile games have become one of the fastest-growing segments of the digital economy, and in-app advertisements represent a major source of revenue while shaping consumer attention and memory processes. This study examined the relationship between visual attention and brand recall of in-app advertisements [...] Read more.
Mobile games have become one of the fastest-growing segments of the digital economy, and in-app advertisements represent a major source of revenue while shaping consumer attention and memory processes. This study examined the relationship between visual attention and brand recall of in-app advertisements in a mobile sports game using mobile eye-tracking technology. A total of 79 participants (47 male, 32 female; Mage = 25.8) actively played a mobile sports game for ten minutes while their eye movements were recorded with Tobii Pro Glasses 2. Areas of interest (AOIs) were defined for embedded advertisements, and fixation-related measures were analyzed. Brand recall was assessed through unaided, verbal-aided, and visual-aided measures, followed by demographic comparisons based on gender, mobile sports game experience and interest in tennis. Results from Generalized Linear Mixed Models (GLMMs) revealed that brand placement was the strongest predictor of recall (p < 0.001), overriding raw fixation duration. Specifically, brands integrated into task-relevant zones (e.g., the central net area) achieved significantly higher recall odds compared to peripheral ads, regardless of marginal variations in dwell time. While eye movement metrics varied by gender and interest, the multivariate model confirmed that in active gameplay, task-integration drives memory encoding more effectively than passive visual salience. These findings suggest that active gameplay imposes unique cognitive demands, altering how attention and memory interact. The study contributes both theoretically by extending advertising research into ecologically valid gaming contexts and practically by informing strategies for optimizing mobile in-app advertising. Full article
(This article belongs to the Special Issue Eye Tracking and Visualization)
Show Figures

Figure 1

17 pages, 1172 KB  
Article
Effects of Dual-Task Stroboscopic Visual Training on Balance, Functional Mobility, and Gait in Children Who Are Hard-of-Hearing: A Exploratory Randomized Controlled Study
by Hafiza Gözen, Serkan Usgu and Yavuz Yakut
J. Clin. Med. 2025, 14(24), 8736; https://doi.org/10.3390/jcm14248736 - 10 Dec 2025
Viewed by 266
Abstract
Objective: This study aimed to investigate the effects of dual-task stroboscopic visual training (DTSVT) on balance, functional mobility, and gait in children who are hard-of-hearing. Methods: This randomized controlled study included 31 children (17 girls, 14 boys) with congenital sensorineural hearing [...] Read more.
Objective: This study aimed to investigate the effects of dual-task stroboscopic visual training (DTSVT) on balance, functional mobility, and gait in children who are hard-of-hearing. Methods: This randomized controlled study included 31 children (17 girls, 14 boys) with congenital sensorineural hearing loss. Participants were assigned to one of three groups: control group, conventional balance training (CBT) group, and DTSVT group. The CBT and DTSVT groups participated in an exercise program for 16 weeks, twice weekly, for 40 min (a total of 24 sessions). Static balance was assessed using the Tandem Romberg test and Single-Leg Stance (SLS) test, while dynamic balance was evaluated using the Functional Reach Test (FRT), balance disc test, and the Four Square Step Test (FSST). The Pediatric Balance Scale (PBS) was used as a subjective balance assessment. Functional mobility was assessed using the Timed Up and Go (TUG) Test, Step Test, 10 m Walk Test (10 MWT), and Functional Gait Assessment (FGA). Postural sway parameters were recorded using the GyKo device, including Sway Area (EA, cm2), Distance Length (DL, cm), Length (anterior–posterior (AP)) (cm), Length (medial–lateral (ML)) (cm), Mean Distance (D) (cm), Mean Distance (AP) (cm), and Mean Distance (ML) (cm). Results: Significant between-group differences were primarily observed in favor of the DTSVT group post-treatment, particularly in PBS scores, GyKoDL values during the eyes-open SLS test, and TUG test completion times (p < 0.05). Some baseline differences were noted among groups in functional reach distance, FSST completion time, and eyes-closed duration on the Balance Disc test (p < 0.05). Within-group comparisons revealed significant improvements in FSST times in both intervention groups, reduced postural sway parameters during the FRT in the DTSVT and control groups, and increased eyes-closed Tandem Romberg duration in the CBT group (p < 0.05). Most other outcome measures did not demonstrate statistically significant changes either within or between groups (p > 0.05). Conclusions: Dual-task stroboscopic visual training was more effective than conventional balance training in improving specific aspects of balance and functional mobility in children who are hard-of-hearing. These findings highlight the potential of adding cognitively demanding and visually engaging balance tasks to rehabilitation programs for this population. Larger and more diverse samples in future studies are needed to enhance the generalizability of these results. Studies that assess balance and gait using standardized clinical or laboratory tests may be particularly valuable. Given the small sample size and multiple comparisons, the results should be considered preliminary and exploratory. Full article
(This article belongs to the Section Clinical Pediatrics)
Show Figures

Figure 1

15 pages, 756 KB  
Article
Effects of Glucose Tablet Candy Ingestion on Attention Following Smartphone Use in Healthy Adults: A Randomized, Double-Blind, Placebo-Controlled Crossover Trial
by Yuko Setoguchi, Motoki Tsukiashi, Hiroko Maruki-Uchida, Naoki Iemoto, Shukuko Ebihara and Takashi Mato
Foods 2025, 14(24), 4233; https://doi.org/10.3390/foods14244233 - 9 Dec 2025
Viewed by 621
Abstract
Background/Objectives: Excessive smartphone use may negatively affect cognitive functions, including attention. While sensorimotor rhythm, beta, and theta waves have been linked to concentration, the electroencephalography (EEG) frequency band that most reliably serves as a neurophysiological marker of concentration is unclear. Therefore, we [...] Read more.
Background/Objectives: Excessive smartphone use may negatively affect cognitive functions, including attention. While sensorimotor rhythm, beta, and theta waves have been linked to concentration, the electroencephalography (EEG) frequency band that most reliably serves as a neurophysiological marker of concentration is unclear. Therefore, we aimed to evaluate the effects of glucose tablet candy ingestion on attention following smartphone use in healthy adults. Methods: A randomized, double-blind, placebo-controlled crossover trial was conducted in 16 healthy adults aged 18–39 years. Participants performed a 30 min smartphone-based information search task. Attention was assessed before and after the task using the Cognitrax test battery, and participants ingested either a glucose tablet candy (containing 26 g of glucose) or a placebo (no glucose) between tests. EEG was performed during attention tests using a patch-type device. Subjective sensations, including attention, fatigue, and mental clarity (clear-headedness), were evaluated using a visual analog scale (VAS). The primary outcome was attention test scores, and secondary outcomes included EEG power and VAS ratings. Results: Glucose tablet candy ingestion after smartphone use significantly improved mean correct response time and error response scores in part 2 of the four-part continuous performance test, a subtest within Cognitrax, compared to that with the placebo. Additionally, glucose intake significantly attenuated the decrease in right prefrontal beta EEG power observed with the placebo. Improvements were also observed in self-reported physical fatigue and mental clarity on the VAS following glucose ingestion. Conclusions: The ingestion of the glucose (26 g) tablet candy improved sustained attention after smartphone use in healthy adults aged 18–39 years and was associated with changes in brain activity. These results suggest that the glucose tablet candy may help counteract the decline in concentration following cognitively demanding smartphone use. Full article
(This article belongs to the Section Nutraceuticals, Functional Foods, and Novel Foods)
Show Figures

Figure 1

16 pages, 1037 KB  
Review
Pupillometry as an Objective Measure of Auditory Perception and Listening Effort Across the Lifespan: A Review
by Shruthi Raghavendra
J. Otorhinolaryngol. Hear. Balance Med. 2025, 6(2), 24; https://doi.org/10.3390/ohbm6020024 - 6 Dec 2025
Viewed by 488
Abstract
Background/Objectives: This narrative review aims to evaluate the use of pupillometry as an objective measure of auditory perception and listening effort across the lifespan. Specifically, it synthesizes research examining pupillary responses in individuals with and without hearing impairment across pediatric, adult, and older [...] Read more.
Background/Objectives: This narrative review aims to evaluate the use of pupillometry as an objective measure of auditory perception and listening effort across the lifespan. Specifically, it synthesizes research examining pupillary responses in individuals with and without hearing impairment across pediatric, adult, and older adult populations. The review addresses methodological practices and clinical implications for integrating pupillometry into routine audiological assessment. Methods: 12 peer-reviewed studies published between 2010 and 2025 were selected through a systematic search of databases including PubMed, Scopus, Web of Science, and Google Scholar. Inclusion criteria required empirical use of pupillometry in auditory tasks involving human participants with normal hearing or hearing impairment. Studies were analyzed for population characteristics, experimental paradigms, pupillometric metrics (e.g., peak pupil dilation), level of evidence, and relevance to clinical audiology. This article uses a narrative review approach to organize and interpret findings. Results: Across age groups and hearing conditions, pupillometry consistently demonstrated sensitivity to cognitive load and listening effort, particularly in noisy environments or during complex auditory tasks. Pediatric studies revealed its potential as a non-invasive tool for preverbal children. Adult and older adult studies confirmed that pupillary responses reflect device performance (e.g., hearing aids, cochlear implants) and cognitive–linguistic demands. Methodological variability and individual differences in pupil response patterns were noted as limitations. Conclusions: The findings support the use of pupillometry as a valuable adjunct to behavioral audiometry, offering objective insight into auditory–cognitive load. Its application holds promise for pediatric diagnostics, hearing technology evaluation, and geriatric audiology. Standardization of measurement protocols and development of normative data are necessary to enhance clinical applicability and generalizability. Full article
(This article belongs to the Section Otology and Neurotology)
Show Figures

Figure 1

19 pages, 1142 KB  
Article
Cognitive Reserve as a Protective Factor for Visuospatial Ability in Healthy Aging
by Marika Mauti, Elena Allegretti and Raffaella I. Rumiati
Healthcare 2025, 13(23), 3162; https://doi.org/10.3390/healthcare13233162 - 3 Dec 2025
Viewed by 360
Abstract
Background: Cognitive Reserve (CR) is a theoretical construct developed to explain individual differences in resilience to age-related cognitive decline. Empirical evidence supports its positive role across multiple cognitive domains. However, behavioral research has primarily focused on areas either vulnerable to aging, such [...] Read more.
Background: Cognitive Reserve (CR) is a theoretical construct developed to explain individual differences in resilience to age-related cognitive decline. Empirical evidence supports its positive role across multiple cognitive domains. However, behavioral research has primarily focused on areas either vulnerable to aging, such as memory, or relatively preserved, such as language. In contrast, the relationship between CR and task-specific performance in domains like visuospatial processing—a domain critical for everyday functioning—remains underexplored. This study investigates whether CR, as measured by the Cognitive Reserve Index Questionnaire (CRIq), predicts performance in mental rotation tasks in healthy older adults. Methods: Participants (age 55–85) completed two tasks: (1) a hand laterality task, requiring judgments about whether a rotated hand image (palm or back view) was left or right; and (2) a letter-congruency task, in which participants determined whether simultaneously presented rotated letters were identical or mirror-reversed. Results: Generalized and linear mixed-effects models revealed a protective effect of cognitive reserve, with higher CRIq scores significantly predicting greater accuracy in both tasks. Efficiency benefits (i.e., shorter reaction times) were evident mainly in the easiest conditions, suggesting that CR supports processing resources more effectively under moderate rather than maximal task demands. This pattern indicates that cognitive reserve does not uniformly enhance performance but instead modulates the allocation of cognitive resources in a context-dependent manner. Conclusions: To our knowledge, this is the first study to demonstrate a modulatory role of CR on visuospatial abilities in healthy older adults. These findings open new avenues for investigating how CR may differentially affect performance across a broader spectrum of cognitive functions, including attention, executive control, and spatial processing. A better understanding of these mechanisms could inform targeted cognitive interventions to strengthen resilience and promote successful aging. Full article
Show Figures

Figure 1

18 pages, 1478 KB  
Article
Effect of a Visual Dual-Task on Single-Leg Countermovement-Jump in Male Professional Soccer Players with Lower-Limb Injuries: A Cross-Sectional Observational Study
by Geoffrey Memain, Christopher Carling, Jean Bouvet, Paul Fourcade, Pascal Maille and Eric Yiou
Sports 2025, 13(12), 419; https://doi.org/10.3390/sports13120419 - 1 Dec 2025
Viewed by 399
Abstract
Background: Participation in soccer imposes high physical, mechanical, and cognitive demands. Recent evidence suggests that cognitive load, often overlooked in injury prevention, interacts with biomechanical factors and injury risk, resembling a dual-task paradigm where players must adapt motor responses while processing unpredictable game [...] Read more.
Background: Participation in soccer imposes high physical, mechanical, and cognitive demands. Recent evidence suggests that cognitive load, often overlooked in injury prevention, interacts with biomechanical factors and injury risk, resembling a dual-task paradigm where players must adapt motor responses while processing unpredictable game situations. This cross-sectional observational study examined how adding a dual-task during single-leg countermovement-jumps (SLCMJ) affects neuromotor control and performance in elite soccer players. Methods: Players performed SLCMJ on the injured leg while muscle activation, kinematics, and kinetics were measured, with and without a dual-task requiring color identification, via repeated-measures ANOVA; three injured groups (Chondropathy, n = 10, ACL, n = 15, Muscle Injury, n = 15) and a healthy control group (n = 22, followed the same protocol during final-rehabilitation stage. Results: Specific main outcomes were kinetics, kinematics, and EMG variables. Kinetic performances were significantly higher (p < 0.001, d > 0.6) with dual-task: eccentric rate-of-force-development, jump-height, reactive-strength-index-modified, and shorter for time-to-peak of ground-reaction-force (p < 0.05, d > 0.6). Muscle activation increased with dual-task in rectus femoris and biceps femoris during pushing (eccentric and concentric phases) (p < 0.01, d = 0.7) and for medial gastrocnemius during landing (p < 0.05, d = 0.7). Kinematic analyses showed greater pushing knee flexion, while pushing and landing trunk flexion was lower (p < 0.01, d > 0.8). Kinetic values in the three injured groups were lower than those of controls (p < 0.01, d > 0.8). Conclusions: Injured elite soccer players appeared disinhibited in dual-task conditions that improved SLCMJ performance but altered neuromotor control, underscoring the importance of a neurocognitive approach in return-to-play assessments to evaluate reinjury risk. Full article
Show Figures

Figure 1

18 pages, 1259 KB  
Article
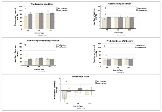
Acute Effects of Physical, Cognitive, and Combined Exercise on Executive Functions During Postural Challenge in Older Adults with Mild Cognitive Impairment
by Eirini Giatagani, Konstantina Dipla, Dimitrios A. Patikas and Lida Mademli
Appl. Sci. 2025, 15(23), 12649; https://doi.org/10.3390/app152312649 - 28 Nov 2025
Viewed by 431
Abstract
Mild cognitive impairment (MCI) compromises executive control, yet brief exercise may yield acute cognitive benefits. We tested whether a single ~10 min bout of physical, cognitive, or combined physical-cognitive exercise modulates Stroop performance in older adults with MCI (MoCA) under heightened postural demand [...] Read more.
Mild cognitive impairment (MCI) compromises executive control, yet brief exercise may yield acute cognitive benefits. We tested whether a single ~10 min bout of physical, cognitive, or combined physical-cognitive exercise modulates Stroop performance in older adults with MCI (MoCA) under heightened postural demand (tandem stance). In a within-subject design (n = 28), participants completed three sessions: physical, cognitive, and combined physical-cognitive exercise protocols. Stroop performance was tested seated and in tandem stance pre-exercise (order counterbalanced) and again in tandem stance post-exercise. Pre- and post-exercise physiological markers (heart rate, blood pressure, SpO2, glucose) and workload (NASA-TLX) were recorded; balance was assessed with a 30 s Tandem Stance Test. Posture (seated vs. tandem) did not affect baseline Stroop levels. Across sessions, Stroop performance improved acutely after the physical and cognitive exercises—most robustly after the physical testing—whereas the combined condition produced the smallest changes. The physical and combined sessions increased heart rate and systolic pressure; SpO2, diastolic pressure, glucose, NASA-TLX, and tandem-stance balance were unchanged among all sessions. These results indicate that a single light- to moderate-intensity session can acutely enhance executive function for MCI and that a challenging posture does not impose any dual-task cost. Furthermore, single-task exercise may be more effective for rapid cognitive gains than combined mental and physical protocols in individuals with MCI. Full article
Show Figures

Figure 1

25 pages, 2059 KB  
Article
Measuring Mental Effort in Real Time Using Pupillometry
by Gavindya Jayawardena, Yasith Jayawardana and Jacek Gwizdka
J. Eye Mov. Res. 2025, 18(6), 70; https://doi.org/10.3390/jemr18060070 - 24 Nov 2025
Viewed by 873
Abstract
Mental effort, a critical factor influencing task performance, is often difficult to measure accurately and efficiently. Pupil diameter has emerged as a reliable, real-time indicator of mental effort. This study introduces RIPA2, an enhanced pupillometric index for real-time mental effort assessment. Building on [...] Read more.
Mental effort, a critical factor influencing task performance, is often difficult to measure accurately and efficiently. Pupil diameter has emerged as a reliable, real-time indicator of mental effort. This study introduces RIPA2, an enhanced pupillometric index for real-time mental effort assessment. Building on the original RIPA method, RIPA2 incorporates refined Savitzky–Golay filter parameters to better isolate pupil diameter fluctuations within biologically relevant frequency bands linked to cognitive load. We validated RIPA2 across two distinct tasks: a structured N-back memory task and a naturalistic information search task involving fact-checking and decision-making scenarios. Our findings show that RIPA2 reliably tracks variations in mental effort, demonstrating improved sensitivity and consistency over the original RIPA and strong alignment with the established offline measures of pupil-based cognitive load indices, such as LHIPA. Notably, RIPA2 captured increased mental effort at higher N-back levels and successfully distinguished greater effort during decision-making tasks compared to fact-checking tasks, highlighting its applicability to real-world cognitive demands. These findings suggest that RIPA2 provides a robust, continuous, and low-latency method for assessing mental effort. It holds strong potential for broader use in educational settings, medical environments, workplaces, and adaptive user interfaces, facilitating objective monitoring of mental effort beyond laboratory conditions. Full article
Show Figures

Figure 1

9 pages, 265 KB  
Article
Exploring the Link Between Stress and Working Memory in Adults
by Constança Carvalho, Cláudia Reis and Margarida Serrano
Int. J. Environ. Res. Public Health 2025, 22(12), 1773; https://doi.org/10.3390/ijerph22121773 - 24 Nov 2025
Viewed by 1258
Abstract
Background: Working memory (WM) is essential for reasoning, learning, and everyday cognitive tasks and can be influenced by stress. This study investigated the relationship between perceived stress and auditory working memory in 24 adults (16 women, 8 men; median age = 22). Methods: [...] Read more.
Background: Working memory (WM) is essential for reasoning, learning, and everyday cognitive tasks and can be influenced by stress. This study investigated the relationship between perceived stress and auditory working memory in 24 adults (16 women, 8 men; median age = 22). Methods: Participants completed the Perceived Stress Scale (PSS-10) and a pseudoword span task assessing auditory memory under phonologically demanding conditions. Results: Participants with higher stress levels exhibited greater variability and a decline in performance across pseudowords sets, particularly in the final set. Correlational analyses revealed that higher PSS-10 scores were significantly associated with lower accuracy on the most demanding memory set (r = −0.467, p = 0.021) and with younger age (r = −0.489, p = 0.015). These findings suggest that elevated stress may impair auditory working memory, with younger adults reporting higher perceived stress. Conclusions: This study highlights the importance of considering stress levels in cognitive assessments and supports the hypothesis that stress negatively affects working memory efficiency, particularly in tasks requiring phonological processing. Full article
(This article belongs to the Special Issue Coping with Anxiety and Psychological Distress)
Back to TopTop