Abstract
Open-plan offices are a common format in contemporary work environments, but their exposed nature may increase cognitive demands. Work pods and other enclosed microspaces have been proposed as an alternative. However, scientific evidence demonstrating that these isolated spaces effectively reduce cognitive load remains scarce. This study examines how workspace type influences mental workload by analyzing how cognitive load evolves across two spatial configurations (open-plan office and work pod) during typical office tasks. Twenty-six participants completed auditory, reading, and writing tasks while their brain activity was recorded using EEG. The results show that each spatial typology generates distinct patterns of cortical activation: in the open-plan office, neural activity progressively increased throughout the tasks, indicating a growing effort to maintain performance, whereas in the work pod activation levels decreased, suggesting reduced cortical effort required to sustain task. These findings provide neurophysiological evidence that spatial design directly influences the mental workload associated with office work.
1. Introduction
A substantial share of the office workday is devoted to tasks that impose a sustained cognitive demand, reading and replying to email, preparing reports, reviewing documentation, or participating in meetings and calls [1,2,3]. This kind of knowledge work entails processing large volumes of information and frequently alternating with writing, reading, and attentive listening, placing much of the workday within high-cognitive-demand activities. The spatial configuration of office conditions how these activities are carried out and has been repeatedly linked to indicators of well-being, perceived stress, and self-rated productivity [4,5,6].
Open-plan workspaces and coworking spaces have become widespread, driven by their flexibility, the expectation that they will foster communication and collaboration, and their potential to optimize floor area and costs [7,8]. At the same time, numerous studies report that noise, visual distractions, and limited privacy, characteristic of these environments, are associated with greater difficulty concentrating and lower workstation satisfaction, especially for tasks requiring focused work [8,9,10,11]. As a countermeasure, some organizations have begun to incorporate work pods and other small quiet rooms, conceived as focus microspaces embedded within more dynamic open environments, allowing people to temporarily withdraw from noise and interruptions for tasks that demand higher levels of concentration [9].
Although the existing literature has examined these office models primarily through job satisfaction, perceived well-being, and a few performance indicators, the impact of workspace type on the underlying mental effort required to sustain typical office tasks remains insufficiently delineated [4,6,8]. Only a handful of studies have incorporated electroencephalographic (EEG) recordings to examine how specific environmental conditions, such as thermal environment or background noise, affect mental workload and task performance in office tasks or simulated work settings [12,13,14], focusing on individual factors rather than comparing different spatial typologies. Unlike subjective measures based on questionnaires or task ratings, scalp EEG can capture covert, partly involuntary cognitive processes that often escape introspection yet represent a substantial share of mental activity and workload [15]. Despite this potential, there is still limited evidence on how enclosed microspaces affect cortical effort during routine office tasks compared with more open, less-controlled environments. Given the relevance of non-conscious processes and the current evidence gap, it is essential to include neurophysiological recordings in studies of office environments.
The present study addresses this gap by examining how workspace typologies influence workers’ mental workload. We analyse the temporal evolution of EEG indices linked to cognitive load in two workplace settings, an open-plan office workspace and a work pod. Specifically, we assess power in the alpha, beta, theta, and gamma bands, as well as ratios associated with more cognitively demanding processing [15,16,17] including beta/alpha, beta/(alpha + theta), and gamma/beta, during auditory, reading, and writing tasks representative of office work.
This approach provides, first, a theoretical contribution by offering evidence that spatial configuration relates to cortical activation for the same tasks, an aspect scarcely explored in office contexts. Second, it offers an applied contribution by supplying physiological data that can support evidence-based design decisions regarding how the workplace environment influences occupants’ health and sustained performance.
2. Literature Review
2.1. Workspaces, Health and Cognitive Well-Being
Over recent decades, open-plan workspaces and coworking spaces have become dominant workplace models, designed to foster informal interaction, flexibility, and more efficient use of floor area [18,19,20]. However, numerous studies indicate that these configurations increase exposure to noise, visual distractions, and lack of privacy, factors associated with greater difficulty concentrating and poorer perceived well-being, especially among people engaged in high–cognitive-demand knowledge work [10,21,22,23].
As a response to the limitations of open-plan offices, many organizations have begun to incorporate small enclosed rooms (phone booths, quiet rooms, and work pods) that offer greater control over distractors for activities requiring sustained concentration and reduced stress [9]. These spaces are preferentially used for tasks such as listening to relevant auditory information, reading lengthy documents, or writing without interruptions, and they have been associated with better perceived privacy and support for concentration within predominantly open office environment [22,24].
From environmental psychology and human-centered design, the workspace is conceived as an active modulator of cognitive and emotional functioning rather than a neutral container of activities [25,26]. Variables such as perceived crowding, unwanted noise, and frequency of interruptions have been linked to higher stress and fatigue and to lower self-rated productivity [27,28]. Conversely, access to more controlled and private zones is commonly associated with better concentration, lower noise annoyance, and greater satisfaction with the work environment [9,21,22]. Nevertheless, much of this evidence relies on subjective measures, mainly questionnaires on satisfaction, well-being, or perceived productivity, and, to a lesser extent, on relatively coarse performance indicators (e.g., aggregate errors or self-evaluations of performance) [4,29]. Consequently, it remains unclear how different spatial configurations influence the underlying cognitive effort required to perform everyday tasks over time, beyond what can be inferred from self-reports and global performance tests.
In parallel, interest in evidence-based design has grown within architecture and interior design, particularly with regard to health and well-being in workplace settings [30,31,32]. Within this broader framework, neuroarchitecture has emerged as an interdisciplinary line of work that leverages neurophysiological recording to understand how features of the built environment influence cognitive, emotional, and behavioural process [33,34]. In the context of workspaces, work pods, quiet rooms, and other focus microspaces are proposed as spatial interventions intended to support sustained attention and provide temporary refuge from the noise and interruptions typical of open-plan environments [9,35]. Nonetheless, physiological evidence remains limited for assessing the extent to which such microspaces effectively reduce cortical effort associated with routine office tasks compared with more open and less controlled configurations.
2.2. Mental Workload and EEG Metrics in Office Work Tasks
Mental workload is commonly defined as the number of cognitive resources required to meet task demands under specific conditions [36,37]. In office work, routine activities such as listening to instructions or other auditory content, reading complex texts, and producing written materials involve sustained attention, working memory, language processing, and a degree of executive control [38,39]. These functions are reflected in characteristic patterns of brain activity that can be recorded non-invasively with scalp EEG, a technique increasingly used to assess mental workload and cognitive functioning in applied settings [40,41,42].
EEG spectral analyses show that different frequency bands are sensitive to changes in workload. In general, reductions in alpha power are observed as attentional or processing demands increase, often interpreted as cortical disinhibition and the activation of task-relevant networks [43]. By contrast, increases in beta power have been associated with active cognitive processing, maintenance of alertness, and executive control, especially during sustained decision-making or monitoring tasks [44,45]. Frontal theta activity is consistently linked to working memory, sustained attention, and executive control, and typically increases with higher mental workload [46,47,48], though it can also rise with sustained mental fatigue [49]. Finally, gamma activity has been related to information integration and more complex cognitive operations, such as the unification of distributed contents and the processing of meaningful stimuli [50,51].
Beyond single-band power, applied studies frequently compute ratios between frequency bands. These indices partially normalize interindividual differences and capture the relative balance between functional systems (e.g., networks more associated with activation and control, versus those linked to inactivation or rest), which can yield more robust workload measures than isolated bands [52,53]. In this vein, ratios such as beta/alpha and beta/(alpha + theta) have been proposed as pragmatic indicators of cortical activation related to mental effort and are used in composite indices of task engagement or workload in vigilance and complex human–computer interaction tasks [15,16]. Complementarily, some studies have explored ratios involving the gamma band, such as gamma/beta, to capture the relative dominance of higher-level integrative processing over more basic control mechanisms, particularly in demanding working-memory and decision-making tasks [17,54]. While none of these indices should be treated as unique or definitive markers of workload, they offer a useful approximation to the cortical activation profile when comparing sustained work conditions across different demands or environments.
Table 1 summarizes these findings by schematically organizing typical patterns of change in band power and spectral indices (e.g., beta/alpha, beta/(alpha + theta), gamma/beta) reported in the literature across task types, cortical regions, and functional interpretations. This table is not intended to be exhaustive, but to provide a structured reference framework that systematically organizes the EEG activity patterns and spectral ratios described in the literature, thereby facilitating the formulation of our a priori hypotheses.
Table 1.
Summary of EEG band-power patterns and spectral ratios associated with different task types and functional processes reported in the reviewed literature.
Despite this body of knowledge, most EEG studies on mental workload have been conducted in highly controlled laboratory tasks, limiting ecological validity and the translation of findings to real workspaces, or in domains such as driving, aviation, and air-traffic control, as well as human–computer interaction with complex interfaces, where the primary focus is on the task and the environmental context is seldom described in detail [55,56,57,58]. More recent studies have applied EEG in more real situations, but these largely focus on physical activity, urban mobility, or other out-of-office tasks, such as walking through different settings or performing specific instrumental activities [59,60]. In the educational domain, some studies have examined how classroom variables (light, color, form) influence students’ cognitive processes using EEG during auditory attention and memory tasks [61,62,63]. Nevertheless, there is still little evidence on how these EEG indices behave when people perform auditory, reading, and writing tasks typical of office work in real or realistic workspaces, or on the cognitive responses elicited by work pods, which are beginning to be implemented in response to the drawbacks of open-plan offices and coworking spaces. To advance, it is necessary to determine whether the same tasks entail distinct temporal profiles of cortical activation when carried out in a less-controlled open-plan workspace versus in a work pod designed to support focused work. Addressing this question can clarify how spatial configurations influence the mental effort required to sustain everyday cognitive activities and can contribute to the evidence-based design of work environments.
Based on this framework, we propose three research hypotheses focused on how workspace typologies condition the evolution of EEG indices linked to mental workload during auditory, reading, and writing tasks.
H1.
[Greater EEG band power in the open-plan workspace] As the work session progresses, high-frequency EEG activity (gamma and beta bands) is expected to follow opposite trajectories across the two workspaces. In the open-plan workspace, we anticipate a progressive increase in these bands, indicating that the brain needs to recruit more resources to maintain task performance in an environment with more stimuli and potential distractions. In the work pod, we expect a decrease over time, consistent with the idea that the enclosed setting allows the same tasks to be sustained with progressively lower cortical activation.
H2.
[Greater mental effort and reduced cortical inhibition in the open-plan workspace] In the open-plan workspace, we expect alpha-related ratios to increase from the start to the end of the block, suggesting reduced cortical inhibition and a rise in sustained mental effort required to keep working in that context. In the work pod, we expect a smaller increase or a decrease in these ratios, interpreted as the same set of tasks being performed with lower cortical effort when the space provides greater acoustic and visual control.
H3.
[Increase in the “complex processing” index in the open-plan workspace] We anticipate some progressive familiarization with the tasks in both spaces. However, we expect more cognitively demanding processing in the open-plan workspace than in the work pod, reflected in an increase in the gamma/beta ratio over the session, indicating that, in a less-protected environment, such adaptation coexists with a higher overall demand.
3. Materials and Methods
3.1. Participants
The sample consisted of 30 adult participants (15 women and 15 men), aged between 23 and 66 years (M = 39.75, SD = 11.47). As an inclusion criterion, all participants were required to be currently employed, to ensure that the sample had real experience in work environments and could respond in a real valid manner to the work-related conditions.
All participants were informed about the study procedures and signed an informed consent form before participation. Recruitment was voluntary and without financial compensation.
3.2. Procedure
3.2.1. Experimental Design
A within-subject experimental design was implemented, in which each participant completed the experimental tasks under two conditions: (1) an open-plan office environment and (2) an enclosed work-pod environment. The order of exposure was counterbalanced (15 participants started in the pod and 15 in the open space) to minimize potential order effects.
Each session lasted approximately 30 min and was divided into two 15 min blocks, one per environment. In each block, participants completed a standardized protocol comprising three tasks that are representative of typical office-related activities (auditory task, reading task, and writing task):
- Attention activity (auditory task),
- Reflective activity (reading and writing task),
- Memory activity (reading and writing task).
EEG was continuously recorded throughout the protocol using a physiological signal acquisition system. Figure 1 illustrates the structure and timing of the experimental protocol.
Figure 1.
Experimental protocol. Each participant completed two consecutive 15 min blocks in different environments. Block order was counterbalanced across participants, ensuring that either environment could be experienced first. EEG activity was continuously recorded, and two 120 s windows were extracted at the beginning (EEG 1) and at the end (EEG 2) of each block.
For physiological analysis, two 120 s time windows were extracted in each environment: one at the beginning of the block (during the attention task) and another at the end (during the memory task). These windows, extracted from artifact-free segments, enabled comparisons of the initial and final cognitive state within each session and ensured sufficient signal length for robust spectral analysis using Welch’s method [64].
3.2.2. Experimental Environment
The study was conducted at the Universitat Politècnica de València (UPV), in an open-plan workspace commonly used for daily work and meetings. Within this area, two workstations were set up: one replicating an open-plan office environment, and the other replicating an individual enclosed work pod workspace. Figure 2 and Figure 3 shows the spatial layout of both setups. The same furniture configuration was reproduced in each setting (same model, materials, colors, and arrangement), consisting of a white table and four grey and blue chairs.
Figure 2.
Spatial layout of the experimental setups in the open-plan workspace at UPV. The figure illustrates the configuration of the open-plan workstation and the individual enclosed work pod, including participant position, access areas, checkpoints, and surrounding activity zones.
Figure 3.
Layout of the open-plan workspace (left) and enclosed workspace (right).
Open-plan workspace: This workstation simulated a coworking-style environment, with a moderate and controlled flow of people working, walking by, or talking nearby. Activity levels and occupancy were kept constant across sessions to ensure comparability between participants, generating representative levels of background noise and visual distractions, conditions representative of real collaborative workspaces.
Enclosed workspace: The individual workstation was located inside an ACTIU (ACTIU, Castalla, Alicante, Spain) Qyos 400 work pod (dimensions: 190.2 × 181.2 × 205 cm), equipped with lighting, ventilation, and three glazed panels, with the central panel serving as the door. The work pod provided substantial acoustic and visual shielding, offering a clearly isolated working context and a significant reduction in external interference compared with the open-plan condition.
In both environments, participants always sat on the same chair and maintained the same orientation toward the table to ensure consistent posture and visual conditions. Two laptops were placed on the table in fixed positions: one for presenting the tasks and stimuli, and the other for continuous physiological data recording. Experimenters remained at a distance to monitor equipment and task progression without influencing participants’ performance.
3.3. Experimental Stimuli: Cognitive Tasks for Mental Workload
Cognitive Tasks
During each experimental block, participants completed three cognitive tasks designed to represent the set of activities typically performed in an office work environment.
- [Attention activity] this task consisted of a continuous auditory vigilance test, inspired by the auditory vigilance paradigm proposed by Seidman et al. [65]. In this test, participants listened to a sequence of brief auditory stimuli and had to respond with a mouse click whenever a specific target stimulus appeared, ignoring the distractor stimuli. The task was presented in three consecutive blocks of approximately 90 s each (total duration ≈ 4.5 min). Performing this task requires sustained attention, inhibitory control, and the ability to maintain a constant level of vigilance, processes that are fundamental in work activities requiring prolonged concentration under conditions of monotony or environmental distraction.
- [Reflective activity] between the attention activity and the memory activity, participants completed a brief reading and writing activity, which included filling out forms and open-ended questions about their experience during the experiment and their evaluation of the workstation. This phase aimed to simulate typical office tasks involving reading comprehension, reflection, and written production.
- [Memory activity] this task was based on a free recall paradigm derived from the study by Alonso et al. [66] on false memory production and recognition in Spanish word lists. In each trial, participants studied a list of visually presented words for 60 s, and after a brief interval, were given another 60 s to write down all the words they could remember. The sequence was repeated three consecutive times (total duration ≈ 6 min). This task requires encoding, retention, and retrieval of information, critical aspects of cognitive performance in work activities involving processing and remembering recent information.
These tasks were selected due to their established association with mental workload [67] and were used in the present study as experimental stimuli to elicit cognitive load. Their role was to ensure comparable cognitive engagement across conditions while neurophysiological data were recorded. Task completion was verified for all participants upon finishing the experimental protocol, independently of response accuracy or execution speed.
3.4. Experimental EEG Recording
Continuous EEG activity was recorded during the full experimental session using the B-Alert X10 system (Advanced Brain Monitoring, Carlsbad, CA, USA), a wireless 10-channel headset configured according to the international 10–20, which allows the acquisition of brain signals at a sampling rate of 256 Hz. Electrodes were positioned at Fz, F3, F4, Cz, C3, C4, POz, P3, and P4, with the mastoid region serving as the reference.
Data recording and synchronization were managed through the iMotions platform (v.10.1.0.15; www.imotions.com (accessed on 5 June 2025)), which enabled integrating the experimental protocol and centralizing the acquisition of physiological signals. Electrode impedance was checked at the beginning of each session, ensuring values below 40 kΩ for optimal recording. EEG data were recorded continuously and stored for subsequent offline preprocessing and analysis.
Signal Processing and Analysis
EEG signal processing was performed in MATLAB R2021a (The MathWorks, Inc.) using the EEGLAB toolbox (v.2024.1) [68], following standard procedures for filtering, segmentation, and artifact removal.
The pipeline for preprocessing included the following steps: (1) baseline removal by subtracting the mean of each channel, (2) band-pass filtering between 0.5–40 Hz [69], (3) rejection of corrupted channels defined by kurtosis > 5 standard deviations or flat-line segments longer than 10% of the total recording [70], and (4) visual inspection of all recordings to identify and remove artifacts or signal dropouts.
After preprocessing, power spectral density (PSD) was computed using Welch’s method [64], extracting the classical frequency bands: theta (θ: 4–8 Hz), alpha (α: 8–13 Hz), beta (β: 13–30 Hz), and gamma (γ: 30–40 Hz). These bands are widely used in cognitive and environmental neuroscience to assess mental states related to workload, fatigue, and well-being in built environments [71,72].
Analyses focused on electrodes over frontal and prefrontal regions (Fz, F3, F4), given their established involvement in executive functions, sustained attention, and emotional regulation [73,74]. Mean absolute power was computed for each frequency band, enabling comparisons of their relative contribution while minimizing inter-individual variability [41].
The selected frequency bands are associated with cognitive and affective states relevant in work environments:
- [Gamma (γ)] linked to information integration, higher-order processing, and memory consolidation [75]. In environmental evaluation contexts, gamma has been related to complex perceptual processing and attentional demands [76].
- [Beta (β)] associated with active cognitive processing, sustained attention, and alertness [77]. Increases in frontal beta commonly appear in tasks requiring concentration and executive control [78]. In work environments, elevated beta may reflect cognitive activity as well as stress induced by high task demands [79].
- [Alpha (α)] typically associated with relaxation, internally oriented processing, and disengagement from the environment [80]. Reductions in frontal alpha are interpreted as increased cortical activation and attentional demand [45].
- [Theta (θ)] frontal theta reflects working memory load, executive control, and sustained mental effort, but also the build-up of mental fatigue [49,81,82]. This functional duality implies that sustained increases may indicate either the cognitive effort required to maintain performance or the progressive onset of fatigue. In workplace contexts, elevated theta levels can signal cognitive overload or sustained mental effort.
Additionally, three widely validated composite indices of cognitive load were calculated:
- [Engagement ()] reflects active involvement in the task. Originally proposed by Pope et al. [15] this index has been used to assess cognitive involvement, flow states, and its inverse relationship with mental workload in learning and work environments [58,83,84]. It was computed as the mean absolute power (µV2/Hz) across frontal and prefrontal electrodes; higher values indicate greater engagement and flow-like states.
- [Arousal ()] represents cortical activation and alertness [85]. This ratio increases with attentional demand and decreases with relaxation or fatigue [86]. In built-environment research, it helps to evaluate how spatial configurations modulate users’ activation levels [33,73]. It was computed as the mean absolute power (µV2/Hz) across frontal and prefrontal electrodes, where higher values reflect greater arousal.
- [Ratio Gamma/Beta ()] An exploratory index derived from the ratio between gamma activity, associated with information integration and higher-order processing; [75] and beta activity, linked to active cognitive processing [77]. Recent studies have used increases in this ratio as a complementary marker of heightened cognitive engagement and elevated working-memory demands in demanding tasks [17,54].
All metrics were extracted from the two temporal windows selected in each environment, enabling assessment of both the immediate environmental effect and the temporal evolution of cognitive load and fatigue during the session.
3.5. Statistical Analysis
Statistical analyses were conducted in Python 3.10 using the pandas (v1.5.3), SciPy (v1.10.1), statsmodels (v0.14.0), and numpy (v1.24.2) libraries. All visualizations were generated with matplotlib (v3.7.1) and seaborn (v0.12.2).
The main objective of the analysis was to evaluate the temporal evolution of physiological metrics within each environment. Accordingly, the values of each metric were compared between the beginning and the end of the session. Cognitive-task performance (attention and memory) was not analyzed, as the study focused exclusively on physiological responses associated with cognitive load and environmental exposure.
For each environment, as previously described, two equivalent 120 s time windows were extracted, resulting in two comparable physiological measurements per participant. The physiological metrics included in the analysis comprised: (i) EEG-derived indices (arousal, engagement, gamma/beta), and (ii) spectral power in the theta, alpha, beta, and gamma bands in frontal and prefrontal regions.
Due to unrecoverable technical artifacts in the EEG recordings (electrode disconnection, electrical noise, or prolonged signal loss), four participants were excluded from the work pod condition and the open-plan office condition, resulting in a final sample size of 26.
Normality was assessed using the Shapiro–Wilk test for each metric in each time window. Since most variables significantly deviated from normality, a common property of physiological signal data [87], non-parametric statistics were selected for all comparisons to ensure analytical robustness.
Outliers were identified via the interquartile range (IQR) method [88]. Detected values were visually inspected within the context of the full signal to determine whether they reflected technical artifacts or genuine physiological variability.
Given the within-subject design, all comparisons used paired measures within each participant. Differences between the start and end of each condition were evaluated using the Wilcoxon signed-rank test, which is appropriate for repeated-measures designs with non-normal distributions [89].
The rank-biserial correlation coefficient [90] was computed as the effect-size measure. This statistic expresses the proportion of positive versus negative changes and enables interpretation of both the direction and magnitude of the intra-individual change. Rank-biserial values range from −1 to +1, where values near 0 indicate no effect, values between ±0.1 and ±0.3 indicate small effects, between ±0.3 and ±0.5 medium effects, and values above ±0.5 indicate large effects [90]. Effect sizes (r) are reported with sign where negative values indicate decreases and positive values increases from the beginning of the session.
To control the false discovery rate associated with analyzing multiple metrics, p-values were adjusted using the Benjamini–Hochberg FDR procedure [91], applied independently within each environmental condition for the 11 EEG metrics analyzed. A significance threshold of α = 0.05 was established for the adjusted p-values, and effects with q < 0.05 were considered statistically significant.
The full processing and analysis workflow is illustrated in Figure 4, summarizing the steps from window selection, EEG metric computation, and statistical testing to the correction for multiple comparisons.
Figure 4.
Workflow of the statistical analysis applied to the EEG metrics. The procedure encompassed data quality control (normality testing and outlier detection), within-subject comparisons using the paired Wilcoxon test, calculation of effect size (rank-biserial correlation coefficient), and correction for multiple comparisons using the Benjamini–Hochberg (FDR) method. Effects were considered significant at q < 0.05 and were interpreted in conjunction with their effect size.
The interpretation of the results was based on statistical significance, effect size, and the functional relevance of the observed patterns in relation to cognitive fatigue and the impact of the built environment.
4. Results
The within-subject analysis revealed distinct patterns of cortical activity between the beginning and the end of the session in each of the evaluated conditions. Below, results are reported separately for each environment, followed by a descriptive comparison of the emerging patterns.
4.1. Work Pod Environment
Table 2 presents the within-subject comparisons for the work pod environment. After applying the false discovery rate (FDR) correction, several frontal and prefrontal indices showed significant time-related decreases.
Table 2.
Within-subject comparison of neurophysiological metrics in the work pod environment.
Specifically, frontal beta activity showed a marked decrease (q < 0.001; r = −0.829), with a mean reduction of −0.367. In the prefrontal region, both alpha and beta power declined significantly (alpha: q = 0.012; r = −0.724; beta: q = 0.012; r = −0.705). Frontal alpha power also decreased significantly (q = 0.028; r = −0.556), with a mean change of −0.872.
Effect sizes were predominantly moderate to large (r ≥ 0.40), and all significant changes showed a consistent negative direction. The remaining metrics (frontal Gamma/Beta, prefrontal Gamma, prefrontal Gamma/Beta, prefrontal Theta, frontal Gamma, Arousal, Engagement, and frontal Theta) did not reach statistical significance after FDR correction (q > 0.05). Overall, the pattern observed in this environment is characterized by sustained reduction in alpha and beta band activity, reflecting decreased frontal and prefrontal cortical activation over time.
4.2. Open-Plan Office Enviroment
Table 3 summarizes the results for open-plan office condition. In contrast to the work pod environment, this setting was associated with significant increases across several indices of cortical activity. The frontal gamma/beta ratio showed the strongest significant increase (q < 0.001; r = 0.968), marking a pronounced rise over the course of the session. Both arousal (q = 0.021; r = 0.642) and engagement (q = 0.021; r = 0.652) also increased significantly.
Table 3.
Within-subject comparison of neurophysiological metrics in the open-plan office environment.
At the prefrontal level, the gamma/beta ratio increased significantly (q = 0.022; r = 0.642), accompanied by significant increases in both prefrontal and frontal gamma power (q = 0.022 for both), with effect sizes of 0.673 and 0.663, respectively. Frontal theta also increased significantly (q = 0.021; r = 0.716). All significant effects were moderate to large (r ≥ 0.50), and all showed a positive direction of change.
Metrics that did not reach significance after FDR correction included frontal Beta, prefrontal Alpha, prefrontal Beta, and frontal Alpha. Overall, the pattern in the open-plan office environment reflects heightened activity in high-frequency bands (gamma) and in composite activation indices (arousal, engagement), alongside increased gamma/beta ratios indicative of elevated cognitive processing demands.
4.3. Descriptive Comparison Between Environments
Table 4 provides an overview of the patterns observed across both environmental conditions. Given that each environment was experienced at a different moment in the session, participants’ cognitive trajectory baselines were not directly comparable; therefore, the analysis focused on within-environment temporal evolution rather than on direct statistical contrasts between settings. Although no direct statistical comparisons between environments were performed, the descriptive trends reveal clear divergences in how cortical activity evolved over time. In the work pod environment, all significant metrics showed decreases, most notably in frontal and prefrontal alpha and beta bands. In contrast, the open-plan office exhibited exclusively upward trends, with increases observed in frontal and prefrontal gamma, frontal theta, gamma/beta ratios, and the arousal and engagement indices. These opposing patterns point to distinct temporal trajectories of cortical activation in each setting.
Table 4.
Comparative summary of the temporal patterns observed in both environments.
Beyond the directionality of these changes, the types of affected metric also differed between environments. In the work pod, significant changes were restricted to mid-frequency bands (alpha, beta), whereas in the open-plan office, the strongest effects appeared in high-frequency activity (gamma) and activation related composite indices. Effect sizes were comparable in magnitude across environments (r ≈ 0.40–0.79), indicating that the magnitude of change was similar despite opposite directions.
Standard deviations tended to be higher in the open-plan condition, particularly at the end of the session, indicating greater inter-individual variability in responses to the open-plan space.
Figure 5 presents a heatmap summarizing the magnitude and direction of rank-biserial effects (r) for all physiological metrics in both environments when comparing the beginning and end of the session. An opposite pattern is observed: whereas the work pod environment is dominated by negative values (decreases in cortical activity), the open-plan office environment shows generalized increases, especially in gamma, theta, and the composite indices of arousal and engagement.
Figure 5.
Heatmap of rank-biserial effects (r) by environment. Negative values (blue) indicate reductions in activity between the start and end of the session, while positive values (red) reflect increases. A reversal of the pattern is observed between environments, with decreases in the pod and increases in the open-plan office space.
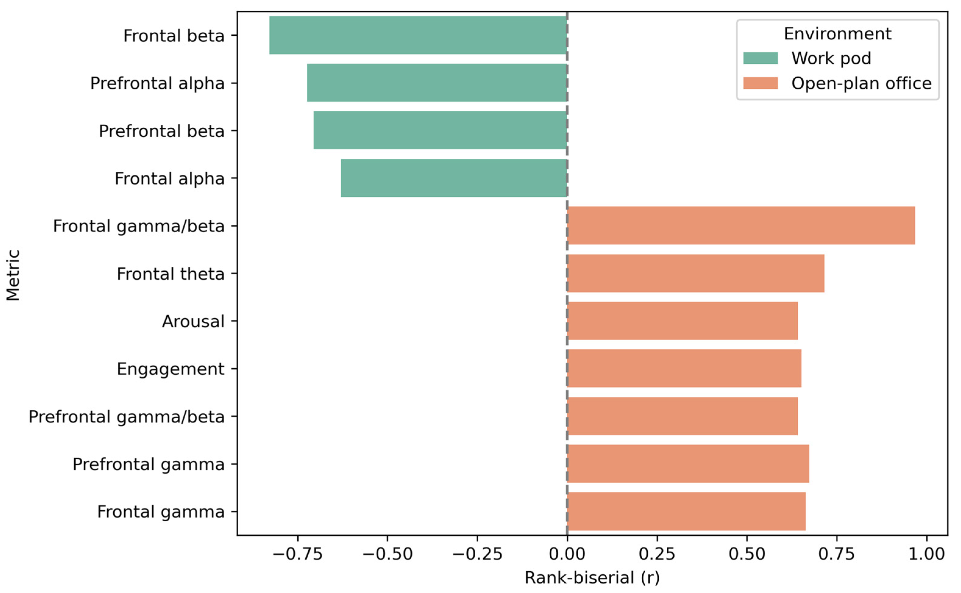
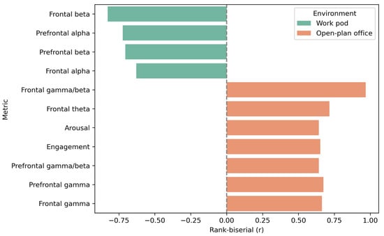
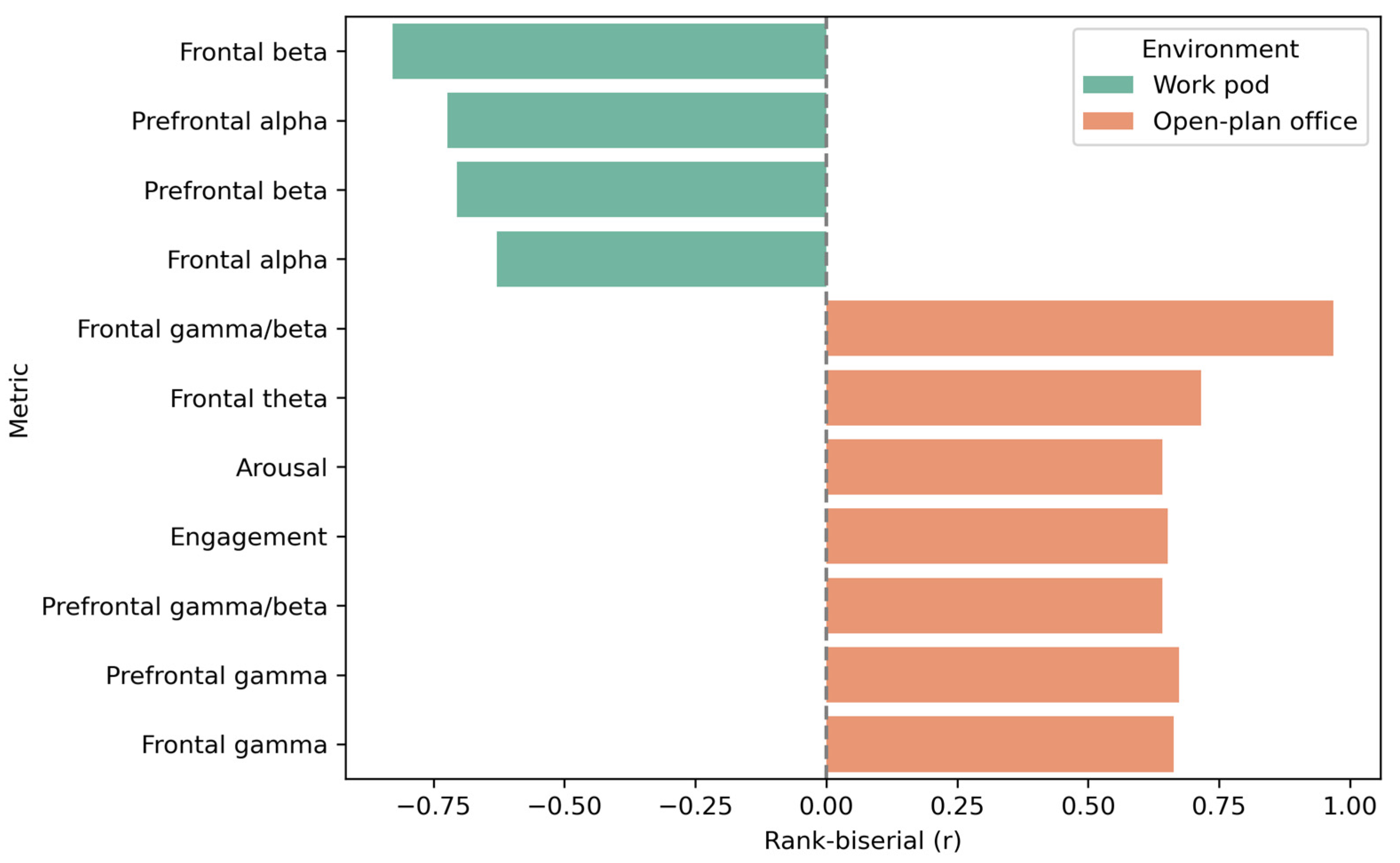
Figure 6 presents only the metrics that reached statistical significance after FDR correction (q < 0.05). In the work pod, significant reductions in frontal and prefrontal alpha and beta indicate a pattern of stabilization and reduced cortical effort over time. In contrast, the open-plan office was characterized by significant increases in gamma, gamma/beta ratios, arousal, and engagement, consistent with sustained activation and elevated cognitive load.
Figure 6.
Environment-specific significant effects (q < 0.05). The work pod environment is characterized by predominant reductions in alpha and beta band power, while the open-plan office shows significant increases in gamma and theta power, as well as in the composite arousal and engagement indices.
These visual patterns reinforce the findings reported in Table 2 and Table 3 and highlight the consistent influence of the environmental conditions on physiological indices. Together, the results point to two clearly differentiated temporal trajectories across environments.
In the work pod environment, cortical activity showed a gradual decline in frequency bands associated with cognitive processing and frontal activation, suggesting increased stability and a reduction in cognitive load as the session progressed.
In contrast, the open-plan office environment displayed the opposite pattern, with rising activity in high-frequency bands and composite indices, indicative of heightened activation and sustained cognitive demand. These differences should be understood as descriptive tendencies rather than causal evidence of environmental effects.
Figure 7 represents distribution plots (boxplots with individual data points) for gamma power, alpha power, and the gamma/beta ratio in the final block. These metrics were selected because they exhibited divergence between environments in the temporal analyses. The boxplots reveal substantially larger variability in the open-plan condition, reinforcing the interpretation that this environment induces more heterogeneous cortical responses across participants.
Figure 7.
Distribution of EEG metrics at the end of the experimental block for each environment. Boxplots with individual data points represent frontal alpha power, frontal gamma/beta ratio, and frontal gamma power in the work pod and open-plan office conditions. The figure illustrates the substantially greater inter-individual variability observed in the open-plan office compared with the work pod, particularly for gamma-related activity and gamma/beta ratios.
5. Discussion
The findings of this study show that the spatial configuration of the workplace substantially shapes mental workload, with a clear reduction when tasks are performed inside the work pod. The results show that these small enclosed environments enable office tasks to be carried out with a more efficient pattern of cortical activation than in the open-plan office setting. This provides neurophysiological evidence supporting the integration of work pods within predominantly open-plan office layouts.
Before interpreting these findings in depth, it is important to clarify the use of the term ‘efficiency’ in this study, and to distinguish it from related concepts such as performance or work productivity. Here, the term refers to neurophysiological efficiency, understood as the amount of cortical activation required to sustain task execution under equivalent behavioral conditions [92].
This interpretation aligns with extensive research showing that open-plan offices increase exposure to unwanted noise, visual distractions, and irrelevant stimuli, factors that hinder sustained attention and elevate cognitive effort [8,10,11]. Within environmental psychology and human-centered design, the workplace is not treated as a neutral container but as an active modulator of cognitive and emotional functioning. Variables such as noise, crowding, and frequent interruptions have been linked to higher stress, greater fatigue, and lower perceived productivity [27,28]. However, much of this evidence relies on self-reported measures or broad performance indicators, leaving the direct impact of the physical environment on the cortical dynamics underlying everyday office tasks largely unexplored.
The physiological results provide a meaningful contribution by demonstrating that different spatial configurations produce distinct temporal profiles of cortical activation during the same office tasks. Even before the detailed EEG band analysis, the data revealed a progressive increase in neural effort in the open-plan office, whereas activation in the work pod adapted more efficiently to the intrinsic demands of the task. This pattern aligns with the widely discussed notion that enclosed microspaces can function as focus environments within dynamic open offices.
EEG analyses showed that identical office tasks elicited distinct temporal patterns of frontal and prefrontal activation depending on the spatial setting. In the open-plan office, all frequency bands increased throughout the session, with particularly strong rises in gamma and theta activity. In contrast, the work pod showed a general decrease in gamma, beta, and alpha power, accompanied by a relative increase in theta. Similarly, band-ratio indices (beta/alpha, beta/(alpha + theta), and gamma/beta) followed opposite trajectories across environments: increasing steadily in the open-plan office while changing only minimally in the work pod. Together, these results indicate that the same task demands progressively higher cortical activation in the open-plan office, whereas the work pod supports a lower activation profile. This interpretation is consistent with evidence characterizing open-plan offices as environments with more unwanted noise, visual distractions, and fewer opportunities to control interruptions, conditions linked to elevated stress and reduced concentration [8,10,11]. In contrast, enclosed microspaces are intentionally used as areas for concentration within more dynamic open environments [9]. From a neuroarchitecture perspective [33,34] our findings provide physiological evidence that spatial configuration not only modulates subjective perceptions of comfort or productivity [25,26], but also the underlying dynamics of cortical activation during routine office tasks.
Regarding H1, the temporal evolution of spectral power differed strongly between the two spatial conditions. In the open-plan office, generalized increases in theta, beta, and gamma across the session are consistent with a progressive recruitment of resources needed to sustain attention, sensory processing, working memory, and executive control in an environment filled with stimuli and distractors. Increases in beta are consistently linked to active cognitive engagement and the maintenance of alertness during sustained decision-making and monitoring tasks [44,45]. Frontal theta is associated with task-related processing (e.g., sustained attention, working memory, executive operations) as well as with the gradual accumulation of fatigue that accompanies such processes [49,53,82]. Gamma activity reflects information integration and higher-level operations, including the unification of distributed content and perceptual binding under high attentional load [50,51]. In this context, the strongest increases occurring in gamma and theta suggests that, even under the same high-demand task, the open-plan office requires maintaining a “high” processing mode beyond what the task strictly requires, likely to manage background visual and acoustic noise. This interpretation aligns with evidence showing that open-plan office noise and other environmental disruptions elevate mental workload and impede attentional restoration [5,27,28].
The work pod exhibited a nearly inverse temporal profile: gamma, beta, and alpha declined over time, while the relative contribution of theta increased. This pattern suggests that, after an initial period of adaptation, the same tasks can be sustained with lower levels of rapid cortical activation and a more economical control strategy. Reductions in alpha in task-relevant frontal regions are typically associated with cortical disinhibition and greater activation of processing networks, whereas increases in alpha appear when those regions become functionally inhibited [80,93]. Within this study, the decrease in frontal and prefrontal alpha inside an acoustic and visually protected environment suggests that cognitive resources can be allocated more selectively to listening, reading, and writing. The parallel increase in theta without a corresponding decline in performance is consistent with stable task regulation, working-memory and executive-monitoring processes, as widely documented in research on frontal and frontal-midline theta under sustained cognitive load [47,48,93]. The stronger increase in theta in the open-plan office suggests that both settings elicited comparable cognitive-set demands, but the open-plan office produced greater accumulation of fatigue due to continuous exposure to external stimuli [15]. Overall, the work pod exhibited reduced fast-band activation, more focused resource allocation, and a relatively stable attentional state, contrasting with the generalized “upscaling” observed in the open-plan office environment.
The band-ratio indices help to clarify these spatial differences [81,84], and more importantly, illustrate that the interpretation of slow/fast indices is inherently context dependent. Regarding H2, the beta/alpha ratio, widely used as a marker of cortical arousal in vigilance tasks, complex interface interaction and gaming [15,16], and recently as an index of cognitive load [83], showed a significant increase in the open-plan office, whereas in the work pod it exhibited a non-significant downward trend. Because both alpha and beta increased in the open-plan office, the increase in the ratio indicates beta grew proportionally more, consistent with a state of elevated fast-band activation on a background still retains meaningful alpha components. This resembles patterns described by Pope and colleagues [15] in high-engagement aviation tasks and by McMahan et al. [16] during high-intensity gaming events. In the work pod, the joint decrease in beta and alpha, without substantial changes in the ratio, suggests an adjustment toward a lower and more efficient level of arousal, adequate to sustain task performance without progressive escalation.
The beta/(alpha + theta) index, often used as an indicator of task engagement and sometimes included in flow-state models when maintained at intermediate values [15,16], showed a similar pattern: a significant increase in the open-plan office and a nonsignificant decline in the work pod. In the open-plan office, this rise indicates that fast-band activity becomes increasingly dominant over slower rhythms as the session progresses, consistent with heightened sustained engagement likely driven by the need for continuous hypervigilance in a disruptive environment. In the work pod, the slight decrease aligns with a scenario where tasks still require attention and control but can be performed at a progressively lower “cortical cost” due to reduced noise and visual distraction [9]. This facilitates habituation and partial automation, as observed in studies where practice reduces alpha desynchronization and increases the efficiency of involved networks [80].
This pattern becomes clearer when compared with inverse or related ratios, such as alpha/beta or (theta + alpha)/beta, which have been proposed as markers of cognitive load and fatigue in monotonous driving or vigilance tasks [83,84]. In those studies, increases in (theta + alpha)/beta typically result from reductions in beta and are associated with decreased arousal and slower responsiveness [84]. In this research, the slight reduction in beta/(alpha + theta) in the work pod seems to reflect functional habituation and reduced effort requirements. Conversely, in the open-plan office, both beta/alpha and beta/(alpha + theta) increased significantly, indicating a state of heightened vigilance load in which the system neither “switches off” nor transitions into monotony, but instead maintains elevated activation due to environmental demands. From an exploratory perspective, these findings show that slow/fast ratios cannot be interpreted independently of environmental context: the same ratio may increase due to beta suppression in a low-stimulation environment (indicating drowsiness) or due to beta amplification in a high-demand environment (indicating sustained hypervigilance).
The behavior of the gamma/beta ratio (H3) reinforces this context dependent interpretation. This ratio has been used as an exploratory indicator of the relative predominance of high-level integrative processes (gamma) over cognitive set maintenance and control mechanisms (beta), particularly in tasks involving working memory, demanding decision making, and narrative processing [17,54]. In the present investigation, the gamma/beta ratio increased markedly in the open-plan office but increased only modestly in the work pod. Because all spectral bands increased in the open-plan office, but gamma increased the most, the ratio’s elevation indicates that high-frequency activity grew disproportionately relative to beta. Although gamma band interpretation requires caution, recent reviews suggest that robust gamma increases in sensory and associative cortices reflect perceptual binding, memory matching, and the processing of salient information under high informational load [17,54]. In an open-plan office, where users must continuously filter irrelevant auditory and visual cues, a rising gamma/beta ratio may, therefore, indicate a sustained complex integrative processing and frequent network reconfiguration to manage environmental noise [75].
In contrast, both gamma and beta declined over time in the work pod, producing a largely stable gamma/beta ratio, indicative of a more “economical” cognitive state in terms of high-frequency resource expenditure [54]. In this scenario, tasks are sustained without the need for continuous reconfiguration or intensive binding of peripheral information. When considered together with the stability or slight reduction in arousal indices, this pattern supports the idea that the work pod facilitates a focused mode of work in which mental load is regulated by intrinsic task demands [86], rather than by additional environmental demands. This differs from monotonous fatigue paradigms [84], where increasing fatigue typically reduces gamma/beta and increases slow/fast ratios due to declines in fast band activity. Here, the coexistence of rising gamma/beta values and high arousal in the open-plan office suggests a state of sustained vigilant load and greater cognitive strain, whereas habituation and stabilization dominate in the work pod, reducing the need for simultaneous high mental load and high arousal.
Despite interpreting these EEG patterns as evidence of differences in cortical cost between open-plan office environments and individual work pods, several plausible alternative explanations should be acknowledged. Some of the temporal evolution may reflect task habituation, such as practice effects or reduced equipment novelty, independent of environmental influence. Expectations and strategies shaped by each setting (e.g., perceiving the pod as a “focus space”) may also modulate attentional control regardless of physical characteristics. Moreover, subtle movements and muscle tension can contaminate beta and gamma band power. Although basic signal checks were implemented, such contamination cannot be fully excluded. These alternatives do not undermine the observed pattern but underscore the need for cautious interpretation.
Overall, the findings reinforce the central notion that workspace configuration actively shapes cortical activation profiles during office tasks, and that slow/fast spectral indices, including classical workload and engagement ratios, must be interpreted within the broader dynamics of the underlying bands and the environmental context in which they arise. The same metric can reflect monotony related fatigue in a low stimulation environment or sustained hypervigilance in a high-demand environment. Distinguishing between these scenarios requires considering both spectral composition and environmental conditions. This nuance is particularly important for neuroarchitecture and evidence-based design, where the goal extends beyond creating “pleasant” environments to reducing unnecessary cortical effort in everyday cognitive work. The results suggest that work pods not only enhance perceived privacy and support concentration but also enable office tasks to be sustained with more efficient cortical activation patterns than those observed in open-plan settings, providing a neurophysiological justification for incorporating such spaces into predominantly open office layouts.
Limitations and Future Research Directions
Although the findings provide solid evidence regarding the impact of workspace typology on cortical activation during office-related cognitive tasks, several limitations must be considered, which in turn suggest possible directions for future research. Overall, this study should be understood as a preliminary, proof-of-concept investigation of neurophysiological differences between workspace typologies.
Firstly, the relatively small sample size (n = 26) and the short exposure time (15 min per condition) limit the generalizability of the results. Replication with larger samples and longer sessions that better reflect the dynamics of a real working day would help address this issue. In addition, on an exploratory basis, the analysis was limited to frontal and prefrontal cortical activity, due to their relevance to sustained attention and executive control, as well as to a limited number of EEG ratios. Future studies should incorporate additional cortical regions and a wider range of ratios related to mental workload. This would also allow the present approach to be complemented by incorporating topographic representations to explore the spatial distribution of cortical activity across a broader set of regions.
Secondly, although the tasks were standardized to ensure comparability across environments, they did not capture the social complexity and variability of real work, which often involves interruptions, interaction, and multitasking. Future research could therefore adopt more holistic paradigms, including collaborative work or dynamic scenarios.
Thirdly, in this study, the tasks were treated as stimuli promoting mental workload. However, a relevant line of future research would be to explore how task performance metrics (e.g., accuracy, reaction time) relate to EEG recordings. This approach could help determine whether higher mental workload is associated with correct task execution or, conversely, whether erroneous or less efficient task performance drives increased mental workload. To facilitate the interpretation of these findings, it would be useful to assess participants perceived task difficulty and their self-estimated performance outcomes through interviews or questionnaires. Furthermore, future investigations should systematically vary task difficulty to explore environment × task-type interaction effects. This would help clarify whether enclosed workspaces confer advantages for demanding cognitive operations or whether such advantages generalize across different office-related tasks.
Similarly, although the activity level in the open-plan workspace was kept constant for comparability, the study did not include quantitative monitoring of environmental parameters such as sound pressure levels (dB SPL), illuminance (lux), or personnel flow rates. The absence of these measurements limits the ability to link between specific environmental variables and EEG metrics. Future research should integrate multimodal environmental sensing (acoustic, luminous, thermal, and occupancy sensors) to more precisely characterize the physical conditions driving cognitive load.
Furthermore, the study only included two environmental conditions. Further work would benefit from expanding the number and typological diversity of environmental settings, as well as exploring different types of open-plan offices and enclosed pods. Incorporating continuous environmental measurements in upcoming studies would help address this issue and increase the interpretive precision of the findings.
Future research should also examine how specific design variables (e.g., enclosure, acoustic control, spatial depth, or visual privacy) contribute individually and interactively to cognitive load. A complementary direction involves extending this paradigm to longitudinal, real-world studies. Recent advances in portable EEG now make it possible to monitor workers across full workdays, enabling researchers to determine whether the acute neural patterns observed here persist with prolonged exposure and how they relate to well-being and performance.
Several EEG metrics showed larger standard deviations in the open-plan space, suggesting heterogeneous responses to the environment. It is reasonable to expect that individual variables act as moderators, for example, sensitivity to noise and interruptions, need for privacy, attentional traits, chronotype, or baseline fatigue, among others. Future studies with larger samples should explicitly model these interactions (environment × user profile) to identify for whom and under what conditions enclosed pods maximize cognitive efficiency.
From a methodological perspective, although classical spectral analysis proved effective, EEG signals are inherently nonlinear and high-dimensional. Future work could benefit from advanced nonlinear processing and machine-learning-based feature extraction to enhance robustness and temporal–frequency sensitivity, particularly in valid settings with ambient noise [94]. Advancing multimodal approaches that integrate EEG with environmental sensors and other physiological markers could also facilitate real-time modeling of cognitive load and environmental comfort.
Applying these approaches to the collaborative dimension of work through hyperscanning techniques could provide insights into how the environment shapes interpersonal coordination. Extending this line of research to other types of settings such as educational, healthcare, or residential environments would help accumulate knowledge in the field of neuroarchitecture and evidence-based design.
6. Conclusions
This work shows that the spatial configuration of the work environment modulates cortical activity associated with typical office-related cognitive tasks. Electroencephalographic recordings showed that identical tasks produce distinct temporal activation patterns depending on the workspace type, with a progressive increase in cognitive demand in the open-plan office and a sustained reduction in the pod workspace. These results indicate that the physical environment is not a neutral container but an active factor influencing the efficiency of cognitive processing.
The results highlight the potential of neuroarchitecture as a field capable of linking physiological evidence with the design of the built environment. Integrating EEG metrics into spatial analysis makes it possible to quantify the impact of architectural context on cognitive load, enabling a more precise understanding of the mechanisms through which spaces influence mental processes. This approach opens new opportunities for developing design strategies that minimize unnecessary cognitive demand and promote healthier, more efficient work environments.
From a design practice perspective, the findings suggest several actionable considerations for planning contemporary workplaces. The contrast observed between typologies highlights the importance of reducing common distractors through architectural means, especially acoustic control and visual shielding, as core design levers for cognitive-demanding work. In addition, the higher inter-individual variability observed in the open-plan condition suggests that offering spatial choice, rather than a single dominant typology, may better accommodate different user needs and sensitivities.
Looking ahead, systematically varying key architectural variables (degree of enclosure, acoustic attenuation, visual privacy, spatial proportions, materiality, and lighting), while combining EEG with quantitative environmental measurements, would help identify which combinations most reliably reduce unnecessary cognitive demand. Together, these developments can support evidence-based guidelines that enable architects and interior designers to specify, justify, and evaluate workplace well-being supportive microspaces with greater precision.
Author Contributions
Conceptualization, M.P.-M., R.B.-M., J.L.H.-T. and C.L.; methodology, M.P.-M., R.B.-M., J.L.H.-T. and C.L.; software, M.P.-M. and R.B.-M.; validation, M.P.-M., R.B.-M., J.L.H.-T. and C.L.; formal analysis, R.B.-M. and M.P.-M.; investigation, M.P.-M., R.B.-M., J.L.H.-T. and C.L.; resources, C.L.; data curation, M.P.-M. and R.B.-M.; writing—original draft preparation, R.B.-M. and M.P.-M.; writing—review and editing, J.L.H.-T., C.L., M.P.-M. and R.B.-M.; visualization, M.P.-M. and R.B.-M.; supervision, C.L. and J.L.H.-T.; project administration, C.L.; funding acquisition, C.L. All authors have read and agreed to the published version of the manuscript.
Funding
This research was funded by Generalitat Valenciana (Conselleria de Innovación, Universidades, Ciencia y Sociedad Digital), grant number CIAICO/2022/031. The second author is supported by the PREP2022-000026 grant, funded by MCIU/AEI/10.13039/501100011033 and the European Social Fund Plus (FSE).
Institutional Review Board Statement
The study was conducted in accordance with the Declaration of Helsinki and approved by the Institutional Review Board (or Ethics Committee) of the Universitat Politècnica de València (P1_25_07_18; 25 July 2018).
Informed Consent Statement
Written informed consent has been obtained from the participant to publish this paper.
Data Availability Statement
The data presented in this study are available on request from the corresponding author. The data are not publicly available due to the risk that disclosure could jeopardize the privacy of the individuals involved in the study.
Acknowledgments
The authors gratefully acknowledge ACTIU for in-kind support, including the provision of the work-pod and ancillary furniture used to build the experimental setting, as well as technical advice during installation and set-up. We also thank the Escuela Técnica Superior de Arquitectura (ETSA), Universitat Politècnica de València, for access to facilities, administrative and logistical support. Our sincere thanks go to all volunteers who took part in the study.
Conflicts of Interest
The authors declare no conflicts of interest.
References
- Kalgotra, P.; Sharda, R.; McHaney, R. Understanding the Impact of Interruptions on Knowledge Work: An Exploratory Neuroimaging Study. SSRN 2014. [Google Scholar] [CrossRef]
- Russell, E.; Jackson, T.W.; Fullman, M.; Chamakiotis, P. Getting on Top of Work-Email: A Systematic Review of 25 Years of Research to Understand Effective Work-Email Activity. J. Occup. Organ. Psychol. 2024, 97, 74–103. [Google Scholar] [CrossRef]
- Kern, M.; Ohly, S.; Ďuranová, L.; Friedrichs, J. Drowning in Emails: Investigating Email Classes and Work Stressors as Antecedents of High Email Load and Implications for Well-Being. Front. Psychol. 2024, 15, 1439070. [Google Scholar] [CrossRef]
- De Croon, E.M.; Sluiter, J.K.; Kuijer, P.P.F.M.; Frings-Dresen, M.H.W. The Effect of Office Concepts on Worker Health and Performance: A Systematic Review of the Literature. Ergonomics 2005, 48, 119–134. [Google Scholar] [CrossRef]
- Haapakangas, A.; Hallman, D.M.; Mathiassen, S.E.; Jahncke, H. Self-Rated Productivity and Employee Well-Being in Activity-Based Offices: The Role of Environmental Perceptions and Workspace Use. Build. Environ. 2018, 145, 115–124. [Google Scholar] [CrossRef]
- Haapakangas, A.; Hallman, D.M.; Bergsten, E.L. Office Design and Occupational Health—Has Research Been Left Behind? Scand. J. Work. Environ. Health 2023, 49, 1–4. [Google Scholar] [CrossRef] [PubMed]
- Kraus, S.; Bouncken, R.B.; Görmar, L.; González-Serrano, M.H.; Calabuig, F. Coworking Spaces and Makerspaces: Mapping the State of Research. J. Innov. Knowl. 2022, 7, 100161. [Google Scholar] [CrossRef]
- Richardson, A.; Potter, J.; Paterson, M.; Harding, T.; Tyler-Merrick, G.; Kirk, R.; Reid, K.; McChesney, J. Office Design and Health: A Systematic Review. N. Z. Med. J. 2017, 130, 39–49. [Google Scholar]
- Haapakangas, A.; Hongisto, V.; Varjo, J.; Lahtinen, M. Benefits of Quiet Workspaces in Open-Plan Offices—Evidence from Two Office Relocations. J. Environ. Psychol. 2018, 56, 63–75. [Google Scholar] [CrossRef]
- Kim, J.; de Dear, R. Workspace Satisfaction: The Privacy-Communication Trade-off in Open-Plan Offices. J. Environ. Psychol. 2013, 36, 18–26. [Google Scholar] [CrossRef]
- Candido, C.; Chakraborty, P.; Tjondronegoro, D. The Rise of Office Design in High-Performance, Open-Plan Environments. Buildings 2019, 9, 100. [Google Scholar] [CrossRef]
- Wang, X.; Li, D.; Menassa, C.C.; Kamat, V.R. Investigating the Effect of Indoor Thermal Environment on Occupants’ Mental Workload and Task Performance Using Electroencephalogram. Build. Environ. 2019, 158, 120–132. [Google Scholar] [CrossRef]
- Sander, E.J.; Marques, C.; Birt, J.; Stead, M.; Baumann, O. Open-Plan Office Noise Is Stressful: Multimodal Stress Detection in a Simulated Work Environment. J. Manag. Organ. 2021, 27, 1021–1037. [Google Scholar] [CrossRef]
- Pieper, K.; Spang, R.P.; Prietz, P.; Möller, S.; Paajanen, E.; Vaalgamaa, M.; Voigt-Antons, J.N. Working with Environmental Noise and Noise-Cancelation: A Workload Assessment With EEG and Subjective Measures. Front. Neurosci. 2021, 15, 771533. [Google Scholar] [CrossRef]
- Pope, A.T.; Bogart, E.H.; Bartolome, D.S. Biocybernetic System Evaluates Indices of Operator Engagement in Automated Task. Biol. Psychol. 1995, 40, 187–195. [Google Scholar] [CrossRef] [PubMed]
- McMahan, T.; Parberry, I.; Parsons, T.D. Evaluating Player Task Engagement and Arousal Using Electroencephalography. Procedia Manuf. 2015, 3, 2303–2310. [Google Scholar] [CrossRef]
- Chauhan, S.; Choudhary, G.; Bhavsar, A.; Dutt, V. An EEG-Based Study Investigating Cognitive and Behavioral Reactions to Indian Knowledge System Narratives in Virtual Reality. Res. Publ. Connect. 2025, 2, 1012–1019. [Google Scholar] [CrossRef]
- Bernstein, E.S.; Turban, S. The Impact of the ‘Open’ Workspace on Human Collaboration. Philos. Trans. R. Soc. B Biol. Sci. 2018, 373, 20170239. [Google Scholar] [CrossRef]
- Bouncken, R.B.; Reuschl, A.J. Coworking-Spaces: How a Phenomenon of the Sharing Economy Builds a Novel Trend for the Workplace and for Entrepreneurship. Rev. Manag. Sci. 2016, 12, 317–334. [Google Scholar] [CrossRef]
- Spinuzzi, C. Working Alone Together: Coworking as Emergent Collaborative Activity. J. Bus. Tech. Commun. 2012, 26, 399–441. [Google Scholar] [CrossRef]
- Danielsson, B.C.; Bodin, L. Office Type in Relation to Health, Well-Being, and Job Satisfaction among Employees. Environ. Behav. 2008, 40, 636–668. [Google Scholar] [CrossRef]
- De Been, I.; Beijer, M. The Influence of Office Type on Satisfaction and Perceived Productivity Support. J. Facil. Manag. 2014, 12, 142–157. [Google Scholar] [CrossRef]
- Seddigh, A.; Berntson, E.; Bodin Danielson, C.; Westerlund, H. Concentration Requirements Modify the Effect of Office Type on Indicators of Health and Performance. J. Environ. Psychol. 2014, 38, 167–174. [Google Scholar] [CrossRef]
- Appel-Meulenbroek, R.; Janssen, I.; Groenen, P. An End-user’s Perspective on Activity-based Office Concepts. J. Corp. Real. Estate 2011, 13, 122–135. [Google Scholar] [CrossRef]
- Gifford, R.; Steg, L.; Reser, J.P. Environmental Psychology. In IAAP Handbook of Applied Psychology; Wiley: Hoboken, NJ, USA, 2011; pp. 440–470. [Google Scholar] [CrossRef]
- Evans, G.W.; McCoy, J.M. When Buildings Don’t Work: The Role of Architecture in Human Health. J. Environ. Psychol. 1998, 18, 85–94. [Google Scholar] [CrossRef]
- Jahncke, H.; Hygge, S.; Halin, N.; Green, A.M.; Dimberg, K. Open-Plan Office Noise: Cognitive Performance and Restoration. J. Environ. Psychol. 2011, 31, 373–382. [Google Scholar] [CrossRef]
- Evans, G.W.; Johnson, D. Stress and Open-Office Noise. J. Appl. Psychol. 2000, 85, 779–783. [Google Scholar] [CrossRef]
- Frontczak, M.; Wargocki, P. Literature Survey on How Different Factors Influence Human Comfort in Indoor Environments. Build. Environ. 2011, 46, 922–937. [Google Scholar] [CrossRef]
- Hamilton, D.K.; Watkins, D.H. Evidence-Based Design for Multiple Building Types; John Wiley & Sons, Inc.: Hoboken, NJ, USA, 2009; ISBN 978-0-470-12934-0. [Google Scholar]
- Ulrich, R.S.; Zimring, C.; Zhu, X.; DuBose, J.; Seo, H.B.; Choi, Y.S.; Quan, X.; Joseph, A. A Review of the Research Literature on Evidence-Based Healthcare Design. HERD Health Environ. Res. Des. J. 2008, 1, 61–125. [Google Scholar] [CrossRef]
- Semprini, G.; Secchi, S.; Jahanbin, A.; Suryo, S.; Ichinose, M.; Kuroda, Y.; Alkhalaf, H. An Investigation of Indoor Environment Quality on Occupants’ Thermal Responses, Health, and Productivity: A Study Based on Physiological Data in Occupied Office Space. Buildings 2024, 14, 3562. [Google Scholar] [CrossRef]
- Coburn, A.; Vartanian, O.; Chatterjee, A. Buildings, Beauty, and the Brain: A Neuroscience of Architectural Experience. J. Cogn. Neurosci. 2017, 29, 1521–1531. [Google Scholar] [CrossRef]
- Higuera-Trujillo, J.L.; Llinares, C.; Macagno, E. The Cognitive-Emotional Design and Study of Architectural Space: A Scoping Review of Neuroarchitecture and Its Precursor Approaches. Sensors 2021, 21, 2193. [Google Scholar] [CrossRef] [PubMed]
- Rolfö, L.V. Relocation to an Activity-Based Flexible Office—Design Processes and Outcomes. Appl. Ergon. 2018, 73, 141–150. [Google Scholar] [CrossRef]
- Paas, F.G.W.C.; Van Merriënboer, J.J.G. Instructional Control of Cognitive Load in the Training of Complex Cognitive Tasks. Educ. Psychol. Rev. 1994, 6, 351–371. [Google Scholar] [CrossRef]
- Wickens, C.D. Multiple Resources and Mental Workload. Hum. Factors 2008, 50, 449–455. [Google Scholar] [CrossRef]
- Salvucci, D.D.; Taatgen, N.A. The Multitasking Mind; Oxford University Press: Oxford, UK, 2011. [Google Scholar]
- Baddeley, A. Working Memory: Theories, Models, and Controversies. Annu. Rev. Psychol. 2012, 63, 1–29. [Google Scholar] [CrossRef]
- Joo, M.; Im, J.B.; Lee, K.T.; Kim, J.H. Comparative Analysis of Work Performance and Physiological Response Based on Office Types and Indoor Space Design. In Architectural Engineering and Design Management; Tayior & Francis: Abingdon, UK, 2025. [Google Scholar] [CrossRef]
- Houthoofd, S.A.M.K.; Morrens, M.; Sabbe, B.G.C. Cognitive and Psychomotor Effects of Risperidone in Schizophrenia and Schizoaffective Disorder. Clin. Ther. 2008, 30, 1565–1589. [Google Scholar] [CrossRef] [PubMed]
- Gevins, A.; Smith, M.E. Neurophysiological Measures of Working Memory and Individual Differences in Cognitive Ability and Cognitive Style. Cereb. Cortex 2000, 10, 829–839. [Google Scholar] [CrossRef]
- Klimesch, W.; Sauseng, P.; Hanslmayr, S. EEG alpha oscillations: The inhibition–timing hypothesis. Brain Res. Rev. 2007, 53, 63–88. [Google Scholar] [CrossRef]
- Gola, M.; Magnuski, M.; Szumska, I.; Wróbel, A. EEG Beta Band Activity Is Related to Attention and Attentional Deficits in the Visual Performance of Elderly Subjects. Int. J. Psychophysiol. 2013, 89, 334–341. [Google Scholar] [CrossRef]
- Ray, W.J.; Cole, H.W. EEG Alpha Activity Reflects Attentional Demands, and Beta Activity Reflects Emotional and Cognitive Processes. Science 1985, 228, 750–752. [Google Scholar] [CrossRef] [PubMed]
- Jensen, O.; Tesche, C.D. Frontal theta activity in humans increases with memory load in a working memory task. Eur. J. Neurosci. 2002, 15, 1395–1399. [Google Scholar] [CrossRef] [PubMed]
- Nyhus, E.; Curran, T. Functional Role of Gamma and Theta Oscillations in Episodic Memory. Neurosci. Biobehav. Rev. 2010, 34, 1023–1035. [Google Scholar] [CrossRef]
- Mitchell, D.J.; McNaughton, N.; Flanagan, D.; Kirk, I.J. Frontal-Midline Theta from the Perspective of Hippocampal “Theta”. Prog. Neurobiol. 2008, 86, 156–185. [Google Scholar] [CrossRef]
- Wascher, E.; Rasch, B.; Sänger, J.; Hoffmann, S.; Schneider, D.; Rinkenauer, G.; Heuer, H.; Gutberlet, I. Frontal Theta Activity Reflects Distinct Aspects of Mental Fatigue. Biol. Psychol. 2014, 96, 57–65. [Google Scholar] [CrossRef]
- Tallon-Baudry, C.; Bertrand, O. Oscillatory Gamma Activity in Humans and Its Role in Object Representation. Trends Cogn. Sci. 1999, 3, 151–162. [Google Scholar] [CrossRef]
- Herrmann, C.S.; Fründ, I.; Lenz, D. Human Gamma-Band Activity: A Review on Cognitive and Behavioral Correlates and Network Models. Neurosci. Biobehav. Rev. 2010, 34, 981–992. [Google Scholar] [CrossRef]
- Kim, S.; Park, H.; Choo, S. Effects of Changes to Architectural Elements on Human Relaxation-Arousal Responses: Based on VR and EEG. Int. J. Environ. Res. Public Health 2021, 18, 4305. [Google Scholar] [CrossRef]
- Holm, A.; Lukander, K.; Korpela, J.; Sallinen, M.; Müller, K.M.I. Estimating Brain Load from the EEG. Sci. World J. 2009, 9, 639–651. [Google Scholar] [CrossRef]
- Chauhan, S.; Aggarwal, P.; Dutt, V. Brains and Bots: EEG Insights into Moral Learning with Social Robots and Text-Based Methods. Proc. Hum. Factors Ergon. Soc. Annu. Meet. 2025, 69, 327–332. [Google Scholar] [CrossRef]
- Brookings, J.B.; Wilson, G.F.; Swain, C.R. Psychophysiological Responses to Changes in Workload during Simulated Air Traffic Control. Biol. Psychol. 1996, 42, 361–377. [Google Scholar] [CrossRef] [PubMed]
- Borghini, G.; Astolfi, L.; Vecchiato, G.; Mattia, D.; Babiloni, F. Measuring Neurophysiological Signals in Aircraft Pilots and Car Drivers for the Assessment of Mental Workload, Fatigue and Drowsiness. Neurosci. Biobehav. Rev. 2014, 44, 58–75. [Google Scholar] [CrossRef] [PubMed]
- Kamzanova, A.T.; Kustubayeva, A.M.; Matthews, G. Use of EEG Workload Indices for Diagnostic Monitoring of Vigilance Decrement. Hum. Factors 2014, 56, 1136–1149. [Google Scholar] [CrossRef]
- Berka, C.; Levendowski, D.; Lumicao, M.N.; Yau, A.; Davis, G.; Zivkovic, V.T.; Olmstead, R.; Tremoulet, P.D.; Craven, P.L. EEG Correlates of Task Engagement and Mental Workload in Vigilance, Learning, and Memory Tasks. Aviat. Space Environ. Med. 2007, 78, B231–B244. [Google Scholar]
- Aspinall, P.; Mavros, P.; Coyne, R.; Roe, J. The Urban Brain: Analysing Outdoor Physical Activity with Mobile EEG. Br. J. Sports Med. 2015, 49, 272–276. [Google Scholar] [CrossRef]
- Ladouce, S.; Donaldson, D.I.; Dudchenko, P.A.; Ietswaart, M. Mobile EEG Identifies the Re-Allocation of Attention during Real-World Activity. Sci. Rep. 2019, 9, 15851. [Google Scholar] [CrossRef]
- Llinares, C.; Higuera-Trujillo, J.L.; Serra, J. Cold and Warm Coloured Classrooms. Effects on Students’ Attention and Memory Measured through Psychological and Neurophysiological Responses. Build. Environ. 2021, 196, 107726. [Google Scholar] [CrossRef]
- Llinares Millán, C.; Higuera-Trujillo, J.L.; Montañana i Aviñó, A.; Torres, J.; Sentieri, C. The Influence of Classroom Width on Attention and Memory: Virtual-Reality-Based Task Performance and Neurophysiological Effects. Build. Res. Inf. 2021, 49, 813–826. [Google Scholar] [CrossRef]
- Castilla, N.; Higuera-Trujillo, J.L.; Llinares, C. The Effects of Illuminance on Students’ Memory. A Neuroarchitecture Study. Build. Environ. 2023, 228, 109833. [Google Scholar] [CrossRef]
- Welch, P.D. The Use of Fast Fourier Transform for the Estimation of Power Spectra: A Method Based on Time Averaging Over Short, Modified Periodograms. IEEE Trans. Audio Electroacoust. 1967, 15, 70–73. [Google Scholar] [CrossRef]
- Seidman, L.J.; Goldstein, J.M.; O’Craven, K.; Savoy, R.; Breiter, H.C.; Goodman, J.M.; Woodruff, P.W.R.; Tsuang, M.T.; Rosen, B.R. A Functional Magnetic Resonance Imaging Study of Auditory Vigilance with Low and High Information Processing Demands. Neuropsychology 1998, 12, 505–518. [Google Scholar] [CrossRef]
- Alonso, M.Á.; Fernández, Á.; Díez, E.; Beato, M.S. Índices de Producción de Falso Recuerdo y Falso Reconocimiento Para 55 Listas de Palabras En Castellano. Psicothema 2004, 16, 357–362. [Google Scholar]
- Gevins, A.; Smith, M.E. Neurophysiological Measures of Cognitive Workload during Human-Computer Interaction. Theor. Issues Ergon. Sci. 2003, 4, 113–131. [Google Scholar] [CrossRef]
- Delorme, A.; Makeig, S. EEGLAB: An Open Source Toolbox for Analysis of Single-Trial EEG Dynamics Including Independent Component Analysis. J. Neurosci. Methods 2004, 134, 9–21. [Google Scholar] [CrossRef] [PubMed]
- Gudmundsson, S.; Runarsson, T.P.; Sigurdsson, S.; Eiriksdottir, G.; Johnsen, K. Reliability of Quantitative EEG Features. Clin. Neurophysiol. 2007, 118, 2162–2171. [Google Scholar] [CrossRef] [PubMed]
- Delorme, A.; Makeig, S.; Sejnowski, T. Automatic Artifact Rejection for EEG Data Using High-Order Statistics and Independent Component Analysis. In Proceedings of the Third International ICA Conference, San Diego, CA, USA, 9–13 December 2001; pp. 9–12. [Google Scholar]
- Li, J.; Jin, Y.; Lu, S.; Wu, W.; Wang, P. Building Environment Information and Human Perceptual Feedback Collected through a Combined Virtual Reality (VR) and Electroencephalogram (EEG) Method. Energy Build. 2020, 224, 110259. [Google Scholar] [CrossRef]
- Zhang, N.; Liu, C.; Li, J.; Hou, K.; Shi, J.; Gao, W. A Comprehensive Review of Research on Indoor Cognitive Performance Using Electroencephalogram Technology. Build. Environ. 2024, 257, 111555. [Google Scholar] [CrossRef]
- Choi, Y.; Kim, M.; Chun, C. Measurement of Occupants’ Stress Based on Electroencephalograms (EEG) in Twelve Combined Environments. Build. Environ. 2015, 88, 65–72. [Google Scholar] [CrossRef]
- Banaei, M.; Hatami, J.; Yazdanfar, A.; Gramann, K. Walking through Architectural Spaces: The Impact of Interior Forms on Human Brain Dynamics. Front. Hum. Neurosci. 2017, 11, 289961. [Google Scholar] [CrossRef]
- Herrmann, C.S.; Munk, M.H.J.; Engel, A.K. Cognitive Functions of Gamma-Band Activity: Memory Match and Utilization. Trends Cogn. Sci. 2004, 8, 347–355. [Google Scholar] [CrossRef]
- Mathewson, K.E.; Lleras, A.; Beck, D.M.; Fabiani, M.; Ro, T.; Gratton, G. Pulsed out of Awareness: EEG Alpha Oscillations Represent a Pulsed-Inhibition of Ongoing Cortical Processing. Front. Psychol. 2011, 2, 10619. [Google Scholar] [CrossRef]
- Engel, A.K.; Fries, P. Beta-Band Oscillations—Signalling the Status Quo? Curr. Opin. Neurobiol. 2010, 20, 156–165. [Google Scholar] [CrossRef]
- Luijmes, R.E.; Pouwels, S.; Boonman, J. The Effectiveness of Neurofeedback on Cognitive Functioning in Patients with Alzheimer’s Disease: Preliminary Results. Neurophysiol. Clin. Clin. Neurophysiol. 2016, 46, 179–187. [Google Scholar] [CrossRef]
- Vanhollebeke, G.; De Smet, S.; De Raedt, R.; Baeken, C.; van Mierlo, P.; Vanderhasselt, M.A. The Neural Correlates of Psychosocial Stress: A Systematic Review and Meta-Analysis of Spectral Analysis EEG Studies. Neurobiol. Stress 2022, 18, 100452. [Google Scholar] [CrossRef] [PubMed]
- Klimesch, W. EEG Alpha and Theta Oscillations Reflect Cognitive and Memory Performance: A Review and Analysis. Brain Res. Rev. 1999, 29, 169–195. [Google Scholar] [CrossRef]
- Cavanagh, J.F.; Frank, M.J. Frontal theta as a mechanism for cognitive control. Trends Cogn. Sci. 2014, 18, 414–421. [Google Scholar] [CrossRef] [PubMed]
- Käthner, I.; Wriessnegger, S.C.; Müller-Putz, G.R.; Kübler, A.; Halder, S. Effects of Mental Workload and Fatigue on the P300, Alpha and Theta Band Power during Operation of an ERP (P300) Brain–Computer Interface. Biol. Psychol. 2014, 102, 118–129. [Google Scholar] [CrossRef]
- Pereira, A.R.; Sampaio, A.; McGlone, F.; González-Villar, A.J. Neurophysiological Responses to Vicarious Affective Touch: An Electroencephalography (EEG) Study. Eur. J. Neurosci. 2025, 61, e70099. [Google Scholar] [CrossRef] [PubMed]
- Jap, B.T.; Lal, S.; Fischer, P.; Bekiaris, E. Using EEG Spectral Components to Assess Algorithms for Detecting Fatigue. Expert. Syst. Appl. 2009, 36, 2352–2359. [Google Scholar] [CrossRef]
- Barry, R.J.; Clarke, A.R.; Johnstone, S.J.; Magee, C.A.; Rushby, J.A. EEG Differences between Eyes-Closed and Eyes-Open Resting Conditions. Clin. Neurophysiol. 2007, 118, 2765–2773. [Google Scholar] [CrossRef]
- Oken, B.S.; Salinsky, M.C.; Elsas, S.M. Vigilance, Alertness, or Sustained Attention: Physiological Basis and Measurement. Clin. Neurophysiol. 2006, 117, 1885–1901. [Google Scholar] [CrossRef]
- Maris, E.; Oostenveld, R. Nonparametric Statistical Testing of EEG- and MEG-Data. J. Neurosci. Methods 2007, 164, 177–190. [Google Scholar] [CrossRef]
- Tukey, J.W..; Anscombe, F.R..; Hoaglin, D.C. Exploratory Data Analysis; Addison-Wesley Publishing Company: Boston, MA, USA, 1977; ISBN 0201076160. [Google Scholar]
- Wilcoxon, F. Individual Comparisons by Ranking Methods. Biom. Bull. 1945, 1, 80. [Google Scholar] [CrossRef]
- Kerby, D.S. The Simple Difference Formula: An Approach to Teaching Nonparametric Correlation. Compr. Psychol. 2014, 3, 11.IT. [Google Scholar] [CrossRef]
- Benjamini, Y.; Hochberg, Y. Controlling the False Discovery Rate: A Practical and Powerful Approach to Multiple Testing. J. R. Stat. Soc. Ser. B 1995, 57, 289–300. [Google Scholar] [CrossRef]
- Neubauer, A.C.; Fink, A. Intelligence and Neural Efficiency. Neurosci. Biobehav. Rev. 2009, 33, 1004–1023. [Google Scholar] [CrossRef]
- Gevins, A.; Smith, M.E.; McEvoy, L.; Yu, D. High-Resolution EEG Mapping of Cortical Activation Related to Working Memory: Effects of Task Difficulty, Type of Processing, and Practice. Cereb. Cortex 1997, 7, 374–385. [Google Scholar] [CrossRef] [PubMed]
- Wang, F.; Ke, H.; Cai, C. Deep Wavelet Self-Attention Non-Negative Tensor Factorization for Non-Linear Analysis and Classification of FMRI Data. Appl. Soft Comput. 2025, 182, 113522. [Google Scholar] [CrossRef]
Disclaimer/Publisher’s Note: The statements, opinions and data contained in all publications are solely those of the individual author(s) and contributor(s) and not of MDPI and/or the editor(s). MDPI and/or the editor(s) disclaim responsibility for any injury to people or property resulting from any ideas, methods, instructions or products referred to in the content. |
© 2025 by the authors. Licensee MDPI, Basel, Switzerland. This article is an open access article distributed under the terms and conditions of the Creative Commons Attribution (CC BY) license.






