Sign in to use this feature.

Years

Between: -

Subjects

remove_circle_outline
remove_circle_outline
remove_circle_outline
remove_circle_outline
remove_circle_outline
remove_circle_outline
remove_circle_outline
remove_circle_outline
remove_circle_outline

Journals

remove_circle_outline
remove_circle_outline
remove_circle_outline
remove_circle_outline
remove_circle_outline

Article Types

Countries / Regions

remove_circle_outline
remove_circle_outline
remove_circle_outline
remove_circle_outline

Search Results (723)

Search Parameters:
Keywords = classification anomaly detection

Order results
Result details
Results per page
Select all
Export citation of selected articles as:
26 pages, 977 KB  
Article
KE-MLLM: A Knowledge-Enhanced Multi-Sensor Learning Framework for Explainable Fake Review Detection
by Jiaying Chen, Jingyi Liu, Yiwen Liang and Mengjie Zhou
Appl. Sci. 2026, 16(6), 2909; https://doi.org/10.3390/app16062909 - 18 Mar 2026
Viewed by 68
Abstract
The proliferation of fake reviews on e-commerce and social platforms has severely undermined consumer trust and market integrity, necessitating robust and interpretable real-time detection mechanisms with multi-sensor data fusion capabilities. While traditional machine learning approaches have shown promise in identifying fraudulent reviews, they [...] Read more.
The proliferation of fake reviews on e-commerce and social platforms has severely undermined consumer trust and market integrity, necessitating robust and interpretable real-time detection mechanisms with multi-sensor data fusion capabilities. While traditional machine learning approaches have shown promise in identifying fraudulent reviews, they often lack transparency and fail to leverage the rich contextual knowledge embedded in large-scale datasets. In this paper, we propose KE-MLLM (Knowledge-Enhanced Multimodal Large Language Model), a unified framework that integrates knowledge-enhanced prompting with parameter-efficient fine-tuning for explainable fake review detection. Our approach employs LoRA (Low-Rank Adaptation) to fine-tune lightweight large language models (LLaMA-3-8B) on review text, while incorporating multimodal behavioral sensor signals including temporal patterns, user metadata, and social network characteristics for comprehensive anomaly sensing. To address the critical need for interpretability in fraud detection systems, we implement a Chain-of-Thought (CoT) reasoning module that generates human-understandable explanations for classification decisions, highlighting linguistic anomalies, sentiment inconsistencies, and behavioral red flags. We enhance the model’s discriminative capability through a knowledge distillation strategy that transfers domain-specific expertise from larger teacher models while maintaining computational efficiency suitable for edge sensing devices. Extensive experiments on two benchmark datasets—YelpChi and Amazon Reviews from the DGL Fraud Dataset—show that KE-MLLM achieves strong performance, reaching an F1-score of 94.3% and an AUC-ROC of 96.7% on YelpChi and outperforming the strongest baseline in our comparison by 5.8 and 4.2 percentage points, respectively. Furthermore, human evaluation indicates that the generated explanations achieve 89.5% consistency with expert annotations, suggesting that the framework can improve the interpretability and practical usefulness of automated fraud detection systems. The proposed framework provides a useful step toward more accurate and interpretable fake review detection and offers a practical reference for building more transparent and accountable AI systems in high-stakes applications. Full article
Show Figures

Figure 1

23 pages, 5091 KB  
Article
Multiclass Anomaly Detection in Bridge Health Monitoring Data via Attention Enhancement and Class Imbalance Mitigation
by Wenda Ma, Qizhi Tang, Lei Huang and Shihao Zhang
Buildings 2026, 16(6), 1181; https://doi.org/10.3390/buildings16061181 - 17 Mar 2026
Viewed by 180
Abstract
Bridge structural health monitoring (BSHM) systems are essential for assessing the operational performance and safety of long-span bridges. However, monitoring data are often affected by factors such as sensor malfunctions, environmental disturbances, or power interruptions, leading to various anomalous data. Moreover, the multiclass [...] Read more.
Bridge structural health monitoring (BSHM) systems are essential for assessing the operational performance and safety of long-span bridges. However, monitoring data are often affected by factors such as sensor malfunctions, environmental disturbances, or power interruptions, leading to various anomalous data. Moreover, the multiclass imbalance of the data presents a major challenge to traditional anomaly detection methods. To address this issue, a novel multiclass anomaly detection method based on an improved deep convolutional neural network is proposed. Specifically, a ResNet50 architecture integrated with the convolutional block attention module (CBAM) is developed to enhance the extraction of discriminative features. Additionally, the Focal Loss function is introduced to emphasize the loss weight of minority samples, reducing the influence of majority classes, thereby effectively overcoming the class imbalance issue in multiclass anomaly detection. The proposed method is trained and validated using measured acceleration data collected from a large-scale cable-stayed bridge. The experimental results indicate that the model achieves an overall accuracy of 98.28%, while effectively improving the classification performance of minority categories. The method further reproduces the spatiotemporal distribution of anomalies in full-month monitoring data, confirming its robustness and engineering applicability for large-scale automated anomaly diagnosis in BSHM systems. Full article
Show Figures

Figure 1

21 pages, 832 KB  
Article
TSPADS: A Transformer-Based System for Proactive Student Physical Health Monitoring
by Hanzi Zhu, Minghao Li, Xin Jiang, Qian Chen, Shiheng Ma, Xiaolei Zhang, Huiying Xu and Xinzhong Zhu
Appl. Sci. 2026, 16(6), 2851; https://doi.org/10.3390/app16062851 - 16 Mar 2026
Viewed by 131
Abstract
With the continuous growth in the scale of student physical health (SPH) monitoring data, annually sampled time-series records provide a valuable foundation for risk early warning. However, traditional models often fail to capture multi-year developmental trajectories of individuals, resulting in delayed intervention for [...] Read more.
With the continuous growth in the scale of student physical health (SPH) monitoring data, annually sampled time-series records provide a valuable foundation for risk early warning. However, traditional models often fail to capture multi-year developmental trajectories of individuals, resulting in delayed intervention for students at potential health risk. This study aims to develop a Transformer-based Student Physical Anomaly Detection System (TSPADS), which is a dedicated intelligent software system to enable effective and timely anomaly detection in SPH data. The proposed TSPADS is built on the Transformer architecture and incorporates a novel masked anomaly-attention mechanism to learn implicit long-span dependencies in SPH data. A density-based clustering algorithm is then applied to distinguish anomalies and automatically generate hierarchical warning signals. Comprehensive experiments were conducted on a public multimodal movement and health dataset. The results demonstrate that TSPADS achieves high effectiveness and efficiency in both anomaly detection and classification tasks. The system shows strong potential to assist educational administrators and physical education teachers in providing timely, personalized health guidance, thereby addressing a critical gap in existing student health monitoring approaches. Full article
(This article belongs to the Section Computing and Artificial Intelligence)
Show Figures

Figure 1

36 pages, 10741 KB  
Article
Remote Sensing Recognition Framework for Straw Burning Integrating Spatio-Temporal Weights and Semi-Supervised Learning
by Xiangguo Lyu, Hui Chen, Ye Tian, Change Zheng and Guolei Chen
Remote Sens. 2026, 18(6), 903; https://doi.org/10.3390/rs18060903 - 15 Mar 2026
Viewed by 225
Abstract
Straw burning is a major source of regional air pollution. However, its reliable remote sensing detection faces problems in distinguishing agricultural fires from non-agricultural thermal anomalies, adequately leveraging burning seasonality, and overcoming the scarcity of pixel-level annotations. To comprehensively address these issues, this [...] Read more.
Straw burning is a major source of regional air pollution. However, its reliable remote sensing detection faces problems in distinguishing agricultural fires from non-agricultural thermal anomalies, adequately leveraging burning seasonality, and overcoming the scarcity of pixel-level annotations. To comprehensively address these issues, this study proposes an end-to-end framework for straw burning identification that integrates spatio-temporal weighting and semi-supervised learning. The framework introduces a data-driven spatial weight optimization method to automatically learn discriminative weights for diverse land cover types (e.g., farmland, industry), replacing subjective empirical settings. Furthermore, a temporal weighting model, developed using Kernel Density Estimation, dynamically adjusts classification confidence according to historical burning seasonality, enhancing recall during peak seasons while suppressing off-season false positives. Finally, an adapted Dual-Backbone Dynamic Mutual Training (DB-DMT) strategy collaboratively leverages both limited labeled (24.5%) and abundant unlabeled (75.5%) high-resolution imagery, significantly improving model generalization in label-scarce scenarios. Validation across five representative regions of China demonstrated the framework’s superior performance, achieving a semantic segmentation mean Intersection over Union (mIoU) improvement of 3.33% (to 71.92%) and increasing precision in Henan from 95.21% to 97.71%. Crucially, the framework effectively reduced the off-season false positive rate (FPR) from 5.14% to a mere 0.23% in highly industrialized regions like Tianjin. By systematically mitigating both spatial geolocation bias and seasonal phenology confusion, our approach offers a robust and scalable solution for straw burning monitoring and a transferable paradigm for other environmental remote sensing applications. Full article
Show Figures

Figure 1

45 pages, 9532 KB  
Review
Advances, Challenges, and Recommendations for Non-Destructive Testing Technologies for Wind Turbine Blade Damage: A Review of the Literature from the Past Decade
by Guodong Qin, Yongchang Jin, Lizheng Qiao and Zhenyu Wu
Sensors 2026, 26(6), 1773; https://doi.org/10.3390/s26061773 - 11 Mar 2026
Viewed by 247
Abstract
As critical components of wind energy systems, the structural integrity of wind turbine blades is directly tied to the operational safety and economic performance of wind turbines. With blade designs trending toward larger and more flexible structures and operating environments becoming increasingly harsh, [...] Read more.
As critical components of wind energy systems, the structural integrity of wind turbine blades is directly tied to the operational safety and economic performance of wind turbines. With blade designs trending toward larger and more flexible structures and operating environments becoming increasingly harsh, maintenance strategies must urgently shift from reactive approaches to predictive maintenance paradigms. From an engineering application perspective, this study conducts a systematic and critical review of non-destructive testing (NDT) and structural health monitoring (SHM) technologies for wind turbine blades. Drawing on the literature published over the past decade, we examine the field applicability, limitations, and engineering challenges of core NDT techniques—including vision-based methods, acoustic approaches, vibration analysis, ultrasound, and infrared thermography. Particular emphasis is placed on the integration of data-driven approaches with engineering practice, evaluating the role of machine learning in fault classification and anomaly diagnosis, as well as the contributions of deep learning to automated defect detection in image and signal data. Moreover, this paper critically discusses the growing use of robotic inspection platforms, such as unmanned aerial vehicles and climbing robots, as multi-sensor carriers enabling rapid and comprehensive blade assessment. By comparatively analyzing detection performance, cost, and automation levels across technologies, we identify key engineering barriers, including environmental noise robustness, signal attenuation within complex blade structures, and the persistent gap between laboratory methods and field deployment. Finally, we outline forward-looking research directions, encompassing multi-modal sensor fusion, edge computing for real-time diagnostics, and the development of standardized SHM systems aimed at supporting full lifecycle blade management. Full article
(This article belongs to the Section Fault Diagnosis & Sensors)
Show Figures

Figure 1

14 pages, 3131 KB  
Article
Prenatal Classification and Perinatal Outcomes of Fetal Umbilical–Portal–Systemic Venous Shunts: A Tertiary Center Experience
by Kubra Kurt Bilirer, Hale Özer Caltek, Tuğçe Arslanoğlu, Fırat Ersan and Hakan Erenel
Diagnostics 2026, 16(6), 829; https://doi.org/10.3390/diagnostics16060829 - 11 Mar 2026
Viewed by 170
Abstract
Background/Objectives: Umbilical–portal–systemic venous shunts (UPSVS) are rare fetal vascular anomalies with heterogeneous embryologic origins and variable perinatal implications. Although prenatal diagnosis has increased with advances in fetal imaging, data correlating prenatal subclassification with structural/genetic abnormalities and neonatal outcomes remain limited. Methods: [...] Read more.
Background/Objectives: Umbilical–portal–systemic venous shunts (UPSVS) are rare fetal vascular anomalies with heterogeneous embryologic origins and variable perinatal implications. Although prenatal diagnosis has increased with advances in fetal imaging, data correlating prenatal subclassification with structural/genetic abnormalities and neonatal outcomes remain limited. Methods: This retrospective study included 50 fetuses prenatally diagnosed with UPSVS at a tertiary referral perinatology center between 2021 and 2025. Cases were subclassified according to the Achiron prenatal classification into Type 1 umbilical–systemic shunt (USS), Type 2 ductus venosus–systemic shunt (DVSS), Type 3a intrahepatic portosystemic shunt (IHPSS), and Type 3b extrahepatic portosystemic shunt (EHPSS). Prenatal ultrasound, Doppler, fetal echocardiography, and genetic testing (karyotype and chromosomal microarray) were analyzed. Perinatal metrics—including structural/genetic anomalies, fetal growth restriction (FGR), termination of pregnancy (TOP), and neonatal outcomes—were evaluated with postnatal verification. Results: The distribution of subtypes was Type 1: 28% (14/50), Type 2: 48% (24/50), Type 3a: 20% (10/50), and Type 3b: 4% (2/50). Gestational age at diagnosis was significantly higher in Type 3a compared with Type 1 and Type 2 (32.2 ± 2.4 vs. 21.1 ± 6.7 and 22.4 ± 5.8 weeks; p < 0.001). Structural anomalies were most frequent in Type 1 (13/14, 92.9%; p < 0.001), while FGR predominated in Type 3a (9/10, 90%; p = 0.006). Ductus venosus (DV) agenesis was universal in Type 1 (14/14) and Type 3b (2/2), absent in Type 2 (0/24), and present in 20% of Type 3a (2/10) (p < 0.001). Genetic abnormalities were detected in 57% of Type 1 (4/7) and 56% of Type 2 (9/16) fetuses, with trisomy 21 most prevalent in Type 2. TOP was highest in Type 1 (8/14, 57.1%; p < 0.001). Adverse neonatal outcomes occurred primarily in Type 1 and Type 3b (p < 0.001), whereas Type 2 demonstrated favorable neonatal outcomes. Conclusions: UPSVS subtype is strongly associated with structural/genetic anomalies, FGR, and neonatal outcomes, underscoring the importance of prenatal subclassification in prognostic assessment and counseling. Type 1 and Type 3b represent the highest—risk subgroups requiring delivery planning in tertiary centers, while Type 2 generally exhibits a benign perinatal course. The association between Type 3a and FGR highlights the need for detailed evaluation of the hepatic venous system in growth-restricted fetuses. However, interpretation of subgroup-specific associations should consider the relatively small sample size of Type 3b cases and the limited genetic testing performed in some Type 3a fetuses. Multicenter prospective studies are warranted to standardize diagnostic algorithms, optimize genetic testing strategies, and refine perinatal management. Full article
(This article belongs to the Section Clinical Diagnosis and Prognosis)
Show Figures

Figure 1

26 pages, 4715 KB  
Article
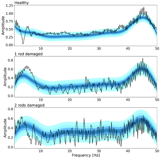
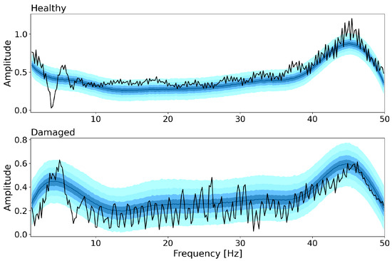
Bayesian Gaussian Mixture Model Classifier for Fault Detection in Induction Motors Using Start-Up Current Analysis
by Kacper Jarzyna, Michał Rad, Paweł Piątek and Jerzy Baranowski
Energies 2026, 19(5), 1328; https://doi.org/10.3390/en19051328 - 6 Mar 2026
Viewed by 183
Abstract
Induction motors constitute a major share of industrial drives, making reliable fault detection essential for maintaining operational continuity. This work develops a Bayesian classifier for identifying rotor-bar damage using start-up current measurements represented in the frequency domain. The spectra are modelled as smooth [...] Read more.
Induction motors constitute a major share of industrial drives, making reliable fault detection essential for maintaining operational continuity. This work develops a Bayesian classifier for identifying rotor-bar damage using start-up current measurements represented in the frequency domain. The spectra are modelled as smooth functional curves using a hierarchical B-spline formulation, and posterior sampling provides a generative mechanism for augmenting scarce labelled data. Classification is performed using a Bayesian Gaussian mixture model, where each prediction is obtained by averaging over thousands of posterior samples, yielding stable and interpretable probability estimates. In experimental evaluation, the proposed approach achieves consistent separation between healthy and faulty motors across repeated training runs, correctly identifying all test cases in the binary classification setting and exhibiting more stable probability estimates than logistic and soft-max regression under limited labelled data. The model additionally signals atypical responses for unmodelled faults, indicating potential for anomaly detection. These findings highlight the suitability of Bayesian functional modelling as a reliable tool for induction motor condition monitoring. Full article
(This article belongs to the Section D: Energy Storage and Application)
Show Figures

Figure 1

25 pages, 1853 KB  
Article
Deep Learning for Process Monitoring and Defect Detection of Laser-Based Powder Bed Fusion of Polymers
by Mohammadali Vaezi, Victor Klamert and Mugdim Bublin
Polymers 2026, 18(5), 629; https://doi.org/10.3390/polym18050629 - 3 Mar 2026
Viewed by 555
Abstract
Maintaining consistent part quality remains a critical challenge in industrial additive manufacturing, particularly in laser-based powder bed fusion of polymers (PBF-LB/P), where crystallization-driven thermal instabilities, governed by isothermal crystallization within a narrow sintering window, precipitate defects such as curling, warping, and delamination. In [...] Read more.
Maintaining consistent part quality remains a critical challenge in industrial additive manufacturing, particularly in laser-based powder bed fusion of polymers (PBF-LB/P), where crystallization-driven thermal instabilities, governed by isothermal crystallization within a narrow sintering window, precipitate defects such as curling, warping, and delamination. In contrast to metal-based systems dominated by melt-pool hydrodynamics, polymer PBF-LB/P requires monitoring strategies capable of resolving subtle spatio-temporal thermal deviations under realistic industrial operating conditions. Although machine learning, particularly convolutional neural networks (CNNs), has demonstrated efficacy in defect detection, a structured evaluation of heterogeneous modeling paradigms and their deployment feasibility in polymer PBF-LB/P remains limited. This study presents a systematic cross-paradigm assessment of unsupervised anomaly detection (autoencoders and generative adversarial networks), supervised CNN classifiers (VGG-16, ResNet50, and Xception), hybrid CNN-LSTM architectures, and physics-informed neural networks (PINNs) using 76,450 synchronized thermal and RGB images acquired from a commercial industrial system operating under closed control constraints. CNN-based models enable frame- and sequence-level defect classification, whereas the PINN component complements detection by providing physically consistent thermal-field regression. The results reveal quantifiable trade-offs between detection performance, temporal robustness, physical consistency, and algorithmic complexity. Pre-trained CNNs achieve up to 99.09% frame-level accuracy but impose a substantial computational burden for edge deployment. The PINN model attains an RMSE of approximately 27 K under quasi-isothermal process conditions, supporting trend-level thermal monitoring. A lightweight hybrid CNN achieves 99.7% validation accuracy with 1860 parameters and a CPU-benchmarked forward-pass inference time of 1.6 ms (excluding sensor acquisition latency). Collectively, this study establishes a rigorously benchmarked, scalable, and resource-efficient deep-learning framework tailored to crystallization-dominated polymer PBF-LB/P, providing a technically grounded basis for real-time industrial quality monitoring. Full article
(This article belongs to the Special Issue Artificial Intelligence in Polymers)
Show Figures

Graphical abstract

24 pages, 4158 KB  
Article
Federated Learning and Data Mining-Based Botnet Attack Detection Framework for Internet of Things
by Kalupahana Liyanage Kushan Sudheera, Lokuge Lehele Gedara Madhuwantha Priyashan, Oruthota Arachchige Sanduni Pavithra, Malwaththe Widanalage Tharindu Aththanayake, Piyumi Bhagya Sudasinghe, Wijethunga Gamage Chatum Aloj Sankalpa, Gammana Guruge Nadeesha Sandamali and Peter Han Joo Chong
Sensors 2026, 26(5), 1573; https://doi.org/10.3390/s26051573 - 2 Mar 2026
Viewed by 288
Abstract
Botnet attacks in Internet of Things (IoT) environments often occur as multi-stage campaigns, making early and reliable detection difficult across distributed and privacy-sensitive networks. Centralized detection approaches are often limited by heterogeneous traffic characteristics, severe data imbalance, and the need to aggregate large [...] Read more.
Botnet attacks in Internet of Things (IoT) environments often occur as multi-stage campaigns, making early and reliable detection difficult across distributed and privacy-sensitive networks. Centralized detection approaches are often limited by heterogeneous traffic characteristics, severe data imbalance, and the need to aggregate large volumes of raw network data, raising scalability and privacy concerns. To address these challenges, this paper proposes FDA, a federated learning-based and data mining-driven framework for stage-aware botnet attack detection in IoT networks. FDA operates at network gateways, where anomalous traffic is first detected and then abstracted into compact and interpretable patterns using Frequent Itemset Mining (FIM). This pattern-based representation reduces noise and local traffic bias, enabling more robust learning across different IoT networks. Lightweight neural network models are trained locally at gateways, and a global model is learned through federated aggregation of model parameters, avoiding direct sharing of raw network data while enabling gateways to collaboratively learn evolving attack patterns across different IoT networks. Experimental results show that FDA achieves anomaly detection F1-scores above 99% across all gateways and multi-stage botnet attack classification F1-scores in the range of 48–49%, which are comparable to centralized machine-learning baselines while operating under decentralized and privacy-preserving constraints. Overall, FDA provides a practical, privacy-preserving, and effective solution for distributed botnet attack stage detection in real-world IoT deployments. Full article
(This article belongs to the Special Issue Feature Papers in Communications Section 2025–2026)
Show Figures

Figure 1

29 pages, 593 KB  
Systematic Review
Artificial Intelligence in Water Distribution Networks: A Systematic Review of Models, Input Variables, Databases, and Output Strategies for Leak Detection
by Mariana Zuñiga-Uribe, Rafael Rojas-Galván, José M. Álvarez-Alvarado, Marcos Aviles, Gerardo I. Pérez-Soto and Victor Pérez-Moreno
Smart Cities 2026, 9(3), 45; https://doi.org/10.3390/smartcities9030045 - 1 Mar 2026
Viewed by 526
Abstract
Early leak detection in water distribution networks is essential to minimize losses and improve operational efficiency. This systematic review analyzes 53 studies published between 2018 and 2025 that employed machine learning, deep learning, and hybrid approaches. The results show that pressure is the [...] Read more.
Early leak detection in water distribution networks is essential to minimize losses and improve operational efficiency. This systematic review analyzes 53 studies published between 2018 and 2025 that employed machine learning, deep learning, and hybrid approaches. The results show that pressure is the most widely used and most sensitive input variable for identifying hydraulic anomalies. Most datasets originate from EPANET-generated simulations, while experimental and field data are less common due to their high costs and operational complexity. Machine learning models, particularly SVMs, achieve accuracies between 94 and 100%, demonstrating stability with noisy data and low computational cost, while in deep learning, CNNs are most effective for multiclass classification and localization, typically reaching 95–99% accuracy. Hybrid approaches that combine automatic feature extraction (e.g., CNNs or autoencoders) with conventional classifiers (such as SVMs or LSSVMs) yield the best results, surpassing 97% accuracy and achieving localization errors below 0.2 m. Based on these findings, a theoretical model is proposed using a hybrid CNN + SVM approach to enhance accuracy, robustness, and adaptability in real-time monitoring systems. Full article
Show Figures

Figure 1

26 pages, 1959 KB  
Article
Trustworthy Celestial Eye: Calibrated and Robust Planetary Classification via Self-Supervised Vision Transformers
by Ziqiang Xu, Young Choi, Changyong Yi, Chanjeong Park, Jinyoung Park, Hyungkeun Park and Sujeen Song
Aerospace 2026, 13(3), 222; https://doi.org/10.3390/aerospace13030222 - 27 Feb 2026
Viewed by 291
Abstract
Automated recognition of celestial bodies from observational imagery is a cornerstone of autonomous space exploration. However, deploying deep learning models in space environments entails rigorous requirements not only for accuracy but also for reliability (calibration) and safety (anomaly rejection). Traditional Convolutional Neural Networks [...] Read more.
Automated recognition of celestial bodies from observational imagery is a cornerstone of autonomous space exploration. However, deploying deep learning models in space environments entails rigorous requirements not only for accuracy but also for reliability (calibration) and safety (anomaly rejection). Traditional Convolutional Neural Networks (CNNs) trained on small-scale astronomical datasets often suffer from overfitting and overconfidence on Out-of-Distribution (OOD) artifacts. In this work, we present a robust classification framework based on DINOv2, a Vision Transformer pre-trained via discriminative self-supervised learning. We curate a high-fidelity dataset of seven planetary classes sourced from NASA archives and propose a two-stage domain adaptation strategy to transfer large-scale foundation model features to this fine-grained task. Extensive experiments show that our method reaches 100% Top-1 accuracy on the canonical split, and remains highly stable under split variation, achieving 99.43% ± 0.85% Top-1 accuracy across R = 5 repeated stratified splits. More importantly, we address the critical issue of model trustworthiness. Through post hoc temperature scaling, our model achieves a state-of-the-art Expected Calibration Error (ECE) of 0.08%, representing a 36-fold improvement over ResNet50 (2.90%) and a 4.5-fold improvement over the EfficientNet-B3 baseline (0.36%). Furthermore, by integrating Energy-based OOD detection, the system effectively rejects non-planetary artifacts with an AUROC of 93.7%. Qualitative analysis using Grad-CAM reveals that self-supervised attention mechanisms naturally focus on intrinsic planetary features (e.g., surface textures and rings) while ignoring background noise, confirming the superior robustness of vision foundation models in astronomical vision tasks. Full article
(This article belongs to the Section Astronautics & Space Science)
Show Figures

Figure 1

33 pages, 2674 KB  
Review
Application of Artificial Intelligence in Environmental Analysis for Decision Making in Energy Efficiency in University Classrooms Monitored with IoT
by Ana Bustamante-Mora, Francisco Escobar-Jara, Jaime Díaz-Arancibia, Gabriel Mauricio Ramírez and Javier Medina-Gómez
Appl. Sci. 2026, 16(5), 2322; https://doi.org/10.3390/app16052322 - 27 Feb 2026
Viewed by 851
Abstract
The integration of Artificial Intelligence (AI) and Internet of Things (IoT) technologies in educational buildings represents an emerging opportunity to enhance intelligent environmental monitoring, data analysis, and energy optimization. This article presents a systematic literature review focused on AI-based applications in IoT-enabled learning [...] Read more.
The integration of Artificial Intelligence (AI) and Internet of Things (IoT) technologies in educational buildings represents an emerging opportunity to enhance intelligent environmental monitoring, data analysis, and energy optimization. This article presents a systematic literature review focused on AI-based applications in IoT-enabled learning environments, with special attention to indoor air quality (IAQ) management. A total of 585 documents were initially retrieved from Web of Science, Scopus, and IEEE Xplore using two targeted search strings. After removing duplicates and applying successive relevance filters based on title, abstract, and pertinence, 128 final documents were selected for full-text analysis. This study addresses four research questions: (RQ1) Which AI techniques are applied to environmental data analysis in educational contexts? (RQ2) What methods are used to detect sensor anomalies in IoT-based monitoring systems? (RQ3) How is AI applied in real-time decision making based on air quality indicators? (RQ4) What AI-driven strategies support energy efficiency in classrooms? The results reveal a growing use of machine learning and deep learning models, such as convolutional neural networks, decision trees, and LSTM architectures, particularly in applications focused on air quality classification, fault detection, and predictive control. Supervised learning methods were the most frequently applied, with CNN-based models leading in air quality prediction tasks and decision trees being preferred for anomaly detection. Deep learning approaches showed higher accuracy but required greater computational resources, limiting their use in low-cost educational environments. However, the literature also shows a lack of contextualized implementations, especially in low-resource or Latin American environments, and a limited focus on user-centered and educationally integrable systems. In addition, the review identifies a research gap regarding the integration of environmental and educational data, suggesting the potential for future empirical studies that evaluate real classroom conditions using IoT devices to inform AI-driven energy optimization strategies in academic settings. Full article
(This article belongs to the Special Issue Application of Artificial Intelligence in the Internet of Things)
Show Figures

Figure 1

40 pages, 18751 KB  
Article
Early Detection of DMA-Level Leaks in Water Networks Using Robust Regression Ensemble Framework
by Satyaki Chatterjee, Swapnali Ghumkar, Md Muztaba Ahbab, Adithya Ramachandran, Daniel Tenbrinck, Andreas Maier, Kilian Semmelmann and Siming Bayer
Water 2026, 18(5), 563; https://doi.org/10.3390/w18050563 - 27 Feb 2026
Viewed by 606
Abstract
Leakage detection in water distribution networks plays an instrumental role in effectively addressing water loss, yet the scarcity of annotated leak events limits the applicability of supervised classification methods. While hydraulic simulation-generated datasets are often considered as an alternative, their generation is hindered [...] Read more.
Leakage detection in water distribution networks plays an instrumental role in effectively addressing water loss, yet the scarcity of annotated leak events limits the applicability of supervised classification methods. While hydraulic simulation-generated datasets are often considered as an alternative, their generation is hindered by incomplete network topology and sparse sensor coverage in real-world settings. Consequently, many real-world solutions rely on unsupervised anomaly detection approaches but frequently struggle to balance sensitivity and accuracy. This study proposes a regression-ensemble framework that learns the district metered area (DMA)-specific demand–supply dynamics to detect emerging leaks using smart meter data, without requiring real or simulated labeled leak datasets for training. Regression models—Random Forest, Support Vector Regression, XGBoost, and Multi-Layer Perceptron—are trained on DMA-level consumption and supply data that are preprocessed to preserve background leakage while correcting emerging leaks. Deviations between predicted and observed supply are quantified through Pearson correlation, Kendall’s tau, and Z-score, whose anomaly indications are combined at metric and model levels using weights derived from model prediction accuracy. A leak is identified once the ensemble anomaly score crosses a threshold. The system detects leaks within 8–12 h of onset, achieving 90% and 98% accuracy on simulated and real leak scenarios, respectively, at an anomaly-score threshold of 0.5. Recall rates of 85% and 95% are observed for simulated and real leaks, respectively, whereas 95% and 100% recall are observed for no-leak events in both leak scenarios, respectively. Our proposed framework demonstrates the potential of smart meter-driven ensemble analytics for rapid and robust leak detection. Full article
(This article belongs to the Section Hydrology)
Show Figures

Figure 1

24 pages, 5580 KB  
Article
DF-TransVAE: A Deep Fusion Network for Binary Classification-Based Anomaly Detection in Internet User Behavior
by Huihui Fan, Yuan Jia, Wu Le, Zhenhong Jia, Hui Zhao, Congbing He, Hedong Jiang, Zeyu Hu, Xiaoyi Lv, Jianting Yuan and Xiaohui Huang
Appl. Sci. 2026, 16(5), 2243; https://doi.org/10.3390/app16052243 - 26 Feb 2026
Viewed by 226
Abstract
User behavior anomaly detection plays a vital role in network security for identifying malicious access and abnormal activities in high-dimensional internet user behavior data. Although Transformer architectures have been widely adopted in anomaly detection tasks, and their integration with Variational Autoencoders (VAEs) has [...] Read more.
User behavior anomaly detection plays a vital role in network security for identifying malicious access and abnormal activities in high-dimensional internet user behavior data. Although Transformer architectures have been widely adopted in anomaly detection tasks, and their integration with Variational Autoencoders (VAEs) has often been used to further improve detection accuracy, existing integration methods have failed to effectively balance global feature dependency modeling and generative data distribution learning. This results in limited capability in identifying complex anomalous patterns. To address this issue, this paper proposes DF-TransVAE, a novel deeply integrated framework that advances the integration of a Transformer and a VAE for supervised anomaly detection. The framework first fuses global contextual representations from the Transformer encoder with original input features, then maps the fused representation into the latent space via the VAE encoder. A cross-attention mechanism is introduced as the core of deep integration, enabling dynamic, bidirectional interaction between the fused features and latent variables to enhance information fusion. Lastly, a fully connected classifier equipped with residual connections outputs anomaly probabilities for supervised binary classification. Experimental results on two public datasets demonstrate that the proposed framework achieves better performance than existing deep learning methods in terms of accuracy, precision, recall, and F1-score, particularly in detecting complex anomalous patterns. Our results indicate that the deep integration mechanism we propose effectively addresses the limitations of conventional Transformer–VAE combinations. Full article
Show Figures

Figure 1

28 pages, 1749 KB  
Review
A Review of Flight Abnormal Behavior Analysis and Trajectory Anomaly Detection Methods
by Yexin Wu, Yifei Zhao and Hongyong Wang
Aerospace 2026, 13(3), 209; https://doi.org/10.3390/aerospace13030209 - 26 Feb 2026
Viewed by 441
Abstract
Air traffic is increasingly complicated, and with the expansion of the aviation industry, a growing emphasis on the safety of flight is being driven. According to flight experience and safety regulation standards, flight abnormal behavior is typically manifested through trajectories as well as [...] Read more.
Air traffic is increasingly complicated, and with the expansion of the aviation industry, a growing emphasis on the safety of flight is being driven. According to flight experience and safety regulation standards, flight abnormal behavior is typically manifested through trajectories as well as other behavioral characteristics. Trajectory anomaly detection is a critical component for ensuring flight safety. This paper presents a comprehensive review that covers flight abnormal behavior analysis and trajectory anomaly detection. The definition of flight abnormal behavior and trajectory is clarified at first. Then, this paper proposes a framework of anomaly detection in flight trajectory. On this basis, the review expounds upon the methodologies that have been employed in three primary types of trajectory anomaly detection: speed anomalies, altitude anomalies, and heading deviations. The main applications in this field consist of anomaly warning, online real-time anomaly detection, and the quantitative evaluation of flight abnormal behavior. Future research should encompass studies on the classification of flight traffic behavior classification, the integration of flight trajectory, and other data sources to identify flight abnormal behaviors. This study contributes to furnish more actionable insights for the advancement of trajectory anomaly detection technologies, offering significant implications for an in-depth comprehension of flight abnormal behavior. Full article
(This article belongs to the Section Air Traffic and Transportation)
Show Figures

Figure 1

Back to TopTop